Cobalt(II) Terpyridin-4′-yl Nitroxide Complex as an Exchange-Coupled Spin-Crossover Material
Abstract
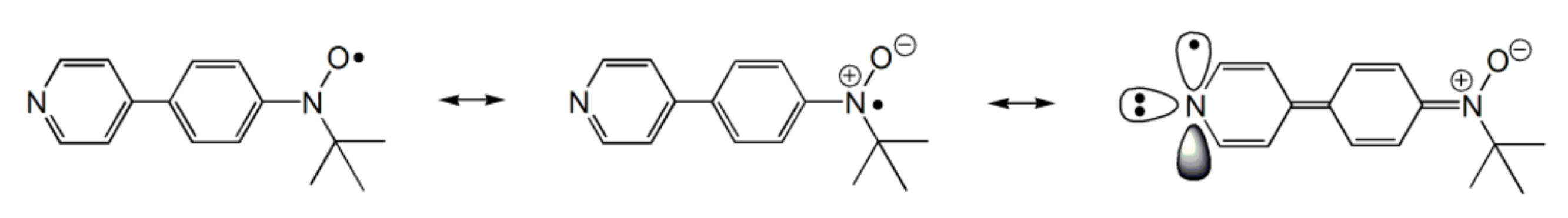
:1. Introduction
2. Materials and Methods
2.1. Materials
2.2. Crystallographic Analysis
2.3. Magnetic Study
3. Results and Discussion
3.1. Preparation
3.2. Crystal Structures
3.3. Magnetic Properties
- g1/2,1 = (4grad − gCo2+,LS)/3
- g3/2,1 = (2grad + gCo2+,LS)/3
- g1/2,0 = gCo2+,LS
4. Conclusions
Acknowledgment
Author Contributions
Conflicts of Interest
References
- Gütlich, P.; Goodwin, H.A. (Eds.) Spin Crossover in Transition Metal Compounds I, II, and III; Springer: Berlin, Germany, 2004. [Google Scholar]
- Halcrow, M.A. Spin-Crossover Materials: Properties and Applications; John Wiley & Sons, Ltd.: Oxford, UK, 2013. [Google Scholar]
- Kahn, O. Chapter 4, Low-Spin–High-Spin Transition. In Molecular Magnetism; VCH: Weinhein, Germany, 1993. [Google Scholar]
- Gentili, D.; Demitri, N.; Schäfer, B.; Liscio, F.; Bergenti, I.; Ruani, G.; Ruben, M.; Cavallini, M. Multi-modal sensing in spin crossover compounds. J. Mater. Chem. C 2015, 3, 7836–7844. [Google Scholar] [CrossRef]
- Galyametdinov, Y.; Ksenofontov, V.; Prosvirin, A.; Ovchinnikov, I.; Ivanova, G.; Gutlich, P.; Haase, W. First Example of Coexistence of Thermal Spin Transition and Liquid-Crystal Properties. Angew. Chem. Int. Ed. 2001, 40, 4269–4271. [Google Scholar] [CrossRef]
- Oso, Y.; Ishida, T. Spin-crossover transition in a mesophase iron(II) thiocyanate complex chelated with 4-hexadecyl-N-(2-pyridylmethylene)aniline. Chem. Lett. 2009, 38, 604–605. [Google Scholar] [CrossRef]
- Oso, Y.; Kanatsuki, D.; Saito, S.; Nogami, T.; Ishida, T. Spin-crossover transition coupled with another solid-solid phase transition for iron(II) thiocyanate complexes chelated with alkylated N-(di-2-pyridylmethylene)anilines. Chem. Lett. 2008, 37, 760–761. [Google Scholar] [CrossRef]
- Gass, I.A.; Tewary, S.; Rajaraman, G.; Asadi, M.; Lupton, D.W.; Moubaraki, B.; Chastanet, G.; Létard, J.F.; Murray, K.S. Solvate-dependent spin crossover and exchange in cobalt(II) oxazolidine nitroxide chelates. Inorg. Chem. 2014, 53, 5055–5066. [Google Scholar] [CrossRef] [PubMed]
- Gass, I.A.; Tewary, S.; Nafady, A.; Chilton, N.F.; Gartshore, C.J.; Asadi, M.; Lupton, D.W.; Moubaraki, B.; Bond, A.M.; Boas, J.F.; et al. Observation of ferromagnetic exchange, spin crossover, reductively induced oxidation, and field-induced slow magnetic relaxation in monomeric cobalt nitroxides. Inorg. Chem. 2013, 52, 7557–7572. [Google Scholar] [CrossRef] [PubMed]
- Kitazawa, T.; Gomi, Y.; Takahashi, M.; Takeda, M.; Enomoto, M.; Miyazaki, A.; Enoki, T. Spin-crossover behaviour of the coordination polymer FeII(C5H5N)2NiII(CN)4. J. Mater. Chem. 1996, 6, 119–121. [Google Scholar] [CrossRef]
- Letard, J.-F.; Guionneau, P.; Nguyen, O.; Costa, J.S.; Marcen, S.; Chastanet, G.; Marchivie, M.; Goux-Capes, L. A guideline to the design of molecular-based materials with long-lived photomagnetic lifetimes. Chem. Eur. J. 2005, 11, 4582–4589. [Google Scholar] [CrossRef] [PubMed]
- Mochida, N.; Kimura, A.; Ishida, T. Spin-Crossover Hysteresis of [FeII(LHiPr)2(NCS)2] (LHiPr = N-2-Pyridylmethylene-4-isopropylaniline Accompanied by Isopropyl Conformation Isomerism. Magnetochemistry 2015, 1, 17–27. [Google Scholar] [CrossRef]
- Yamasaki, M.; Ishida, T. Heating-rate dependence of spin-crossover hysteresis observed in an iron(II) complex having tris(2-pyridyl)methanol. J. Mater. Chem. C 2015, 3, 7784–7787. [Google Scholar] [CrossRef]
- Homma, Y.; Ishida, T. A New S = 0 ⇄ S = 2 “Spin-crossover” Scenario Found in a Nickel(II) Bis(nitroxide) System. Chem. Mater. 2018, 30, 1835–1838. [Google Scholar] [CrossRef]
- Hayami, S.; Komatsu, Y.; Shimizu, T.; Kamihata, H.; Lee, Y.H. Spin-crossover in cobalt(II) compounds containing terpyridine and its derivatives. Coord. Chem. Rev. 2011, 255, 1981–1990. [Google Scholar] [CrossRef]
- Krivokapic, I.; Zerara, M.; Daku, M.L.; Vargas, A.; Enachescu, C.; Ambrus, C.; Tregenna-Piggott, P.; Amstutz, N.; Krausz, E.; Hauser, A. Spin-crossover in cobalt(II) imine complexes. Coord. Chem. Rev. 2007, 251, 364–378. [Google Scholar] [CrossRef]
- Murray, K.S. Advances in Polynuclear Iron(II), Iron(III) and Cobalt(II) Spin-Crossover Compounds. Eur. J. Inorg. Chem. 2008, 3101–3121. [Google Scholar] [CrossRef]
- Brooker, S. Spin crossover with thermal hysteresis: Practicalities and lessons learnt. Chem. Soc. Rev. 2015, 44, 2880–2892. [Google Scholar] [CrossRef] [PubMed]
- Kilner, C.A.; Halcrow, M.A. An unusual discontinuity in the thermal spin transition in [Co(terpy)2][BF4]2. Dalton Trans. 2010, 39, 9008–9012. [Google Scholar] [CrossRef] [PubMed]
- Oshio, H.; Spiering, H.; Ksenofontov, V.; Renz, F.; Gütlich, P. Electronic Relaxation Phenomena Following 57Co (EC) 57Fe Nuclear Decay in [MnII(terpy)2](ClO4)2·1/2H2O and in the Spin Crossover Complexes [CoII(terpy)2]X2·nH2O (X = Cl and ClO4): A Mössbauer Emission Spectroscopic Study. Inorg. Chem. 2001, 40, 1143–1150. [Google Scholar] [CrossRef] [PubMed]
- Aroua, S.; Todorova, T.K.; Hommes, P.; Chamoreau, L.M.; Reissig, H.U.; Mougel, V.; Fontecave, M. Synthesis, Characterization, and DFT Analysis of Bis-Terpyridyl-Based Molecular Cobalt Complexes. Inorg. Chem. 2017, 56, 5930–5940. [Google Scholar] [CrossRef] [PubMed]
- Enachescu, C.; Krivokapic, I.; Zerara, M.; Real, J.A.; Amstutz, N.; Hauser, A. Optical investigation of spin-crossover in cobalt(II) bis-terpy complexes. Inorg. Chim. Acta 2007, 360, 3945–3950. [Google Scholar] [CrossRef]
- Adams, D.M.; Hendrickson, D.N. Pulsed laser photolysis and thermodynamics studies of intramolecular electron transfer in valence tautomeric cobalt o-quinone complexes. J. Am. Chem. Soc. 1996, 118, 11515–11528. [Google Scholar] [CrossRef]
- Pierpont, C.G. Studies on charge distribution and valence tautomerism in transition metal complexes of catecholate and semiquinonate ligands. Coord. Chem. Rev. 2001, 216, 99–125. [Google Scholar] [CrossRef]
- Escax, V.; Bleuzen, A.; Cartier dit Moulin, C.; Villain, F.; Goujon, A.; Varret, F.; Verdaguer, M. Photoinduced Ferrimagnetic Systems in Prussian Blue Analogues CIxCo4[Fe(CN)6]y (CI = Alkali Cation). 3. Control of the Photo-and Thermally Induced Electron Transfer by the [Fe(CN)6] Vacancies in Cesium Derivatives. J. Am. Chem. Soc. 2001, 123, 12536–12543. [Google Scholar] [CrossRef] [PubMed]
- Sato, O.; Cui, A.; Matsuda, R.; Tao, J.; Hayami, S. Photo-induced valence tautomerism in Co complexes. Acc. Chem. Res. 2007, 40, 361–369. [Google Scholar] [CrossRef] [PubMed]
- Calder, A.; Forrester, A.R. Nitroxide radicals. Part VI. Stability of meta-and para-alkyl substituted phenyl-t-butylnitroxides. J. Chem. Soc. C 1969, 1459–1464. [Google Scholar] [CrossRef]
- Murata, H.; Lahti, P.M.; Aboaku, S. Molecular recognition in a heteromolecular radical pair system with complementary multipoint hydrogen-bonding. Chem. Commun. 2008, 3441–3443. [Google Scholar] [CrossRef] [PubMed]
- Lahti, P.M.; Liao, Y.; Julier, M.; Palacio, F. s-Triazine as an exchange linker in organic high-spin molecules. Synth. Met. 2001, 122, 485–493. [Google Scholar] [CrossRef]
- CrystalStructure, Version 4.2.1; Rigaku/MSC: The Woodlands, TX, USA, 2015.
- Kahn, O. Chapter 1.2, Diamagnetic and Paramagnetic Susceptibilities. In Molecular Magnetism; VCH: Weinhein, Germany, 1993. [Google Scholar]
- Suzuki, A. Cross-coupling reactions of organoboranes: An easy way to construct C-C bonds (Nobel lecture). Angew. Chem. Int. Ed. 2011, 50, 6722–6737. [Google Scholar] [CrossRef] [PubMed]
- Pavlov, A.A.; Denisov, G.L.; Kiskin, M.A.; Nelyubina, Y.V.; Novikov, V.V. Probing Spin Crossover in a Solution by Paramagnetic NMR Spectroscopy. Inorg. Chem. 2017, 56, 14759–14762. [Google Scholar] [CrossRef] [PubMed]
- Okazawa, A.; Nagaichi, Y.; Nogami, T.; Ishida, T. Magneto-structure relationship in copper(II) and nickel(II) complexes chelated with stable tert-butyl 5-phenyl-2-pyridyl nitroxide and related radicals. Inorg. Chem. 2008, 47, 8859–8868. [Google Scholar] [CrossRef] [PubMed]
- Wu, S.Q.; Wang, Y.T.; Cui, A.L.; Kou, H.Z. Toward Higher Nuclearity: Tetranuclear Cobalt(II) Metallogrid Exhibiting Spin Crossover. Inorg. Chem. 2014, 53, 2613–2618. [Google Scholar] [CrossRef] [PubMed]
- Tiwary, S.K.; Vasudevan, S. Void geometry driven spin crossover in zeolite-encapsulated cobalt tris(bipyridyl) complex ion. Inorg. Chem. 1998, 37, 5239–5246. [Google Scholar] [CrossRef]
- Halcrow, M.A. Structure: Function relationships in molecular spin-crossover complexes. Chem. Soc. Rev. 2011, 40, 4119–4142. [Google Scholar] [CrossRef] [PubMed]
- Kimura, A.; Ishida, T. Pybox-Iron(II) Spin-Crossover Complexes with Substituent Effects from the 4-Position of the Pyridine Ring (Pybox = 2,6-Bis(oxazolin-2-yl)pyridine). Inorganics 2017, 5, 52. [Google Scholar]
- Guionneau, P.; Marchivie, M.; Bravic, G.; Létard, J.-F.; Chasseau, D. Structural Aspects of Spin Crossover. Example of the [FeIILn(NCS)2] Complexes. Top. Curr. Chem. 2004, 234, 97–128. [Google Scholar]
- Lluncll, M.; Casanova, D.; Circra, J.; Bofill, J.M.; Alcmany, P.; Alvarez, S.; Pinsky, M.; Avnir, D. SHAPE, v2.1; University of Barcelona: Barcelona, Spain; The Hebrew University of Jerusalem: Jerusalem, Israel, 2005. [Google Scholar]
- Gruber, S.J.; Harris, C.M.; Sinn, E. Metal complexes as ligands. VI. Antiferromagnetic interactions in trinuclear complexes containing similar and dissimilar metals. J. Chem. Phys. 1968, 49, 2183–2191. [Google Scholar] [CrossRef]
- Okazawa, A.; Nogami, T.; Ishida, T. tert-Butyl 2-Pyridyl Nitroxide Available as a Paramagnetic Chelate Ligand for Strongly Exchange-Coupled Metal−Radical Compounds. Chem. Mater. 2007, 19, 2733–2735. [Google Scholar] [CrossRef]
- Kahn, O. Chapter 10, Trinuclear Compounds and Compounds of Higher Nuclearity. In Molecular Magnetism; VCH: Weinhein, Germany, 1993. [Google Scholar]
- Boca, R. Theoretical Foundations of Molecular Magnetism: Current Methods in Inorganic Chemistry; Elsevier: Amsterdam, The Netherlands, 1999; Volume 1. [Google Scholar]
- Sorai, M.; Seki, S. Phonon Coupled Cooperative Low-Spin 1A1 High-Spin 5T2 transition in [Fe(phen)2(NCS)2] and [Fe(phen)2(NCSe)2] Crystals. J. Phys. Chem. Solids 1974, 35, 555–570. [Google Scholar] [CrossRef]
- Luneau, D.; Rey, P.; Laugier, J.; Belorizky, E.; Conge, A. Ferromagnetic Behavior of Nickel(II)-Imino Nitroxide Derivatives. Inorg. Chem. 1992, 31, 3578–3584. [Google Scholar] [CrossRef]
- Ondo, A.; Ishida, T. Structures and magnetic properties of transition metal complexes involving 2, 2′-bipyridin-6-yl nitroxide. AIP Conf. Proc. 2017, 1807, 020023. [Google Scholar]
- Okazawa, A.; Nogami, T.; Ishida, T. Strong intramolecular ferromagnetic couplings in nickel(II) and copper(II) complexes chelated with tert-butyl 5-methoxy-2-pyridyl nitroxide. Polyhedron 2009, 28, 1917–1921. [Google Scholar] [CrossRef]
- Okazawa, A. Magneto-Structural Relationship on Strong Exchange Interactions between Chelating Nitroxide Radical and Transition-Metal Spins. IOP Conf. Ser. Mater. Sci. Eng. 2017, 202, 012002. [Google Scholar] [CrossRef]
- Okazawa, A.; Hashizume, D.; Ishida, T. Ferro-and antiferromagnetic coupling switch accompanied by twist deformation around the copper(II) and nitroxide coordination bond. J. Am. Chem. Soc. 2010, 132, 11516–11524. [Google Scholar] [CrossRef] [PubMed]
- Okazawa, A.; Ishida, T. Spin-Transition-Like Behavior on One Side in a Nitroxide-Copper(II)-Nitroxide Triad System. Inorg. Chem. 2010, 49, 10144–10147. [Google Scholar] [CrossRef] [PubMed]
- Shimada, T.; Ishida, T.; Nogami, T. Magnetic properties of transition metal complexes with 2, 2′-bipyridin-5-yl t-butyl nitroxide. Polyhedron 2005, 24, 2593–2598. [Google Scholar] [CrossRef]
- Kumada, H.; Sakane, A.; Koga, N.; Iwamura, H. Through-bond magnetic interaction between the 2p spin of the aminoxyl radical and the 3d spin of the metal ions in the complexes of bis(hexafluoroacetylacetonato)manganese(II) and -copper(II) with 4-(N-tert-butyl-N-oxylamino)-2,2′-bipyridine. J. Chem. Soc. Dalton Trans. 2000, 911–914. [Google Scholar] [CrossRef]
- Brooker, S.; Plieger, P.G.; Moubaraki, B.; Murray, K.S. [CoII2L(NCS)2(SCN)2]: The First Cobalt Complex to Exhibit Both Exchange Coupling and Spin Crossover Effects. Angew. Chem. Int. Ed. 1999, 38, 408–410. [Google Scholar] [CrossRef]
- Damrauer, N.H.; Boussie, T.R.; Devenney, M.; McCusker, J.K. Effects of intraligand electron delocalization, steric tuning, and excited-state vibronic coupling on the photophysics of aryl-substituted bipyridyl complexes of Ru(II). J. Am. Chem. Soc. 1997, 119, 8253–8268. [Google Scholar] [CrossRef]
- Nishizawa, S.; Hasegawa, J.Y.; Matsuda, K. Theoretical investigation of the dependence of exchange interaction on dihedral angle between two aromatic rings in a wire unit. Chem. Lett. 2013, 43, 530–532. [Google Scholar] [CrossRef]
- Ravat, P.; Baumgarten, M. “Tschitschibabin type biradicals”: Benzenoid or quinoid? Phys. Chem. Chem. Phys. 2015, 17, 983–991. [Google Scholar] [CrossRef] [PubMed]







| L | tpyphNO | tpyphNO | tpy | tpy |
|---|---|---|---|---|
| T/K | 90 | 300 | 90 | 400 |
| Formula weight | 1148.03 | 1148.03 | 823.61 | 823.61 |
| Crystal system | monoclinic | monoclinic | orthorhombic | orthorhombic |
| Space group | P21/c | P21/c | Pbcn | Pbcn |
| a/Å | 19.6868(14) | 20.0956(19) | 16.554(4) | 16.884(2) |
| b/Å | 16.2129(14) | 16.5156(18) | 21.145(5) | 21.384(3) |
| c/Å | 16.3614(10) | 16.4648(14) | 9.0805(19) | 9.2858(13) |
| β/° | 107.774(4) | 108.753(4) | 90 | 90 |
| V/Å3 | 4973.0(6) | 5174.4(9) | 3178.4(12) | 3352.7(8) |
| Z | 4 | 4 | 4 | 4 |
| dcalcd/g·cm−3 | 1.533 | 1.474 | 1.721 | 1.632 |
| μ (MoKα)/mm−1 | 0.517 | 0.497 | 0.765 | 0.725 |
| No. of unique reflections | 11373 | 10989 | 3516 | 3569 |
| R(F) (I > 2σ(I)) a | 0.0639 | 0.0698 | 0.0567 | 0.0700 |
| wR (F2) (all reflections) b | 0.1597 | 0.1869 | 0.1426 | 0.1518 |
| Goodness-of-fit parameter | 1.036 | 1.011 | 0.951 | 1.031 |
| L | tpyphNO | tpyphNO | tpy | tpy |
|---|---|---|---|---|
| T/K | 90 | 300 | 90 | 400 |
| d(O1–N4)/Å | 1.300(4) | 1.282(4) | - | - |
| d(O2–N8)/Å | 1.293(4) | 1.279(4) | - | - |
| Ncentral | ||||
| d(Co1–N2)/Å | 1.877(3) | 2.017(3) | 1.912(4) | 2.024(4) |
| d(Co1–N6/4)/Å | 1.941(3) | 2.025(3) | 1.886(4) | 2.023(4) |
| dcentral,avg/Å | 1.91 | 2.02 | 1.90 | 2.02 |
| Δdcentral/Å | 0.11 | 0.12 | ||
| Ndistal | ||||
| d(Co1–N1)/Å | 2.011(3) | 2.144(3) | 2.143(3) | 2.134(3) |
| d(Co1–N3)/Å | 2.010(3) | 2.130(3) | 2.017(3) | 2.120(3) |
| d(Co1–N5)/Å | 2.170(3) | 2.154(3) | - | - |
| d(Co1–N7)/Å | 2.157(3) | 2.154(3) | - | - |
| ddistal,avg/Å | 2.09 | 2.15 | 2.08 | 2.13 |
| Δddistal/Å | 0.06 | 0.05 |
| L | tpyphNO | tpyphNO | L a | tpy | tpy |
|---|---|---|---|---|---|
| T/K | 90 | 300 | T/K | 90 | 400 |
| ϕ(N1–Co1–N2)/° | 80.99(11) | 76.99(11) | ϕ(N1–Co1–N2)/° | 78.93(8) | 76.80(8) |
| ϕ(N1–Co1–N3)/° | 161.09(11) | 152.95(12) | ϕ(N1–Co1–N1 #)/° | 157.87(17) | 153.59(17) |
| ϕ(N1–Co1–N5)/° | 97.53(10) | 100.25(11) | ϕ(N1–Co1–N3)/° | 94.58(12) | 96.27(12) |
| ϕ(N1–Co1–N6)/° | 94.64(11) | 95.43(11) | ϕ(N1–Co1–N3 #)/° | 89.07(11) | 89.74(12) |
| ϕ(N1–Co1–N7)/° | 89.03(10) | 89.93(11) | ϕ(N1–Co1–N4)/° | 101.07(8) | 103.20(8) |
| ϕ(N2–Co1–N3)/° | 80.14(10) | 76.20(11) | ϕ(N1 #–Co1–N4)/° | 101.06(8) | 103.21(8) |
| ϕ(N2–Co1–N5)/° | 101.31(11) | 103.23(12) | ϕ(N1 #–Co1–N3)/° | 89.07(11) | 89.74(12) |
| ϕ(N2–Co1–N6)/° | 175.55(11) | 172.30(11) | ϕ(N1 #–Co1–N3 #)/° | 94.58(12) | 96.27(12) |
| ϕ(N2–Co1–N7)/° | 102.63(11) | 104.88(12) | ϕ(N2–Co1–N1 #)/° | 78.94(8) | 76.79(8) |
| ϕ(N3–Co1–N5)/° | 87.43(10) | 89.28(11) | ϕ(N2–Co1–N3)/° | 99.53(9) | 103.24(9) |
| ϕ(N3–Co1–N6)/° | 104.24(11) | 111.44(11) | ϕ(N2–Co1–N3 #)/° | 99.53(9) | 103.24(9) |
| ϕ(N3–Co1–N7)/° | 93.83(10) | 93.53(11) | ϕ(N2–Co1–N4)/° | 180.0 | 180.0 |
| ϕ(N5–Co1–N6)/° | 78.32(11) | 76.55(12) | ϕ(N3–Co1–N4)/° | 80.47(9) | 76.76(9) |
| ϕ(N5–Co1–N7)/° | 155.89(10) | 151.61(12) | ϕ(N3–Co1–N3 #)/° | 160.94(18) | 153.52(18) |
| ϕ(N6–Co1–N7)/° | 78.04(11) | 76.14(12) | ϕ(N4–Co1–N3 #)/° | 80.47(9) | 76.76(9) |
| Σ/° | 100.2 | 123.7 | Σ/° | 93.4 | 118.8 |
| CShM (Oh) | 2.824 | 4.282 | CShM (Oh) | 2.484 | 3.672 |
© 2018 by the authors. Licensee MDPI, Basel, Switzerland. This article is an open access article distributed under the terms and conditions of the Creative Commons Attribution (CC BY) license (http://creativecommons.org/licenses/by/4.0/).
Share and Cite
Ondo, A.; Ishida, T. Cobalt(II) Terpyridin-4′-yl Nitroxide Complex as an Exchange-Coupled Spin-Crossover Material. Crystals 2018, 8, 155. https://doi.org/10.3390/cryst8040155
Ondo A, Ishida T. Cobalt(II) Terpyridin-4′-yl Nitroxide Complex as an Exchange-Coupled Spin-Crossover Material. Crystals. 2018; 8(4):155. https://doi.org/10.3390/cryst8040155
Chicago/Turabian StyleOndo, Akihiro, and Takayuki Ishida. 2018. "Cobalt(II) Terpyridin-4′-yl Nitroxide Complex as an Exchange-Coupled Spin-Crossover Material" Crystals 8, no. 4: 155. https://doi.org/10.3390/cryst8040155
APA StyleOndo, A., & Ishida, T. (2018). Cobalt(II) Terpyridin-4′-yl Nitroxide Complex as an Exchange-Coupled Spin-Crossover Material. Crystals, 8(4), 155. https://doi.org/10.3390/cryst8040155

