Next Article in Journal
Optimal Linear Precodings for Multi-Color, Multi-User Visible Light Communication System with Fairness Considerations
Previous Article in Journal
Application of Evolutionary Rietveld Method Based XRD Phase Analysis and a Self-Configuring Genetic Algorithm to the Inspection of Electrolyte Composition in Aluminum Electrolysis Baths
 
 
Due to scheduled maintenance work on our servers, there may be short service disruptions on this website between 11:00 and 12:00 CEST on March 28th.
Font Type:
Arial Georgia Verdana
Font Size:
Aa Aa Aa
Line Spacing:
Column Width:
Background:
Article

Determination of the Nucleation and Growth Kinetics for Aqueous L-glycine Solutions from the Turbidity Induction Time Data

1
Department of Chemical and Materials Engineering, Chang Gung University, Taoyuan 333, Taiwan
2
Department of Urology, Chang Gung Memorial Hospital Linkou, Taoyuan 333, Taiwan
Crystals 2018, 8(11), 403; https://doi.org/10.3390/cryst8110403
Submission received: 22 September 2018 / Revised: 23 October 2018 / Accepted: 23 October 2018 / Published: 24 October 2018

Abstract

:
As the turbidity induction time measurements are influenced by the size distribution of the nuclei at the detection point, these data should provide important information on both nucleation and growth. A model is developed in this work to determine the nucleation and growth kinetics of aqueous L-glycine solutions using the turbidity induction time data for various supersaturations from 293.15 K to 313.15 K. The photomicroscopic growth experiments of aqueous L-glycine solutions are also conducted to determine the growth kinetics of nuclei under the same conditions for comparison. The results indicate that the interfacial energy obtained from this model is consistent with that obtained based on the traditional method by assuming t i 1 J . The growth kinetics, including the growth activation energy and the kinetic growth parameter, obtained from this model using the induction time data are close to those obtained from the photomicroscopic growth experiments performed in this work.

Graphical Abstract

1. Introduction

According to classical nucleation theory (CNT), only nuclei greater than a critical nucleus size are thermodynamically stable and can continue to grow to a detectable size [1,2,3]. The formation of critical nuclei is closely related to the interfacial energy of the crystallized substance, which is usually calculated from the induction time data in the literature [4,5,6,7,8,9,10].
The induction time is defined as the elapsed time between the creation of the supersaturation and the appearance of detectable nuclei at a constant temperature. Although the induction time can be detected by visual observation of the crystal’s appearance [7,11], turbidity measurements have been commonly adopted in recent years to determine the induction time by detecting the change in the intensity of transmitted light in solution at the onset of nucleation [12,13,14,15,16,17]. Traditionally, determination of the interfacial energy from the induction time data is often simplified by assuming t i 1 J [1,4,5,6,7,8,9,10]. Thus, it is implicitly assumed that at the detection of the nucleation point, only the number of the nuclei is accounted for regarding the change in the intensity of transmitted light in solution.
The detection of nucleation point based on turbidity measurements should be influenced by both the number and the size of the nuclei [18] as the change in the intensity of transmitted light in solution is proportional to the size distribution of the nuclei instead of the number of the nuclei. To incorporate the effect of the nuclei size distribution on the detection of nucleation, Shiau and coworkers [18,19] have developed a model to examine the turbidity induction time data of aqueous L-glutamic acid solutions using the L-glutamic acid growth kinetics reported by Scholl et al. [20]. It is found that the obtained interfacial energy and growth activation energy of L-glutamic acid [19] are consistent with the literature data. L-glycine is the simplest amino acid and is often used as a model compound in the study of solution nucleation [21,22,23,24,25]. The objective of this work is to develop a model to study the nucleation and growth of aqueous L-glycine solutions based on the turbidity induction time data. To validate the obtained L-glycine growth kinetics from this model, the photomicroscopic growth experiments of aqueous L-glycine solutions are also conducted to determine the growth kinetics of nuclei at the same conditions for comparison.

2. Theory

The nucleation rate based on CNT [1,2,3] is expressed as:
J = A J e x p ( 16 π v 2 γ 3 3 k B 3 T 3 l n 2 S ) ,
where v = M W ρ C N A and S = C C e q . For simplicity, the nucleation event is assumed to correspond to a point at which the total number density of the nuclei has reached a fixed (but unknown) value, fN [26,27]. One obtains at the induction time ti using:
f N = J   t i ,
Thus, it is implicitly assumed that the detection of the nucleation point is related to the number of nuclei. Substituting Equation (1) into Equation (2) yields:
ln ( 1 t i ) = ln ( A J f N ) 16 π v 2 γ 3 3 k B 3 T 3 l n 2 S ,
This is consistent with the common method adopted in the literature to calculate γ from induction time data [1,4,5,6,7,8,9,10].
The turbidity induction time measurements are based on the change in intensity of transmitted or scattered light along the detector direction, which should be related to the size distribution of the nuclei instead of the number of the nuclei at the detection point [18,19]. As nuclei are progressively generated during the induction time period (t = 0–ti), the nuclei born in the earlier stage will grow to a greater size than those born in the later stage at t i . To incorporate the effect of crystal growth at the nucleation point, Shiau and Lu [18] proposed a model to correlate the nucleation and growth with the turbidity induction time data using the predetermined growth kinetics. However, as it is often difficult to experimentally measure the growth kinetics of small nuclei, the application of this model is restricted.
As the turbidity induction time measurements are influenced by the size distribution of the nuclei, these data should provide important information on both nucleation and growth. A model is developed in the following to investigate the nucleation and growth of nuclei based on the turbidity induction time data without the predetermined growth kinetics. In the derivation, a simple empirical power-law growth rate is proposed as:
G = k G ( S 1 ) g ,
where the value of g mostly falls between 1 and 2. Based on Burton–Cabrera–Frank (BCF) growth theory [28,29,30], the value of g is found close to 2 for low supersaturations [31]. Mohan and Myerson [32] indicated for aqueous L-glycine solutions at 293.15 K that Equation (4) with g = 2 is consistent with the BCF growth kinetics reported by Li and Rodriguez-Hornedo [33].
In the induction time study, nuclei born at any time t (0 < t < ti) can grow from t to ti and their size at time ti is:
L ( t ) = G ( t i t )
The corresponding volume of nuclei with size L at time ti is
V ( t ) = k V L ( t ) 3 = k V G 3 ( t i t ) 3 ,
As nuclei are progressively generated from t = 0 to ti, the total volume of all the nuclei per unit solution volume at time ti is given by:
f V = 0 t i J V ( t ) d t ,
Substituting Equation (6) into Equation (7) yields:
f V = J k V G 3 0 t i ( t i t ) 3 d t = J k V G 3 t i 4 4 ,
Note that J and G remain unchanged as S is kept at a particular supersaturation during each induction time experiment.
Substituting Equations (1) and (4) into Equation (8) with g = 2 leads to:
f V = A J k V k G 3 ( S 1 ) 6 t i 4 4 e x p ( 16 π v 2 γ 3 3 k B 3 T 3 l n 2 S ) ,
Rearranging Equation (9) yields:
ln [ 4 k V t i 4 ( S 1 ) 6 ] = ln ( A J k G 3 f V ) 16 π v 2 γ 3 3 k B 3 T 3 l n 2 S ,
A plot of ln [ 4 k V t i 4 ( S 1 ) 6 ] versus 1 l n 2 S at a given temperature should give a straight line, the slope and intercept of which permit determination of γ and A J k G 3 f V , respectively.
The temperature dependence of kG can be expressed in terms of the Arrhenius equation as:
k G = A G   e x p ( E G R T ) ,
Once A J k G 3 f V is determined at different temperatures, substitution of Equation (11) yields:
ln ( A J k G 3 f V ) = ln ( A J A G 3 f V ) 3 E G R T ,
Thus, a plot of ln ( A J k G 3 f V ) versus 1 T should give a straight line, the slope and intercept of which permit determination of EG and A J A G 3 f V , respectively. It should be noted that AJAG3 can be determined if fV is known.

3. Experimental

3.1. Induction Time Measurements

The experimental apparatus of a 250 mL crystallizer was the same as that used by Shiau and Lu [18]. Deionized water and L-glycine (>99%, Alfa Aesar, Haverhill, MA, USA) were used to prepare the supersaturated solution. In each experiment, a 200 mL aqueous L-glycine solution with the desired supersaturation was loaded into the crystallizer. The solution was stirred with a magnetic stirrer at a constant stirring rate of 350 rpm. A turbidity probe with a Near-Infrared source (Crystal Eyes manufactured by HEL limited, Hertford, UK) was used to detect the nucleation event during the induction time study. The solution is held at 3 K above the saturated temperature for 5–10 min to ensure a complete dissolution at the beginning of the experiment, which was also confirmed using the turbidity measurement. As the cooling rate to reach a particular supersaturation influences the nucleation induction time [34], the solution was rapidly cooled at 25 °C/min to the desired constant temperature. Thus, the lag time was usually less than 60 s, which was much smaller than the measured induction times listed in Table 1. Figure 1 shows the variation of measured turbidity with time for S = 1.15 and a temperature of 293.15 K. The percentage threshold for the turbidity data was defined as the change in turbidity to determine whether a nucleation event had occurred [35]. A setting of 20% for the threshold was employed for all the turbidity induction time data in this work.

3.2. Growth Rate Measurements

The photomicroscopic experiments shown are performed to investigate the growth rates of L-glycine in water. This growth cell shown in Figure 2 [36] has a solution chamber of 20 mL in the upper part and a chamber for temperature-controlled water in the lower part. The growth rates of aqueous L-glycine solutions for various supersaturations from 293.15 K to 313.15 K were studied isothermally in the upper stagnant solution.
The growth of crystals was monitored photographically through a microscope and analyzed using an image analyzer (Imaging Software, NIS-Elements, Nikon, Japan) to determine the area of each crystal. For simplicity, the characteristic size of the small crystal is taken as the equivalent circular diameter, i.e., A = π L 2 / 4 , leading to L = 4 A / π . The sizes were then plotted against time for each crystal with the slope equal to the growth rate. In each run, 8–10 crystals were analyzed to calculate the mean growth rate among these crystals under each condition. Figure 3 shows the photograph of the needle-like α-form crystals in solution taken in an experimental run for S = 1.12 at T = 303.15 K. It was found for various supersaturations from 293.15 K to 313.15 K that the needle-like α-form crystals were nucleated in the photomicroscopic experiments.

4. Results and Discussion

The induction time data for aqueous L-glycine solutions were measured for various supersaturations from 293.15 K to 313.15 K. Each run was carried out at least three times to determine the average induction time under each condition. The average induction times and the corresponding standard deviations (SD) are listed in Table 1. The equilibrium concentration of the α-form L-glycine in water was given by Ceq(T) = 5.4397 × 10−3T2 − 3.2022 × 10−1T − 188.2 (Ceq in kg/m3, and T in K) [37]. Note that MW = 0.075 kg/mol, ρC = 1607 kg/m3, and ν = 7.757 × 10−29 m3 for L-glycine.
Although L-glycine can be crystallized in different polymorphs, the α-form is usually achieved from nucleation of pure aqueous solutions [21,22,23,24,25]. To validate the polymorphm of the L-glycine crystals, the final dried crystals at the end of the induction time experiments were analyzed using both optical microscopy and Raman spectroscopy (P/N LSI-DP2-785 Dimension-P2 System, 785 nm, manufactured by Lambda Solutions, INC., Seattle, WA, USA). The results all indicated that the needle-like α-form crystals were obtained from aqueous L-glycine solutions for various supersaturations from 293.15 K to 313.15 K. Figure 4 shows the Raman spectra of pure α-form crystals and product crystals obtained at various supersaturations. As compared with the Raman spectra of pure α-form crystals reported by Murli et al. [38], it was confirmed that α-form crystals were produced for various supersaturations at 303.15 K. The section of the Raman spectra of α-, β-, and γ-glycine used for characterization are also depicted by Bouchard et al. [39].
Figure 5 shows the measured induction time data from 293.15 K to 313.15 K fitted to Equation (3) based on fN. The fitted results are listed in Table 2, where γ was in the range 1.93–2.37 mJ/m2 and A J f N was in the range 4.35 × 10−3–6.42 × 10−3 s−1. Although the exact value of AJ could only be determined with a known value of fN, γ was not influenced by the chosen value of fN.
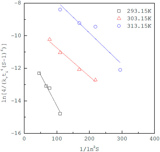
As the induction time data are measured by the intensity change of the transmitted light, Figure 6 shows the measured induction time data from 293.15 K to 313.15 K fitted to Equation (10) based on fV. Note that g was assumed to be 2 due to low supersaturations (S = 1.4–2.4) in the induction time experiments. The fitted results are listed in Table 3, where γ was in the range 2.49–2.93 mJ/m2 and A J k G 3 f V was in the range 2.78 × 10−5–2.58 × 10−3 s−4. It should be noted that γ was not influenced by the chosen value of fV.
The turbidity induction time measurements in the current experiments were based on the intensity change of the transmitted light, which is related to fV. Thus, compared to γ based on fN, γ based on fV should more accurately represent the actual interfacial energy of L-glycine. Shiau [40] reported γ = 1.35–2.02 mJ/m2 for aqueous α-form L-glycine solutions using the turbidity metastable zone width measurements at the saturation temperature between 308.15 K and 328.15 K. Using the visual observation of the induction time data, Devi and Srinivasan [25] reported γ = 5 mJ/m2 for aqueous α-form L-glycine solutions at 303.15 K.
Figure 7 shows the plot of A J k G 3 f V versus 1 T fitted to Equation (12). The fitted results are listed in Table 4, which indicates EG = 58 kJ/mol and A J A G 3 f V = 2.30 × 1026 s−4. Although the exact value of AJAG3 could only be determined with a known value of fV, EG was not influenced by the chosen value of fV. Because activation energy is usually 10–20 kJ/mol for diffusion and 40–60 kJ/mol for surface integration [1], EG = 58 kJ/mol obtained for the growth of L-glycine in the induction time experiments should be integration controlled.
Based on the study of 28 inorganic systems, Mersmann and Bartosch [41] estimated fV = 10−4–10−3 with a detectable size of 10 μm. In the calculations here, the intermediate value, fV = 4 × 10−4, for spherical nuclei with kV = π 6 was assumed, leading to fN = 7.64 × 1011 m−3. Consequently, as indicated in Table 2, AJ was in the range 3.32 × 109–4.91 × 109 m−3·s−1 based on fN = 7.64 × 1011 m−3. Table 4 indicates AJAG3 = 9.18 × 1022 s−4 based on fV = 4 × 10−4. For simplicity, if AJ obtained based on fN was adopted to find AG, one obtains AG = 2.66 × 104–3.02 × 104 m/s.
The average growth rates and the corresponding standard deviations (SD) obtained from the photomicroscopic growth experiments are listed in Table 5. Figure 8 displays the growth rate data for various supersaturation from 303.15 K to 323.15 K. The growth rate obtained here is consistent with that reported by Han et al. [23] for aqueous α-form L-glycine solutions at S = 1.35 and T = 303.15 K. Substituting Equation (11) into Equation (4) for g = 2 yields:
G = A G e x p ( E G R T ) ( S 1 ) 2 ,
Rearranging Equation (13) leads to:
ln [ G ( S 1 ) 2 ] = ln A G E G R T ,
As shown in Figure 9, a plot of ln [ G ( S 1 ) 2 ] versus 1 T should give a straight line, leading to EG = 57 kJ/mol and AG = 6.05 × 104 m/s.
Figure 8 shows the growth rate data fitted well to Equation (14) using g = 2 and the fitted values of EG and AG. Thus, it was reasonable to adopt the power-law growth rate of Equation (4) with g = 2 in derivation of Equation (10). It should be noted that the turbidity induction time data were measured for nuclei of near-zero size (<10 μm, as assumed here for fV = 4 × 10−4 and fN = 7.64 × 1011 m−3) in the 200 mL stirred solution while the photomicroscopic growth data were measured for nuclei of size L = 50–100 μm in the 20 mL stagnant solution. Nevertheless, EG obtained from the growth rate data was close to that obtained from the induction time data while AG obtained from the growth rate data was still quite consistent with that obtained from the induction time data.

5. Conclusions

In practical applications, the turbidity induction time measurements should be more related to the volume fraction of the nuclei than to the number density of the nuclei. A model is developed in this work to determine the interfacial energy and growth activation energy of aqueous L-glycine solutions from the turbidity induction time data without the knowledge of the actual growth kinetics. The results reveal that the interfacial energy of L-glycine obtained in this work is close to that calculated based on the traditional method by assuming t i 1 J , and the growth activation energy of L-glycine obtained from the induction time data was close to that obtained from the photomicroscopic growth experiments. The kinetic growth parameter of L-glycine obtained from the photomicroscopic growth experiments was consistent with that obtained from the induction time data. Thus, the proposed model in this work provides an efficient method to determine the nucleation and growth kinetics of nuclei using the induction time data.

Funding

The author would like to thank Chang Gung Memorial Hospital (CMRPD2G0241) and Ministry of Science and Technology of Taiwan (MOST106-2221-E-182-053) for financial support of this research.

Acknowledgments

The author would like to thank Chang Gung Memorial Hospital (CMRPD2G0241) and Ministry of Science and Technology of Taiwan (MOST106-2221-E-182-053) for financial support of this research. The author also expresses his gratitude to Szu-Yu Lin and Yi-Ting Chen for their experimental work.

Conflicts of Interest

The author declares no conflict of interest. The funders had no role in the design of the study; in the collection, analyses, or interpretation of data; in the writing of the manuscript, and in the decision to publish the results.

Notation

A G growth kinetic parameter ( m / s )
A J nucleation kinetic parameter ( m 3 s 1 )
C concentration of solutes ( kg   solute / kg   solution )
C e q saturated concentration of solutes ( kg   solute / kg   solution )
E G growth activation energy ( J / mol )
f N minimum detectable number density of nuclei for a detector ( m 3 )
f V minimum detectable volume density of nuclei for a detector ( )
G growth rate ( m / s )
g growth rate order ( )
J nucleation rate ( m 3 s 1 )
k B Boltzmann constant ( = 1.38 × 10 23   JK 1 )
k G growth rate constant ( m / s )
k V volume shape factor ( )
L size of a nucleus ( m )
M W molar mass ( kg   mol 1 )
N A Avogadro number ( = 6.02 × 10 23   mol 1 )
R ideal gas constant ( = 8.314   J mol K )
S supersaturation ratio ( )
T temperature ( K )
t time ( s )
t i induction time ( s )
V volume of a nucleus ( m 3 )

Greek letters

γ interfacial energy ( J / m 2 )
ρ C crystal density ( kg   m 3 )
v volume of the solute molecule ( m 3 )

References

  1. Mullin, J.W. Crystallization; Butterworth-Heinemann: Oxford, UK, 1993. [Google Scholar]
  2. Kashchiev, D. Nucleation: Basic Theory with Applications; Butterworth-Heinemann: Oxford, UK, 2000. [Google Scholar]
  3. Kashchiev, D.; van Rosmalen, G.M. Review: Nucleation in solutions revisited. Cryst. Res. Technol. 2003, 38, 555–574. [Google Scholar] [CrossRef]
  4. Omar, W.; Mohnicke, M.; Ulrich, J. Determination of the solid liquid interfacial energy and thereby the critical nucleus size of paracetamol in different solvents. Cryst. Res. Technol. 2006, 41, 337–343. [Google Scholar] [CrossRef]
  5. Lindenberg, C.; Mazzotti, M. Effect of temperature on the nucleation kinetics of α L-glutamic acid. J. Cryst. Growth 2009, 311, 1178–1184. [Google Scholar] [CrossRef]
  6. Du, W.; Yin, Q.; Bao, Y.; Xie, C.; Hou, B.; Hao, H.; Chen, W.; Wang, J.; Gong, J. Concomitant polymorphism of prasugrel hydrochloride in reactive crystallization. Ind. Eng. Chem. Res. 2013, 52, 16182–16189. [Google Scholar] [CrossRef]
  7. Yang, H.; Rasmuson, A.C. Nucleation of butyl paraben in different solvents. Cryst. Growth Des. 2013, 13, 4226–4238. [Google Scholar] [CrossRef]
  8. You, S.; Zhang, Y.; Zhang, Y. Nucleation of ammonium sulfate dodecahydrate from unseeded aqueous solution. J. Cryst. Growth 2015, 411, 24–29. [Google Scholar] [CrossRef]
  9. Yang, H. Relation between metastable zone width and induction time of butyl paraben in ethanol. CrystEngComm 2015, 17, 577–586. [Google Scholar] [CrossRef]
  10. Lee, J.; Yang, S. Antisolvent sonocrystallization of sodium chloride and the evaluation of the ultrasound energy using modified classical nucleation theory. Crystals 2018, 8, 320. [Google Scholar] [CrossRef]
  11. Vancleef, A.; Seurs, S.; Jordens, J.; Van Gerven, T.; Thomassen, L.C.J.; Braeken, L. Reducing the induction time using ultrasound and high-shear mixing in a continuous crystallization process. Crystals 2018, 8, 326. [Google Scholar] [CrossRef]
  12. Kuldipkumar, A.; Kwon, G.S.; Zhang, G.G.Z. Determining the growth mechanism of tolazamide by induction time measurement. Cryst. Growth Des. 2007, 7, 234–242. [Google Scholar] [CrossRef]
  13. Kadam, S.S.; Kramer, H.J.M.; ter Horst, J.H. Combination of a single primary nucleation event and secondary nucleation in crystallization processes. Cryst. Growth Des. 2011, 11, 1271–1277. [Google Scholar] [CrossRef]
  14. Jiang, S.; ter Horst, J.H. Crystal nucleation rates from probability distributions of induction times. Cryst. Growth Des. 2011, 11, 256–261. [Google Scholar] [CrossRef]
  15. Mitchell, N.A.; Frawley, P.J.; O’Ciardha, C.T. Nucleation kinetics of paracetamol–ethanol solutions from induction time experiments using Lasentec FBRM. J. Cryst. Growth 2011, 321, 91–99. [Google Scholar] [CrossRef]
  16. Prisciandaro, M.; Olivieri, E.; Lancia, A.; Musmarra, D. PBTC as an antiscalant for gypsum precipitation: Interfacial tension and activation energy estimation. Ind. Eng. Chem. Res. 2012, 51, 12844–12851. [Google Scholar] [CrossRef]
  17. Camacho Corzo, D.M.; Borissova, A.; Hammond, R.B.; Kashchiev, D.; Roberts, K.J.; Lewtas, K.; More, I. Nucleation mechanism and kinetics from the analysis of polythermal crystallization data: Methyl stearate from kerosene solutions. CrystEngComm 2014, 16, 974–991. [Google Scholar] [CrossRef]
  18. Shiau, L.D.; Lu, T.S. A model for determination of the interfacial energy from the induction time or metastable zone width data based on turbidity measurements. CrystEngComm 2014, 16, 9743–9752. [Google Scholar] [CrossRef]
  19. Shiau, L.D.; Wang, H.P. Simultaneous determination of interfacial energy and growth activation energy from induction time measurements. J. Cryst. Growth 2016, 442, 47–51. [Google Scholar] [CrossRef]
  20. Scholl, J.; Lindenberg, C.; Vicum, L.; Brozio, J.; Mazzotti, M. Precipitation of α L-glutamic acid: Determination of growth kinetics. Faraday Discuss. 2007, 136, 247–264. [Google Scholar] [CrossRef] [PubMed]
  21. Towler, C.S.; Davey, R.J.; Lancaster, R.W.; Price, C.J. Impact of molecular speciation on crystal nucleation in polymorphic systems: The conundrum of γ glycine and molecular ‘self poisoning’. J. Am. Chem. Soc. 2004, 126, 13347–13353. [Google Scholar] [CrossRef] [PubMed]
  22. Sun, X.; Garetz, B.A.; Myerson, A.S. Supersaturation and polarization dependence of polymorph control in the nonphotochemical laser-induced nucleation(NPLIN) of aqueous glycine solutions. Cryst. Growth Des. 2006, 6, 684–689. [Google Scholar] [CrossRef]
  23. Han, G.; Chow, P.S.; Tan, R.B.H. Direct comparison of α- and γ-glycine growth rates in acidic and basic solutions: New insights into glycine polymorphism. Cryst. Growth Des. 2012, 12, 2213–2220. [Google Scholar] [CrossRef]
  24. Yani, Y.; Chow, P.S.; Tan, R.B.H. Glycine Open Dimers in Solution: New Insights into α-Glycine Nucleation and Growth. Cryst. Growth Des. 2012, 12, 4771–4778. [Google Scholar] [CrossRef]
  25. Devi, K.R.; Srinivasan, K. A novel approach to understand the nucleation kinetics of α and γ polymorphs of glycine from aqueous solution in the presence of a selective additive through charge compensation mechanism. CrystEngComm 2014, 16, 707–722. [Google Scholar] [CrossRef]
  26. Kubota, N. A new interpretation of metastable zone widths measured for unseeded solutions. J. Cryst. Growth 2008, 310, 629–634. [Google Scholar] [CrossRef]
  27. Kobari, M.; Kubota, N.; Hirasawa, I. Deducing primary nucleation parameters from metastable zone width and induction time data determined with simulation. CrystEngComm 2013, 15, 1199–1209. [Google Scholar] [CrossRef]
  28. Burton, W.K.; Cabrera, N. Frank, F.C. The growth of crystals and the equilibrium structure of their surfaces. Phil. Trans. R. Soc. A 1951, 243, 299–358. [Google Scholar] [CrossRef]
  29. Bennema, P. Analysis of crystal growth models for slightly supersaturated solutions. J. Cryst. Growth 1967, 1, 278–286. [Google Scholar] [CrossRef]
  30. Bennema, P. The importance of surface diffusion for crystal growth from solution. J. Cryst. Growth 1969, 5, 29–43. [Google Scholar] [CrossRef]
  31. Li, W.; Wang, S.; Ding, J.; Yu, G.; Wang, D.; Huang, P.; Liu, H.; Gu, Q.; Xu, X. Study on micro morphology of potassium dihydrogen phosphate crystals grown at elevated temperatures. Crystals 2017, 7, 118. [Google Scholar] [CrossRef]
  32. Mohan, R.; Myerson, A.S. Growth kinetics: A thermodynamic approach. Chem. Eng. Sci. 2002, 57, 4277–4285. [Google Scholar] [CrossRef]
  33. Li, L.; Rodriguez-Hornedo, N. Growth kinetics and mechanism of glycine crystals. J. Cryst. Growth 1992, 121, 33–38. [Google Scholar] [CrossRef]
  34. Manuel Garcia-Ruiz, J. Nucleation of protein crystals. J. Struct. Biol. 2003, 142, 22–31. [Google Scholar] [CrossRef]
  35. Mitchell, N.A.; Frawley, P.J. Nucleation kinetics of paracetamol–ethanol solutions from metastable zone widths. J. Cryst. Growth 2010, 312, 2740–2746. [Google Scholar] [CrossRef]
  36. Shiau, L.D. The distribution of dislocation activities among crystals in sucrose crystallization. Chem. Eng. Sci. 2003, 58, 5299–5304. [Google Scholar] [CrossRef]
  37. Park, K.; Evans, J.M.B.; Myerson, A.S. Determination of solubility of polymorphs using differential scanning calorimetry. Cryst. Growth Des. 2003, 3, 991–995. [Google Scholar] [CrossRef]
  38. Murli, C.; Thomas, S.; Venkateswaran, S.; Sharma, S.M. Raman spectroscopic investigation of α-glycine at different temperatures. Phys. B 2005, 364, 233–238. [Google Scholar] [CrossRef]
  39. Bouchard, A.; Hofland, G.W.; Witkamp, G.J. Solubility of glycine polymorphs and recrystallization of β-glycine. J. Chem. Eng. Data 2007, 52, 1626–1629. [Google Scholar] [CrossRef]
  40. Shiau, L.D. The temperature dependence of the pre-exponential factor and interfacial energy for aqueous glycine solutions based on the metastable zone width data. J. Cryst. Growth 2018, 496, 18–23. [Google Scholar] [CrossRef]
  41. Mersmann, A.; Bartosch, K. How to predict the metastable zone width. J. Cryst. Growth 1998, 183, 240–250. [Google Scholar] [CrossRef]
Figure 1. The variation of measured turbidity with time for S = 1.15 and 293.15 K.
Figure 1. The variation of measured turbidity with time for S = 1.15 and 293.15 K.
Crystals 08 00403 g001
Figure 2. The photomicroscopic growth apparatus (a) the real picture of growth cell; (b) schematic diagram of growth cell with the features: (1) solution chamber; (2) thermistor; (3) solution inlet and outlet; (4) constant-temperature water chamber; (5) water inlet and outlet.
Figure 2. The photomicroscopic growth apparatus (a) the real picture of growth cell; (b) schematic diagram of growth cell with the features: (1) solution chamber; (2) thermistor; (3) solution inlet and outlet; (4) constant-temperature water chamber; (5) water inlet and outlet.
Crystals 08 00403 g002
Figure 3. The photograph of the needle-like α-form L-glycine crystals in solution taken in the photomicroscopic experiment at S = 1.12 and 303.15 K.
Figure 3. The photograph of the needle-like α-form L-glycine crystals in solution taken in the photomicroscopic experiment at S = 1.12 and 303.15 K.
Crystals 08 00403 g003
Figure 4. The Raman spectra of pure α-form crystals and product crystals obtained in the induction time experiments for various supersaturations at 303.15 K.
Figure 4. The Raman spectra of pure α-form crystals and product crystals obtained in the induction time experiments for various supersaturations at 303.15 K.
Crystals 08 00403 g004
Figure 5. The induction time data of L-glycine at 293.15–313.15 K fitted to Equation (3) based on f N .
Figure 5. The induction time data of L-glycine at 293.15–313.15 K fitted to Equation (3) based on f N .
Crystals 08 00403 g005
Figure 6. The induction time data of L-glycine at 293.15–313.15 K fitted to Equation (10) based on f V .
Figure 6. The induction time data of L-glycine at 293.15–313.15 K fitted to Equation (10) based on f V .
Crystals 08 00403 g006
Figure 7. The plot of A J k G 3 f V versus 1 T   fitted to Equation (12).
Figure 7. The plot of A J k G 3 f V versus 1 T   fitted to Equation (12).
Crystals 08 00403 g007
Figure 8. The growth rate data of L-glycine for various supersaturations at 303.15–323.15 K. The lines represent the fitted values to Equation (13) using g = 2, E G = 57   kJ / mol and A G = 6.05 × 10 4   m / s .
Figure 8. The growth rate data of L-glycine for various supersaturations at 303.15–323.15 K. The lines represent the fitted values to Equation (13) using g = 2, E G = 57   kJ / mol and A G = 6.05 × 10 4   m / s .
Crystals 08 00403 g008
Figure 9. The growth rate data of L-glycine for various supersaturations at 303.15–323.15 K fitted to Equation (14).
Figure 9. The growth rate data of L-glycine for various supersaturations at 303.15–323.15 K fitted to Equation (14).
Crystals 08 00403 g009
Table 1. The average induction times and the corresponding standard deviations (SD) for L-Glycine.
Table 1. The average induction times and the corresponding standard deviations (SD) for L-Glycine.
T ( K ) S ( ) t i   ( S D ) ( s )
293.151.102120 (471)
1.121090 (242)
1.13936 (253)
1.16563 (157)
303.151.072672 (588)
1.081390 (276)
1.10831 (247)
1.12442 (198)
313.151.062327 (534)
1.07953 (273)
1.08737 (201)
1.10429 (175)
Table 2. The fitted results of the induction time data to Equation (3) based on fN.
Table 2. The fitted results of the induction time data to Equation (3) based on fN.
T ( K ) γ ( m J / m 2 ) A J f N ( s 1 ) A J ( m 3 s 1 )
293.152.374.35 × 10−33.32 × 109
303.152.075.29 × 10−34.04 × 109
313.151.936.42 × 10−34.91 × 109
Table 3. The fitted results of the induction time data to Equation (10) based on f V .
Table 3. The fitted results of the induction time data to Equation (10) based on f V .
T ( K ) γ ( m J / m 2 ) A J k G 3 f V ( s 4 )
293.152.932.78 × 105
303.152.664.15 × 10−4
313.152.492.58 × 103
Table 4. The fitted results of EG and AG using Equation (12).
Table 4. The fitted results of EG and AG using Equation (12).
E G ( kJ mol ) A J A G 3 f V ( s 4 ) A J A G 3 ( s 4 ) A G ( m / s )
293.15 K303.15 K313.15 K
582.30 × 10269.18 × 10223.02 × 1042.83 × 1042.66 × 104
Table 5. The average growth rates and the corresponding standard deviations (SD) for L-Glycine.
Table 5. The average growth rates and the corresponding standard deviations (SD) for L-Glycine.
T ( K ) S ( ) G   ( S D )   ( × 10 7 )   ( m / s )
303.151.080.42 (0.17)
1.100.67 (0.29)
1.121.09 (0.36)
1.141.35 (0.55)
313.151.081.03 (0.42)
1.101.67 (0.85)
1.121.87 (0.64)
1.143.21 (1.37)
323.151.082.13 (0.73)
1.102.55 (0.82)
1.123.88 (1.03)
1.145.62 (2.14)

Share and Cite

MDPI and ACS Style

Shiau, L.-D. Determination of the Nucleation and Growth Kinetics for Aqueous L-glycine Solutions from the Turbidity Induction Time Data. Crystals 2018, 8, 403. https://doi.org/10.3390/cryst8110403

AMA Style

Shiau L-D. Determination of the Nucleation and Growth Kinetics for Aqueous L-glycine Solutions from the Turbidity Induction Time Data. Crystals. 2018; 8(11):403. https://doi.org/10.3390/cryst8110403

Chicago/Turabian Style

Shiau, Lie-Ding. 2018. "Determination of the Nucleation and Growth Kinetics for Aqueous L-glycine Solutions from the Turbidity Induction Time Data" Crystals 8, no. 11: 403. https://doi.org/10.3390/cryst8110403

APA Style

Shiau, L.-D. (2018). Determination of the Nucleation and Growth Kinetics for Aqueous L-glycine Solutions from the Turbidity Induction Time Data. Crystals, 8(11), 403. https://doi.org/10.3390/cryst8110403

Note that from the first issue of 2016, this journal uses article numbers instead of page numbers. See further details here.

Article Metrics

Back to TopTop