(Li1−xFex)OHFeSe Superconductors: Crystal Growth, Structure, and Electromagnetic Properties
Abstract
:1. Introduction
2. Crystal Growth
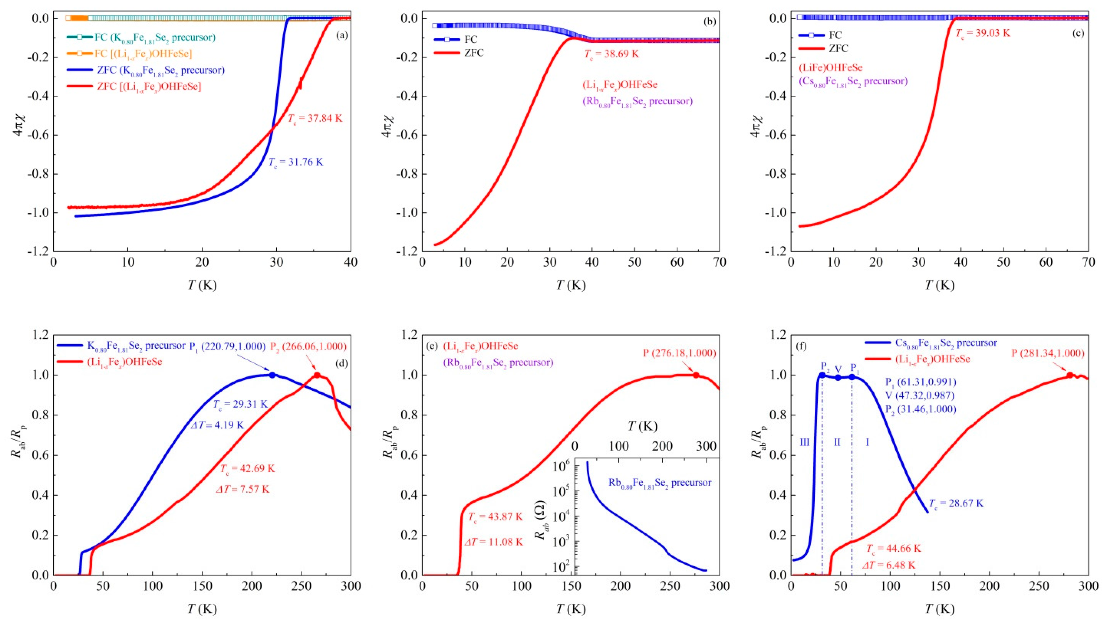
2.1. AxFe2−ySe2 (A = K, Rb, and Cs) Precursor
2.2. Hydrothermal Growth
2.3. Crystal Characterization Techniques
3. Crystal Structure
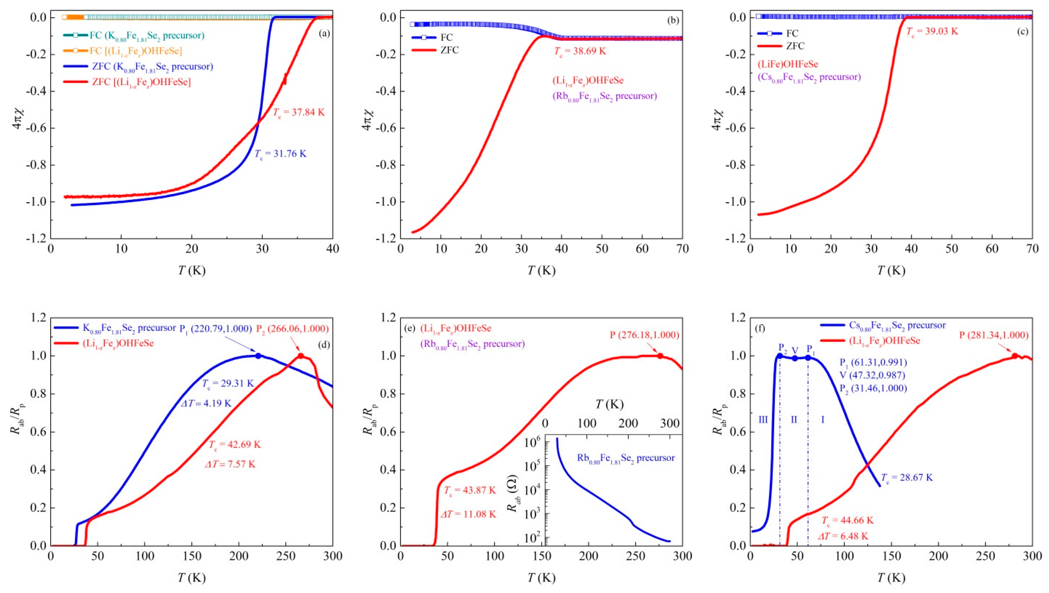
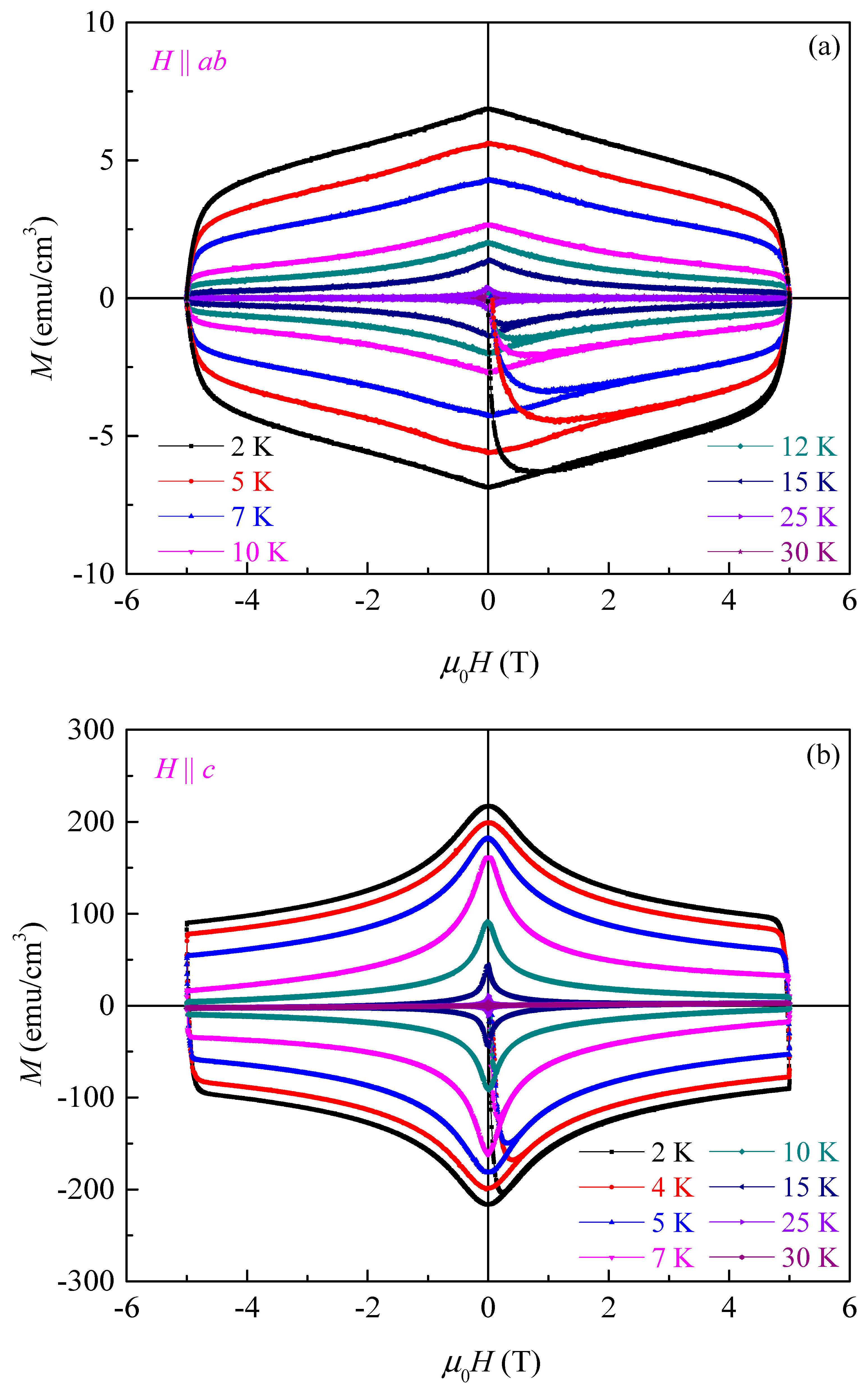
4. Superconductivity, Spin Density Wave, Antiferromagnetism and Ferromagnetism
5. Phase Diagram
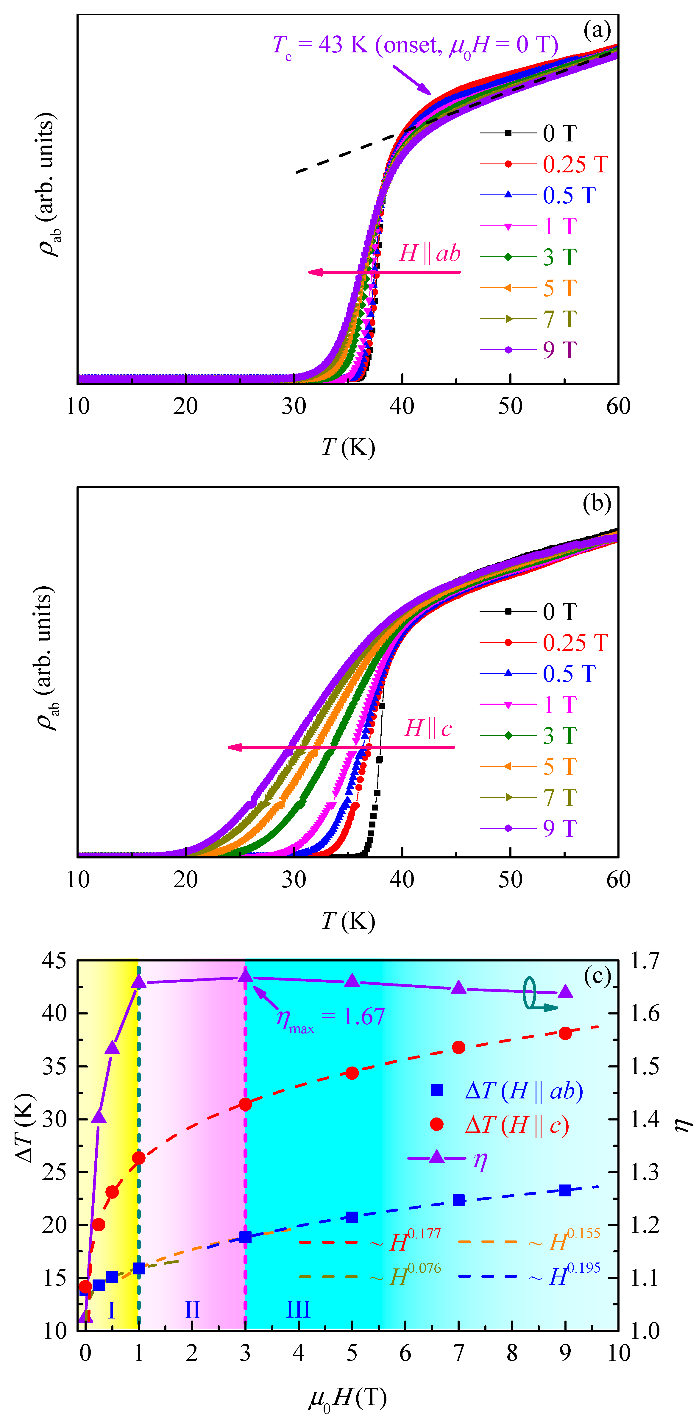
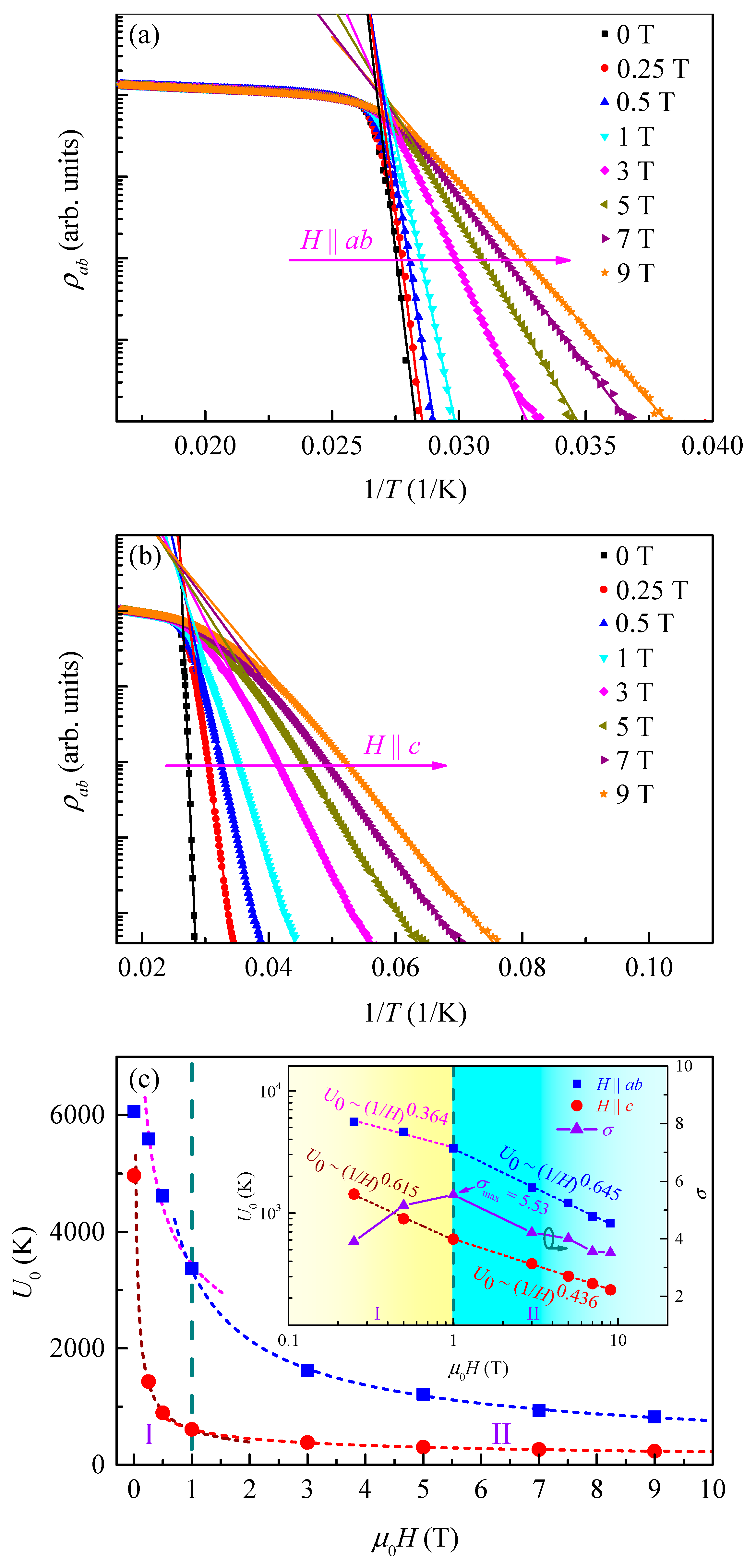
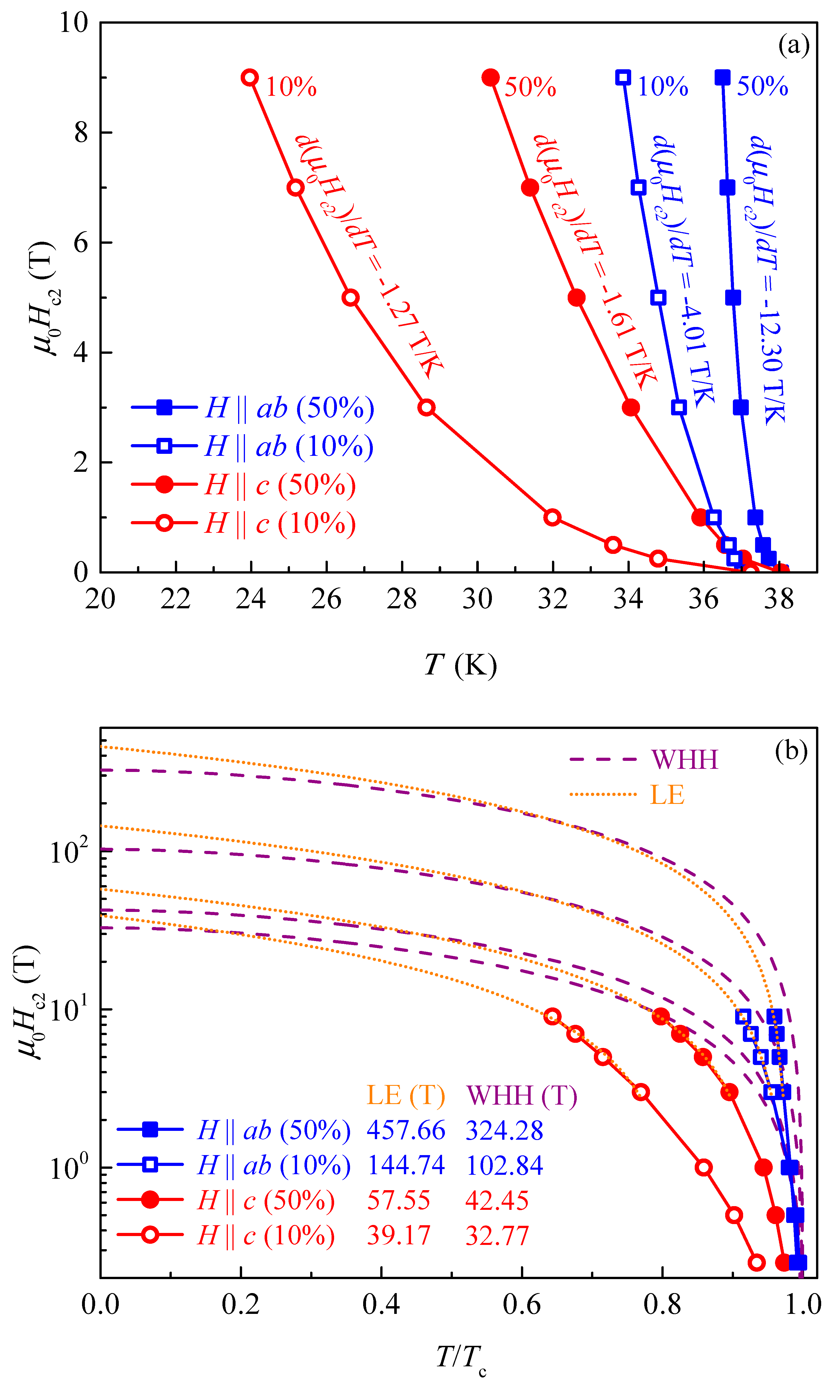
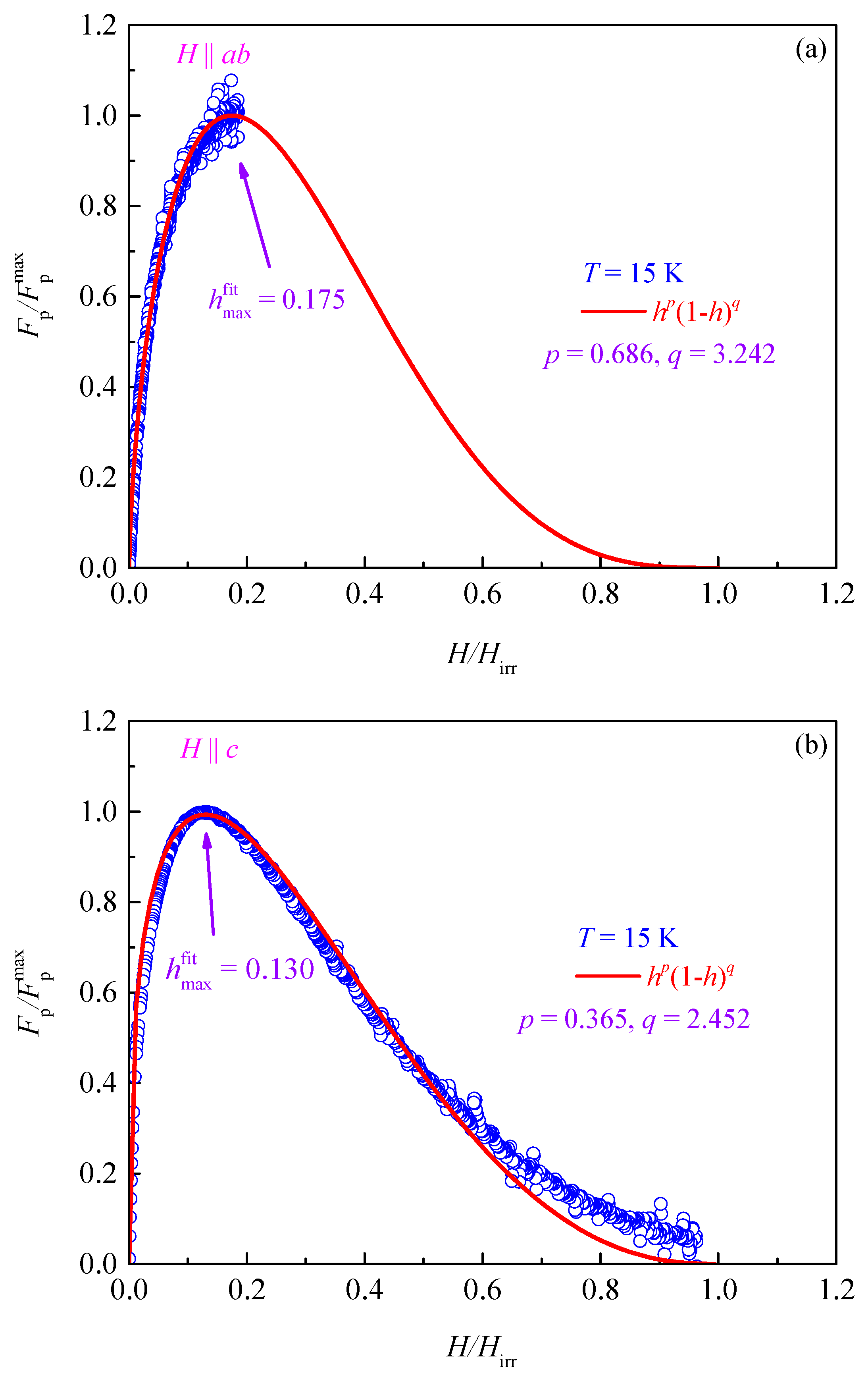
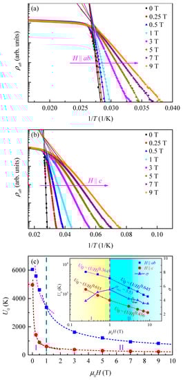
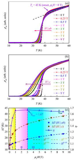
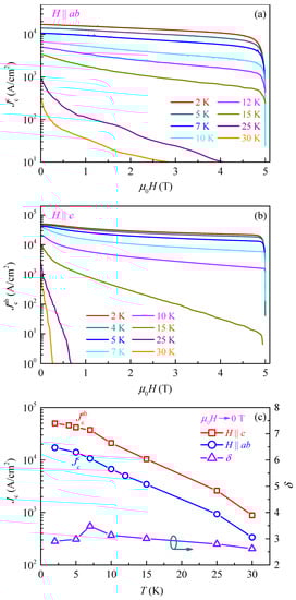
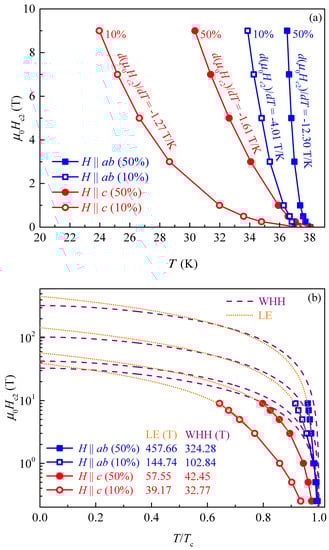
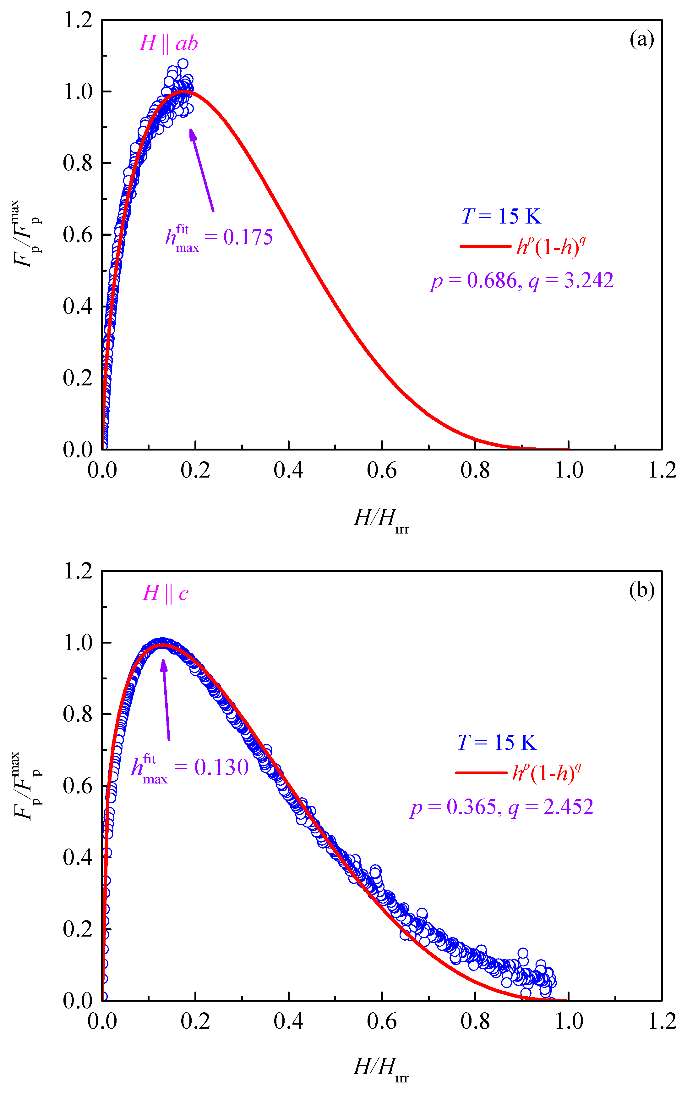
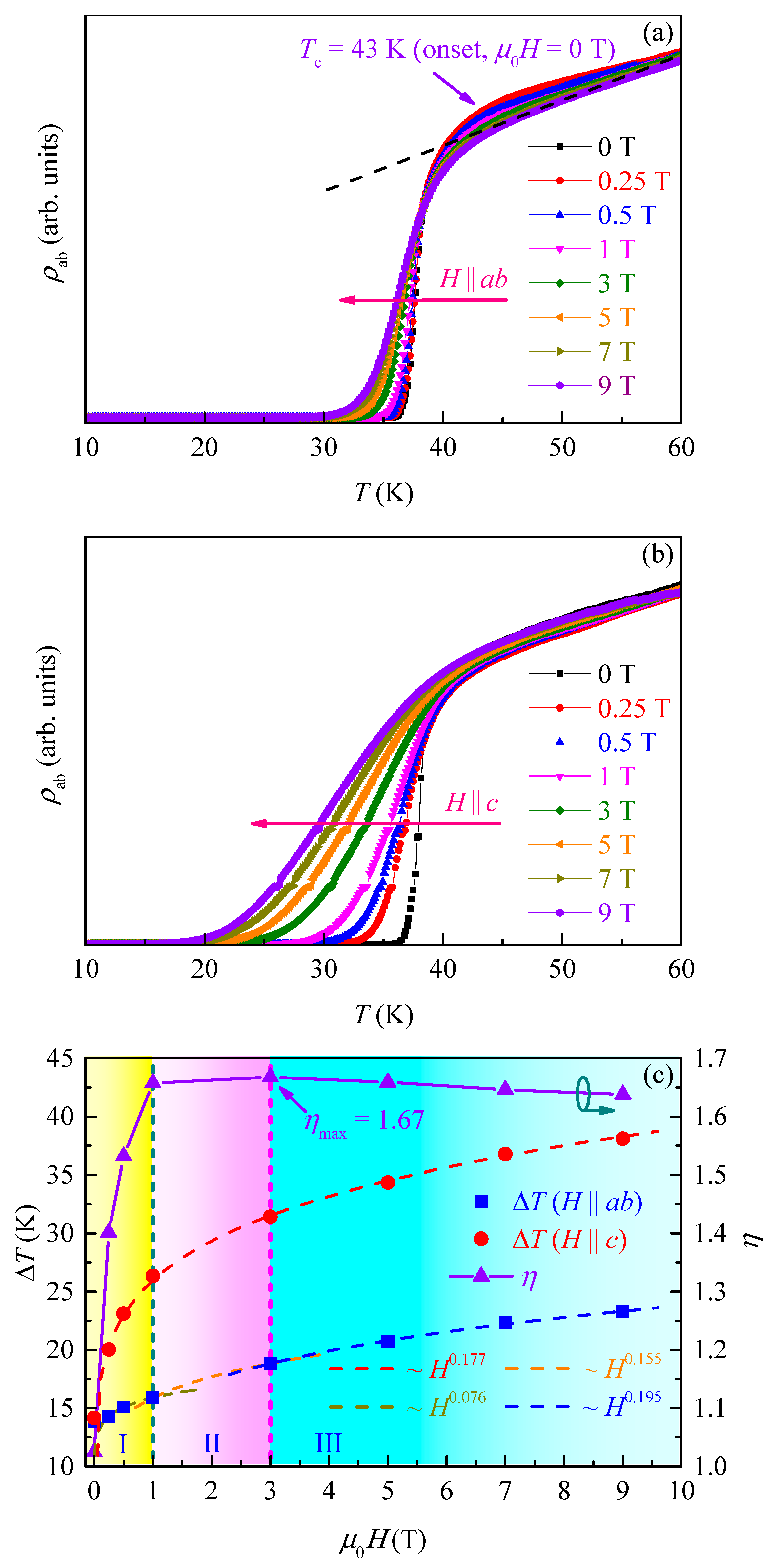
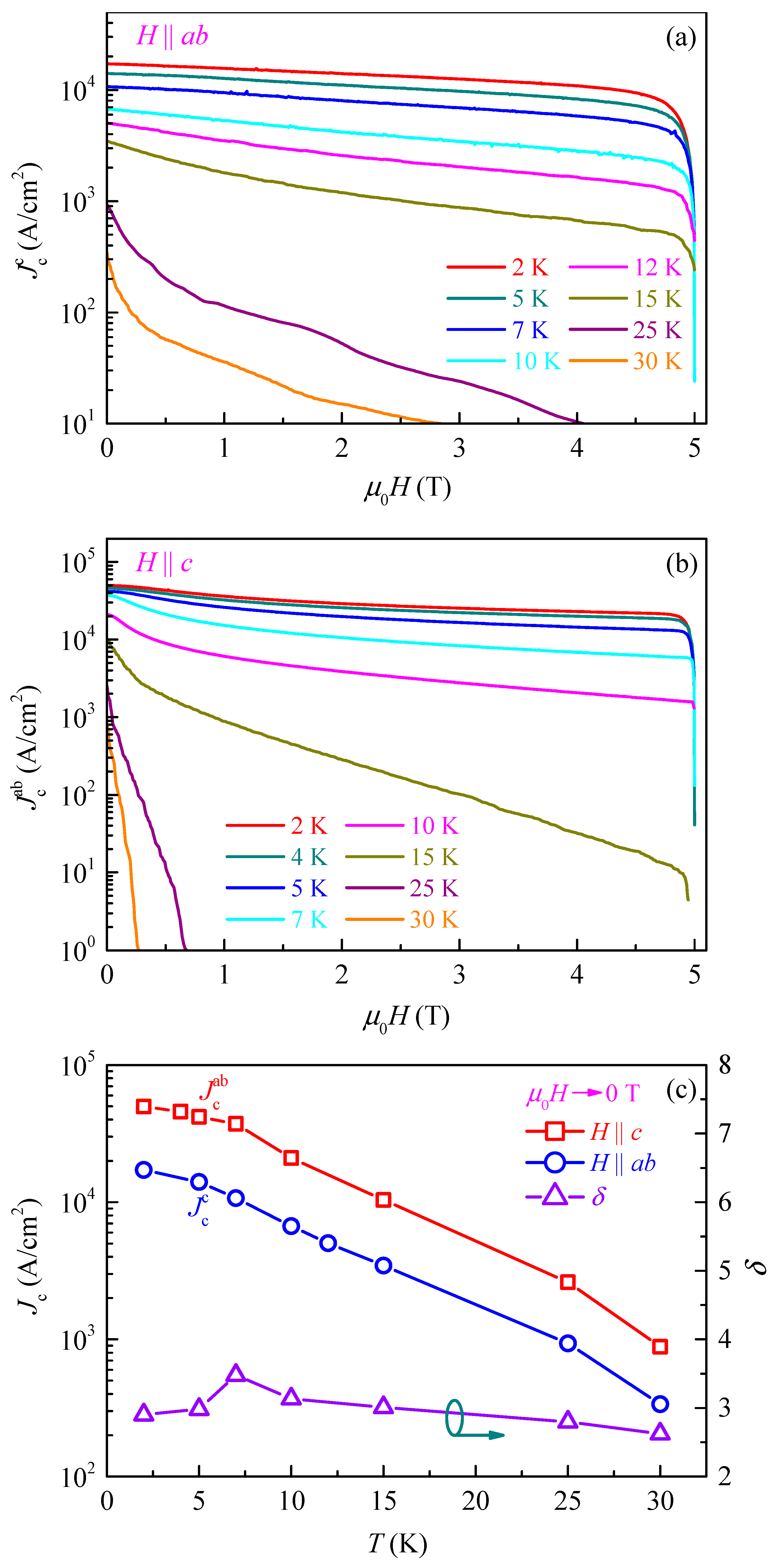
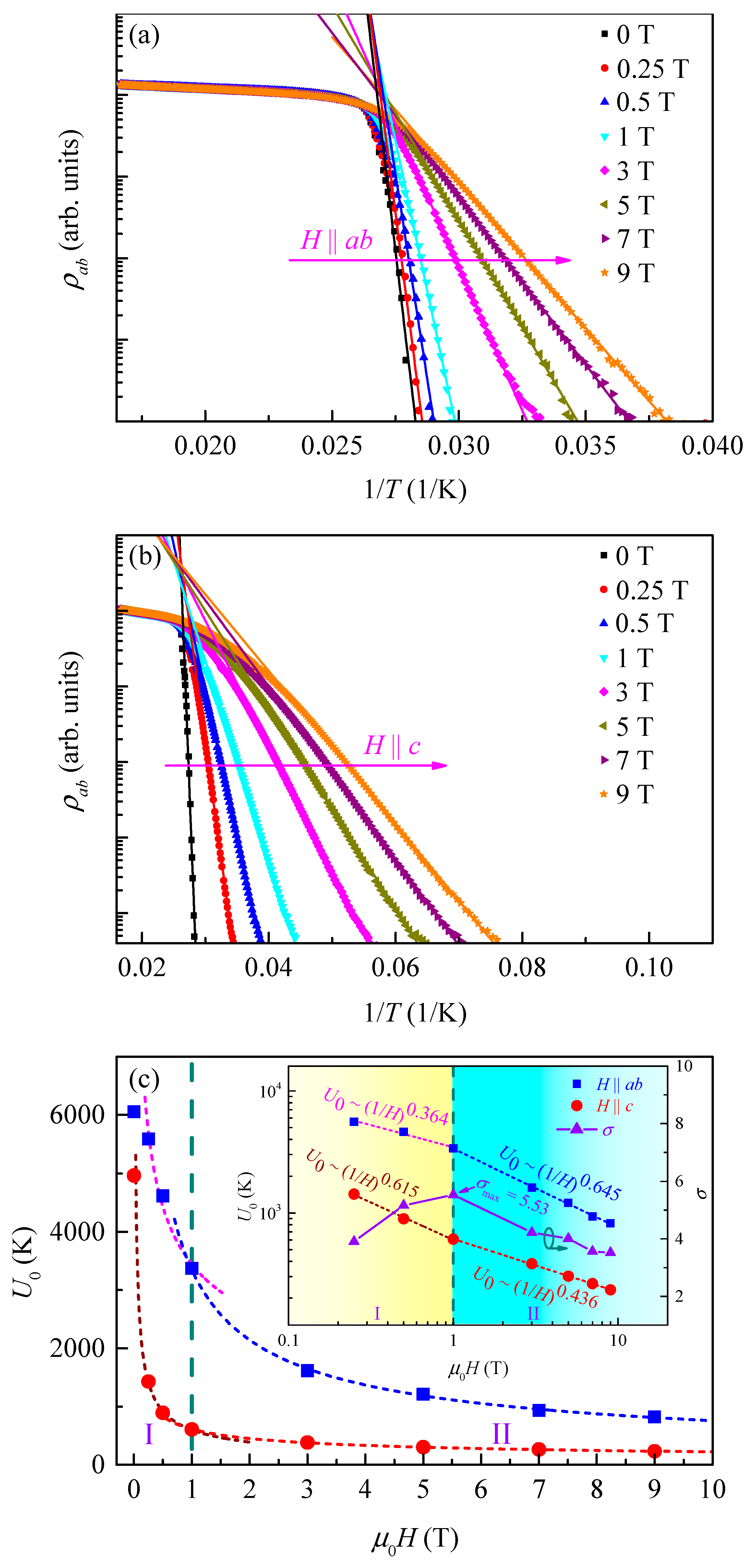
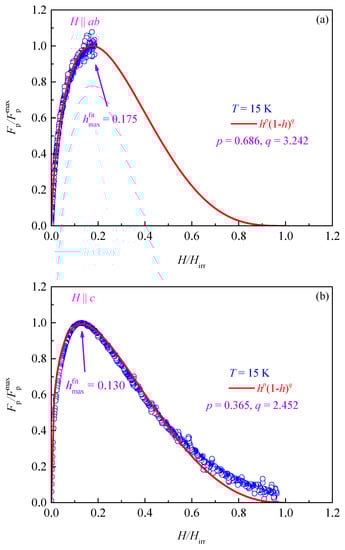
6. Anisotropic Behavior
7. Superconducting Mechanism
8. Conclusions
Acknowledgment
Conflicts of Interest
References
- Johrendt, D. Structure–property relationships of iron arsenide superconductors. J. Mater. Chem. 2011, 21, 13726–13736. [Google Scholar] [CrossRef]
- Chen, D.P.; Lin, C.T. The growth of 122 and 11 iron-based superconductor single crystals and the influence of doping. Supercond. Sci. Technol. 2014, 27, 103002. [Google Scholar] [CrossRef]
- Guo, J.G.; Jin, S.F.; Wang, G.; Wang, S.C.; Zhu, K.X.; Zhou, T.T.; He, M.; Chen, X.L. Superconductivity in the iron selenide KxFe2Se2 (0 ≤ x ≤ 1.0). Phys. Rev. B 2010, 82, 180520. [Google Scholar] [CrossRef]
- Li, M.T.; Chen, L.; Feng, Z.J.; Deng, D.; Kang, B.J.; Cao, S.X.; Lin, C.T.; Zhang, J.C. Anisotropic characteristics and critical behaviors in Mn doped K0.8Fe2Se2 single crystal. Physica C 2014, 506, 40–46. [Google Scholar] [CrossRef]
- Friemel, G.; Liu, W.P.; Goremychkin, E.A.; Liu, Y.; Park, J.T.; Sobolev, O.; Lin, C.T.; Keimer, B.; Inosov, D.S. Conformity of spin fluctuations in alkali-metal iron selenide superconductors inferred from the observation of a magnetic resonant mode in KxFe2−ySe2. Europhys. Lett. 2012, 99, 67004. [Google Scholar] [CrossRef]
- Kamihara, Y.; Watanabe, T.; Hirano, M.; Hosono, H. Iron-based layered superconductor La[O1−xFx]FeAs (x = 0.05–0.12) with Tc = 26 K. J. Am. Chem. Soc. 2008, 130, 3296–3297. [Google Scholar] [CrossRef] [PubMed]
- Hsu, F.C.; Luo, J.Y.; Yeh, K.W.; Chen, T.K.; Huang, T.W.; Wu, P.M.; Lee, Y.C.; Huang, Y.L.; Chu, Y.Y.; Yan, D.C.; et al. Superconductivity in the PbO-type structure α-FeSe. Proc. Natl. Acad. Sci. USA 2008, 105, 14262–14264. [Google Scholar] [CrossRef] [PubMed]
- Mizuguchi, Y.; Hara, Y.; Deguchi, K.; Tsuda, S.; Yamaguchi, T.; Takeda, K.; Kotegawa, H.; Tou, H.; Takano, Y. Anion height dependence of Tc for the Fe-based superconductor. Supercond. Sci. Technol. 2010, 23, 054013. [Google Scholar] [CrossRef]
- Hirschfeld, P.J.; Korshunov, M.M.; Mazin, I.I. Gap symmetry and structure of Fe-based superconductors. Rep. Prog. Phys. 2011, 74, 124508. [Google Scholar] [CrossRef]
- Hanaguri, T.; Niitaka, S.; Kuroki, K.; Takagi, H. Unconventional s-wave superconductivity in Fe(Se,Te). Science 2010, 328, 474–476. [Google Scholar] [CrossRef] [PubMed]
- Gasparov, V.A.; Audouard, A.; Drigo, L.; Rodigin, A.I.; Lin, C.T.; Liu, W.P.; Zhang, M.; Wang, A.F.; Chen, X.H.; Jeevan, H.S.; et al. Upper critical magnetic field of KxFe2−ySe2 and Eu0.5K0.5Fe2As2 single crystals. Phys. Rev. B 2013, 87, 094508. [Google Scholar] [CrossRef]
- Rahlenbeck, M.; Sun, G.L.; Sun, D.L.; Lin, C.T.; Keimer, B.; Ulrich, C. Phonon anomalies in pure and underdoped R1−xKxFe2As2 (R = Ba, Sr) investigated by Raman light scattering. Phys. Rev. B 2009, 80, 064509. [Google Scholar] [CrossRef]
- Inosov, D.S.; Leineweber, A.; Yang, X.; Park, J.T.; Christensen, N.B.; Dinnebier, R.; Sun, G.L.; Niedermayer, C.; Haug, D.; Stephens, P.W.; et al. Suppression of the structural phase transition and lattice softening in slightly underdoped Ba1−xKxFe2As2 with electronic phase separation. Phys. Rev. B 2009, 79, 224503. [Google Scholar] [CrossRef]
- Park, J.T.; Inosov, D.S.; Niedermayer, C.; Sun, G.L.; Haug, D.; Christensen, N.B.; Dinnebier, R.; Boris, A.V.; Drew, A.J.; Schulz, L.; et al. Electronic phase separation in the slightly underdoped iron pnictide superconductor Ba1−xKxFe2As2. Phys. Rev. Lett. 2009, 102, 117006. [Google Scholar] [CrossRef] [PubMed]
- Zabolotnyy, V.B.; Inosov, D.S.; Evtushinsky, D.V.; Koitzsch, A.; Kordyuk, A.A.; Sun, G.L.; Park, J.T.; Haug, D.; Hinkov, V.; Boris, A.V.; et al. (π, π) electronic order in iron arsenide superconductors. Nature 2009, 457, 569–572. [Google Scholar] [CrossRef] [PubMed]
- Liu, Y.; Lin, C.T. A comparative study of Fe1+δTe1−xSex single crystals grown by Bridgman and self-flux techniques. J. Supercond. Nov. Magn. 2011, 24, 183–187. [Google Scholar] [CrossRef]
- Liu, R.H.; Wu, T.; Wu, G.; Chen, H.; Wang, X.F.; Xie, Y.L.; Yin, J.J.; Yan, Y.J.; Li, Q.J.; Shi, B.C.; et al. A large iron isotope effect in SmFeAsO1−xFx and Ba1−xKxFe2As2. Nature 2009, 459, 64–67. [Google Scholar] [CrossRef] [PubMed]
- Dagotto, E. Colloquium: The unexpected properties of alkali metal iron selenide superconductors. Rev. Mod. Phys. 2013, 85, 849–867. [Google Scholar] [CrossRef]
- Büchner, B.; Hess, C. Iron-based superconductors: Vital clues from a basic compound. Nat. Mater. 2009, 8, 615–616. [Google Scholar] [CrossRef] [PubMed]
- Tapp, J.H.; Tang, Z.; Lv, B.; Sasmal, K.; Lorenz, B.; Chu, P.C.W.; Guloy, A.M. LiFeAs: An intrinsic FeAs-based superconductor with Tc = 18 K. Phys. Rev. B 2008, 78, 060505. [Google Scholar] [CrossRef]
- Wang, X.C.; Liu, Q.; Lv, Y.; Gao, W.; Yang, L.X.; Yu, R.C.; Li, F.Y.; Jin, C.Q. The superconductivity at 18 K in LiFeAs system. Solid. State Commun. 2008, 148, 538–540. [Google Scholar] [CrossRef]
- Pitcher, M.J.; Parker, D.R.; Adamson, P.; Herkelrath, S.J.C.; Boothroyd, A.T.; Ibberson, R.M.; Brunelli, M.; Clarke, S.J. Structure and superconductivity of LiFeAs. Chem. Commun. 2008, 45, 5918–5920. [Google Scholar] [CrossRef] [PubMed]
- Rotter, M.; Tegel, M.; Johrendt, D. Superconductivity at 38 K in the iron arsenide (Ba1−xKx)Fe2As2. Phys. Rev. Lett. 2008, 101, 107006. [Google Scholar] [CrossRef] [PubMed]
- Sasmal, K.; Lv, B.; Lorenz, B.; Guloy, A.M.; Chen, F.; Xue, Y.Y.; Chu, C.W. Superconducting Fe-based compounds (A1−xSrx)Fe2As2 with A = K and Cs with transition temperatures up to 37 K. Phys. Rev. Lett. 2008, 101, 107007. [Google Scholar] [CrossRef] [PubMed]
- Chen, X.H.; Wu, T.; Wu, G.; Liu, R.H.; Chen, H.; Fang, D.F. Superconductivity at 43 K in SmFeAsO1−xFx. Nature 2008, 453, 761–762. [Google Scholar] [CrossRef] [PubMed]
- Ren, Z.A.; Che, G.C.; Dong, X.L.; Yang, J.; Lu, W.; Yi, W.; Shen, X.L.; Li, Z.C.; Sun, L.L.; Zhou, F.; Zhao, Z.X. Superconductivity and phase diagram in iron-based arsenic-oxides ReFeAsO1−δ (Re = rare-earth metal) without fluorine doping. Europhys. Lett. 2008, 83, 17002. [Google Scholar] [CrossRef]
- Matsuishi, S.; Inoue, Y.; Nomura, T.; Yanagi, H.; Hirano, M.; Hosono, H. Superconductivity induced by Co-doping in quaternary fluoroarsenide CaFeAsF. J. Am. Chem. Soc. 2008, 130, 14428–14429. [Google Scholar] [CrossRef] [PubMed]
- Ogino, H.; Matsumura, Y.; Katsura, Y.; Ushiyama, K.; Horii, S.; Kishio, K.; Shimoyama, J. Superconductivity at 17 K in (Fe2P2)(Sr4Sc2O6): A new superconducting layered pnictide oxide with a thick perovskite oxide layer. Supercond. Sci. Technol. 2009, 22, 075008. [Google Scholar] [CrossRef]
- Zhu, X.Y.; Han, F.; Mu, G.; Cheng, P.; Shen, B.; Zeng, B.; Wen, H.H. Transition of stoichiometric Sr2VO3FeAs to a superconducting state at 37.2 K. Phys. Rev. B 2009, 79, 220512. [Google Scholar] [CrossRef]
- Shirage, P.M.; Kihou, K.; Lee, C.H.; Kito, H.; Eisaki, H.; Lyo, A. Emergence of superconductivity in “32522” structure of (Ca3Al2O5–y)(Fe2Pn2) (Pn = As and P). J. Am. Chem. Soc. 2011, 133, 9630–9633. [Google Scholar] [CrossRef] [PubMed]
- Ren, Z.-A.; Lu, W.; Yang, J.; Yi, W.; Shen, X.-L.; Li, Z.-C.; Che, G.-C.; Dong, X.-L.; Sun, L.-L.; Zhou, F.; et al. Superconductivity at 55 K in iron-based F-doped layered quaternary compound Sm[O1−xFx]FeAs. Chin. Phys. Lett. 2008, 25, 2215–2216. [Google Scholar]
- Wu, G.; Xie, Y.L.; Chen, H.; Zhong, M.; Liu, R.H.; Shi, B.C.; Li, Q.J.; Wang, X.F.; Wu, T.; Yan, Y.J.; et al. Superconductivity at 56 K in samarium-doped SrFeAsF. J. Phys. Condens. Matter 2009, 21, 142203. [Google Scholar] [CrossRef] [PubMed]
- Chen, X.H.; Dai, P.C.; Feng, D.L.; Xiang, T.; Zhang, F.-C. Iron-based high transition temperature superconductors. Natl. Sci. Rev. 2014, 1, 371–395. [Google Scholar] [CrossRef]
- Lei, H.; Wang, K.; Hu, R.; Ryu, H.; Abeykoon, M.; Bozin, E.S.; Petrovic, C. Iron chalcogenide superconductors at high magnetic fields. Sci. Technol. Adv. Mater. 2012, 13, 054305. [Google Scholar] [CrossRef] [PubMed]
- Chen, T.-K.; Chang, C.-C.; Chang, H.-H.; Fang, A.-H.; Wang, C.-H.; Chao, W.-H.; Tseng, C.-M.; Lee, Y.-C.; Wu, Y.-R.; Wen, M.-H.; et al. Fe-vacancy order and superconductivity in tetragonal β-Fe1−xSe. Proc. Natl. Acad. Sci. USA 2014, 111, 63–68. [Google Scholar] [CrossRef] [PubMed]
- Yeh, K.-W.; Huang, T.-W.; Huang, Y.-L.; Chen, T.-K.; Hsu, F.-C.; Wu, P.M.; Lee, Y.-C.; Chu, Y.-Y.; Chen, C.-L.; Luo, J.-Y.; et al. Tellurium substitution effect on superconductivity of the α-phase iron selenide. Europhys. Lett. 2008, 84, 37002. [Google Scholar] [CrossRef]
- Medvedev, S.; McQueen, T.M.; Troyan, I.A.; Palasyuk, T.; Eremets, M.I.; Cava, R.J.; Naghavi, S.; Casper, F.; Ksenofontov, V.; Wortmann, G.; et al. Electronic and magnetic phase diagram of bold italic β-Fe1.01Se with superconductivity at 36.7 K under pressure. Nat. Mater. 2009, 8, 630–633. [Google Scholar] [CrossRef] [PubMed]
- Mizuguchi, Y.; Tomioka, F.; Tsuda, S.; Yamaguchi, T.; Takano, Y. Superconductivity at 27 K in tetragonal FeSe under high pressure. Appl. Phys. Lett. 2008, 93, 152505. [Google Scholar] [CrossRef]
- Gati, E.; Köhler, S.; Guterding, D.; Wolf, B.; Knöner, S.; Ran, S.; Bud’ko, S.L.; Canfield, P.C.; Lang, M. Hydrostatic-pressure tuning of magnetic, nonmagnetic, and superconducting states in annealed Ca(Fe1−xCox)2As2. Phys. Rev. B 2012, 86, 220511. [Google Scholar] [CrossRef]
- Bao, W. Structure, magnetic order and excitations in the 245 family of Fe-based superconductors. J. Phys. Condens. Matter 2015, 27, 023201. [Google Scholar] [CrossRef] [PubMed]
- Stewart, G.R. Superconductivity in iron compounds. Rev. Mod. Phys. 2011, 83, 1589–1652. [Google Scholar] [CrossRef]
- Liu, R.H.; Luo, X.G.; Zhang, M.; Wang, A.F.; Ying, J.J.; Wang, X.F.; Yan, Y.J.; Xiang, Z.J.; Cheng, P.; Ye, G.J.; et al. Coexistence of superconductivity and antiferromagnetism in single crystals A0.8Fe2−ySe2 (A=K, Rb, Cs, Tl/K and Tl/Rb): Evidence from magnetization and resistivity. Europhys. Lett. 2011, 94, 27008. [Google Scholar] [CrossRef]
- Scheidt, E.-W.; Hathwar, V.R.; Schmitz, D.; Dunbar, A.; Scherer, W.; Mayr, F.; Tsurkan, V.; Deisenhofer, J.; Loidl, A. Superconductivity at Tc = 44 K in LixFe2Se2 (NH3)y. Eur. Phys. J. B 2012, 85, 279. [Google Scholar] [CrossRef]
- Zheng, L.; Izumi, M.; Sakai, Y.; Eguchi, R.; Goto, H.; Takabayashi, Y.; Kambe, T.; Onji, T.; Araki, S.; Kobayashi, T.C.; et al. Superconductivity in (NH3)yCs0.4FeSe. Phys. Rev. B 2013, 88, 094521. [Google Scholar] [CrossRef]
- Burrard-Lucas, M.; Free, D.G.; Sedlmaier, S.J.; Wright, J.D.; Cassidy, S.J.; Hara, Y.; Corkett, A.J.; Lancaster, T.; Baker, P.J.; Blundell, S.J.; et al. Enhancement of the superconducting transition temperature of FeSe by intercalation of a molecular spacer layer. Nat. Mater. 2013, 12, 15. [Google Scholar] [CrossRef] [PubMed]
- Krzton-Maziopa, A.; Pomjakushina, E.V.; Pomjakushin, V.Y.; von Rohr, F.; Schilling, A.; Conder, K. Synthesis of a new alkali meta–organic solvent intercalated iron selenide superconductor with Tc ≈ 45 K. J. Phys. Condens. Matter 2012, 24, 382202. [Google Scholar] [CrossRef] [PubMed]
- Ying, T.; Chen, X.; Wang, G.; Jin, S.; Lai, X.; Zhou, T.; Zhang, H.; Shen, S.; Wang, W. Superconducting phases in potassium-intercalated iron selenides. J. Am. Chem. Soc. 2013, 135, 2951–2954. [Google Scholar] [CrossRef] [PubMed]
- Fang, M.H.; Pham, H.M.; Qian, B.; Liu, T.J.; Vehstedt, E.K.; Liu, Y.; Spinu, L.; Mao, Z.Q. Superconductivity close to magnetic instability in Fe(Se1−xTex)0.82. Phys. Rev. B 2008, 78, 224503. [Google Scholar] [CrossRef]
- Long, Y.J.; Wang, D.M.; Wang, Z.; Yang, H.X.; He, J.B.; Zhao, L.X.; Wang, P.P.; Xue, M.Q.; Li, J.Q.; Ren, Z.A.; et al. Synthesis and characterization of the layered iron-selenide Na0.8Fe1.6Se2. Phys. Rev. B 2014, 90, 144519. [Google Scholar] [CrossRef]
- Ricci, A.; Poccia, N.; Joseph, B.; Innocenti, D.; Campi, G.; Zozulya, A.; Westermeier, F.; Schavkan, A.; Coneri, F.; Bianconi, A.; et al. Direct observation of nanoscale interface phase in the superconducting chalcogenide KxFe2−ySe2 with intrinsic phase separation. Phys. Rev. B 2015, 91, 020503. [Google Scholar] [CrossRef]
- Shoemaker, D.P.; Chung, D.Y.; Claus, H.; Francisco, M.C.; Avci, S.; Llobet, A.; Kanatzidis, M.G. Phase relations in KxFe2−ySe2 and the structure of superconducting KxFe2Se2 via high-resolution synchrotron diffraction. Phys. Rev. B 2012, 86, 184511. [Google Scholar] [CrossRef]
- Lu, X.F.; Wang, N.Z.; Wu, H.; Wu, Y.P.; Zhao, D.; Zeng, X.Z.; Luo, X.G.; Wu, T.; Bao, W.; Zhang, G.H.; et al. Coexistence of superconductivity and antiferromagnetism in (Li0.8Fe0.2)OHFeSe. Nat. Mater. 2015, 14, 325–329. [Google Scholar] [CrossRef] [PubMed]
- Yu, G.; Zhang, G.Y.; Ryu, G.H.; Lin, C.T. Structure and superconductivity of (Li1−xFex)OHFeSe single crystals grown using AxFe2−ySe2 (A = K, Rb, and Cs) as precursors. J. Phys. Condens. Matter 2016, 28, 015701. [Google Scholar] [CrossRef] [PubMed]
- Liu, Y.; Xing, Q.; Dennis, K.W.; McCallum, R.W.; Lograsso, T.A. Evolution of precipitate morphology during heat treatment and its implications for the superconductivity in KxFe1.6+ySe2 single crystals. Phys. Rev. B 2012, 86, 144507. [Google Scholar] [CrossRef]
- Mizuguchi, Y.; Takeya, H.; Kawasaki, Y.; Ozaki, T.; Tsuda, S.; Yamaguchi, T.; Takano, Y. Transport properties of the new Fe-based superconductor KxFe2Se2 (Tc = 33 K). Appl. Phys. Lett. 2011, 98, 042511. [Google Scholar] [CrossRef]
- Ying, J.J.; Wang, X.F.; Luo, X.G.; Wang, A.F.; Zhang, M.; Yan, Y.J.; Xiang, Z.J.; Liu, R.H.; Cheng, P.; Ye, G.J.; et al. Superconductivity and magnetic properties of single crystals of K0.75Fe1.66Se2 and Cs0.81Fe1.61Se2. Phys. Rev. B 2011, 83, 212502. [Google Scholar] [CrossRef]
- Wang, A.F.; Ying, J.J.; Yan, Y.J.; Liu, R.H.; Luo, X.G.; Li, Z.Y.; Wang, X.F.; Zhang, M.; Ye, G.J.; Cheng, P.; et al. Superconductivity at 32 K in single-crystalline RbxFe2−ySe2. Phys. Rev. B 2011, 83, 060512. [Google Scholar] [CrossRef]
- Krzton-Maziopa, A.; Shermadini, Z.; Pomjakushina, E.; Pomjakushin, V.; Bendele, M.; Amato, A.; Khasanov, R.; Luetkens, H.; Conder, K. Synthesis and crystal growth of Cs0.8(FeSe0.98)2: A new iron-based superconductor with Tc = 27 K. J. Phys. Condens. Matter 2011, 23, 052203. [Google Scholar] [CrossRef] [PubMed]
- Hu, R.; Cho, K.; Kim, H.; Hodovanets, H.; Straszheim, W.E.; Tanatar, M.A.; Prozorov, R.; Bud’ko, S.L.; Canfield, P.C. Anisotropic magnetism, resistivity, London penetration depth and magneto-optical imaging of superconducting K0.80Fe1.76Se2 single crystals. Supercond. Sci. Technol. 2011, 24, 065006. [Google Scholar] [CrossRef]
- Luo, X.G.; Wang, X.F.; Ying, J.J.; Yan, Y.J.; Li, Z.Y.; Zhang, M.; Wang, A.F.; Cheng, P.; Xiang, Z.J.; Ye, G.J.; et al. Crystal structure, physical properties and superconductivity in AxFe2Se2 single crystals. New J. Phys. 2011, 13, 053011. [Google Scholar] [CrossRef]
- Wang, D.M.; He, J.B.; Xia, T.-L.; Chen, G.F. Effect of varying iron content on the transport properties of the potassium-intercalated iron selenide KxFe2−ySe2. Phys. Rev. B 2011, 83, 132502. [Google Scholar] [CrossRef]
- Tsurkan, V.; Deisenhofer, J.; Günther, A.; Krug von Nidder, H.-A.; Widmann, S.; Loidl, A. Anisotropic magnetism, superconductivity and the phase diagram of Rb1−xFe2−ySe2. Phys. Rev. B 2011, 84, 144520. [Google Scholar] [CrossRef]
- Liu, Y.; Li, Z.C.; Liu, W.P.; Friemel, G.; Inosov, D.S.; Dinnebier, R.E.; Li, Z.J.; Lin, C.T. KxFe2−ySe2 single crystals: Floating-zone growth, transport and structural properties. Supercond. Sci. Technol. 2012, 25, 075001. [Google Scholar] [CrossRef]
- Maljuk, A.; Watauchi, S.; Tanakab, I.; Kojima, H. The effect of B2O3 addition on La2−xSrxCuO4 single-crystal growth. J. Cryst. Growth 2000, 212, 138–141. [Google Scholar] [CrossRef]
- Lin, C.T.; Maljuk, A.; Liang, B. The seeding effect of floating zone growth on Nd1.85Ce0.15CuO4 and Bi2Sr2CaCu2O8-δ single crystals. Supercond. Sci. Technol. 2002, 15, 1736–1740. [Google Scholar] [CrossRef]
- Liang, B.; Lin, C.T. On the growth of underdoped Bi2Sr2CaCu2O8+δ single crystals by traveling solvent floating zone method. J. Cryst. Growth 2002, 237, 756–761. [Google Scholar] [CrossRef]
- Maljuk, A.; Liang, B.; Lin, C.T.; Emelchenko, G.A. On the growth of overdoped Bi-2212 single crystals under high oxygen pressure. Physica C 2001, 355, 140–146. [Google Scholar] [CrossRef]
- Gu, G.D.; Takamuku, K.; Koshizuka, N.; Tanaka, S. Large single crystal Bi-2212 along the c-axis prepared by floating zone method. J. Cryst. Growth 1993, 130, 325–329. [Google Scholar] [CrossRef]
- Lin, C.T.; Freiberg, M.; Schöenherr, E. Growth and oxygenating studies of Bi2+xSr2−xCan-1CunO2n+4+δ single crystals. Physica C 2000, 337, 270–276. [Google Scholar] [CrossRef]
- Takekawa, S.; Nozaki, H.; Umezono, A.; Kosuda, K.; Kobayashi, M. Single crystal growth of the superconductor Bi2.0(Bi0.2Sr1.8Ca1.0)Cu2.0O8. J. Cryst. Growth 1988, 92, 687–690. [Google Scholar] [CrossRef]
- Gu, G.D.; Lin, Z.W. Single crystal growth of high-temperature superconductor Bi2.1Sr1.9Ca1.0Cu2.0AlyOx. Supercond. Sci. Technol. 2000, 13, 1197–1201. [Google Scholar] [CrossRef]
- Maljuk, A.; Lin, C.T. Floating zone growth of Bi2Sr2Ca2Cu3Oy superconductor. Crystals 2016, 6, 62. [Google Scholar] [CrossRef]
- Liang, B.; Lin, C.T.; Shang, P.; Yang, G. Single crystals of triple-layered cuprates Bi2Sr2Ca2Cu3O10+δ: Growth, annealing and characterization. Physica C 2002, 383, 75–88. [Google Scholar] [CrossRef]
- Kulakov, A.B.; Maier, D.; Maljuk, A.; Bdikin, I.K.; Lin, C.T. Study of growth/intergrowth behavior and structural analyses of Bi2Sr2Ca2Cu3O10+δ single crystals. J. Cryst. Growth 2006, 296, 69–74. [Google Scholar] [CrossRef]
- Fujii, T.; Watanabe, T.; Matsuda, A. Single-crystal growth of Bi2Sr2Ca2Cu3O10+δ (Bi-2223) by TSFZ method. J. Cryst. Growth 2001, 223, 175–180. [Google Scholar] [CrossRef]
- Peng, F.; Liu, W.P.; Lin, C.T. Study of thermal behavior and single crystal growth of A0.8Fe1.81Se2 (A = K, Rb, and, Cs). J. Supercond. Nov. Magn. 2013, 26, 1205–1211. [Google Scholar] [CrossRef]
- Liu, W.P.; Li, M.T.; Lin, C.T. Effect of Te doping on the structure and superconductivity of KxFe2−ySe2−zTez single crystals. J. Supercond. Nov. Magn. 2014, 27, 2419–2426. [Google Scholar] [CrossRef]
- McMillen, C.D.; Kolis, J.W. Bulk single crystal growth from hydrothermal solutions. Philos. Mag. 2012, 92, 2686–2711. [Google Scholar] [CrossRef]
- Zhang, G.; Li, G.; Huang, F.; Liao, F.; Li, K.; Wang, Y.; Lin, J. Hydrothermal synthesis of superconductors Ba1−xKxBiO3 and double perovskites Ba1−xKxBi1−yNayO3. J. Alloys Compd. 2011, 509, 9804–9808. [Google Scholar] [CrossRef]
- Hirano, S.; Takahashi, S. Hydrothermal synthesis and properties of BaPb1−xBixO3. J. Cryst. Growth 1986, 79, 219–222. [Google Scholar] [CrossRef]
- Lan, Y.C.; Chen, X.L.; Cao, Y.G.; Huang, J.K.; Che, G.C.; Liu, G.D.; Xu, Y.P.; Xu, T.; Li, J.Y. Structure and superconducting properties of chemically oxidized La2CuO4+y under hydrothermal conditions. Physica C 2000, 336, 151–156. [Google Scholar] [CrossRef]
- Sun, H.; Woodru, D.N.; Cassidy, S.J.; Allcroft, G.M.; Sedlmaier, S.J.; Thompson, A.L.; Bingham, P.A.; Forder, S.D.; Cartenet, S.; Mary, N.; et al. Soft Chemical control of superconductivity in lithium iron selenide hydroxides Li1−xFex(OH)Fe1−ySe. Inorg. Chem. 2015, 54, 1958–1964. [Google Scholar] [CrossRef] [PubMed]
- Pachmayr, U.; Nitsche, F.; Luetkens, H.; Kamusella, S.; Brückner, F.; Sarkar, R.; Klauss, H.-H.; Johrendt, D. Coexistence of 3d-ferromagnetism and superconductivity in [(Li1−xFex)OH](Fe1−yLiy)Se. Angew. Chem. Int. Ed. Engl. 2015, 54, 293–297. [Google Scholar] [CrossRef] [PubMed]
- Shermadini, Z.; Luetkens, H.; Khasanov, R.; Krzton-Maziopa, A.; Conder, K.; Pomjakushina, E.; Klauss, H.-H.; Amato, A. Superconducting properties of single-crystalline AxFe2−ySe2 (A=Rb, K) studied using muon spin spectroscopy. Phys. Rev. B 2012, 85, 100501. [Google Scholar] [CrossRef]
- Lynn, J.W.; Zhou, X.; Borg, C.K.H.; Saha, S.R.; Paglione, J.; Rodriguez, E.E. Neutron investigation of the magnetic scattering in an iron-based ferromagnetic superconductor. Phys. Rev. B 2015, 92, 060510. [Google Scholar] [CrossRef]
- Nejasattari, F.; Stadnik, Z.M. Search for Fe magnetic ordering in the 40 K superconductor (Li0.8Fe0.2)OHFeSe. J. Alloy Compd. 2015, 652, 470. [Google Scholar] [CrossRef]
- McQueen, T.M.; Huang, Q.; Ksenofontov, V.; Felser, C.; Xu, Q.; Zandbergen, H.; Hor, Y.S.; Allred, J.; Williams, A.J.; Qu, D.; et al. Extreme sensitivity of superconductivity to stoichiometry in Fe1+δSe. Phys. Rev. B 2009, 79, 014522. [Google Scholar] [CrossRef]
- Sun, Y.; Park, A.; Pyon, S.; Tamegai, T.; Kambara, T.; Ichinose, A. Effects of heavy-ion irradiation on FeSe. Phys. Rev. B 2017, 95, 104514. [Google Scholar] [CrossRef]
- Ying, J.J.; Wang, X.F.; Luo, X.G.; Li, Z.Y.; Yan, Y.J.; Zhang, M.; Wang, A.F.; Cheng, P.; Ye, G.J.; Xiang, Z.J.; et al. Pressure effect on superconductivity of AxFe2Se2 (A = K and Cs). New J. Phys. 2011, 13, 033008. [Google Scholar] [CrossRef]
- Dong, X.; Zhou, H.; Yang, H.; Yuan, J.; Jin, K.; Zhou, F.; Yuan, D.; Wei, L.; Li, J.; Wang, X.; et al. Phase Diagram of (Li1–xFex)OHFeSe: A bridge between iron selenide and arsenide superconductors. J. Am. Chem. Soc. 2014, 137, 66–69. [Google Scholar] [CrossRef] [PubMed]
- Wu, Y.P.; Zhao, D.; Lian, X.R.; Lu, X.F.; Wang, N.Z.; Luo, X.G.; Chen, X.H.; Wu, T. NMR evidence for field-induced ferromagnetism in (Li0.8Fe0.2)OHFeSe superconductor. Phys. Rev. B 2015, 91, 125107. [Google Scholar] [CrossRef]
- Topping, C.V.; Kirschner, F.K.; Blundell, S.J.; Baker, P.J.; Woodruff, D.N.; Schild, F.; Sun, H.; Clarke, S.J. Coexistence of magnetism and superconductivity in separate layers of the iron-based superconductor (Li1−xFex)OHFe1−ySe. Phys. Rev. B 2017, 95, 134419. [Google Scholar] [CrossRef]
- Luetkens, H.; Klauss, H.-H.; Kraken, M.; Litterst, F.J.; Dellmann, T.; Klingeler, R.; Hess, C.; Khasanov, R.; Amato, A.; Baines, C.; et al. The electronic phase diagram of the LaO1−xFxFeAs superconductor. Nat. Mater. 2009, 8, 305–309. [Google Scholar] [CrossRef] [PubMed]
- Keller, H.; Bussmann-Holder, A.; Müller, K.A. Jahn–Teller physics and high-Tc superconductivity. Mater. Today 2008, 11, 38–46. [Google Scholar] [CrossRef]
- Johnston, D.C. The puzzle of high temperature superconductivity in layered iron pnictides and chalcogenides. Adv. Phys. 2010, 59, 803–1061. [Google Scholar] [CrossRef]
- Fang, M.-H.; Wang, H.-D.; Dong, C.-H.; Li, Z.-J.; Feng, C.-M.; Chen, J.; Yuan, H.Q. Fe-based superconductivity with Tc = 31 K bordering an antiferromagnetic insulator in (Tl,K) FexSe2. Europhys. Lett. 2011, 94, 27009. [Google Scholar] [CrossRef]
- Wang, A.F.; Ying, J.J.; Luo, X.G.; Yan, Y.J.; Liu, D.Y.; Xiang, Z.J.; Cheng, P.; Ye, G.J.; Zou, L.J.; Sun, Z.; et al. A crossover in the phase diagram of NaFe1− xCoxAs determined by electronic transport measurements. New J. Phys. 2013, 15, 043048. [Google Scholar] [CrossRef]
- Chen, H.; Ren, Y.; Bao, W.; Liu, R.H.; Wu, G.; Wu, T.; Xie, Y.L.; Wang, X.F.; Huang, Q.; Chen, X.H. Coexistence of the spin-density wave and superconductivity in Ba1–xKxFe2As2. Europhys. Lett. 2009, 85, 17006. [Google Scholar] [CrossRef]
- Zhang, A.-M.; Xia, T.-L.; Liu, K.; Tong, W.; Yang, Z.-R.; Zhang, Q.-M. Superconductivity at 44 K in K intercalated FeSe system with excess Fe. Sci. Rep. 2013, 3, 1216. [Google Scholar] [CrossRef] [PubMed]
- Yan, Y.J.; Zhang, M.; Wang, A.F.; Ying, J.J.; Li, Z.Y.; Qin, W.; Luo, X.G.; Li, J.Q.; Hu, J.; Chen, X.H. Electronic and magnetic phase diagram in KxFe2−ySe2 superconductors. Sci. Rep. 2012, 2, 212. [Google Scholar] [CrossRef] [PubMed]
- Li, W.; Ding, H.; Deng, P.; Chang, K.; Song, C.; He, K.; Wang, L.; Ma, X.; Hu, J.-P.; Chen, X.; et al. Phase separation and magnetic order in K-doped iron selenide superconductor. Nat. Phys. 2012, 8, 126–130. [Google Scholar] [CrossRef]
- Ryu, G.H.; Zhang, G.Y.; Yu, G.; Chou, M.C.; Lin, C.T. Anisotropic behavior in (Li1−xFex)OHFeSe superconducting single crystal. (Unpublished).
- Chen, G.F.; Li, Z.; Li, G.; Zhou, J.; Wu, D.; Dong, J.; Hu, W.Z.; Zheng, P.; Chen, Z.J.; Yuan, H.Q.; et al. Superconducting properties of the Fe-based layered superconductor LaFeAsO0.9F0.1−δ. Phys. Rev. Lett. 2008, 101, 057007. [Google Scholar] [CrossRef] [PubMed]
- Cheng, P.; Yang, H.; Jia, Y.; Fang, L.; Zhu, X.; Mu, G.; Wen, H.-H. Hall effect and magnetoresistance in single crystals of NdFeAsO1−xFx (x = 0 and 0.18). Phys. Rev. B 2008, 78, 134508. [Google Scholar] [CrossRef]
- Palstra, T.T.M.; Batlogg, B.; Schneemeyer, L.F.; Waszczak, J.V. Thermally activated dissipation in Bi2.2Sr2Ca0.8Cu2O8+δ. Phys. Rev. Lett. 1988, 61, 1662–1665. [Google Scholar] [CrossRef] [PubMed]
- Yuan, H.Q.; Singleton, J.; Balakirev, F.F.; Baily, S.A.; Chen, G.F.; Luo, J.L.; Wang, N.L. Nearly isotropic superconductivity in (Ba,K)Fe2As2. Nature 2008, 457, 565–568. [Google Scholar] [CrossRef] [PubMed]
- Werthamer, N.R.; Helfand, E.; Hohenberg, P.C. Temperature and purity dependence of the superconducting critical field, Hc2. III. electron spin and spin-orbit effects. Phys. Rev. 1966, 147, 295–302. [Google Scholar] [CrossRef]
- Gyorgy, E.M.; van Dover, R.B.; Jackson, K.A.; Schneemeyer, L.F.; Waszczak, J.V. Anisotropic critical currents in Ba2YCu3O7 analyzed using an extended Bean model. Appl. Phys. Lett. 1989, 55, 283–285. [Google Scholar] [CrossRef]
- Larbalestier, D.C.; Cooley, L.D.; Rikel, M.O.; Polyanskii, A.A.; Jiang, J.; Patnaik, S.; Cai, X.Y.; Feldmann, D.M.; Gurevich, A.; Squitieri, A.A.; et al. Strongly linked current flow in polycrystalline forms of the superconductor MgB2. Nature 2001, 410, 186–189. [Google Scholar] [CrossRef] [PubMed]
- Dew-Hughes, D. Flux pinning mechanisms in type II superconductors. Philos. Mag. 1974, 30, 293–305. [Google Scholar] [CrossRef]
- Lei, H.C.; Petrovic, C. Giant increase in critical current density of KxFe2−ySe2 single crystals. Phys. Rev. B 2011, 84, 212502. [Google Scholar] [CrossRef]
- Li, M.; Chen, L.; You, W.L.; Ge, J.; Zhang, J. Giant increase of critical current density and vortex pinning in Mn doped KxFe2−ySe2 single crystals. Appl. Phys. Lett. 2014, 105, 192602. [Google Scholar] [CrossRef]
- Chen, W.; Zeng, C.; Kaxiras, E.; Zhang, Z. Dual role of Fe dopants in enhancing stability and charge transfer in (Li0.8Fe0.2)OHFeSe superconductors. Phys. Rev. B 2016, 93, 064517. [Google Scholar] [CrossRef]
- Yan, Y.J.; Zhang, W.H.; Ren, M.Q.; Liu, X.; Lu, X.F.; Wang, N.Z.; Niu, X.H.; Fan, Q.; Miao, J.; Tao, R.; et al. Surface electronic structure and evidence of plain s-wave superconductivity in (Li0.8Fe0.2)OHFeSe. Phys. Rev. B 2016, 94, 134502. [Google Scholar] [CrossRef]
- Du, Z.; Yang, X.; Fang, D.; Du, G.; Xing, J.; Yang, H.; Zhu, X.; Wen, H.H. Scrutinizing the double superconducting gaps and strong coupling pairing in (Li1−xFex)OHFeSe. Nat. Commun. 2016, 7, 10565. [Google Scholar] [CrossRef] [PubMed]


















© 2017 by the authors. Licensee MDPI, Basel, Switzerland. This article is an open access article distributed under the terms and conditions of the Creative Commons Attribution (CC BY) license (http://creativecommons.org/licenses/by/4.0/).
Share and Cite
Zhang, G.-Y.; Chou, M.M.-C.; Lin, C.-T. (Li1−xFex)OHFeSe Superconductors: Crystal Growth, Structure, and Electromagnetic Properties. Crystals 2017, 7, 167. https://doi.org/10.3390/cryst7060167
Zhang G-Y, Chou MM-C, Lin C-T. (Li1−xFex)OHFeSe Superconductors: Crystal Growth, Structure, and Electromagnetic Properties. Crystals. 2017; 7(6):167. https://doi.org/10.3390/cryst7060167
Chicago/Turabian StyleZhang, Guo-Yong, Mitch Ming-Chi Chou, and Cheng-Tian Lin. 2017. "(Li1−xFex)OHFeSe Superconductors: Crystal Growth, Structure, and Electromagnetic Properties" Crystals 7, no. 6: 167. https://doi.org/10.3390/cryst7060167
APA StyleZhang, G.-Y., Chou, M. M.-C., & Lin, C.-T. (2017). (Li1−xFex)OHFeSe Superconductors: Crystal Growth, Structure, and Electromagnetic Properties. Crystals, 7(6), 167. https://doi.org/10.3390/cryst7060167
