Next Article in Journal
A Note for Probabilistic Model of Polymer Crystallization in Temperature Gradients
Previous Article in Journal
Characterization and Structural Determination of Cold-Adapted Monodehydroascorbate Reductase, MDHAR, from the Antarctic Hairgrass Deschampsia Antarctica
 
 
Font Type:
Arial Georgia Verdana
Font Size:
Aa Aa Aa
Line Spacing:
Column Width:
Background:
Article

Investigations on the Solubility of Vortioxetine Based on X-ray Structural Data and Crystal Contacts

School of Chemical Engineering and resource recycling, Wuzhou University, Wuzhou 543000, China
*
Author to whom correspondence should be addressed.
Crystals 2019, 9(10), 536; https://doi.org/10.3390/cryst9100536
Submission received: 18 September 2019 / Revised: 15 October 2019 / Accepted: 16 October 2019 / Published: 18 October 2019
(This article belongs to the Section Crystal Engineering)

Abstract

:
Investigation on the solid-state pharmaceutical chemistry has been known as an intriguing strategy to not only modify the physicochemical properties of drugs but also expand the solid form landscape. Vortioxetine (VOT) is an effective but poorly soluble antidepressant. To improve the solubility of vortioxetine and expand possible solid forms, in this paper, four novel solid forms of vortioxetine with dihydroxybenzoic acids (VOT-23BA, VOT-24BA-TOL, VOT-25BA, and VOT-26BA, 23BA = 2,3-dihydroxybenzoic acid, 24BA = 2,4-dihydroxybenzoic acid, 25BA = 2,5-dihydroxybenzoic acid, 26BA = 2,6-dihydroxybenzoic acid, and TOL = toluene) were synthesized first by a solvent evaporation method and then characterized by single-crystal X-ray diffraction (SCXRD), thermal, and XRD techniques. VOT-24BA-TOL, VOT-25BA, and VOT-26BA, showed similar [2+2] tetrameric R 4 4 (12) hydrogen bonds by acid-piperazine heterosynthon. In the VOT-23BA-H2O salt, the VOT cation and 23BA anion interacted through protonated piperazine-hydroxyl N-H···O hydrogen bonds, not protonated piperazine-deprotonated carboxylic acid N-H···O hydrogen bonds. Solubility studies were carried out in purified water and it was found that the VOT-23BA-H2O, VOT-25BA, and VOT-26BA salts exhibited an increase in water compared to pure VOT. The solubility of the stabilized salt formations followed the order of VOT-25BA > VOT-26BA > VOT-23BA-H2O in purified water.

1. Introduction

In recent years, the study of solid-state pharmaceutical chemistry, including cocrystals, salts, polymorphs, and solvates, has been extensively applied in the area of pharmaceutical technology [1,2,3,4,5]. Thus, the design of pharmaceutical solid forms of drugs has become an important step in the pharmaceutical process [6]. Salt formations, in particular, usually improve the physicochemical properties, solubility, and dissolution rate of drugs [7,8,9,10,11]. These advantages are useful for judging whether salt formations can be new API candidates.
Dihydroxybenzoic acids contain two hydroxyl groups and one carboxyl group and have the ability to form complex and robust hydrogen-bond networks [11,12,13,14,15,16,17,18,19,20], which are often used as the preferred candidate. Furthermore, these molecules are considered GRAS (generally recognised as safe) compounds, except for 2, 4-dihydroxybenzoic acid (24BA).
Vortioxetine (VOT), 1-[2-(2, 4-dimethylphenylsulfanyl) phenyl] piperazine, is a novel antidepressant drug that is used mainly for the treatment of major depressive disorder (MDD) [21,22]. However, because of its low aqueous solubility (0.04 mg/mL in water at 37 °C), it was commercialized in the form of hydrobromide [23]. He et al. [23], Li et al. [24], Zhou et al. [25] and Zhang et al. [26] reported the synthesis of different pharmaceutical solid forms of VOT, and we have previously reported on three straight-chain dicarboxylic acid salt hydrates of VOT [27]. These salt forms could enhance the solubility of VOT. In this paper, we describe four new dihydroxybenzoic acid salts of VOT, as well as their crystal structures, physicochemical properties, and aqueous solubility. The chemical structures of VOT and dihydroxybenzoic acid are displayed in Scheme 1.

2. Materials and Methods

2.1. Instrumentations and Materials

The corresponding chemicals and reagents were obtained from commercial sources and used without further purification. The differential scanning calorimetry (DSC) analyses were performed on Mettler Toledo DSC2 equipment (Mettler Toledo, Zurich, Switzerland) at a heating rate of 10 °C/min using nitrogen as the purge gas. The thermogravimetric (TGA) analysis of the samples was performed on PerkinElmer TGA 4000 equipment (PerkinElmer, Shanghai, China) with a heating rate of 10 °C/min under a nitrogen gas purge. The X-ray powder diffraction (PXRD) patterns were performed on a German Bruker corporation D8 ADVANCE powder diffractometer (Beijing, China), using a Cu Kα radiation tube (λ = 1.5418 Å, V = 40 kV and I = 40 mA) and the samples were scanned in the 3–60° range. The diffraction data for VOT-23BA-H2O, VOT-24BA-TOL, and VOT-25BA salts were collected on an Oxford Xcalibur Gemini Ultra diffractometer (Rigaku Oxford Diffraction, Oxford, England) with an Atlas detector operating at 40 kV and 40 mA using Cu Kα radiation (λ = 1.54178 Å), while the other diffraction data for VOT-26BA were performed on a Bruker Apex II CCD diffractometer operating (Bruker, NASDAQ, Germany) at 50 kV and 30 mA using Mo Kα radiation (λ = 0.71073 Å). The corresponding crystal structure was solved by direct methods using the SHELXS program (University of Gottingen, SHELXS-97, Gottingen, Germany) and refined with the SHELXL program (University of Gottingen, SHELXS-97, Gottingen, Germany) [28,29]. Crystallographic parameters and hydrogen bonds are listed in Table 1 and Table 2.

2.2. Preparation of Vortioxetine Salts with Dihydroxybenzoic Acids

To prepare VOT-23BA-H2O (1:1:0.5) salt, vortioxetine (20 mg) (Shanghai Neosun Pharmaceutical Technology Co., Ltd., Shanghai, China) and 23BA (10 mg) (Aladdin, Shanghai, China) were dissolved in 5 mL of ethanol/water (4:1, v/v) (Aladdin, Shanghai, China), and stirred at room temperature for 1 h. The resulting solution was then left at room temperature to slowly evaporate. The fine block crystals for single crystal X-ray diffraction were found after 15 days.
To prepare VOT-24BA-TOL (1:1:0.5) salt, vortioxetine (20 mg) and 24BA (10 mg) (Aladdin, Shanghai, China) were dissolved in 5 mL of toluene/ethanol (4:1, v/v) (Aladdin, Shanghai, China), and stirred at room temperature for 2 h. The resulting solution was then left at room temperature to slowly evaporate. The fine block crystals for single crystal X-ray diffraction were found after 15 days.
To prepare VOT-25BA (1:1) salt, vortioxetine (20 mg) and 25BA (10 mg) were dissolved in 5 mL of acetone/water (1:1, v/v), and stirred at room temperature for 0.5 h. The resulting solution was then left at room temperature to slowly evaporate. The fine block crystals for single crystal X-ray diffraction were found after seven days.
To prepare VOT-26BA (1:1) salt, vortioxetine (20 mg) and 26BA (10 mg) were dissolved in 6 mL of acetone/water (2:1, v/v), and stirred at room temperature for 2 h. The resulting solution was then left at room temperature to slowly evaporate. The fine needle crystals for single crystal X-ray diffraction were found after seven days.

2.3. Solubility Measurement

The solubility experiments were carried out on a round bottomed flask with a rotation speed of 500 rpm at 37 ± 0.5 °C in aqueous medium. After 24 h, the supernatant was filtered through 0.22 μm nylon filter, and then diluted within the scope of the standard curve with aqueous medium. The concentration of VOT was determined using an Agilent 1290 HPLC system (Agilent, Agilent 1290, Shanghai, China), with a C18 HPLC column (Thermo Accucore aQ 100 × 2.1 mm) (Thermo Fisher, Shanghai, China) and a UV detection wavelength of 226 nm. The column temperature was set at 40 °C, and the mobile phase containing 0.01 mol/L potassium phosphate: acetonitrile (v/v, 60:40) was run at 0.4 mL/min. All of the resulting solution was filtered with 0.22 μm nylon filter and analyzed by the corresponding calibration curve.

3. Results and Discussion

3.1. Crystal Structure Analysis

3.1.1. Crystal Structure of VOT-23BA-H2O (1:1:0.5) Salt

The VOT-23BA-H2O salt crystallized in the monoclinic space group C2/c with one VOT cation, one 23BA anion, and one half water molecule in the asymmetric unit. In the VOT-23BA-H2O salt, each water molecule interacted with two 23BA anions to form a two-dimensional plane structure along the crystallographic ab plane through O4−H4···O1 and O5−H5A···O2 hydrogen bonds (Figure 1a). The aforementioned plane structures and VOT cations were arranged in a sandwich 3D structure via N1+−H1B···O3 and N1+−H1A···O5 hydrogen bonds (Figure 1b).

3.1.2. Crystal Structure of VOT-24BA-TOL (1:1:0.5) Salt

The VOT-24BA-TOL salt crystallized in the triclinic space group P-1 with two VOT cations, two 24BA anions, and one toluence molecule in the asymmetric unit. In the VOT-24BA-TOL salt, two different 24BA anions interacted with each other to form a one-dimensional chain structure through O4−H4···O5 and O8−H8A···O1 hydrogen bonds (Figure 2a). The aforementioned chain structures and VOT cations were arranged in a complex three-dimensional structure via N1+−H1C···O1, N1+−H1D···O2, N3+−H3C···O6, and N3+−H3D···O5 hydrogen bonds (Figure 2b). In addition, the toluene molecules existed in the cavity of VOT-24BA-TOL salt along the crystallographic a-axis (Figure 2c).

3.1.3. Crystal Structure of VOT-25BA (1:1) Salt

The VOT-25BA salt crystallized in the triclinic space group P-1 with one VOT cation and one 25BA anion in the asymmetric unit. In the VOT-25BA salt, two 25BA molecules interacted with each other to form an R 2 2 (14) synthon through O4−H4···O2 hydrogen bonds (Figure 3a). The aforementioned R 2 2 (14) synthons and VOT cations were arranged in a sandwich R 4 4 (12) structure via N1+−H1C···O2 and N1+−H1D···O1 hydrogen bonds (Figure 3b).

3.1.4. VOT-26BA (1:1) Salt

The VOT-26BA salt crystallized in the monoclinic space group P21/c with one VOT cation and one 26BA anion in the asymmetric unit. In the VOT-26BA salt, two VOT cations and two 26BA anions formed a [2+2] tetrameric R 4 4 (12) synthon via N1+−H1A···O2 and N1+−H1B···O1 hydrogen bonds (Figure 4).

3.1.5. Structural Comparison

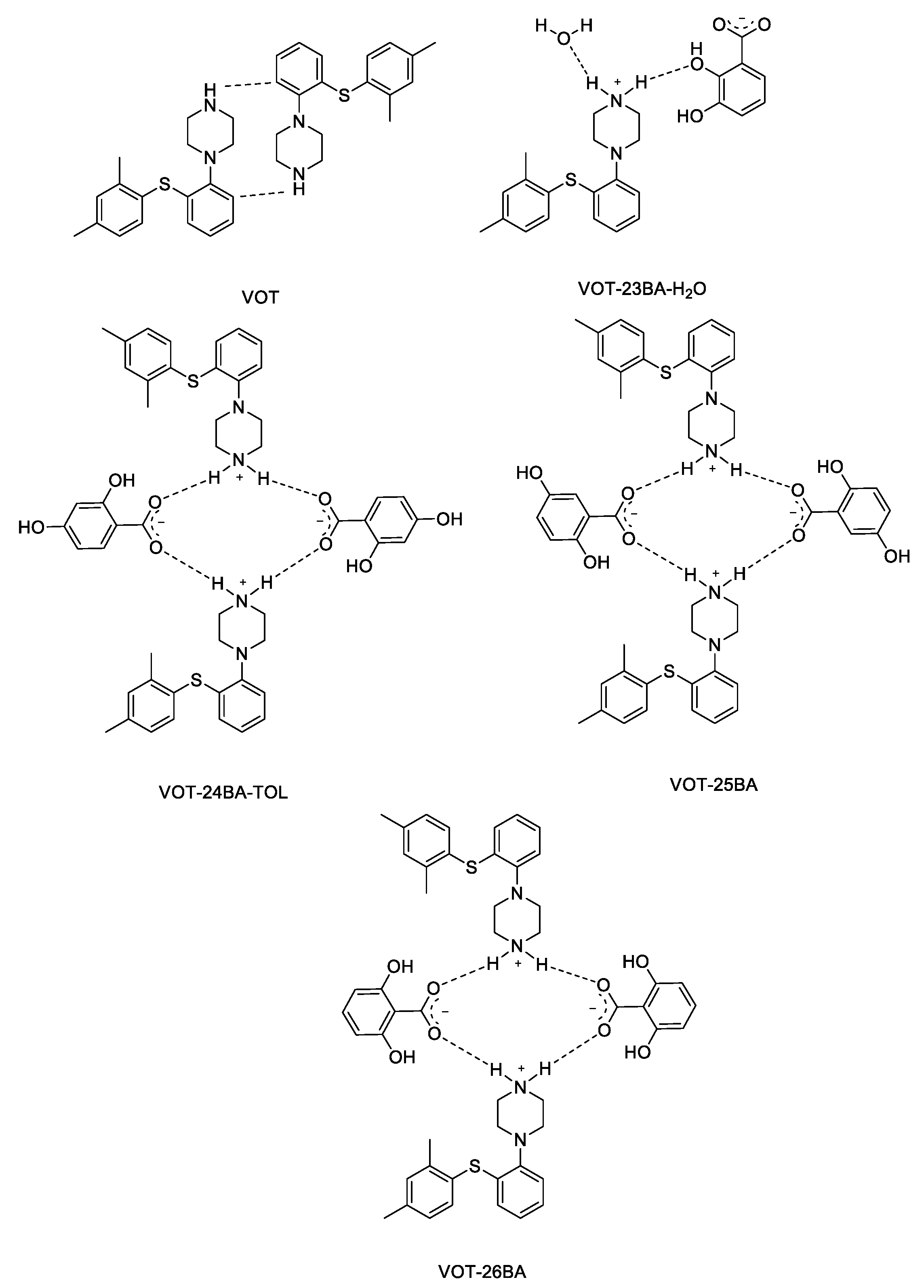
The spatial variation of similar structures is important for the study of packing similarities. As shown in Scheme 2, there is no classical hydrogen bonding in pure VOT. VOT-24BA-TOL, VOT-25BA, and VOT-26BA shared similar [2+2] tetrameric R 4 4 (12) hydrogen bonds. However, because the locations of the two hydroxyl groups changed, they showed the different space-stacked structures after salting (Figure S1). Specifically, the VOT molecules of the VOT-23BA-H2O salt were linked by protonated piperazine-hydroxyl N-H···O hydrogen bonds, not protonated piperazine-deprotonated carboxylic acid N-H···O hydrogen bonds, involving the hydroxyl groups.

3.2. Powder X-ray Diffraction Analyses

Powder X-ray diffraction (PXRD) is one of the important tools to differentiate phase transition. The PXRD patterns for VOT, VOT-23BA-H2O, VOT-24BA-TOL, VOT-25BA, and VOT-26BA salts are shown in Figure 5 and Figures S2–S5 (Supporting Information). VOT showed major characteristic peaks at 2θ = 11.6°, 12.34°, 12.80°, 14.32°, 15.12°, 16.84°, 17.40°, 18.62°, 19.06°, 20.48°, 21.50°, 22.48°, 22.96°, 24.38°, 25.66°, and 26.18°. However, the VOT-23BA-H2O, VOT-24BA-TOL, VOT-25BA, and VOT-26BA salts exhibited different characteristic peaks, which indicate the formation of new solid forms (Table S1).

3.3. Thermal Analyses

Vortioxetine and its salts were investigated by DSC and TGA, and the corresponding profiles are shown in Figure 6. The DSC thermogram of vortioxetine exhibited a single melting endothermic peak at 117 °C, which was attributed to the melting process, and its TGA curve showed that vortioxetine had no weight loss before decomposition at 226 °C (Figure 6a).
The DSC thermogram of VOT-23BA-H2O showed an endothermic peak at 163 °C, accompanied by a mass loss of 2.28% in the TGA curve at 140–173 °C, which indicates that VOT-23BA-H2O released half a water molecule per VOT-23BA-H2O (theoretical value: 1.95%), followed by a melting endothermic peak at 198 °C. Then, a broad endothermic peak at 232 °C was observed in the DSC curve, which is attributable to decomposition behavior (Figure 6b), and the TGA curve also revealed a uniform degradation process at 200 °C.
The DSC thermogram of VOT-24BA-TOL showed a broad endothermic peak at 158 °C, and the TGA curve of VOT-24BA-TOL began to decompose at 115 °C (the onset temperature of the degradation curve), indicating a process of simultaneous melting and decomposition; these data suggest poor thermodynamic stability of VOT-24BA-TOL in environmental conditions. Furthermore, the DSC and TGA analyses of VOT-24BA-TOL showed that the simultaneous melting and decomposition process was non-reversible, which means that desolvation experiments were difficult to carry out through either simple heat or vacuum drying.
The DSC thermogram of VOT-25BA exhibited a sharp endothermic peak at 224 °C, and the TGA curve of VOT-25BA began to decompose at 206 °C, indicating that the melting process was accompanied by the decomposition process.
The DSC thermogram of VOT-26BA exhibited a sharp endothermic peak at 197 °C, and the TGA curve of VOT-26BA began to decompose at 184 °C, indicating that it was also a process of simultaneous melting and decomposition. The results of the DSC curves indicate that all the salts showed higher physical stability than the pure VOT.

3.4. Aqueous Solubility and Stability study

Aqueous solubility is an important property for drug oral activity as well as for pharmaceutical preparation [30]. The solubility study of vortioxetine and its dihydroxybenzoic salts were determined in water at 37 °C. The powder samples of the undissolved residue were also analyzed via PXRD, and the results showed that VOT-23BA-H2O, VOT-25BA, and VOT-26BA remained stable in water after 24-h solubility experiments (Figures S6–S10), while the VOT-24BA-TOL salt was unstable in aqueous solution. Furthermore, a simple comparison of the residual materials after solubility experiments with the patterns of former compounds (VOT and 24BA) is shown in Figure S11 and Table S2, the results showed a significant difference among the residual material, VOT and 24BA. This implies that the VOT-24BA-TOL was not resolved into VOT and 24BA, but rather an irreversible process. The solubility of dihydroxybenzoic salts followed the order of VOT-25BA > VOT-26BA > VOT-23BA-H2O (Table 3). In aqueous medium, the VOT-23BA-H2O, VOT-25BA, and VOT-26BA salts were found to more soluble than pure VOT.

4. Conclusions

In summary, four dihydroxybenzoic acid salts of the antidepressant drug vortioxetine were synthesized by slow solvent evaporation crystallization. VOT-24BA-TOL, VOT-25BA, and VOT-26BA showed similar [2+2] tetrameric R 4 4 (12) hydrogen bonds by acid-piperazine heterosynthon, whereas in the VOT-23BA-H2O salt, the VOT cation and 23BA anion interacted through protonated piperazine-hydroxyl N-H···O hydrogen bonds, not protonated piperazine-deprotonated carboxylic acid N-H···O hydrogen bonds. The DSC results indicate that all the salts showed higher physical stability than the pure VOT. The solubility study revealed that the VOT-23BA-H2O, VOT-25BA, and VOT-26BA salts exhibited an increased solubility in water compared to pure VOT. Furthermore, 25BA is considered a GRAS molecule and the solubility data indicate that the VOT-25BA salt may be a promising drug candidate.

Supplementary Materials

The following are available online at https://www.mdpi.com/2073-4352/9/10/536/s1, Figure S1: The different space stacked structure of VOT, VOT-23BA-H2O, VOT-24BA-TOL, VOT-25BA and VOT-26BA salts; Figure S2: Experimental (red) and simulated (black) PXRD patterns for VOT-23BA-H2O salt; Figure S3: Experimental (red) and simulated (black) PXRD patterns for VOT-24BA-TOL salt; Figure S4: Experimental (red) and simulated (black) PXRD patterns for VOT-25BA salt; Figure S5: Experimental (red) and simulated (black) PXRD patterns for VOT-26BA salt; Figure S6: PXRD analysis of the residual materials of VOT after 24h solubility in aqueous medium; Figure S7: PXRD analysis of the residual materials of VOT-23BA-H2O after 24h solubility in aqueous medium; Figure S8: PXRD analysis of the residual materials of VOT-24BA-TOL after 24h solubility in aqueous medium; Figure S9: PXRD analysis of the residual materials of VOT-25BA after 24h solubility in aqueous medium; Figure S10: PXRD analysis of the residual materials of VOT-26BA after 24h solubility in aqueous medium; Figure S11: The comparison diagram of the residual materials of VOT-24BA-TOL after 24h solubility with the patterns of former compounds (VOT and 24BA); Table S1: The major PXRD peaks (2θ) for VOT, VOT-23BA-H2O, VOT-24BA-TOL, VOT-25BA and VOT-26BA salts; Table S2: The major PXRD peaks (2θ) for the residual materials of VOT-24BA-TOL, VOT and 24BA.

Author Contributions

C.-J.C. and X.-R.Z. conceived and designed the experiments; L.G. and G.-Y.H. performed the experiments and analyzed the data. All the authors contributed to manuscript revision.

Funding

This research was funded by National Natural Science Foundation, grant number 81860736 and Guangxi Natural Science Foundation, grant number 2018GXNSFBA281167.

Acknowledgments

The work was supported by National Natural Science Foundation (Grant No.: 81860736) and Guangxi Natural Science Foundation (Grant No.: 2018GXNSFBA281167).

Conflicts of Interest

The authors declare no conflict of interest.

References

  1. Owoyemi, B.C.D.; da Silva, C.C.P.; Souza, M.S.; Diniz, L.F.; Ellena, J.; Carneiro, R.L. Synthesis and structural characterization of four new pharmaceutical cocrystal forms. Cryst. Growth Des. 2019, 5, 648–657. [Google Scholar] [CrossRef]
  2. Nechipadappu, S.K.; Truvedi, D.R. Pharmaceutical salts of ethionamide with GRAS counter ion donors to enhance the solubility. Eur. J. Pharm. Sci. 2017, 96, 578–589. [Google Scholar] [CrossRef] [PubMed]
  3. Berge, S.M.; Bighley, L.D.; Monkhouse, D.C. Pharmaceutical salts. J. Pharm. Sci. 1977, 66, 1–19. [Google Scholar] [CrossRef] [PubMed]
  4. Morissetee, S.L.; Almarsson, O.; Peterson, M.L.; Remenar, J.F.; Read, M.J.; Lemmo, A.V.; Ellis, S.; Cima, M.J.; Gardner, C.R. High-throughput crystallization: Polymorphs, salts, co-crystals and solvates of pharmaceutical solids. Adv. Drug Deliver. Rev. 2004, 56, 275–300. [Google Scholar] [CrossRef] [PubMed]
  5. Liu, L.; Zou, D.; Zhang, Y.; Zhang, D.; Zhang, Y.; Zhang, Q.; Wang, J.; Zeng, S.; Wang, C. Assembly of three pharmaceutical salts/cocrystals of tetrahydroberberine with sulfophenyl acids: Improving the properties by formation of charge-assisted hydrogen bonds. New J. Chem. 2019, 43, 4886–4894. [Google Scholar] [CrossRef]
  6. Carvalho, P.S.; Diniz, L.F.; Tenorio, J.C.; Souza, M.S.; Franco, C.H.; Rial, R.C.; de Oliveira, K.R.W.; Nazario, C.E.D.; Ellena, J. Pharmaceutical paroxetine-based organic salts of carboxylic acids with optimized properties: The identification and characterization of potential novel API solid forms. CrystEngComm 2019, 21, 3668–3678. [Google Scholar] [CrossRef]
  7. Sathisaran, I.; Dalvi, S. Engineering cocrystals of poor water-soluble drugs to enhance dissolution in aqueous medium. Pharmaceutics 2018, 10, 108. [Google Scholar] [CrossRef]
  8. Owoyemi, B.C.D.; Da Silva, C.C.P.; Diniz, L.F.; Souza, M.S.; Ellena, J.; Carneiro, R.L. Fluconazolium oxalate: Synthesis and structural characterization of a highly soluble crystalline form. CrystEngComm 2019, 21, 1114–1121. [Google Scholar] [CrossRef]
  9. Arabiani, M.R.; Lodagekar, A.; Yadav, B.; Chavan, R.B.; Shastri, N.R.; Purohit, P.Y.; Shelat, P.; Dave, D. Mechanochemical synthesis of brexpiprazole cocrystals to improve its pharmaceutical attributes. CrystEngComm 2019, 21, 800–806. [Google Scholar] [CrossRef]
  10. Park, B.; Yoon, W.; Yun, J.; Ban, E.; Yun, H.; Kim, A. Emodin-nicotinamide (1:2) cocrystal identified by thermal screening to improve emodin solubility. Int. J. Pharm. 2019, 557, 26–35. [Google Scholar] [CrossRef]
  11. Lu, Q.; Dun, J.; Chen, J.M.; Liu, S.; Sun, C.C. Improving solid-state properties of berberine chloride through forming a salt cocrystal with citric acid. Int. J. Pharm. 2019, 554, 14–20. [Google Scholar] [CrossRef]
  12. Burchell, C.J.; Ferguson, G.; Lough, A.J.; Gregson, R.M.; Glidewell, C. Hydrated salts of 3,5-dihydroxybenzoic acid with organic diamines: Hydrogen-bonded supramolecular structures in two and three dimensions. Acta Crystallogr. B 2001, 57, 329–338. [Google Scholar] [CrossRef] [PubMed]
  13. Childs, S.L.; Hardcastle, K.I. Cocrystal of chlorzoxazone with carboxylic acids. CrystEngComm 2007, 9, 364–367. [Google Scholar] [CrossRef]
  14. Brittain, H.G. Cocrytal systems of pharmaceutical interest: 2010. Cryst. Growth Des. 2012, 12, 1046–1054. [Google Scholar] [CrossRef]
  15. Sanphui, P.; Tothadi, S.; Ganguly, S.; Desiraju, G.R. Salt and cocrystals of sildenafil with dicarboxylic acids: Solubility and pharmacokinetic advantage of the glutarate salt. Mol. Pharm. 2013, 10, 4687–4697. [Google Scholar] [CrossRef] [PubMed]
  16. Varughese, S.; Desiraju, G.R. Using water as a design element in crystal engineering. Host-guest compounds of hydrated 3,5-dihydroxybenzoic acid. Cryst. Growth Des. 2010, 10, 4184–4196. [Google Scholar] [CrossRef]
  17. Gautam, M.K.; Besan, M.; Pandit, D.; Mandal, S.; Chadha, R. Cocrystal of 5-fluorouracil: Characterization and evaluation of biopharmaceutical parameters. AAPS PharmSciTech 2019, 20, 149. [Google Scholar] [CrossRef]
  18. Barbas, R.; Font-Bardia, M.; Paradkar, A.; Hunter, C.A.; Prohens, R. Combined virtual/experimental multicomponent solid forms screening of sildenafil: New salts, cocrystals, and hybrid salt-cocrystals. Cryst. Growth Des. 2018, 18, 7618–7627. [Google Scholar] [CrossRef]
  19. Nechipadappu, S.K.; Reddy, I.R.; Tarafder, K.; Trivedi, D.R. Salt/cocrystal of anti-fibrinolytic hemostatic drug tranexamic acid: Structural, DFT, and stability study of salt/cocrystal with GRAS molecules. Cryst. Growth Des. 2018, 19, 347–361. [Google Scholar] [CrossRef]
  20. Bora, P.; Saikia, B.; Sarma, B. Regulation of π··· π stacking interactions in small molecule cocrystals and/or salts for physiochemical property modulation. Cryst Growth Des. 2018, 18, 1448–1458. [Google Scholar] [CrossRef]
  21. Sanchez, C.; Asin, K.E.; Artigas, F. Vortioxetine, a novel antidepressant with multimodal activity: Review of preclinical and clinical data. Pharmacol. Ther. 2015, 145, 43–57. [Google Scholar] [CrossRef] [PubMed]
  22. Mclntyre, R.S.; Lophaven, S.; Olsen, C.K. A randomized, double-blind, placebo-controlled study of vortioxetine on cognitive function in depressed adults. Int. J. Neuropsychop. 2014, 17, 1557–1567. [Google Scholar] [CrossRef] [PubMed]
  23. He, S.F.; Zhang, X.R.; Zhang, S.; Guan, S.; Li, J.; Li, S.; Zhang, L. An investigation into vortioxetine salts: Crystal structure, thermal stability, and solubilization. J. Pharm. Sci. 2016, 105, 2123–2128. [Google Scholar] [CrossRef] [PubMed]
  24. Li, J.; Li, L.Y.; He, S.F.; Li, S.; Dong, C.Z.; Zhang, L. Crystal structures, X-ray photoelectron spectroscopy, thermodynamic stabilities, and improved solubilities of 2-hydrochloride salts of vortioxetine. J. Pharm. Sci. 2017, 106, 1069–1074. [Google Scholar] [CrossRef] [PubMed]
  25. Zhou, X.; Hu, X.; Wu, S.; Ye, J.; Sun, M.; Gu, J.; Zhu, J.; Zhang, Z. Structures and physicochemical properties of vortioxetine salts. Acta Crystallogr. B 2016, 72, 723–732. [Google Scholar] [CrossRef] [PubMed]
  26. Zhang, S.; Zhang, X.R.; He, S.F.; Li, J.; Zhang, L. Syntheses, crystal structures and theoretical studies of three novel salts of vortioxetine and the investigation of their solubility. Chin. J. Struct. Chem. 2016, 35, 1645–1654. [Google Scholar]
  27. Gao, L.; Zhang, X.R.; Yang, S.P.; Liu, J.J.; Chen, C.J. Improved solubility of vortioxetine using C2–C4 straight-chain dicarboxylic acid salt hydrates. Crystals 2018, 8, 352. [Google Scholar] [CrossRef]
  28. Sheldrick, G.M. SHELXTL, Version 5.1; Bruker Analytical X-ray Instruments Inc.: Madison, WI, USA, 1998. [Google Scholar]
  29. Sheldrick, G.M. SHELXL-97, PC Version; University of Göttingen: Göttingen, Germany, 1997. [Google Scholar]
  30. Lipinski, C. Poor aqueous solubility—An industry wide problem in drug discovery. Am. Pharm. Rev. 2002, 5, 82–85. [Google Scholar]
Scheme 1. Chemical structures of vortioxetine and coformers.
Scheme 1. Chemical structures of vortioxetine and coformers.
Crystals 09 00536 sch001
Figure 1. (a) Two 23BA anions and one water molecule form a two-dimension plane structure along the crystallographic b-axis through O4−H4···O1 and O5−H5A···O2 hydrogen bonds; (b) the sandwich 3D structure of the VOT-23BA-H2O salt.
Figure 1. (a) Two 23BA anions and one water molecule form a two-dimension plane structure along the crystallographic b-axis through O4−H4···O1 and O5−H5A···O2 hydrogen bonds; (b) the sandwich 3D structure of the VOT-23BA-H2O salt.
Crystals 09 00536 g001
Figure 2. (a) Two 24BA anions interacted with each other to form a one-dimensional chain structure. (b) The complex 3D structure of the VOT-24BA-TOL salt. (c) The toluene molecules existed in the cavity of the VOT-24BA-TOL salt.
Figure 2. (a) Two 24BA anions interacted with each other to form a one-dimensional chain structure. (b) The complex 3D structure of the VOT-24BA-TOL salt. (c) The toluene molecules existed in the cavity of the VOT-24BA-TOL salt.
Crystals 09 00536 g002
Figure 3. (a) Two 25BA anions formed an R 2 2 (14) synthon through O4−H4···O2 hydrogen bonds. (b) The sandwich 3D structure of the VOT-25BA salt.
Figure 3. (a) Two 25BA anions formed an R 2 2 (14) synthon through O4−H4···O2 hydrogen bonds. (b) The sandwich 3D structure of the VOT-25BA salt.
Crystals 09 00536 g003
Figure 4. The [2+2] tetrameric structure in the VOT-26BA salt.
Figure 4. The [2+2] tetrameric structure in the VOT-26BA salt.
Crystals 09 00536 g004
Scheme 2. Different hydrogen bonds synthons in crystal structures.
Scheme 2. Different hydrogen bonds synthons in crystal structures.
Crystals 09 00536 sch002
Figure 5. Experimental (red) and simulated (black) powder X-ray diffraction (PXRD) patterns for VOT, VOT-23BA-H2O, VOT-24BA-TOL, VOT-25BA, and VOT-26BA salts.
Figure 5. Experimental (red) and simulated (black) powder X-ray diffraction (PXRD) patterns for VOT, VOT-23BA-H2O, VOT-24BA-TOL, VOT-25BA, and VOT-26BA salts.
Crystals 09 00536 g005
Figure 6. DSC (black) and TGA (red) curves of VOT and its salts: (a) VOT, (b) VOT-23BA-H2O, (c) VOT-24BA-TOL, (d) VOT-25BA, and (e) VOT-26BA.
Figure 6. DSC (black) and TGA (red) curves of VOT and its salts: (a) VOT, (b) VOT-23BA-H2O, (c) VOT-24BA-TOL, (d) VOT-25BA, and (e) VOT-26BA.
Crystals 09 00536 g006
Table 1. Crystallographic parameters of vortioxetine and its dihydroxybenzoic acid salts.
Table 1. Crystallographic parameters of vortioxetine and its dihydroxybenzoic acid salts.
VOT-23BA-H2OVOT-24BA-TOLVOT-25BAVOT-26BA
chemical formula2C18H23N2S,
2C7H5O4,H2O
2C18H23N2S,
2C7H5O4,C7H8
C18H23N2S, C7H5O4C18H23N2S, C7H5O4
formula sumC50H58N4O9S2C57H64N4O8S2C25H28N2O4SC25H28N2O4S
formula weight923.12997.24452.55452.55
crystal systemmonoclinictriclinictriclinicmonoclinic
space groupC2/cP-1P-1P21/c
a (Å)26.5624(5)12.3577(8)9.9394(8)17.0666(8)
b (Å)8.10730(10)12.9526(6)10.1982(6)6.3133(2)
c (Å)23.0375(5)17.4064(11)12.1724(9)22.2716(10)
Α (°)9082.219(5)89.628(6)90
Β (°)92.162(2)80.757(6)76.453(7)107.112(5)
γ (°)9087.213(4)85.399(6)90
Z4224
V (Å3)4957.58(16)2723.6(3)1195.55(15)2293.46(17)
Dcalc (g cm−3)1.2371.2161.2571.311
M (mm−1)1.4441.3391.4720.175
reflns. collected4385961245733075
observed reflns.3509388921872592
R1 (I > 2σ (I))0.04380.06770.06320.0409
wR2 (all data, F2)0.12460.17030.17040.0995
GOF1.0541.0361.0421.013
largest diff. peak and hole (e·Å-3)0.775/–0.1680.341/–0.3560.271/–0.4680.184/–0.240
CCDC1,937,9361,937,9371,937,9381,937,939
Table 2. Hydrogen bond distances (Å) and angles (°) of vortioxetine and its dihydroxybenzoic acid salts.
Table 2. Hydrogen bond distances (Å) and angles (°) of vortioxetine and its dihydroxybenzoic acid salts.
H-Bondd(D−H)d(H···A)d(D···A)∠(DHA)Symmetry Code
VOT-23BA-H2O
N1+−H1B···O30.881.992.856(2)166x, y, z
N1+−H1A···O50.931.862.783(2)174x, y, z
O3−H3···O21.011.512.471(2)156x, y, z
O4−H4···O10.881.712.585(2)177x, y+1, z
O5−H5A···O20.901.772.658(2)172x, y+1, z
VOT-24BA-TOL
N1+−H1C···O10.802.022.804(4)165-x+1, -y+1, -z
N1+−H1D···O21.041.702.722(4)167x, y+1, z
N3+−H3C···O60.861.882.738(4)168x-1, y, z
N3+−H3D···O50.931.822.743(4)170-x+1, -y+1, -z
O3−H3···O20.921.672.542(4)155x, y, z
O4−H4···O50.702.042.726(4)169x, y, z
O7−H7A···O60.761.812.526(4)155x, y, z
O8−H8A···O10.931.792.714(4)171x, y+1, z
VOT-25BA
N1+−H1C···O20.971.862.810(3)168x, y+1, z
N1+−H1D···O11.011.722.723(3)173-x, -y+1, -z
O3−H3···O10.961.682.555(3)150x, y, z
O4−H4···O20.891.842.685(3)157-x+1, -y, -z
VOT-26BA
N1+−H1A···O20.911.912.814(3)173-x+1, y-1/2, -z+3/2
N1+−H1B···O10.951.852.753(3)158x, -y-1/2, z-1/2
O3−H3···O20.821.822.548(3)147x, y, z
O4−H4···O10.821.852.573(3)147x, y, z
Table 3. Solubility of vortioxetine and its dihydroxybenzoic acid salts in water at 37 °C.
Table 3. Solubility of vortioxetine and its dihydroxybenzoic acid salts in water at 37 °C.
CompoundEquilibrium Solubility of VOT in Water (mg/mL)Coformer Solubility in Water(a) (mg/mL)
VOT0.04-
VOT-23BA-H2O0.0926.10
VOT-24BA-TOL-5.78
VOT-25BA0.355.00
VOT-26BA0.209.56
(a) Data source: ChemIDplus Advanced (http://www.chem.sis.nlm.nih.gov/chemidplus/).

Share and Cite

MDPI and ACS Style

Zhang, X.-R.; Gao, L.; He, G.-Y.; Chen, C.-J. Investigations on the Solubility of Vortioxetine Based on X-ray Structural Data and Crystal Contacts. Crystals 2019, 9, 536. https://doi.org/10.3390/cryst9100536

AMA Style

Zhang X-R, Gao L, He G-Y, Chen C-J. Investigations on the Solubility of Vortioxetine Based on X-ray Structural Data and Crystal Contacts. Crystals. 2019; 9(10):536. https://doi.org/10.3390/cryst9100536

Chicago/Turabian Style

Zhang, Xian-Rui, Lei Gao, Gui-Yuan He, and Chao-Jie Chen. 2019. "Investigations on the Solubility of Vortioxetine Based on X-ray Structural Data and Crystal Contacts" Crystals 9, no. 10: 536. https://doi.org/10.3390/cryst9100536

APA Style

Zhang, X.-R., Gao, L., He, G.-Y., & Chen, C.-J. (2019). Investigations on the Solubility of Vortioxetine Based on X-ray Structural Data and Crystal Contacts. Crystals, 9(10), 536. https://doi.org/10.3390/cryst9100536

Note that from the first issue of 2016, this journal uses article numbers instead of page numbers. See further details here.

Article Metrics

Back to TopTop