First-Principles Study of the Nonlinear Elasticity of Rare-Earth Hexaborides REB6 (RE = La, Ce)
Abstract
:1. Introduction
2. Computational Methods
2.1. First-Principles Total-Energy Calculations
2.2. SOECs and TOECs of Single Crystal
2.3. Pressure Derivatives of the Effective SOECs
2.4. Pressure Derivatives of Polycrystalline Elastic Moduli
3. Results and Discussion
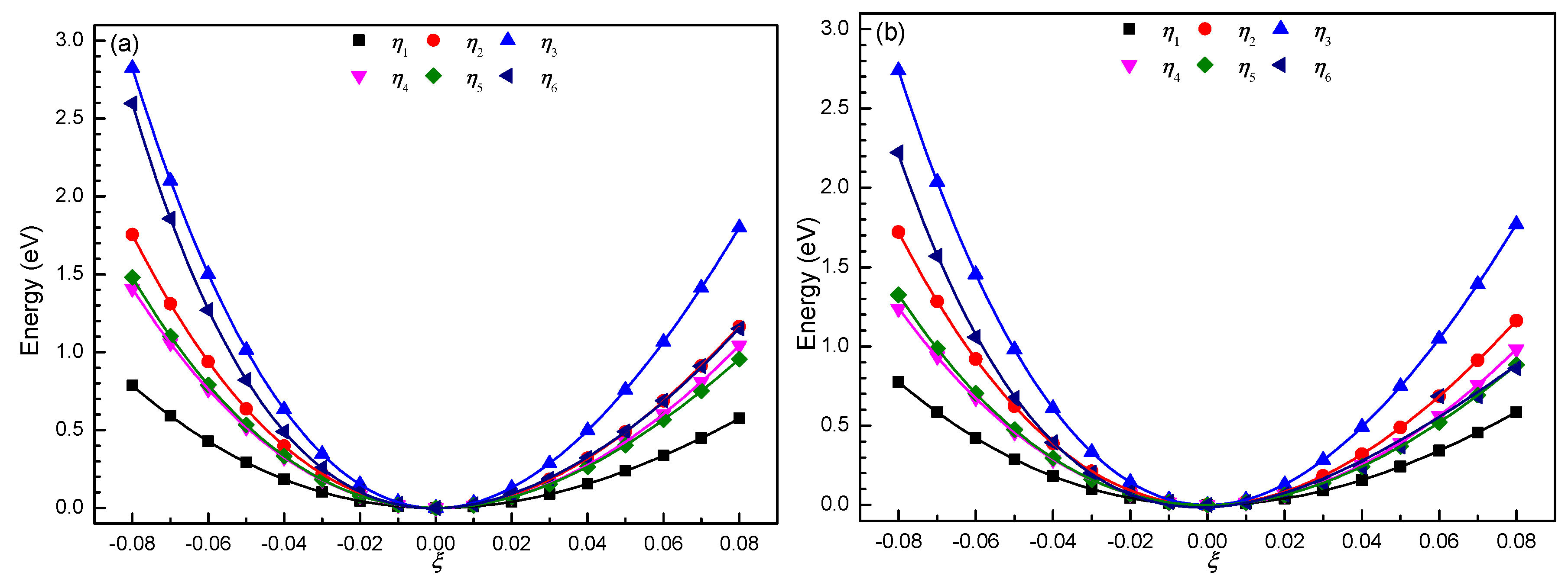
3.1. Second-Order and Third-Order Elastic Constants of B ( La, Ce)
3.2. Pressure Derivatives of the Effective Second-Order Elastic Constants of B ( La, Ce)
3.3. Pressure Derivatives of the Polycrystalline elastic moduli of B ( La, Ce)
3.4. Pressure Derivatives of the Elastic Anisotropy of B ( La, Ce)
4. Conclusions
Acknowledgments
Author Contributions
Conflicts of Interest
References
- Ji, X.H.; Zhang, Q.Y.; Xu, J.Q.; Zhao, Y.M. Rare-earth hexaborides nanostructures Recent advances in materials, characterization and investigations of physical properties. Prog. Solid State Chem. 2011, 39, 51–69. [Google Scholar] [CrossRef]
- Tanaka, T.; Yoshimoto, J.; Ishli, M.; Bannai, E.; Kawai, S. Elastic constants of LaB6 at room temperaure. Solid State Commun. 1977, 22, 203–205. [Google Scholar] [CrossRef]
- Baranovskiy, A.; Grechnev, G.; Fil, V.; Ignatova, T.; Logosha, A.; Panfilov, A.; Svechkarev, I.; Shitsevalova, N.; Filippov, V.; Eriksson, O. Electronic structure, bulk and magnetic properties of MB6 and MB12 borides. J. Alloys Compd. 2007, 442, 228–230. [Google Scholar] [CrossRef]
- Nakamura, S.; Goto, T.; Kasaya, M.; Kunii, S. Electron-strain interaction in valence fluctuation compound SmB6. J. Phys. Soc. Jpn. 1991, 60, 4311–4318. [Google Scholar] [CrossRef]
- Nakamura, S.; Goto, T.; Kunii, S.; Iwashita, K.; Tamaki, A. Quadrupole-strain interaction in rare-earth hexaborides. J. Phys. Soc. Jpn. 1994, 63, 623–636. [Google Scholar] [CrossRef]
- Goto, T.; Tamaki, A.; Kunii, S.; Nakajima, T.; Fujimura, T.; Kasuya, T.; Komatsubarra, T.; Woods, S.B. Elastic properteis in CeB6. J. Magn. Magn. Mater. 1983, 31–34, 419–420. [Google Scholar] [CrossRef]
- Lüthi, B.; Blumenröder, S.; Hillebrands, B.; Zirngiebl, E.; Güntherodt, G.; Winzer, K. Elastic and magnetoelastic effects in CeB6. J. Magn. Magn. Mater. 1985, 58, 321–322. [Google Scholar] [CrossRef]
- Gürel, T.; Eryiğithys, R. Abinitio lattice dynamics and thermodynamics of rare-earth hexaborides LaB6 and CeB6. Phys. Rev. B 2010, 82, 104302–104313. [Google Scholar] [CrossRef]
- Tang, M.; Liu, L.; Cheng, Y.; Ji, G.J. First-principles study of structural, elastic, and electronic properties of CeB6 under pressure. Front. Phys. 2015, 10, 107104–107109. [Google Scholar] [CrossRef]
- Teredesai, P.; Muthu, D.V.S.; Chandrabhas, N.; Meenakshi, S.; Vijayakumar, V.; Modak, P.; Rao, R.S.; Godwal, B.K.; Sikka, S.K.; Sood, A.K. High pressure phase transition in metallic LaB6: Raman and X-ary diffraction studies. Solid State Commun. 2004, 129, 791–796. [Google Scholar]
- Godwal, B.K.; Petruska, E.A.; Speziale, S.; Yan, J.; Clark, S.M.; Kruger, M.B.; Jeanloz, R. High-pressure Raman and X-ray diffraction studies on LaB6. Phys. Rev. B 2009, 80, 172104–172107. [Google Scholar] [CrossRef]
- Leger, J.M.; Rossat-Mignod, J.; Kunii, S.; Kasuya, T. High pressure compression of CeB6. Solid State Commun. 1985, 54, 995–997. [Google Scholar] [CrossRef]
- Foroozani, N.; Lim, J.; Fabbris, G.; Rosa, P.F.S.; Fisk, Z.; Schilling, J.S. Suppression of dense Kondo state in CeB6 under pressure. Physica B 2015, 457, 12–16. [Google Scholar] [CrossRef]
- Zhao, J.J.; Winey, J.M.; Gupta, Y.M. First-principles calculations of second- and third-order elastic constants for single crystals of arbitrary symmetry. Phys. Rev. B 2007, 75, 94105–94111. [Google Scholar] [CrossRef]
- opuszyński, M.; Majewski, J.A. Ab initio calculations of third-order elastic constants and related properties for selected semiconductors. Phys. Rev. B 2007, 76, 45202–45209. [Google Scholar] [CrossRef]
- Wang, H.; Li, M. Ab initio calculations of second-, third-, and fourth-order elastic constants for single crystals. Phys. Rev. B 2009, 79, 224102–224111. [Google Scholar] [CrossRef]
- Kresse, G.; Hafner, J. Ab initio molecular dynamics for open-shell transition metals. Phys. Rev. B 1993, 48, 13115–13118. [Google Scholar] [CrossRef]
- Kresse, G.; Furthmller, J. Efficiency of ab-initio total energy calculations for metals and semiconductors using a plane-wave basis set. Comput. Mater. Sci. 1996, 6, 15–50. [Google Scholar] [CrossRef]
- Kresse, G.; Furthmller, J. Efficient iterative schemes for ab initio total-energy calculations using a plane-wave basis set. Phys. Rev. B 1996, 54, 11169–11186. [Google Scholar] [CrossRef]
- Blöchl, P.E. Projector augmented-wave method. Phys. Rev. B 1994, 50, 17953–17979. [Google Scholar] [CrossRef]
- Kresse, G.; Joubert, D. From ultrasoft pseudopotentials to the projector augmented-wave method. Phys. Rev. B 1999, 59, 1758–1775. [Google Scholar] [CrossRef]
- Perdew, J.P.; Burke, K.; Ernzerhof, M. Generalized gradient approximation made simple. Phys. Rev. Lett. 1996, 77, 3865–3868. [Google Scholar] [CrossRef] [PubMed]
- Perdew, J.P.; Burke, K.; Ernzerhof, M. Generalized gradient approximation made simple [Phys. Rev. Lett. 77, 3865 (1996)]. Phys. Rev. Lett. 1997, 78, 1396. [Google Scholar] [CrossRef]
- Monkhorst, H.J.; Pack, J.D. Special points for Brillouin-zone integrations. Phys. Rev. B 1976, 13, 5188–5192. [Google Scholar] [CrossRef]
- Birch, F. Finite elastic strain of cubic crystals. Phys. Rev. 1947, 71, 809–824. [Google Scholar] [CrossRef]
- Thurston, R.; Brugger, K. Third-order elastic constants and the velocity of small amplitude elastic waves in homogeneously stressed media. Phys. Rev. 1964, 135, 3. [Google Scholar] [CrossRef]
- Brugger, K. Thermodynamic definition of higher order elastic coefficients. Phys. Rev. 1964, 133, 1611–1612. [Google Scholar] [CrossRef]
- Hiki, Y. High-order elastic constants of solids. Annu. Rev. Mater. Sci. 1981, 11, 51–73. [Google Scholar] [CrossRef]
- Rao, R.R.; Padmaja, A. Effective second-order elastic constants of a strained crystal using the finite strain elasticity theory. J. Appl. Phys. 1987, 62, 440–443. [Google Scholar] [CrossRef]
- Voigt, W. Lehrbuch der Kristallphysik; Taubner: Leipzig, Germany, 1928. [Google Scholar]
- Reuss, A. Calculation of the flow limits of mixed crystals on the basis of the plasticity of monocrystals. Z. Angew. Math. Mech. 1929, 9, 49–58. [Google Scholar] [CrossRef]
- Hill, R. The elastic behaviour of a crystalline aggregate. Proc. Phys. Soc. A 1952, 65, 349–354. [Google Scholar] [CrossRef]
- Chen, C.H.; Aizawa, T.; Iyi, N.; Sato, A.; Otani, S. Structural refinement and thermal expansion of hexaborides. J. Alloys Compd. 2004, 366, L6–L8. [Google Scholar] [CrossRef]
- Tanaka, K.; Ōnuki, Y. Observation of 4f electron transfer from Ce to B6 in the Kondo crystal CeB6 and its mechanism by multitemperature X-ray diffraction. Acta Cryst. B 2002, 58, 423–436. [Google Scholar] [CrossRef]
- Clementi, E.; Raimondi, D.L.; Reinhardt, W.P. Atomic screening constants from SCF functions. II. Atoms with 37 to 86 Electrons. J. Chem. Phys. 1967, 47, 1300–1307. [Google Scholar] [CrossRef]
- Mouhat, F.; Coudert, F.X. Necessary and sufficient elastic stability conditions in various crystal systems. Phys. Rev. B 2014, 90, 224104–224107. [Google Scholar] [CrossRef]
- Lundström, T.; Lönnberg, B.; Törmä, B.; Etourneau, J.; Tarascon, J.M. An investigation of the compressibility of LaB6 and EuB6 using a high pressure X-ray power diffraction technique. Phys. Scr. 1982, 26, 414–416. [Google Scholar] [CrossRef]
- Teter, D.M. Computational alchemy: The search for new superhard materials. MRS Bull. 1998, 23, 22–27. [Google Scholar] [CrossRef]
- Pugh, S.F. Relations between the elastic moduli and the plastic properties of polycrystalline pure metals. Philos. Mag. 1954, 45, 823–843. [Google Scholar] [CrossRef]
- Frantsevich, I.N.; Voronov, F.F.; Bokuta, S.A. Elastic Constants and Elastic Moduli of Metals and Insulators Handbook; Frantsevich, I.N., Ed.; Naukova Dumka: Kiev, Ukraine, 1983; pp. 60–180. [Google Scholar]
- Pettifor, D.G. Theoretical predictions of structure and related properties of intermetallics. Mater. Sci. Technol. 1992, 8, 345–349. [Google Scholar] [CrossRef]
- Tvergaard, V.; Hutchinson, J.W. Microcracking in ceramics induced by thermal expansion or elastic anisotropy. J. Am. Ceram. Soc. 1988, 71, 157–166. [Google Scholar] [CrossRef]
- Zener, C. Elasticity and Anelasticity of Metals; University of Chicago: Chicago, IL, USA, 1984. [Google Scholar]
- Chung, D.H.; Buessem, W.R. The elastic anisotropy of crystals. J. Appl. Phys. 1967, 38, 2010–2012. [Google Scholar] [CrossRef]
- Ranganathan, S.I.; Ostoja-Starzewski, M. Universal elastic anisotropy index. Phys. Rev. Lett. 2008, 101, 55504–55507. [Google Scholar] [CrossRef] [PubMed]


| Strain | ||
|---|---|---|
| 2 + 2 | 2 + 6 | |
| 3 + 6 | 3 + 18 + 6 | |
| + 4 | + 12 | |
| + 4 | + 12 | |
| 12 |
| Crystal | Method | a | |||
|---|---|---|---|---|---|
| LaB | Present | 4.154 | 474.1 | 24.3 | 90.1 |
| Exp. [2] | 4.156 | 453.3 | 18.2 | 90.1 | |
| Exp. [4,33] | 4.1569 | 478 | 43 | 84 | |
| Exp. [3] | 4.1565 | 463 | 45 | 89 | |
| The. [8] | 4.1277 | 466 | 37 | 88 | |
| CeB | Present | 4.114 | 488.2 | 17.9 | 74.8 |
| Exp. [5,13] | 4.132 | 473 | 16 | 81 | |
| Exp. [7,34] | 4.1407 | 508 | 19 | 79 | |
| Exp. [7] | 472 | 53 | 78 | ||
| Exp. [6] | 406 | 78 | |||
| The. [9] | 4.121 | 483 | 10 | 75 | |
| The. [8] | 4.154 | 452 | 34 | 98 |
| Crystal | ||||||
|---|---|---|---|---|---|---|
| LaB | 254.3 | |||||
| CeB | 304.8 |
| Crystal | |||
|---|---|---|---|
| LaB | 4.586 | 1.895 | 0.451 |
| CeB | 4.507 | 1.921 | 0.085 |
| Crystal | Method | B | G | E | ||
|---|---|---|---|---|---|---|
| LaB | Voigt | 174.2 | 144.0 | 338.8 | 0.176 | |
| Reuss | 174.2 | 118.5 | 289.8 | 0.223 | ||
| Hill | 174.2 | 131.3 | 314.8 | 0.199 | 1.327 | |
| CeB | Voigt | 174.7 | 138.9 | 329.4 | 0.186 | |
| Reuss | 174.7 | 102.8 | 257.8 | 0.254 | ||
| Hill | 174.7 | 120.9 | 294.6 | 0.219 | 1.445 |
| Crystal | Method | () | ||||
|---|---|---|---|---|---|---|
| LaB | Voigt | 2.792 | 0.809 | 2.664 | 2.645 | |
| Reuss | 2.792 | 0.618 | 2.089 | 2.445 | ||
| Hill | 2.792 | 0.713 | 2.379 | 2.550 | 0.014 | |
| CeB | Voigt | 2.783 | 0.568 | 2.165 | 2.942 | |
| Reuss | 2.783 | 0.196 | 1.084 | 2.886 | ||
| Hill | 2.783 | 0.382 | 1.636 | 2.918 | 0.018 |
| Crystal | ||||||
|---|---|---|---|---|---|---|
| LaB | 0.401 | 0.097 | 2.002 | 1.076 | 24.560 | |
| CeB | 0.318 | 0.149 | 10.700 | 1.756 | 147.830 |
© 2017 by the authors. Licensee MDPI, Basel, Switzerland. This article is an open access article distributed under the terms and conditions of the Creative Commons Attribution (CC BY) license (http://creativecommons.org/licenses/by/4.0/).
Share and Cite
Zeng, X.; Ye, Y.; Zou, S.; Gou, Q.; Wen, Y.; Ou, P. First-Principles Study of the Nonlinear Elasticity of Rare-Earth Hexaborides REB6 (RE = La, Ce). Crystals 2017, 7, 320. https://doi.org/10.3390/cryst7110320
Zeng X, Ye Y, Zou S, Gou Q, Wen Y, Ou P. First-Principles Study of the Nonlinear Elasticity of Rare-Earth Hexaborides REB6 (RE = La, Ce). Crystals. 2017; 7(11):320. https://doi.org/10.3390/cryst7110320
Chicago/Turabian StyleZeng, Xianshi, Yuanxiu Ye, Shenlin Zou, Qingdong Gou, Yufeng Wen, and Ping Ou. 2017. "First-Principles Study of the Nonlinear Elasticity of Rare-Earth Hexaborides REB6 (RE = La, Ce)" Crystals 7, no. 11: 320. https://doi.org/10.3390/cryst7110320
APA StyleZeng, X., Ye, Y., Zou, S., Gou, Q., Wen, Y., & Ou, P. (2017). First-Principles Study of the Nonlinear Elasticity of Rare-Earth Hexaborides REB6 (RE = La, Ce). Crystals, 7(11), 320. https://doi.org/10.3390/cryst7110320
