Investigation into the Effect of Sulfate and Borate Incorporation on the Structure and Properties of SrFeO3-δ
Abstract
:1. Introduction
2. Results and Discussion
2.1. SrFe1−xSxO3-δ
2.1.1. X-ray Diffraction Data
2.1.2. Stability under N2
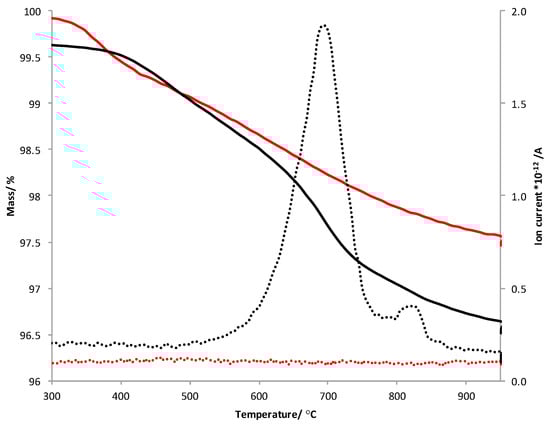
2.1.3. Thermogravimetric Analysis
2.1.4. Heat Treatment under O2
2.1.5. Conductivity Data
2.2. SrFe1−xBxO3-δ
2.2.1. X-ray Diffraction Data
2.2.2. Stability under N2
2.2.3. Thermogravimetric Analysis
2.2.4. Conductivity Data
3. Experimental
4. Conclusions
Acknowledgments
Author Contributions
Conflicts of Interest
References
- Orera, A.; Slater, P.R. New Chemical Systems for Solid Oxide Fuel Cells. Chem. Mater. 2010, 22, 675–690. [Google Scholar] [CrossRef]
- Jacobson, A.J. Materials for Solid Oxide Fuel Cells. Chem. Mater. 2010, 22, 660–674. [Google Scholar] [CrossRef]
- Ishihara, T.; Matsuda, H.; Takita, Y. Doped LaGaO3 Perovskite Type Oxide as a New Oxide Ionic Conductor. J. Am. Chem. Soc. 1994, 116, 3801–3803. [Google Scholar] [CrossRef]
- Hancock, C.A.; Porras-Vazquez, J.M.; Keenan, P.J.; Slater, P.R. Oxyanions in Perovskites: From Superconductors to Solid Oxide Fuel Cells. Dalt. Trans. 2015, 44, 10559–10569. [Google Scholar] [CrossRef] [PubMed]
- Francesconi, M.G.; Greaves, C. Anion Substitutions and Insertions in Copper Oxide Superconductors. Supercond. Sci. Technol. 1997, 10, A29–A37. [Google Scholar] [CrossRef]
- Slater, P.R.; Greaves, C.; Slaski, M.; Muirhead, C.M. Copper Oxide Superconductors Containing Sulphate and Phosphate Groups. Phys. C Supercond. Appl. 1993, 208, 193–196. [Google Scholar] [CrossRef]
- Letouzé, F.; Martin, C.; Maignan, A.; Michel, C.; Hervieu, M.; Raveau, B. Stabilization of New Superconducting Thallium Cuprates and Oxycarbonates by Molybdenum. Phys. C Supercond. 1995, 254, 33–43. [Google Scholar] [CrossRef]
- Kinoshita, K.; Yamada, T. A New Copper Oxide Superconductor Containing Carbon. Nature 1992, 357, 313–315. [Google Scholar] [CrossRef]
- Huvé, M.; Michel, C.; Maignan, A.; Hervieu, M.; Martin, C.; Raveau, B. A 70 K Superconductor. The Oxycarbonate Tl0.5Pb0.5Sr4Cu2(CO3)O7. Phys. C Supercond. 1993, 205, 219–224. [Google Scholar] [CrossRef]
- Goutenoire, F.; Hervieu, M.; Maignan, A.; Michel, C.; Martin, C.; Raveau, B. A 62 K Superconductor with an Original Structure: Sr4−xBaxTlCu2CO3O7. Phys. C Supercond. 1993, 210, 359–366. [Google Scholar] [CrossRef]
- Von Schnering, H.G.; Walz, L.; Schwarz, M.; Becker, W.; Hartweg, M.; Popp, T.; Hettich, B.; Müller, P.; Kämpf, G. The Crystal Structures of the Superconducting Oxides Bi2(Sr1−xCaX)2CuO8−δ and Bi2(Sr1−yCay)3Cu2O10−δ with 0 ≤ x ≤ 0.3 and 0.16 ≤ y ≤ 0.33. Angew. Chem. Int. Ed. Engl. 1988, 27, 574–576. [Google Scholar] [CrossRef]
- Maignan, A.; Pelloquin, D.; Malo, S.; Michel, C.; Hervieu, M.; Raveau, B. Stabilisation of Three New Oxycarbonates by V and Cr Substitutions The Superconductors (Tl,M) 1Sr4Cu2(CO3)O7 (M Cr, V) and (Hg,V) 1Sr4Cu2(CO3)O6+z. Phys. C Supercond. 1995, 249, 220–233. [Google Scholar] [CrossRef]
- Shin, J.F.; Orera, A.; Apperley, D.C.; Slater, P.R. Oxyanion Doping Strategies to Enhance the Ionic Conductivity in Ba2In2O5. J. Mater. Chem. 2011, 21, 874–879. [Google Scholar] [CrossRef]
- Pérez-Coll, D.; Pérez-Flores, J.C.; Nasani, N.; Slater, P.R.; Fagg, D.P. Exploring the Mixed Transport Properties of sulfur(VI)-Doped Ba2In2O5 for Intermediate-Temperature Electrochemical Applications. J. Mater. Chem. A 2016, 4, 11069–11076. [Google Scholar] [CrossRef]
- Shin, J.F.; Hussey, L.; Orera, A.; Slater, P.R. Enhancement of the Conductivity of Ba2In2O5 through Phosphate Doping. Chem. Commun. 2010, 46, 4613–4615. [Google Scholar] [CrossRef] [PubMed]
- Shin, J.F.; Apperley, D.C.; Slater, P.R. Silicon Doping in Ba2In2O5: Example of a Beneficial Effect of Silicon Incorporation on Oxide Ion/proton Conductivity. Chem. Mater. 2010, 22, 5945–5948. [Google Scholar] [CrossRef]
- Hancock, C.A.; Slade, R.C. T.; Varcoe, J.R.; Slater, P.R. Synthesis, Structure and Conductivity of Sulfate and Phosphate Doped SrCoO3. J. Solid State Chem. 2011, 184, 2972–2977. [Google Scholar] [CrossRef]
- Hancock, C.A.; Slater, P.R. Synthesis of Silicon Doped SrMO3 (M = Mn, Co): Stabilization of the Cubic Perovskite and Enhancement in Conductivity. Dalton Trans. 2011, 40, 5599–5603. [Google Scholar] [CrossRef] [PubMed]
- Liu, Y.; Zhu, X.; Yang, W. Stability of Sulfate Doped SrCoO3-δ MIEC Membrane. J. Memb. Sci. 2016, 501, 53–59. [Google Scholar] [CrossRef]
- Zhu, Y.; Zhou, W.; Sunarso, J.; Zhong, Y.; Shao, Z. Phosphorus-Doped Perovskite Oxide as Highly Efficient Water Oxidation Electrocatalyst in Alkaline Solution. Adv. Funct. Mater. 2016, 26, 5862–5872. [Google Scholar] [CrossRef]
- Li, M.; Zhou, W.; Xu, X.; Zhu, Z. SrCo0.85Fe0.1P0.05O3-δ Perovskite as a Cathode for Intermediate-Temperature Solid Oxide Fuel Cells. J. Mater. Chem. A 2013, 1, 13632–13639. [Google Scholar] [CrossRef]
- Porras-Vazquez, J.M.; Kemp, T.F.; Hanna, J.V.; Slater, P.R. Synthesis and Characterisation of Oxyanion-Doped Manganites for Potential Application as SOFC Cathodes. J. Mater. Chem. 2012, 22, 8287–8293. [Google Scholar] [CrossRef]
- Porras-Vazquez, J.M.; Pike, T.; Hancock, C.A.; Marco, J.F.; Berry, F.J.; Slater, P.R. Investigation into the Effect of Si Doping on the Performance of SrFeO3-δ SOFC Electrode Materials. J. Mater. Chem. A 2013, 1, 11834–11841. [Google Scholar] [CrossRef]
- Starkov, I.; Bychkov, S.; Matvienko, A.; Nemudry, A. Oxygen Release Technique as a Method for the Determination Of “δ-pO2-T” diagrams for MIEC Oxides. Phys. Chem. Chem. Phys. 2014, 16, 5527–5535. [Google Scholar] [CrossRef] [PubMed]














| SrFe1−xSxO3-δ | ||||
|---|---|---|---|---|
| S (x) | 0 | 0.025 | 0.05 | 0.075 |
| a (Å) | 3.8648(1) | 3.8723(1) | 3.8776(1) | 3.8766(1) |
| c (Å) | 3.8487(1) | - | - | - |
| V (Å3) | 57.486(4) | 58.066(2) | 58.303(4) | 58.260(4) |
| Rwp (%) | 1.84 | 1.67 | 2.01 | 1.97 |
| Rexp (%) | 0.92 | 0.92 | 0.90 | 0.90 |
| Fe occupancy | 1 | 0.98(1) | 0.96(1) | 0.94(1) |
| S occupancy | - | 0.02(1) | 0.04(1) | 0.06(1) |
| Fe/S Uiso | 0.003(1) | 0.009(1) | 0.011(1) | 0.008(1) |
| SrFe1−xSxO3-δ | ||||||
|---|---|---|---|---|---|---|
| S (x) | 0.025 | 0.05 | 0.075 | |||
| Air | Dry N2 | Air | Dry N2 | Air | Dry N2 | |
| a (Å) | 3.8723(1) | 3.9231(1) | 3.8776(1) | 3.9256(1) | 3.8766(1) | 3.9280(1) |
| c (Å) | - | - | - | - | - | - |
| V (Å3) | 58.066(2) | 60.379(1) | 58.303(4) | 60.496(1) | 58.260(4) | 60.606(1) |
| Rwp (%) | 1.67 | 3.10 | 2.01 | 3.09 | 1.97 | 3.20 |
| Rexp (%) | 0.92 | 2.59 | 0.90 | 2.51 | 0.90 | 2.50 |
| SrFe1−xSxO3-δ Heated in O2 | ||||
|---|---|---|---|---|
| S (x) | 0 | 0.025 | 0.05 | 0.075 |
| a (Å) | 3.8651(1) | 3.8641(1) | 3.8692(1) | 3.8691(1) |
| c (Å) | 3.8477(1) | - | - | - |
| V (Å3) | 57.349(3) | 57.694(2) | 57.924(2) | 57.922(3) |
| Rwp (%) | 4.16 | 3.29 | 3.79 | 3.93 |
| Rexp (%) | 3.71 | 2.81 | 2.73 | 2.79 |
| Fe occ | 1(-) | 0.97(2) | 0.94(2) | 0.93(2) |
| S occ | - | 0.03(2) | 0.06(2) | 0.07(2) |
| SrFe1−xBxO3-δ | |||
|---|---|---|---|
| B (x) | 0 | 0.05 | 0.1 |
| a (Å) | 3.8648(1) | 3.8593(1) | 3.8561(1) |
| c (Å) | 3.8487(1) | - | - |
| V (Å3) | 57.486(4) | 57.483(2) | 57.336(4) |
| Rwp (%) | 1.84 | 3.23 | 3.67 |
| Rexp (%) | 0.92 | 2.30 | 2.52 |
| Fe occupancy | 1 | 0.92(1) | 0.89(1) |
| B occupancy | - | 0.08(1) | 0.11(1) |
| Fe/B Uiso | 0.003(1) | 0.015(1) | 0.022(1) |
| Si (x) | S (x) | B (x) | ||||||||
|---|---|---|---|---|---|---|---|---|---|---|
| 0 | 0.05 | 0.1 | 0.15 | 0 | 0.025 | 0.05 | 0.075 | 0.05 | 0.1 | |
| Conductivity 700 °C (S cm−1) | 26 | 21 | 35 | 18 | 26 | 25 | 30 | 25 | 30 | 32 |
© 2017 by the authors. Licensee MDPI, Basel, Switzerland. This article is an open access article distributed under the terms and conditions of the Creative Commons Attribution (CC BY) license (http://creativecommons.org/licenses/by/4.0/).
Share and Cite
Jarvis, A.; Slater, P.R. Investigation into the Effect of Sulfate and Borate Incorporation on the Structure and Properties of SrFeO3-δ. Crystals 2017, 7, 169. https://doi.org/10.3390/cryst7060169
Jarvis A, Slater PR. Investigation into the Effect of Sulfate and Borate Incorporation on the Structure and Properties of SrFeO3-δ. Crystals. 2017; 7(6):169. https://doi.org/10.3390/cryst7060169
Chicago/Turabian StyleJarvis, Abbey, and Peter Raymond Slater. 2017. "Investigation into the Effect of Sulfate and Borate Incorporation on the Structure and Properties of SrFeO3-δ" Crystals 7, no. 6: 169. https://doi.org/10.3390/cryst7060169
APA StyleJarvis, A., & Slater, P. R. (2017). Investigation into the Effect of Sulfate and Borate Incorporation on the Structure and Properties of SrFeO3-δ. Crystals, 7(6), 169. https://doi.org/10.3390/cryst7060169

