Magnetic and Electronic Properties of π-d Interacting Molecular Magnetic Superconductor κ-(BETS)2FeX4 (X = Cl, Br) Studied by Angle-Resolved Heat Capacity Measurements
Abstract
1. Introduction
2. Electronic Structure of the κ-(BETS)2FeX4 Systems
3. Transport and Magnetic Properties
4. Calorimetry System Applicable to Tiny Single Crystals of Molecular Magnetic Materials
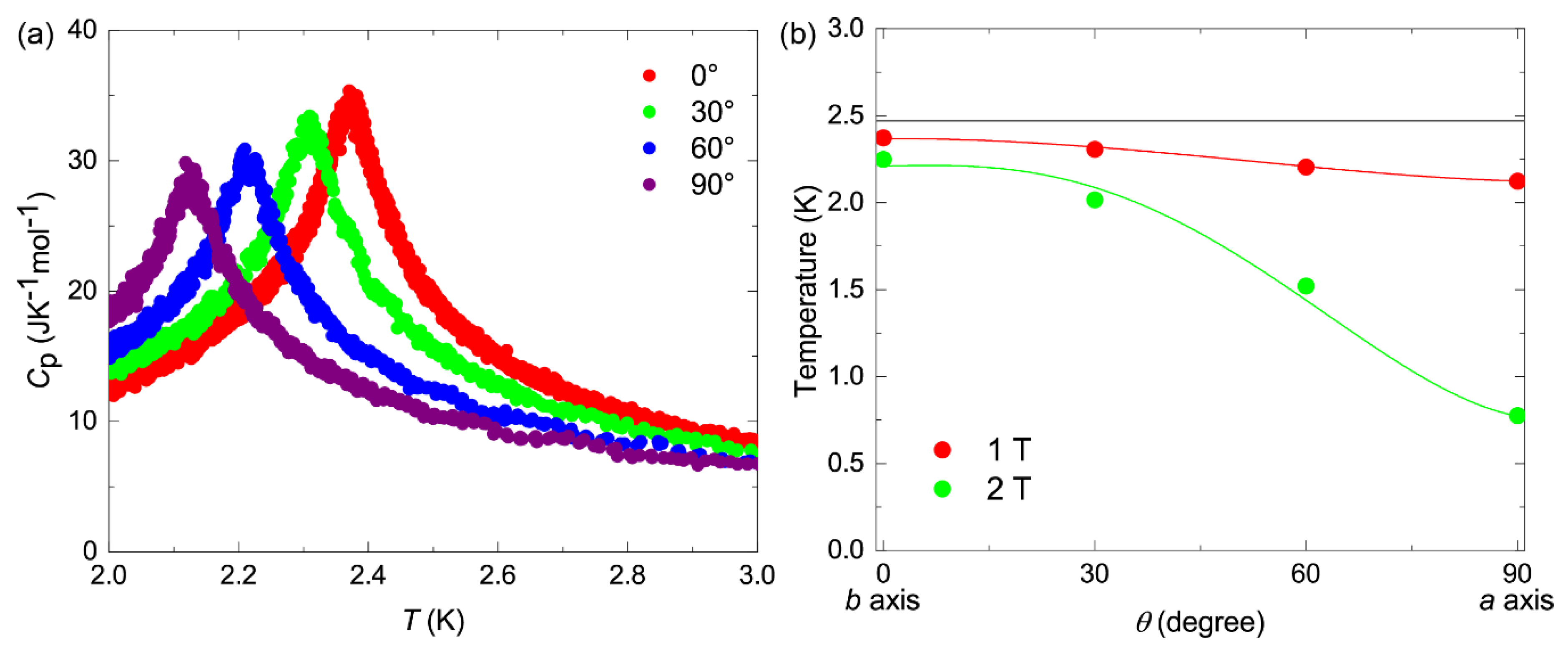
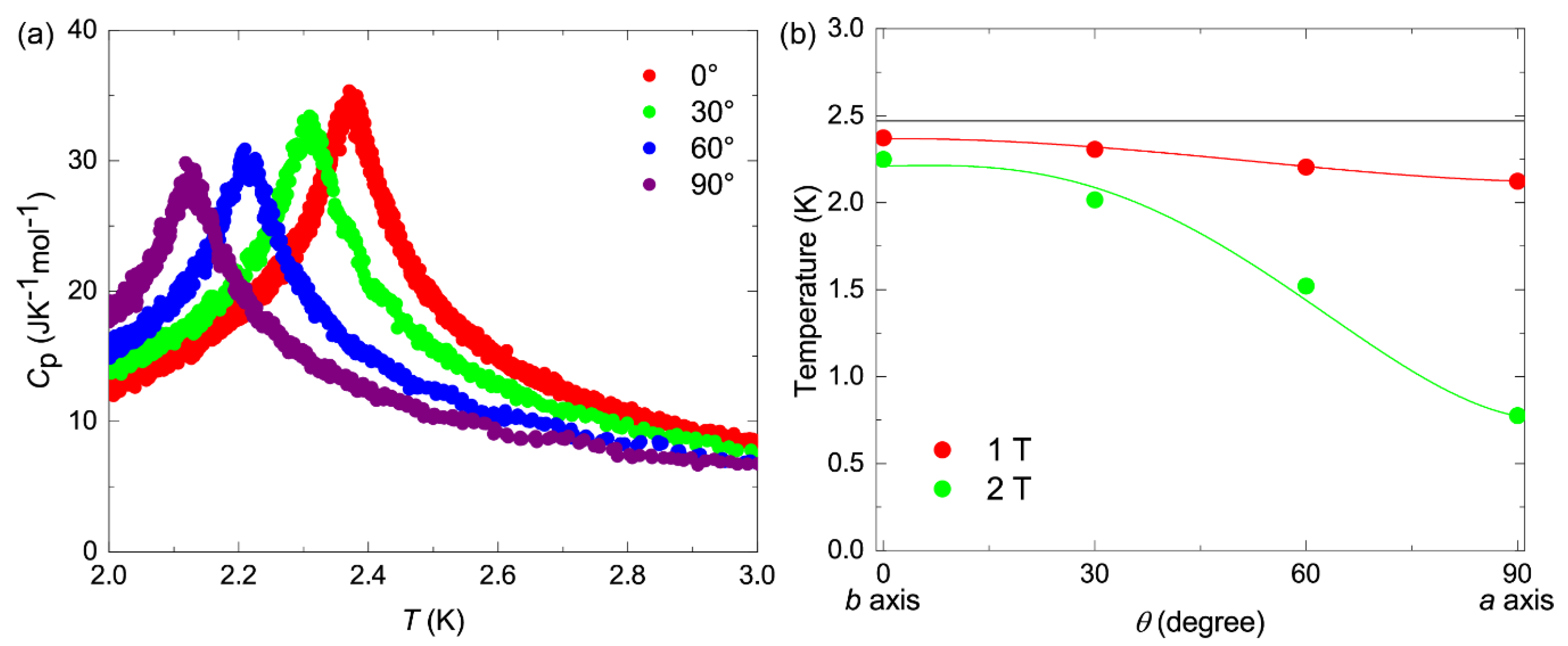
5. Thermodynamic Properties of Antiferromagnetic Ordered State of κ-(BETS)2FeX4
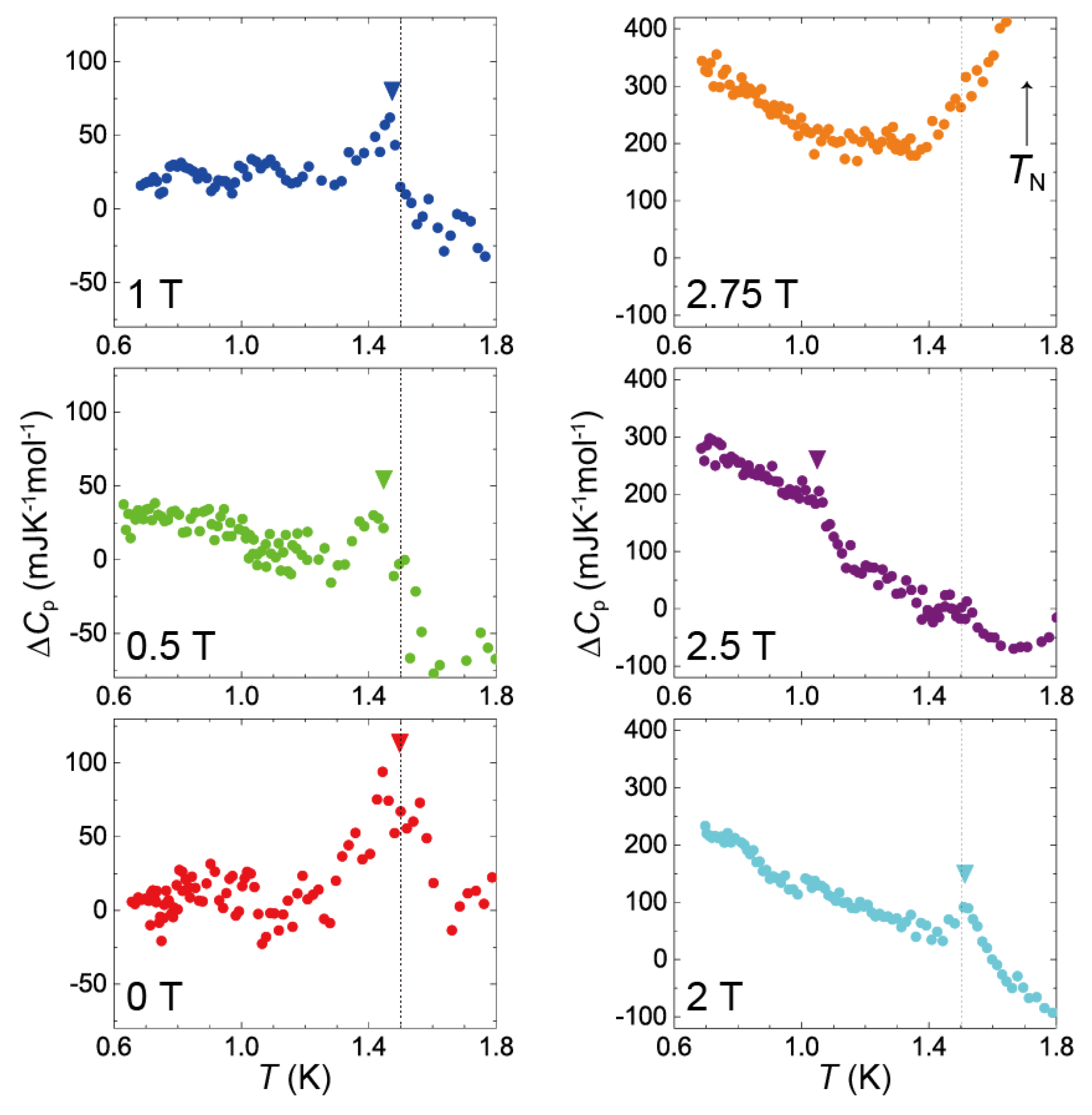
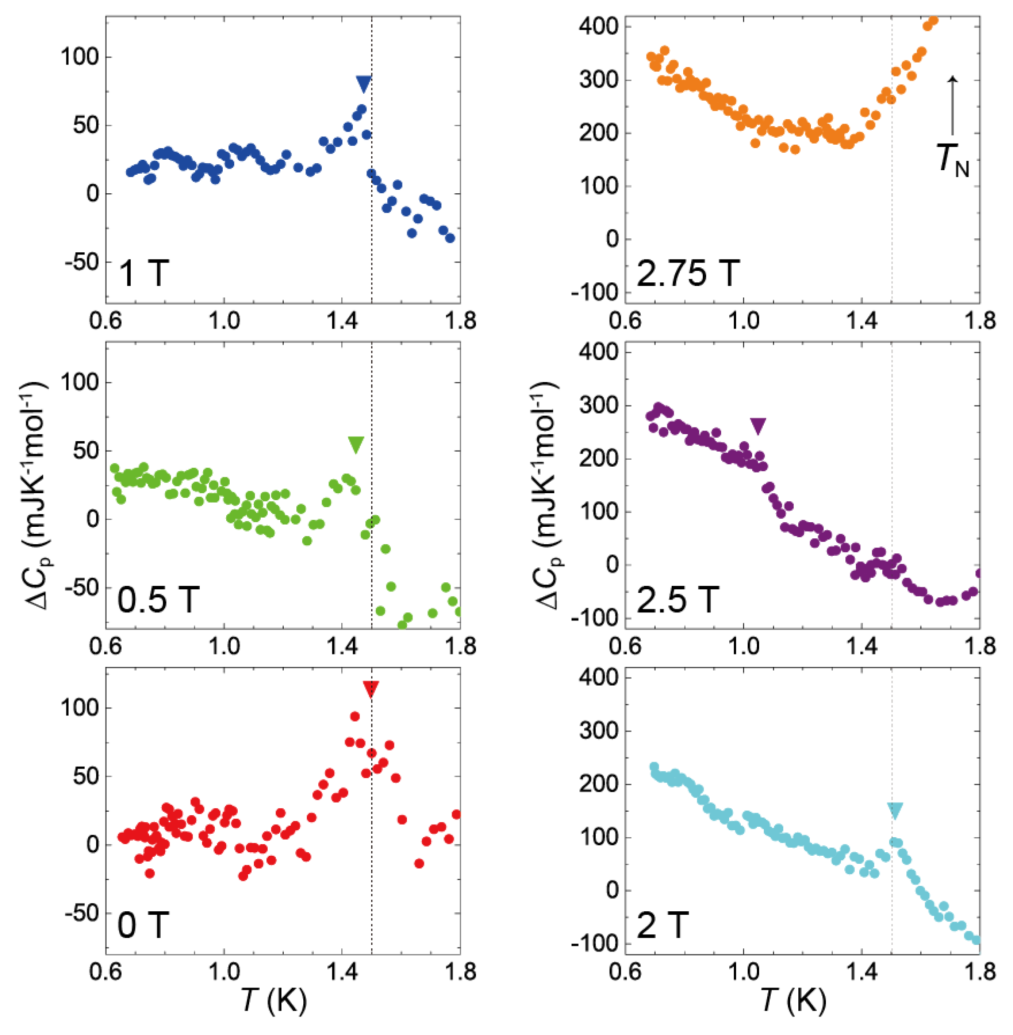
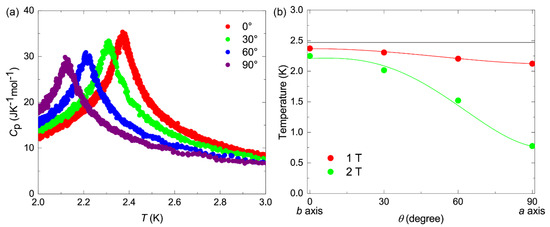
6. Anisotropic Magnetic Field Dependence of the Superconducting Transition of κ-(BETS)2FeBr4
7. Summary
Author Contributions
Funding
Acknowledgments
Conflicts of Interest
References
- Miyasaka, H.; Nakata, K.; Lecren, L.; Coulon, C.; Nakazawa, Y.; Fujisaki, T.; Sugiura, K.; Yamashita, M.; Clérac, R. Two-dimensional networks based on Mn4 complex linked by dicyanamide anion: From single-molecule magnet to classical magnet behavior. J. Am. Chem. Soc. 2006, 128, 3770–3783. [Google Scholar] [CrossRef] [PubMed]
- Miyasaka, H.; Madanbashi, T.; Sugimoto, K.; Nakazawa, Y.; Wernsdorfer, W.; Sugiura, K.; Yamashita, M.; Coulon, C.; Clérac, R. Single-chain magnet behavior in an alternated one-dimensional assembly of a MnIII Schiff-base complex and a TNCQ radical. Chem. Eur. J. 2006, 12, 7028–7040. [Google Scholar] [CrossRef] [PubMed]
- Fitta, M.; Pełka, R.; Konieczny, P.; Bałanda, M. Multifunctional molecular magnets: Magnetocaloric effect in octacyanometallates. Crystals 2019, 9, 9. [Google Scholar] [CrossRef]
- Liu, J.-L.; Chen, Y.-C.; Guo, F.-S.; Tong, M.-L. Recent advances in the design of magnetic molecules for use as cryogenic magnetic coolants. Coord. Chem. Rev. 2014, 281, 26–49. [Google Scholar] [CrossRef]
- Miller, J.S.; Epstein, A.J.; Reiff, W.M. Ferromagnetic molecular charge-transfer complexes. Chem. Rev. 1988, 88, 201–220. [Google Scholar] [CrossRef]
- Qiu, Z.; Uruichi, M.; Hou, D.; Uchida, K.; Yamamoto, H.M.; Saitoh, E. Spin-current injection and detection in κ-(BEDT-TTF)2Cu[N(CN)2]Br. AIP Adv. 2015, 5, 057167. [Google Scholar] [CrossRef]
- Liu, M.; Chuang, Z.; Malissa, H.; Groesbeck, M.; Kavand, M.; McLaughlin, R.; Jamali, S.; Hao, J.; Sun, D.; Davidson, R.A.; et al. Organic-based magnon spintronics. Nat. Mater. 2018, 17, 308–312. [Google Scholar] [CrossRef] [PubMed]
- Kinoshita, M.; Turek, P.; Tamura, M.; Nozawa, K.; Shiomi, D.; Nakazawa, Y.; Ishikawa, M.; Takahashi, M.; Awaga, K.; Inabe, T.; et al. An organic radical ferromagnet. Chem. Lett. 1991, 20, 1225–1228. [Google Scholar] [CrossRef]
- Tamura, M.; Nakazawa, Y.; Shiomi, D.; Nozawa, K.; Hosokoshi, Y.; Ishikawa, M.; Takahashi, M.; Kinoshita, M. Bulk ferromagnetism in the β-phase crystal of the p-nitrophenyl nitroxide. Chem. Phys. Lett. 1991, 186, 401–404. [Google Scholar] [CrossRef]
- Korshak, Y.V.; Medvedeva, T.V.; Ovchinnikov, A.A.; Spector, V.N. Organic polymer ferromagnet. Nature 1987, 326, 370–372. [Google Scholar] [CrossRef]
- Miller, J.S.; Epstein, A.J. Organic and organometallic molecular magnetic materials—Designer magnets. Angew. Chem. Int. Ed. Engl. 1994, 33, 385–415. [Google Scholar] [CrossRef]
- Tamura, M.; Hosokoshi, Y.; Shiomi, D.; Kinoshita, M.; Nakazawa, Y.; Ishikawa, M.; Sawa, H.; Kitazawa, T.; Eguchi, A.; Nishio, Y.; et al. Magnetic properties and structures of the α- and δ-phases of p-NPNN. J. Phys. Soc. Jpn. 2003, 72, 1735–1744. [Google Scholar] [CrossRef]
- Okabe, T.; Yamaguchi, H.; Kittaka, S.; Sakakibara, T.; Ono, T.; Hosokoshi, Y. Magnetic properties of the S = 1/2 honeycomb lattice antiferromagnet 2-Cl-3,6-F2-V. Phys. Rev. B 2017, 95, 075120. [Google Scholar] [CrossRef]
- Kono, Y.; Kittaka, S.; Yamaguchi, H.; Hosokoshi, Y.; Sakakibara, T. Quasi-one-dimensional Bose-Einstein condensation in the spin-1/2 ferromagnetic-leg ladder 3-I-V. Phys. Rev. B 2018, 97, 100406. [Google Scholar] [CrossRef]
- Caneschi, A.; Gatteschi, D.; Ray, P.; Sessoli, R. Structure and magnetic ordering of a ferrimagnetic helix formed by manganese (II) and a nitronyl nitroxide radical. Inorg. Chem. 1991, 30, 3936–3941. [Google Scholar] [CrossRef]
- Kumagai, H.; Inoue, K. A chiral molecular based metamagnet prepared from manganese ions and a chiral triplet organic radical as a bridging ligand. Angew. Chem. Int. Ed. 1999, 38, 1601–1603. [Google Scholar] [CrossRef]
- Gatteschi, D.; Sessoli, R.; Villain, J. Molecular Nanomagnets; Oxford University Press: Oxford, UK, 2010. [Google Scholar]
- Sato, O. Dynamic molecular crystals with switchable physical properties. Nat. Chem. 2016, 8, 644–656. [Google Scholar] [CrossRef] [PubMed]
- Nihei, M.; Shiga, T.; Maeda, Y.; Oshio, H. Spin crossover iron(III) complexes. Coord. Chem. Rev. 2007, 251, 2606–2621. [Google Scholar] [CrossRef]
- Shimizu, Y.; Miyagawa, K.; Kanoda, K.; Maesato, M.; Saito, G. Spin liquid state in an organic Mott insulator with a triangular lattice. Phys. Rev. Lett. 2003, 91, 107001. [Google Scholar] [CrossRef]
- Christou, G.; Gatteschi, D.; Hendrickson, D.N.; Sessoli, R. Single-molecule magnets. Mrs Bull. 2000, 25, 66–71. [Google Scholar] [CrossRef]
- Ohkoshi, S.; Imoto, K.; Tsunobuchi, Y.; Takano, S.; Tokoro, H. Light-induced spin-crossover magnet. Nat. Chem. 2011, 3, 564–569. [Google Scholar] [CrossRef] [PubMed]
- Enoki, T.; Miyazaki, A. Magnetic TTF-based charge-transfer complexes. Chem. Rev. 2004, 104, 5449–5477. [Google Scholar] [CrossRef] [PubMed]
- Coronado, E.; Day, P. Magnetic molecular conductors. Chem. Rev. 2004, 104, 5419–5448. [Google Scholar] [CrossRef] [PubMed]
- Kobayashi, H.; Kobayashi, A.; Cassoux, P. BETS as a source of molecular magnetic superconductors (BETS = bis(ethylenedithio)tetraselenafulvalene. Chem. Soc. Rev. 2000, 29, 325–333. [Google Scholar] [CrossRef]
- Kobayashi, H.; Cui, H.B. Organic metal and superconductors based on BETS (BETS = Bis(ethylenedithio)tetraselenafulvalene). Chem. Rev. 2004, 104, 5265–5288. [Google Scholar] [CrossRef] [PubMed]
- Kikuchi, K.; Nishikawa, H.; Ikemoto, I.; Toita, T.; Akutsu, H.; Nakatsuji, S.; Yamada, J. Tetrachloroferrate (III) salts of BDH-TTP [2,5-Bis(1,3-dithiolan-2-ylidene)-1,3,4,6-tetrathiapentalene] and BDA-TTP [2,5-Bis(1,3-dithian-2-ylidene)-1,3,4,6-tetrathiapentalene]: Crystal structures and physical properties. J. Solid State Chem. 2002, 168, 503–508. [Google Scholar] [CrossRef]
- Fujiwara, H.; Wada, K.; Hiraoka, T.; Hayashi, T.; Sugimoto, T.; Nakazumi, H.; Yokogawa, K.; Teramura, M.; Yasuzuka, S.; Murata, K.; et al. Stable metallic behavior and antiferromagnetic ordering of Fe(III) d spins in (EDO-TTFVO)2·FeCl4. J. Am. Chem. Soc. 2005, 127, 14166–14167. [Google Scholar] [CrossRef] [PubMed]
- Xiao, X.; Hayashi, T.; Fujiwara, H.; Sugimoto, T.; Noguchi, S.; Weng, Y.; Yoshino, H.; Murata, K.; Aruga-Katori, H. An antiferromagnetic molecular metal based on a new bent-donor molecule. J. Am. Chem. Soc. 2007, 129, 12618–12619. [Google Scholar] [CrossRef] [PubMed]
- Coronado, E.; Galán-Mascarós, J.R.; Gómez-Garćia, C.J.; Laukhin, V. Coexistence of ferromagnetism and metallic conductivity in a molecule-based layered compound. Nature 2000, 408, 447–449. [Google Scholar] [CrossRef]
- Hotta, C.; Fukuyama, H. Effects of localized spins in quasi-two dimensional organic conductor. J. Phys. Soc. Jpn. 2000, 69, 2577–2596. [Google Scholar] [CrossRef]
- Kobayashi, A.; Udagawa, T.; Tomita, H.; Naito, T.; Kobayashi, H. New organic metals based on BETS compounds with MX4− anions (BETS =bis(ethylenedithio)tetraselenafulvalene; M = Ga, Fe, In; X = Cl, Br). Chem. Lett. 1993, 22, 2179–2182. [Google Scholar] [CrossRef]
- Kobayashi, H.; Tomita, H.; Naito, T.; Kobayashi, A.; Sakai, F.; Watanabe, T.; Cassoux, P. New BETS conductors with magnetic anions (BETS = bis(ethylenedithio)tetraselenafulvalene). J. Am. Chem. Soc. 1996, 118, 368–377. [Google Scholar] [CrossRef]
- Fujiwara, H.; Fujiwara, E.; Nakazawa, Y.; Narymbetov, B.Z.; Kato, K.; Kobayashi, H.; Kobayashi, A.; Tokumoto, M.; Cassoux, P. A novel antiferromagnetic organic superconductor κ-(BETS)2FeBr4 [Where BETS = Bis(ethylenedithio)tetraselenafulvalene]. J. Am. Chem. Soc. 2001, 123, 306–314. [Google Scholar] [CrossRef] [PubMed]
- Otsuka, T.; Kobayashi, A.; Miyamoto, Y.; Kiuchi, J.; Nakamura, S.; Wada, N.; Fujiwara, E.; Fujiwara, H.; Kobayashi, H. Organic antiferromagnetic metals exhibiting superconducting transitions κ-(BETS)2FeX4 (X = Cl, Br); Drastic effect of halogen substitution on the successive phase transitions. J. Solid State Chem. 2001, 159, 407–412. [Google Scholar] [CrossRef]
- Otsuka, T.; Kobayashi, A.; Miyamoto, Y.; Kikuchi, J.; Wada, N.; Ojima, E.; Fujiwara, H.; Kobayashi, H. Successive antiferromagnetic and superconducting transitions in an organic metal, κ-(BETS)2FeCl4. Chem. Lett. 2000, 29, 732–733. [Google Scholar] [CrossRef]
- Uji, S.; Shinagawa, H.; Terashima, T.; Yakabe, T.; Terai, Y.; Tokumoto, M.; Kobayashi, A.; Tanaka, H.; Kobayashi, H. Magnetic-field-induced superconductivity in a two-dimensional organic conductor. Nature 2001, 410, 908–910. [Google Scholar] [CrossRef]
- Tanaka, H.; Ojima, E.; Fujiwara, H.; Nakazawa, Y.; Kobayashi, H.; Kobayashi, A. A new κ-type organic superconductor based on BETS molecules, κ-(BETS)2GaBr4 [BETS = bis(ethylenedithio)tetraselenafulvalene]. J. Mater. Chem. 2000, 10, 245–247. [Google Scholar] [CrossRef]
- Konoike, T.; Uji, S.; Terashima, T.; Nishimura, M.; Yasuzuka, S.; Enomoto, K.; Fujiwara, H.; Zhang, B.; Kobayashi, H. Magnetic-field-induced superconductivity in the antiferromagnetic organic superconductor κ-(BETS)2FeBr4. Phys. Rev. B 2004, 70, 094514. [Google Scholar] [CrossRef]
- Jaccarino, V.; Peter, M. Ultra-high-field superconductivity. Phys. Rev. Lett. 1962, 9, 290–292. [Google Scholar] [CrossRef]
- Fujiyama, S.; Takigawa, M.; Kikuchi, J.; Cui, H.-B.; Fujiwara, H.; Kobayashi, H. Compensation of effective field in the field-induced superconductor κ-(BETS)2FeBr4 observed by 77Se NMR. Phys. Rev. Lett. 2006, 96, 217001. [Google Scholar] [CrossRef]
- Fukuoka, S.; Horie, Y.; Yamashita, S.; Nakazawa, Y. Development of heat capacity measurement system for single crystals of molecule-based compounds. J. Therm. Anal. Calorim. 2013, 113, 1303–1308. [Google Scholar] [CrossRef]
- Imajo, S.; Fukuoka, S.; Yamashita, S.; Nakazawa, Y. Construction of relaxation calorimetry for 101–2 μg samples and heat capacity measurements of organic complexes. J. Therm. Anal. Calorim. 2016, 123, 1871–1876. [Google Scholar] [CrossRef]
- Fukuoka, S.; Yamashita, S.; Nakazawa, Y.; Yamamoto, T.; Fujiwara, H.; Shirahata, T.; Takahashi, K. Thermodynamic properties of antiferromagnetic ordered states of π-d interacting systems of κ-(BETS)2FeX4 (X = Br, Cl). Phys. Rev. B 2016, 93, 245136. [Google Scholar] [CrossRef]
- Andraka, B.; Kim, J.S.; Stewart, G.R.; Carlson, K.D.; Wang, H.H.; Williams, J.M. Specific heat in high magnetic field of κ-di[Bis(ethylenedithio)tetrathiafulvalene]-di(thiocynano)Cuprate [κ-(ET)2Cu(NCS)2]; Evidence for strong-coupling superconductivity. Phys. Rev. B 1989, 40, 11345. [Google Scholar] [CrossRef]
- Andraka, B.; Jee, C.S.; Kim, J.S.; Stewart, G.R.; Carlson, K.D.; Wang, H.H.; Crouch, A.V.S.; Kini, A.M.; Williams, J.M. Specific heat of the high Tc organic superconductor κ-(ET)2Cu[N(CN)2]Br. Solid State Commun. 1991, 79, 57–59. [Google Scholar] [CrossRef]
- Wosnitza, J.; Liu, X.; Schweitzer, D.; Keller, H.J. Specific heat of the organic superconductor κ-(BEDT-TTF)2I3. Phys. Rev. B 1994, 59, 12747. [Google Scholar] [CrossRef]
- Nakazawa, Y.; Yamashita, S. Thermodynamic properties of κ-(BEDT-TTF)2X salts: Electron correlation and superconductivity. Crystals 2012, 2, 741–761. [Google Scholar] [CrossRef]
- Nakazawa, Y.; Imajo, S.; Matsuoka, Y.; Yamashita, S.; Akutsu, H. Thermodynamic picture of dimer-Mott organic superconductors revealed by heat capacity measurements with external and chemical pressure control. Crystals 2018, 8, 143. [Google Scholar] [CrossRef]
- Mori, T.; Katsuhara, M. Estimation of πd-interaction in organic conductors including magnetic anions. J. Phys. Soc. Jpn. 2002, 71, 826–844. [Google Scholar] [CrossRef]
- Gopal, E.S.R. Specific Heats at Low Temperature; Heywood Books: London, UK, 1966. [Google Scholar]
- De Jongh, L.J.; Miedema, A.R. Experiments on simple magnetic model systems. Adv. Phys. 1974, 23, 1–260. [Google Scholar] [CrossRef]
- Blöte, H.W. The heat capacities of linear Heisenberg chains. Physica 1974, 78, 302–307. [Google Scholar] [CrossRef]
- Sorai, M.; Nakazawa, Y.; Nakano, M.; Miyazaki, Y. Calorimetric investigation of phase transitions occurring in molecule-based magnets. Chem. Rev. 2013, 113, PR41–PR122. [Google Scholar] [CrossRef] [PubMed]
- Blundell, S. Magnetism in Condensed Matter; Oxford University Press: Oxford, UK, 2001. [Google Scholar]
- Akiba, H.; Shimada, K.; Tajima, N.; Kajita, K.; Nishio, Y. Paramagnetic metal-antiferromagnetic insulator transition in π-d system λ-BETS2FeCl4, BETS = Bis(ethylenedithio)tetraselenafulvalene. Crystals 2012, 2, 984–995. [Google Scholar] [CrossRef]
- Ito, K.; Shimahara, H. Mean field theory of a coupled Heisenberg model and its application to an organic antiferromagnet with magnetic anions. J. Phys. Soc. Jpn. 2016, 85, 024704. [Google Scholar] [CrossRef]
- Nakazawa, Y.; Kanoda, K. Low-temperature specific heat of κ-(BEDT-TTF)2Cu[N(CN)2]Br in the superconducting state. Phys. Rev. B 1997, 55, R8670–R8673. [Google Scholar] [CrossRef]
- Taylor, O.J.; Carrington, A.; Schlueter, J.A. Specific-heat measurements of the gap structure of the organic superconductors κ-(ET)2Cu[N(CN)2]Br and κ-(ET)2Cu(NCS)2. Phys. Rev. Lett. 2007, 99, 057001. [Google Scholar] [CrossRef] [PubMed]
- Fukuoka, S.; Yamashita, S.; Nakazawa, Y.; Yamamoto, T.; Fujiwara, H. Anisotropic field dependence of the superconducting transition in the magnetic molecular superconductor κ-(BETS)2FeBr4. J. Phys. Soc. Jpn. 2017, 86, 014706. [Google Scholar] [CrossRef]
- Muhlschlegel, B. Die thermodynamischen Funktionen des Supraleiters. Z. Phys. 1959, 155, 313–327. [Google Scholar] [CrossRef]
- Sasaki, T.; Toyota, N. Anisotropic galvanomagnetic effect in the quasi-two-dimensional organic conductor α-(BEDT-TTF)2KHg(SCN)4, where BEDT-TTF is bis(ethylenedithio)tetrathiafulvalene. Phys. Rev. B 1994, 49, 10120–10130. [Google Scholar] [CrossRef]
- Wang, H.H.; Vanzile, M.L.; Schlueter, J.A.; Kini, A.M.; Sche, P.P. In-plane ESR microwave conductivity measurements and electronic band structure studies of the organic superconductor β’’-(BEDT-TTF)2SF5CH2CF2SO3. J. Phys. Chem. B 1999, 103, 5493–5499. [Google Scholar] [CrossRef]
- Ishiguro, T.; Kajimura, K.; Bando, H.; Murata, K.; Anzai, H. Electronic state of (TMTSF)2ClO4 in metallic region. Mol. Cryst. Liq. Cryst. 1985, 119, 19–26. [Google Scholar] [CrossRef]
- Tinkham, M. Introduction to Superconductivity, 2nd ed.; McGraw-Hill: New York, NY, USA, 1996. [Google Scholar]
- Clogston, A.M. Upper limit for the critical field in hard superconductors. Phys. Rev. Lett. 1962, 9, 266–267. [Google Scholar] [CrossRef]
- Fujiwara, H.; Kobayashi, H.; Fujiwara, E.; Kobayashi, A. An indication of magnetic-field-induced superconductivity in a bifunctional layered organic conductor, κ-(BETS)2FeBr4. J. Am. Chem. Soc. 2002, 124, 6816–6817. [Google Scholar] [CrossRef] [PubMed]










© 2019 by the authors. Licensee MDPI, Basel, Switzerland. This article is an open access article distributed under the terms and conditions of the Creative Commons Attribution (CC BY) license (http://creativecommons.org/licenses/by/4.0/).
Share and Cite
Fukuoka, S.; Fukuchi, S.; Akutsu, H.; Kawamoto, A.; Nakazawa, Y. Magnetic and Electronic Properties of π-d Interacting Molecular Magnetic Superconductor κ-(BETS)2FeX4 (X = Cl, Br) Studied by Angle-Resolved Heat Capacity Measurements. Crystals 2019, 9, 66. https://doi.org/10.3390/cryst9020066
Fukuoka S, Fukuchi S, Akutsu H, Kawamoto A, Nakazawa Y. Magnetic and Electronic Properties of π-d Interacting Molecular Magnetic Superconductor κ-(BETS)2FeX4 (X = Cl, Br) Studied by Angle-Resolved Heat Capacity Measurements. Crystals. 2019; 9(2):66. https://doi.org/10.3390/cryst9020066
Chicago/Turabian StyleFukuoka, Shuhei, Sotarou Fukuchi, Hiroki Akutsu, Atsushi Kawamoto, and Yasuhiro Nakazawa. 2019. "Magnetic and Electronic Properties of π-d Interacting Molecular Magnetic Superconductor κ-(BETS)2FeX4 (X = Cl, Br) Studied by Angle-Resolved Heat Capacity Measurements" Crystals 9, no. 2: 66. https://doi.org/10.3390/cryst9020066
APA StyleFukuoka, S., Fukuchi, S., Akutsu, H., Kawamoto, A., & Nakazawa, Y. (2019). Magnetic and Electronic Properties of π-d Interacting Molecular Magnetic Superconductor κ-(BETS)2FeX4 (X = Cl, Br) Studied by Angle-Resolved Heat Capacity Measurements. Crystals, 9(2), 66. https://doi.org/10.3390/cryst9020066

