Selective and Recyclable Sensing of Aqueous Phase 2,4,6-Trinitrophenol (TNP) Based on Cd(II) Coordination Polymer with Zwitterionic Ligand
Abstract
:1. Introduction
2. Experimental Section
2.1. Material and Methods
2.2. Synthetic Procedures
2.2.1. Synthesis of 3,5-dicarboxy-1-(3-carboxybenzyl)pyridin-1-ium chloride (H3DccbpCl)
2.2.2. Synthesis of {[Cd4(Dccbp)4]·H2O} (1)
2.3. Crystallography
3. Results
3.1. Crystal Structures
3.1.1. Descriptions of the Crystal Structures of {[Cd4(Dccbp)4]·H2O} (1)
3.1.2. Powder X-ray Power Diffraction (PXRD) and Thermogravimetric Analysis (TGA)
3.2. Solid-State Luminescence of Compound 1
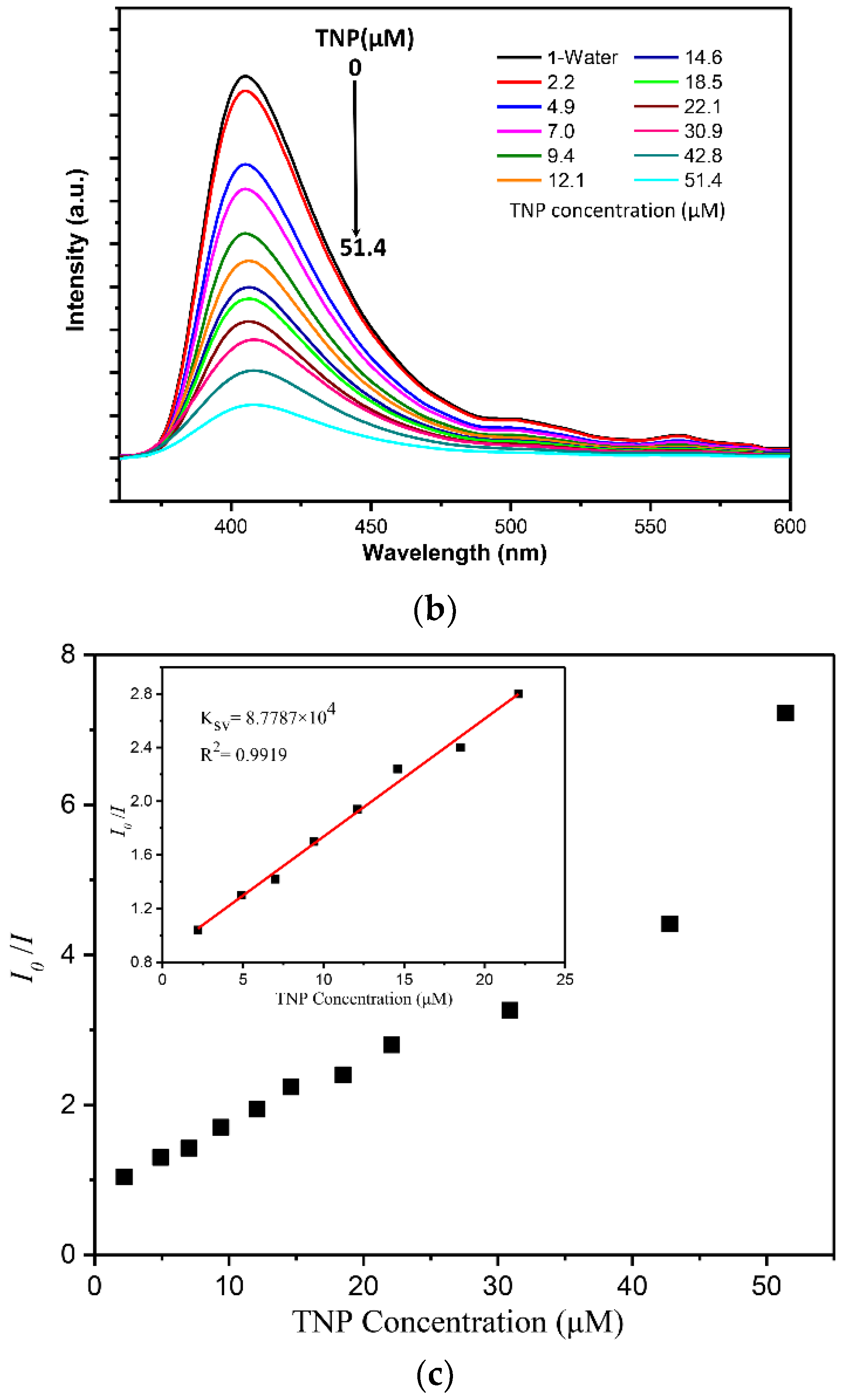
3.3. Selective sensing of 2,4,6-Trinitrophenol
4. Conclusions
Supplementary Materials
Author Contributions
Funding
Conflicts of Interest
Appendix A
References
- Liao, P.-Q.; Huang, N.-Y.; Zhang, W.-X.; Zhang, J.-P.; Chen, X.-M. Controlling guest conformation for efficient purification of butadiene. Science 2017, 356, 1193–1196. [Google Scholar] [CrossRef]
- Serre, C.; Mellot-Draznieks, C.; Surble, S.; Audebrand, N.; Filinchuk, Y.; Ferey, G. Role of solvent-host interactions that lead to very large swelling of hybrid frameworks. Science 2007, 315, 1828–1831. [Google Scholar] [CrossRef]
- Li, F.-L.; Shao, Q.; Huang, X.-Q.; Lang, J.-P. Nanoscale trimetallic metal-organic frameworks enable efficient oxygen evolution electrocatalysis. Angew. Chem. Int. Ed. 2018, 57, 1888–1892. [Google Scholar] [CrossRef]
- Férey, G.; Mellot-Draznieks, C.; Serre, C.; Millange, F.; Dutour, J.; Surblé, S.; Margiolaki, I. A Chromium Terephthalate-Based Solid with Unusually Large Pore Volumes and Surface Area. Science 2005, 309, 2040–2042. [Google Scholar] [CrossRef]
- Xu, Z.-X.; Ma, Y.-L.; Zhang, L.-S.; Zhang, J. A couple of Co(II) enantiomers constructed from semirigid lactic acid derivatives. Inorg. Chem. Commum. 2016, 73, 115–118. [Google Scholar] [CrossRef]
- Miao, S.; Sun, X.; Wang, K.; Xu, C.; Li, Z.; Wang, Z. Effect of Charge on the Structures of Zn(II) Coordination Polymers with Triazole-carboxylate Ligands: Syntheses, Structures, and Luminescent Properties. Crystals 2018, 8, 312. [Google Scholar] [CrossRef]
- Xu, Z.-X.; Ma, Y.-L.; Lv, G.-L. Homochiral coordination polymers with helixes and metal clusters based on lactate derivatives. J. Solid State Chem. 2017, 249, 210–214. [Google Scholar] [CrossRef]
- Gu, J.; Cai, Y.; Wen, M.; Ge, Z.; Kirillov, A.M. New Topologically Unique Metal-Organic Architectures Driven by a Pyridine-Tricarboxylate Building Block. Crystals 2018, 8, 353. [Google Scholar] [CrossRef]
- Yang, Q.H.; Xu, Q.; Jiang, H.-L. Metal–organic frameworks meet metal nanoparticles: Synergistic effect for enhanced catalysis. Chem. Soc. Rev. 2017, 46, 4774–4808. [Google Scholar] [CrossRef]
- An, W.; Aulakh, D.; Zhang, X.; Verdegaal, W.; Dunbar, K.R.; Wriedt, M. Switching of Adsorption Properties in a Zwitterionic Metal-Organic Framework Triggered by Photogenerated Radical Triplets. Chem. Mater. 2016, 28, 7825–7832. [Google Scholar] [CrossRef]
- Huang, Y.-Q.; Cheng, H.-D.; Chen, H.-Y.; Wan, Y.; Liu, C.-L.; Zhao, Y.; Xiao, X.-F.; Chen, L.-H. Structural diversity in coordination polymers with a semirigid Lewis acidity ligand: Structures and properties. CrystEngComm 2015, 17, 5690–5701. [Google Scholar] [CrossRef]
- Leroux, M.; Mercier, N.; Allain, M.; Dul, M.-C.; Dittmer, J.; Kassiba, A.H.; Bellat, J.-P.; Weber, G.; Bezverkhyy, I. Porous Coordination Polymer Based on Bipyridinium Carboxylate Linkers with High and Reversible Ammonia Uptake. Inorg. Chem. 2016, 55, 8587–8594. [Google Scholar] [CrossRef]
- Wang, K.; Ma, Y.; Tang, H. Lanthanide Coordination Polymers as Luminescent Sensors for the Selective and Recyclable Detection of Acetone. Crystals 2017, 7, 199. [Google Scholar] [CrossRef]
- Wang, K.-M.; Du, L.; Ma, Y.-L.; Zhao, J.-S.; Wang, Q.; Yan, T.; Zhao, Q.-H. Multifunctional chemical sensors and luminescent thermometers based on lanthanide metal–organic framework materials. CrystEngComm 2016, 18, 2690–2700. [Google Scholar] [CrossRef]
- Pan, M.; Du, B.-B.; Zhu, Y.-X.; Yue, M.-Q.; Wei, Z.-W.; Su, C.-Y. Highly Efficient Visible-to-NIR Luminescence of Lanthanide(III) Complexes with Zwitterionic Ligands Bearing Charge-Transfer Character: Beyond Triplet Sensitization. Chem. Eur. J. 2016, 22, 2440–2451. [Google Scholar] [CrossRef]
- Qin, L.; Lin, L.-X.; Fang, Z.-P.; Yang, S.-P.; Qiu, G.-H.; Chen, J.-X.; Chen, W.-H. A water-stable metal–organic framework of a zwitterionic carboxylate with dysprosium: A sensing platform for Ebolavirus RNA sequences. Chem. Commun. 2016, 52, 132–135. [Google Scholar] [CrossRef]
- Gong, T.; Yang, X.; Fang, J.-J.; Sui, Q.; Xi, F.-G.; Gao, E.-Q. Distinct Chromic and Magnetic Properties of Metal-Organic Frameworks with a Redox Ligand. ACS Appl. Mater. Interfaces 2017, 9, 5503–5512. [Google Scholar] [CrossRef]
- Higuchi, M.; Nakamura, K.; Horike, S.; Hijikata, Y.; Yanai, N.; Fukushima, T.; Kim, J.; Kato, K.; Takata, M.; Watanabe, D.; et al. Design of Flexible Lewis Acidic Sites in Porous Coordination Polymers by using the Viologen Moiety. Angew. Chem. Int. Ed. 2012, 51, 8369–8372. [Google Scholar] [CrossRef]
- Wang, Y.; Yue, Q.; Gao, E.-Q. Effects of Metal Blending in Random Bimetallic Single-Chain Magnets: Synergetic, Antagonistic, or Innocent. Chem. Eur. J. 2017, 23, 896–904. [Google Scholar] [CrossRef]
- Gong, T.; Lou, X.; Fang, J. A novel coordination polymer based on Co(II) hexanuclear clusters with azide and carboxylate bridges: Structure, magnetism and its application as a Li-ion battery anode. Dalton Trans. 2016, 45, 19109–19116. [Google Scholar] [CrossRef]
- Bhalla, V.; Gupta, A.; Kumar, M.; Rao, D.S.S.; Prasad, S.K. Self-Assembled Pentacenequinone Derivative for Trace Detection of Picric Acid. ACS Appl. Mater. Interfaces 2013, 5, 672–679. [Google Scholar] [CrossRef]
- Fu, H.-R.; Yan, L.-B.; Wu, N.-T.; Ma, L.-F.; Zang, S.-Q. Dual-emission MOF⊃dye sensor for ratiometric fluorescence recognition of RDX and detection of a broad class of nitro-compounds. J. Mater. Chem. A 2018, 6, 9183–9191. [Google Scholar] [CrossRef]
- Fu, H.-R.; Zhao, Y.; Xie, T.; Han, M.-L.; Ma, L.-F.; Zang, S.-Q. Stable dye-encapsulated indium–organic framework as dual-emitting sensor for the detection of Hg2+/Cr2O72− and a wide range of nitro-compounds. J. Mater. Chem. C 2018, 6, 6440–6448. [Google Scholar] [CrossRef]
- Jin, J.-C.; Wu, J.; Liu, W.-C.; Ma, A.-Q.; Liu, J.-Q.; Singh, A.; Kumar, A. A new Zn(II) metal–organic framework having 3D CdSO4 topology as luminescent sensor and photocatalyst for degradation of organic dyes. New J. Chem. 2018, 42, 2767–2775. [Google Scholar] [CrossRef]
- Zhang, Y.-Q.; Blatov, V.A.; Zheng, T.-R.; Yang, C.-H.; Qian, L.-L.; Li, K.; Li, B.-L.; Wu, B. A luminescent zinc(II) coordination polymer with unusual (3,4,4)-coordinated self-catenated 3D network for selective detection of nitroaromatics and ferric and chromate ions: A versatile luminescent sensor. Dalton Trans. 2018, 47, 6189–6198. [Google Scholar] [CrossRef]
- Zhang, L.; Kang, Z.; Xin, X.; Sun, D. Metal–organic frameworks based luminescent materials for nitroaromatics sensing. CrystEngComm 2016, 18, 193–206. [Google Scholar] [CrossRef]
- Cui, Y.-J.; Zhang, J.; He, H.; Qian, G.-D. Photonic functional metal–organic frameworks. Chem. Soc. Rev. 2018, 47, 5740–5785. [Google Scholar] [CrossRef]
- Zeng, X.-S.; Xu, H.-L.; Xu, Y.-C.; Li, X.-Q.; Nie, Z.-Y.; Gao, S.-Z.; Xiao, D.-R. A series of porous interpenetrating metal–organic frameworks based on fluorescent ligands for nitroaromatic explosive detection. Inorg. Chem. Front. 2018, 5, 1622–1632. [Google Scholar] [CrossRef]
- Gupta, A.K.; Tomar, K.; Bharadwaj, P.K. Structural diversity of Zn(II) based coordination polymers constructed from a flexible carboxylate linker and pyridyl co-linkers: Fluorescence sensing of nitroaromatics. New J. Chem. 2017, 41, 14505–14515. [Google Scholar] [CrossRef]
- Lustig, W.P.; Mukherjee, S.; Rudd, N.D.; Desai, A.V.; Li, J.; Ghosh, S.K. Metal–organic frameworks: Functional luminescent and photonic materials for sensing applications. Chem. Soc. Rev. 2017, 46, 3242–3285. [Google Scholar] [CrossRef]
- Das, P.; Mandal, S.K. A dual-functionalized, luminescent and highly crystalline covalent organic framework: Molecular decoding strategies for VOCs and ultrafast TNP sensing. J. Mater. Chem. A 2018, 6, 16246–16256. [Google Scholar] [CrossRef]
- Liu, X.Y.; Liu, B.; Li, G.H.; Liu, Y.L. Two anthracene-based metal–organic frameworks for highly effective photodegradation and luminescent detection in water. J. Mater. Chem. A 2018, 6, 17177–17185. [Google Scholar] [CrossRef]
- Song, B.-Q.; Qin, C.; Zhang, Y.-T.; Wu, X.-S.; Yang, L.; Shao, K.-Z.; Su, Z.-M. Spontaneous chiral resolution of a rare 3D self-penetration coordination polymer for sensitive aqueous-phase detection of picric acid. Dalton Trans. 2015, 44, 18386–18394. [Google Scholar] [CrossRef]
- Sheldrick, G.M. SHELXS-97, Program for the Solution of Crystal Structures; University of Göttingen: Göttingen, Germany, 1997. [Google Scholar]
- Sheldrick, G.M. SHELXT-Integrated space-group and crystal-structure determination. Acta Crystallogr. 2015, 71, 3–8. [Google Scholar] [CrossRef]
- Kent, C.A.; Liu, D.; Meyer, T.J.; Lin, W. Amplified Luminescence Quenching of Phosphorescent Metal–Organic Frameworks. J. Am. Chem. Soc. 2012, 134, 3991–3994. [Google Scholar] [CrossRef]
- Liu, G.-Z.; Li, S.-H.; Li, X.-L.; Xin, L.-Y.; Wang, L.-Y. Three series of MOFs featuring various metal(II)-carboxylate chains cross-linked by dipyridyl-typed coligands: Synthesis, structure, and solvent-dependent luminescence. CrystEngComm 2013, 15, 4571–4580. [Google Scholar] [CrossRef]
- Wu, Y.; Yang, G.-P.; Zhao, Y.; Wu, W.-P.; Liu, B.; Wang, Y.-Y. Three new solvent-directed Cd(II)-based MOFs with unique luminescent properties and highly selective sensors for Cu2+ cations and nitrobenzene. Dalton Trans. 2015, 44, 3271–3277. [Google Scholar] [CrossRef]
- Zhang, C.; Yan, Y.; Pan, Q.; Sun, L.; He, H.; Liu, Y.; Liang, Z.; Li, J. A microporous lanthanum metal–organic framework as a bi-functional chemosensor for the detection of picric acid and Fe3+ ions. Dalton Trans. 2015, 44, 13340–13346. [Google Scholar] [CrossRef]
- He, G.; Peng, H.; Liu, T.; Yang, M.; Zhang, Y.; Fang, Y. A novel picric acid film sensor via combination of the surface enrichment effect of chitosan films and the aggregation-induced emission effect of siloles. J. Mater. Chem. 2009, 19, 7347–7353. [Google Scholar] [CrossRef]
- Zhou, X.-H.; Li, L.; Li, H.-H.; Li, A.; Yang, T.; Huang, W. A flexible Eu(III)-based metal–organic framework: Turn-off luminescent sensor for the detection of Fe(III) and picric acid. Dalton Trans. 2013, 42, 12403–12409. [Google Scholar] [CrossRef]
- Hu, Y.; Ding, M.; Liu, X.; Sun, L.; Jiang, H. Rational synthesis of an exceptionally stable Zn(II) metal–organic framework for the highly selective and sensitive detection of picric acid. Chem. Commun. 2016, 52, 5734–5737. [Google Scholar] [CrossRef]
- Ma, Y.-L.; Du, L.; Zhao, Q.-H. Synthesis, crystal structure, luminescent and magnetic properties of lanthanide coordination polymers based on a zwitterionic polycarboxylate ligand. Inorg. Chem. Commum. 2017, 77, 1–5. [Google Scholar] [CrossRef]
- He, H.; Zhu, Q.-Q.; Sun, F.; Zhu, G. Two 3D Metal–Organic Frameworks Based on CoII and ZnII Clusters for Knoevenagel Condensation Reaction and Highly Selective Luminescence Sensing. Cryst. Growth Des. 2018, 18, 5573–5581. [Google Scholar] [CrossRef]
- Wu, Z.F.; Gong, L.K.; Huang, X.Y. A Mg-CP with in situ encapsulated photochromic guest as sensitive fluorescence sensor for Fe3+/Cr3+ ions and nitro-explosives. Inorg. Chem. 2017, 56, 7397–7403. [Google Scholar] [CrossRef]
- Xing, S.; Bing, Q.; Qi, H.; Liu, J.; Bai, T.; Li, G.; Shi, Z.; Feng, S.; Xu, R. Rational design and functionalization of a Zinc metal-organic framework for highly selective detection of 2,4,6-Trinitrophenol. ACS Appl. Mater. Interfaces 2017, 9, 23828–23835. [Google Scholar] [CrossRef]







| Compound | 1 |
| Formula | C60H38Cd4N4O25 |
| Formula weight | 1664.54 |
| Crystal system | Monoclinic |
| a | 7.8412(6) Å |
| b | 11.2417(9) Å |
| c | 15.6909(13) Å |
| α | 90° |
| β | 94.8050(10)° |
| γ | 90° |
| Unit cell volume | 1378.27(19) Å3 |
| Space group | P21/c |
| Z | 1 |
| DX/Mg m−3 | 2.005 |
| μ/mm−1 | 1.620 |
| Reflections collected | 7278 |
| Independent reflections | 2909 |
| F(000) | 818 |
| Rint | 0.0227 |
| GOF on F2 | 1.166 |
| R1, wR2 [I > 2σ(I)] | 0.0257, 0.0516 |
| R1, wR2 [all data] | 0.0340, 0.0728 |
| CCDC number | 1861292 |
| Bond lengths (Å) for 1 | |||
| O(1)-Cd(1)C | 2.266(3) | O(4)-C(14) | 1.231(5) |
| Cd(1)-O(6) | 2.249(3) | O(4)-Cd(1)G | 2.253(3) |
| Cd(1)-O(4)A | 2.253(3) | O(5)-C(15) | 1.243(5) |
| Cd(1)-O(3)B | 2.254(3) | O(6)-C(15) | 1.256(5) |
| Cd(1)-O(1)C | 2.266(3) | N(1)-C(4) | 1.341(5) |
| Cd(1)-O(2)D | 2.274(3) | N(1)-C(3) | 1.347(5) |
| Cd(1)-O(5) | 2.554(4) | N(1)-C(6) | 1.478(5) |
| O(2)-Cd(1)E | 2.274(3) | C(1)-C(5) | 1.382(5) |
| O(3)-C(14) | 1.249(5) | C(1)-C(2) | 1.387(5) |
| O(3)-Cd(1)F | 2.254(3) | C(4)-C(5) | 1.382(5) |
| Bond angles (°) for 1 | |||
| O(6)-Cd(1)-O(4)A | 82.77(12) | O(6)-Cd(1)-O(5) | 53.43(11) |
| O(6)-Cd(1)-O(3)B | 131.5(12) | O(4)A-Cd(1)-O(5) | 134.6(12) |
| C(4)-N(1)-C(3) | 121.0(3) | C(4)-N(1)-C(6) | 119.8(3) |
| O(4)A-Cd(1)-O(3)B | 145.6(13) | O(3)B-Cd(1)-O(5) | 78.67(11) |
| O(6)-Cd(1)-O(1)C | 100.7(13) | O(1)C-Cd(1)-O(5) | 112.8(13) |
| O(4)A-Cd(1)-O(1)C | 83.53(14) | O(2)D-Cd(1)-O(5) | 97.73(12) |
| O(3)B-Cd(1)-O(1)C | 90.48(13) | C(13)-O(1)-Cd(1)C | 136.1(3) |
| O(6)-Cd(1)-O(2)D | 108.9 (13) | C(13)-O(2)-Cd(1)E | 128.0(3) |
| O(4)A-Cd(1)-O(2)D | 84.76(14) | C(14)-O(3)-Cd(1)F | 140.6(3) |
| O(3)B-Cd(1)-O(2)D | 81.76(13) | C(14)-O(4)-Cd(1)G | 123.4(3) |
| O(1)C-Cd(1)-O(2)D | 146.4(12) | C(15)-O(5)-Cd(1) | 85.5(3) |
| C(3)-N(1)-C(6) | 119.1(3) | O(2)-C(13)-C(2) | 116.6(4) |
| C(5)-C(1)-C(2) | 120.0(4) | O(4)-C(14)-O(3) | 128.9(4) |
| O(1)-C(13)-O(2) | 128.0(4) | O(4)-C(14)-C(5) | 116.3(4) |
| O(1)-C(13)-C(2) | 115.4(4) | O(3)-C(14)-C(5) | 114.8(4) |
© 2018 by the authors. Licensee MDPI, Basel, Switzerland. This article is an open access article distributed under the terms and conditions of the Creative Commons Attribution (CC BY) license (http://creativecommons.org/licenses/by/4.0/).
Share and Cite
Wang, K.; Tang, H.; Zhang, D.; Ma, Y.; Wang, Y. Selective and Recyclable Sensing of Aqueous Phase 2,4,6-Trinitrophenol (TNP) Based on Cd(II) Coordination Polymer with Zwitterionic Ligand. Crystals 2018, 8, 456. https://doi.org/10.3390/cryst8120456
Wang K, Tang H, Zhang D, Ma Y, Wang Y. Selective and Recyclable Sensing of Aqueous Phase 2,4,6-Trinitrophenol (TNP) Based on Cd(II) Coordination Polymer with Zwitterionic Ligand. Crystals. 2018; 8(12):456. https://doi.org/10.3390/cryst8120456
Chicago/Turabian StyleWang, Kaimin, Huaijun Tang, Donghua Zhang, Yulu Ma, and Yuna Wang. 2018. "Selective and Recyclable Sensing of Aqueous Phase 2,4,6-Trinitrophenol (TNP) Based on Cd(II) Coordination Polymer with Zwitterionic Ligand" Crystals 8, no. 12: 456. https://doi.org/10.3390/cryst8120456
APA StyleWang, K., Tang, H., Zhang, D., Ma, Y., & Wang, Y. (2018). Selective and Recyclable Sensing of Aqueous Phase 2,4,6-Trinitrophenol (TNP) Based on Cd(II) Coordination Polymer with Zwitterionic Ligand. Crystals, 8(12), 456. https://doi.org/10.3390/cryst8120456
