Dislocation Nucleation on Grain Boundaries: Low Angle Twist and Asymmetric Tilt Boundaries
Abstract
:1. Introduction
2. Computational Methods
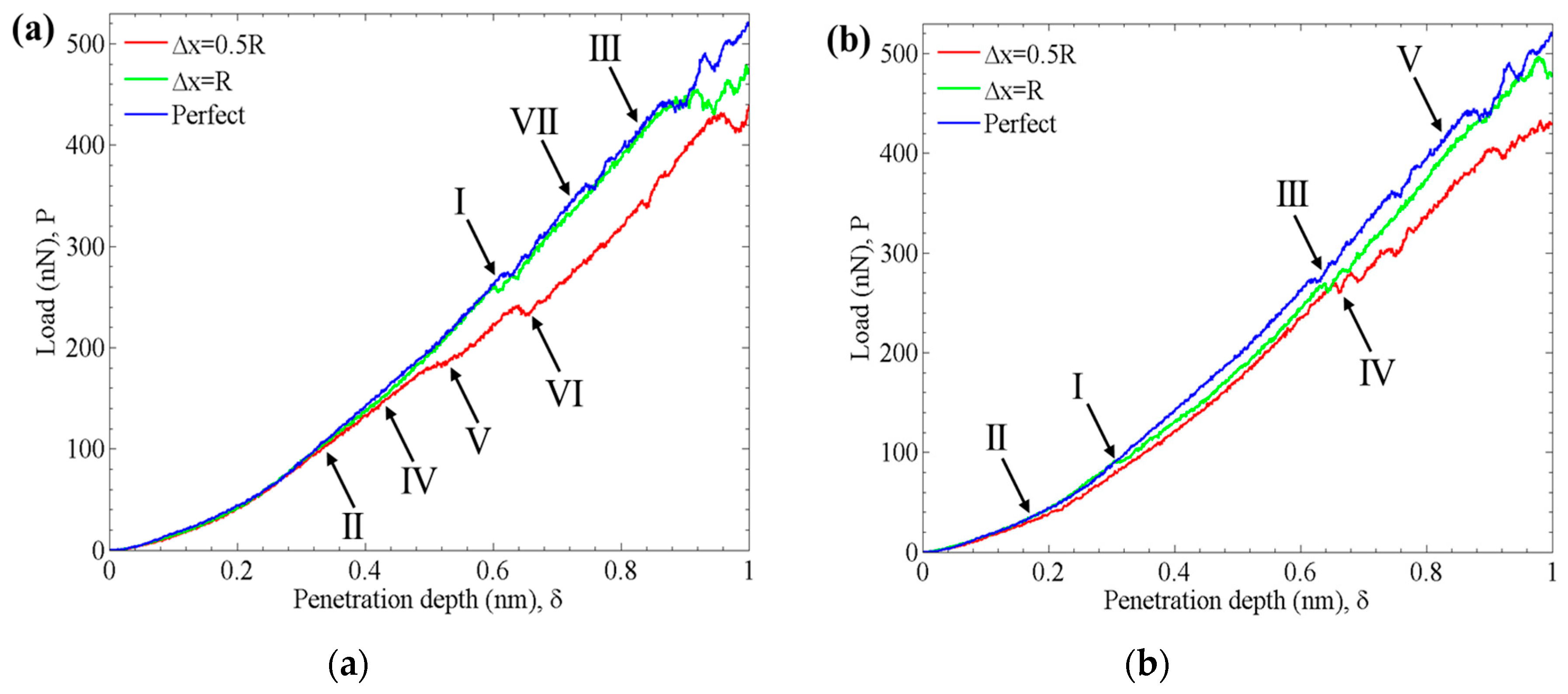
3. Low-Angle Twist Boundaries
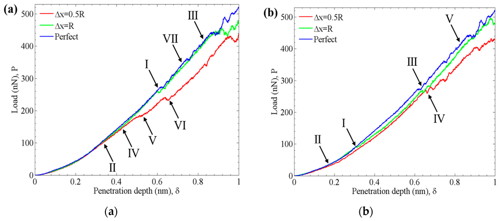
4. Asymmetric Tilt Boundaries
- Point IV: nucleation of Shockley partials from the GB;
- Point V: nucleation of a boundary dislocation loop; and
- Point VI: dislocation nucleation in the bulk, under the indenter.
- Point I: dislocation nucleation in the bulk, under the indenter;
- Point VII: nucleation of Shockley partials from the GB; and
- Point III: nucleation of a boundary dislocation loop.
5. Summary and Discussion
Author Contributions
Conflicts of Interest
References
- Armstrong, R.W.; Elban, W.L.; Walley, S.M. Elastic, Plastic, Cracking Aspects of the Hardness of Materials. Int. J. Mod. Phys. B 2013, 27, 1330004. [Google Scholar] [CrossRef]
- Steyskal, E.; Oberdorfer, B.; Sprengel, W.; Zehetbauer, M.; Pippan, R.; Würschum, R. Direct experimental determination of grain boundary excess volume in metals. Phys. Rev. Lett. 2012, 108, 055504. [Google Scholar] [CrossRef] [PubMed]
- Shen, T.D.; Zhang, J.; Zhao, Y. What is the theoretical density of a nanocrystalline material? Acta Mater. 2008, 56, 3663–3671. [Google Scholar] [CrossRef]
- Shvindlerman, L.S.; Gottstein, G.; Ivanov, V.A.; Molodov, D.A.; Kolesnikov, D.; Łojkowski, W. Grain boundary excess free volume-direct thermodynamic measurement. J. Mater. Sci. 2006, 41, 7725–7729. [Google Scholar] [CrossRef]
- Olmsted, D.L.; Foiles, S.M.; Holm, E.A. Survey of computed grain boundary properties in face-centered cubic metals: I. Grain boundary energy. Acta Mater. 2009, 57, 3694–3703. [Google Scholar] [CrossRef]
- Wolf, D. Structure-energy correlation for grain boundaries in F.C.C. metals-I. Boundaries on the (111) and (100) planes. Acta Metall. 1989, 37, 1983–1993. [Google Scholar] [CrossRef]
- Chuvil’deev, V.N. Micromechanism of deformation-stimulated grain-boundary self-diffusion: I. Effect of excess free volume on the free energy and diffusion parameters of grain boundaries. Phys. Met. Metallogr. 1996, 81, 463–468. [Google Scholar]
- Aaron, H.B.; Bolling, G.F. Free volume as a guide to grain boundary phenomena. Scr. Mater. 1972, 6, 553–562. [Google Scholar] [CrossRef]
- Van Swygenhoven, H.; Derlet, P.M. Grain-boundary sliding in nanocrystalline fcc metals. Phys. Rev. B 2001, 64, 224105. [Google Scholar] [CrossRef]
- Sansoz, F.; Molinari, J.F. Mechanical behavior of Σ tilt grain boundaries in nanoscale Cu and Al: A quasicontinuum study. Acta Mater. 2005, 53, 1931–1944. [Google Scholar] [CrossRef]
- Spearot, D.E.; Tschopp, M.A.; Jacob, K.I.; McDowell, D.L. Tensile strength of <100> and <110> tilt bicrystal copper interfaces. Acta Mater. 2007, 55, 705–714. [Google Scholar] [CrossRef]
- Tucker, G.J.; Tschopp, M.A.; McDowell, D.L. Evolution of structure and free volume in symmetric tilt grain boundaries during dislocation nucleation. Acta Mater. 2010, 58, 6464–6473. [Google Scholar] [CrossRef]
- Burbery, N.J.; Das, R.; Ferguson, W.G. Modelling with variable atomic structure: Dislocation nucleation from symmetric tilt grain boundaries in aluminium. Comput. Mater. Sci. 2015, 101, 16–28. [Google Scholar] [CrossRef]
- Sutton, A.P.; Balluffi, R.W. Interfaces in Crystalline Materials; Oxford University Press: Oxford, UK, 1995. [Google Scholar]
- Schwartz, D.; Bristowe, P.D.; Vitek, V. Dislocation structure and energy of high angle {001} twist boundaries: A computer simulation study. Acta Metall. 1988, 36, 675–687. [Google Scholar] [CrossRef]
- Dai, S.; Xiang, Y.; Srolovitz, D.J. Structure and energy of (111) low-angle twist boundaries in Al, Cu and Ni. Acta Mater. 2013, 69, 162–174. [Google Scholar] [CrossRef]
- Dai, S.; Xiang, Y.; Srolovitz, D.J. Atomistic, generalized Peierls-Nabarro and analytical models for (111) twist boundaries in Al, Cu and Ni for all twist angles. Acta Mater. 2014, 61, 1327–1337. [Google Scholar] [CrossRef]
- Beyerlein, I.J.; Wang, J.; Zhang, R. Mapping dislocation nucleation behavior from bimetal interfaces. Acta Mater. 2013, 61, 7488–7499. [Google Scholar] [CrossRef]
- Liu, X.M.; You, Z.C.; Liu, Z.L.; Nie, J.F.; Zhuang, Z. Atomistic simulations of tension properties for bi-crystal copper with twist grain boundary. J. Phys. D Appl. Phys. 2009, 42, 035404. [Google Scholar] [CrossRef]
- Bomarito, G.F.; Lin, Y.; Warner, D.H. An atomistic modeling survey of the shear strength of twist grain boundaries in aluminum. Scr. Mater. 2015, 101, 72–75. [Google Scholar] [CrossRef]
- Mesarovic, S.D.J.; Padbidri, J.M.; Muhunthan, B. Micromechanics of dilatancy and critical state in granular matter. Geotech. Lett. 2012, 2, 61–66. [Google Scholar] [CrossRef]
- Tschopp, M.A.; McDowell, D.L. Dislocation nucleation in Σ3 asymmetric tilt grain boundaries. Int. J. Plast. 2008, 24, 191–217. [Google Scholar] [CrossRef]
- Wan, L.; Li, J. Shear responses of -tilt {1 1 5}/{1 1 1} asymmetric tilt grain boundaries in fcc metals by atomistic simulations. Model. Simul. Mater. Sci. Eng. 2013, 21, 055013. [Google Scholar] [CrossRef]
- Zhang, L.; Lu, C.; Kiet, T.; Zhao, X.; Pei, L. The shear response of copper bicrystals with Σ11 symmetric and asymmetric tilt grain boundaries by molecular dynamics simulation. Nanoscale 2015, 7, 7224–7233. [Google Scholar] [CrossRef] [PubMed]
- Feichtinger, D.; Derlet, P.M.; Van Swygenhoven, H. Atomistic simulations of spherical indentations in nanocrystalline gold. Phys. Rev. B 2003, 67, 024113. [Google Scholar] [CrossRef]
- Lilleodden, E.T.; Zimmerman, J.A.; Foiles, S.M.; Nix, W.D. Atomistic simulations of elastic deformation and dislocation nucleation during nanoindentation. J. Mech. Phys. Solids 2003, 51, 901–920. [Google Scholar] [CrossRef]
- Nair, A.K.; Parker, E.; Gaudreau, P.; Farkas, D.; Kriz, R.D. Size effects in indentation response of thin films at the nanoscale: A molecular dynamics study. Int. J. Plast. 2008, 24, 2016–2031. [Google Scholar] [CrossRef]
- Sansoz, F.; Stevenson, K.D. Relationship between hardness and dislocation processes in a nanocrystalline metal at the atomic scale. Phys. Rev. B 2011, 83, 224101. [Google Scholar] [CrossRef]
- Plimpton, S. Fast parallel algorithms for short-range molecular dynamics. J. Comp. Phys. 1995, 117, 1–19. [Google Scholar] [CrossRef]
- Mishin, Y.; Mehl, M.J.; Papaconstantopoulos, D.A.; Voter, A.F.; Kress, J.D. Structural stability and lattice defects in copper: Ab initio, tight-binding, and embedded-atom calculations. Phys. Rev. B 2001, 63, 224106. [Google Scholar] [CrossRef]
- Mishin, Y.; Fracas, D.; Mehl, M.J.; Papaconstantopoulos, D.A. Interatomic potentials for monoatomic metals from experimental data and ab initio calculations. Phys. Rev. B 1999, 59, 3393–3407. [Google Scholar] [CrossRef]
- Polak, E.; Ribiere, G. Note sur la convergence de méthodes de directions conjuguées. Modél. Math. Anal. Numér. 1969, 3, 35–43. [Google Scholar]
- Schneider, T.; Stoll, E. Molecular-dynamics study of a three-dimensional one-component model for distortive phase transitions. Phys. Rev. B 1978, 17, 1302. [Google Scholar] [CrossRef]
- Kelchner, C.L.; Plimpton, S.J.; Hamilton, J.C. Dislocation nucleation and defect structure during surface indentation. Phys. Rev. B 1998, 58, 11085. [Google Scholar] [CrossRef]
- Stukowski, A. Visualization and analysis of atomistic simulation data with OVITO-the Open Visualization Tool. Model. Simul. Mater. Sci. Eng. 2010, 18, 015012. [Google Scholar] [CrossRef]
- Van Vliet, K.J.; Li, J.; Zhu, T.; Yip, S.; Suresh, S. Quantifying the early stages of plasticity through nanoscale experiments and simulations. Phys. Rev. B 2003, 67, 104105. [Google Scholar] [CrossRef]
- Zhu, T.; Li, J.; Van Vliet, K.J.; Ogata, S.; Yip, S.; Suresh, S. Predictive modeling of nanoindentation-induced homogeneous dislocation nucleation in copper. J. Mech. Phys. Solids 2004, 52, 691–724. [Google Scholar] [CrossRef]
- Lee, Y.; Park, J.Y.; Kim, S.Y.; Jun, S.; Im, S. Atomistic simulations of incipient plasticity under Al(111) nanoindentation. Mech. Mater. 2005, 37, 1035–1048. [Google Scholar] [CrossRef]
- Miller, R.E.; Rodney, D. On the nonlocal nature of dislocation nucleation during nanoindentation. J. Mech. Phys. Solids 2008, 56, 1203–1223. [Google Scholar] [CrossRef]
- Mesarovic, S.Dj. Plasticity of crystals and interfaces: From discrete dislocations to size-dependent continuum theory. Theor. Appl. Mech. 2010, 37, 289–332. [Google Scholar] [CrossRef]
- Voyiadjis, G.Z.; Faghihi, D.; Zhang, Y. A theory for grain boundaries with strain-gradient plasticity. Int. J. Solids Struct. 2014, 51, 1872–1889. [Google Scholar] [CrossRef]
- Mesarovic, S.D.J.; Forest, S.; Jaric, J.P. Size-dependent energy in crystal plasticity and continuum dislocation models. Proc. R. Soc. A 2015, 471, 20140868. [Google Scholar] [CrossRef] [PubMed]











| Tilt Axis | Misorientation Angle (θ) | Inclination Angle (φ) | GB Planes | Excess Volume (nm) | |
|---|---|---|---|---|---|
| Dense GB | 141.06° (Σ9) | 35.26° | 0.01534 | ||
| Loose GB | 38.94° (Σ9) | 15.79° | 0.02679 |
© 2016 by the authors; licensee MDPI, Basel, Switzerland. This article is an open access article distributed under the terms and conditions of the Creative Commons Attribution (CC-BY) license (http://creativecommons.org/licenses/by/4.0/).
Share and Cite
Guleryuz, E.; Mesarovic, S.D. Dislocation Nucleation on Grain Boundaries: Low Angle Twist and Asymmetric Tilt Boundaries. Crystals 2016, 6, 77. https://doi.org/10.3390/cryst6070077
Guleryuz E, Mesarovic SD. Dislocation Nucleation on Grain Boundaries: Low Angle Twist and Asymmetric Tilt Boundaries. Crystals. 2016; 6(7):77. https://doi.org/10.3390/cryst6070077
Chicago/Turabian StyleGuleryuz, Erman, and Sinisa Dj. Mesarovic. 2016. "Dislocation Nucleation on Grain Boundaries: Low Angle Twist and Asymmetric Tilt Boundaries" Crystals 6, no. 7: 77. https://doi.org/10.3390/cryst6070077
APA StyleGuleryuz, E., & Mesarovic, S. D. (2016). Dislocation Nucleation on Grain Boundaries: Low Angle Twist and Asymmetric Tilt Boundaries. Crystals, 6(7), 77. https://doi.org/10.3390/cryst6070077

