Liquid Crystal Dimers Based on Seven-Membered Bridged Stilbene Exhibiting Twist-Bend Nematic Phases
Abstract
1. Introduction
2. Materials and Methods
3. Results and Discussion
3.1. Phase Transition Behaviors
3.1.1. sC9-tCN and sOC7O-tCN
3.1.2. sC9-tCn
3.2. XRD Measurements
4. Conclusions
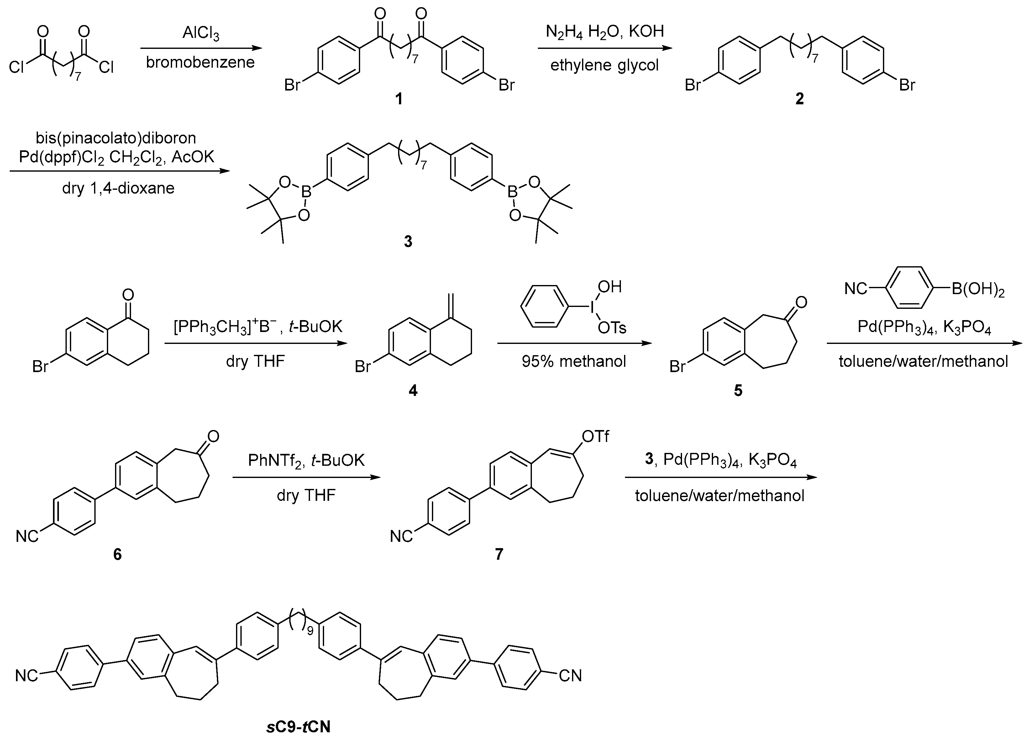
5. Experimental Section
5.1. 1,9-Bis(4-bromophenyl)nonane-1,9-dione (1)
5.2. 1,9-Bis(4-bromophenyl)nonane (2)
5.3. 1,9-Bis(4-(4,4,5,5-tetramethyl-1,3,2-dioxaborolan-2-yl)phenyl)nonane (3)
5.4. 6-Bromo-1-methylene-1,2,3,4-tetrahydronaphthalene (4)
5.5. 2-Bromo-5,7,8,9-tetrahydro-6H-benzo[7]annulen-6-one (5)
5.6. 4-(6-Oxo-6,7,8,9-tetrahydro-5H-benzo[7]annulen-2-yl)benzonitrile (6)
5.7. 3-(4-Cyanophenyl)-6,7-dihydro-5H-benzo[7]annulen-8-yl trifluoromethanesulfonate (7)
5.8. sC9-tCN
Supplementary Materials
Author Contributions
Funding
Data Availability Statement
Acknowledgments
Conflicts of Interest
References
- Watanabe, J.; Komura, H.; Niiori, T. Thermotropic liquid crystals of polyesters having a mesogenic 4,4-bibenzoate unit smectic mesophase properties and structures in dimeric model compounds. Liq. Cryst. 1993, 13, 455–465. [Google Scholar] [CrossRef]
- Watanabe, J.; Niori, T.; Choi, S.-W.; Takanishi, Y.; Takezoe, H. Antiferroelectric smectic liquid crystal formed by achiral twin dimer with two mesogenic groups linked by alkylene spacer. Jpn. J. Appl. Phys. 1998, 37, L401. [Google Scholar] [CrossRef]
- Prasad, V.; Rao, D.S.; Prasad, S.K. Ferroelectric switching in a novel bent-shaped mesogen having two non-mesogenic units linked by an alkylene spacer. Liq. Cryst. 2000, 27, 585–590. [Google Scholar] [CrossRef]
- Yelamaggad, C.; Nagamani, S.A.; Hiremath, U.S.; Rao, D.S.; Prasad, S.K. Salicylaldimine-based symmetric dimers: Synthesis and thermal behaviour. Liq. Cryst. 2002, 29, 1401–1408. [Google Scholar] [CrossRef]
- Białecka-Florjańczyk, E.; Śledzińska, I.; Górecka, E.; Przedmojski, J. Odd–even effect in biphenyl-based symmetrical dimers with methylene spacer–evidence of the B4 phase. Liq. Cryst. 2008, 35, 401–406. [Google Scholar] [CrossRef]
- Dozov, I. On the spontaneous symmetry breaking in the mesophases o achiral banana-shaped molecules. Europhys. Lett. 2001, 58, 247–253. [Google Scholar] [CrossRef]
- Cestari, M.; Diez-Berart, S.; Dunmur, D.A.; Ferrarini, A.; de la Fuente, M.R.; Jackson, D.J.B.; Lopez, D.O.; Luckhurst, G.R.; Perez-Jubindo, M.A.; Richardson, R.M.; et al. Phase behavior and properties of the liquid-crystal dimer 1″,7″-bis(4-cyanobiphenyl-4′-yl) heptane: A twist-bend nematic liquid crystal. Phys. Rev. E 2011, 84, 031704. [Google Scholar] [CrossRef]
- Memmer, R. Liquid crystal phases of achiral banana-shaped molecules: A computer simulation study. Liq. Cryst. 2002, 29, 483–496. [Google Scholar] [CrossRef]
- Panov, V.P.; Nagaraj, M.; Vij, J.K.; Panarin, Y.P.; Kohlmeier, A.; Tamba, M.G.; Lewis, R.A.; Mehl, G.H. Spontaneous Periodic Deformations in Nonchiral Planar-Aligned Bimesogens with a Nematic-Nematic Transition and a Negative Elastic Constant. Phys. Rev. Lett. 2010, 105, 167801. [Google Scholar] [CrossRef]
- Borshch, V.; Kim, Y.-K.; Xiang, J.; Gao, M.; Jákli, A.; Panov, V.P.; Vij, J.K.; Imrie, C.; Tamba, M.G.; Mehl, G.H.; et al. Nematic twist-bend phase with nanoscale modulation of molecular orientation. Nat. Commun. 2013, 4, 2635. [Google Scholar] [CrossRef]
- Cao, Y.; Feng, J.; Nallapaneni, A.; Arakawa, Y.; Zhao, K.Q.; Zhang, H.J.; Mehl, G.H.; Zhu, C.H.; Liu, F. Deciphering helix assembly in the heliconical nematic phase via tender resonant X-ray scattering. J. Mater. Chem. C 2021, 9, 10020–10028. [Google Scholar] [CrossRef]
- Zhu, C.; Tuchband, M.R.; Young, A.; Shuai, M.; Scarbrough, A.; Walba, D.M.; Maclennan, J.E.; Wang, C.; Hexemer, A.; Clark, N.A. Resonant Carbon K-Edge Soft X-Ray Scattering from Lattice-Free Heliconical Molecular Ordering: Soft Dilative Elasticity of the Twist-Bend Liquid Crystal Phase. Phys. Rev. Lett. 2016, 116, 147803. [Google Scholar] [CrossRef]
- Chen, D.; Hooper, J.B.; Clark, N.A. Chiral heliconical ground state of nanoscale pitch in a nematic liquid crystal of achiral molecular dimers. Proc. Nati. Acad. Sci. USA 2013, 110, 15931–15936. [Google Scholar] [CrossRef] [PubMed]
- Yu, H.; Welch, C.; Mehl, C.H. Mapping the local ambidextrous chirality in thin films of NTB phase by circular dichroism spectra. Spectrochim. Acta Part A 2025, 330, 125682. [Google Scholar] [CrossRef] [PubMed]
- Salili, S.M.; Kim, C.; Sprunt, S.; Gleeson, J.T.; Parri, O.; Jakli, A. Flow properties of a twist-bend nematic liquid crystal. RSC Adv. 2014, 4, 57419–57423. [Google Scholar] [CrossRef]
- Challa, P.K.; Borshch, V.; Parri, O.; Imrie, C.T.; Sprunt, S.N.; Gleeson, J.T.; Lavrentovich, O.D.; Jakli, A. Twist-bend nematic liquid crystals in high magnetic fields. Phys. Rev. E 2014, 89, 060501. [Google Scholar] [CrossRef]
- Dozov, I.; Meyer, C. Analogy between the twist-bend nematic and the smectic A phases and coarse-grained description of the macroscopic NTB properties. Liq. Cryst. 2017, 44, 4–23. [Google Scholar] [CrossRef]
- Meyer, C.; Stoenescu, D.; Luckhurst, G.; Davidson, P.; Dozov, I. Smectic-like bâtonnets in nematic/twist-bend nematic biphasic samples. Liq. Cryst. 2017, 44, 232–243. [Google Scholar] [CrossRef]
- Zhou, J.; Tang, W.; Arakawa, Y.; Tsuji, H.; Aya, S. Viscoelastic properties of a thioether-based heliconical twist–bend nematogen. Phys. Chem. Chem. Phys. 2020, 22, 9593–9599. [Google Scholar] [CrossRef]
- Kumar, M.P.; Kula, P.; Dhara, S. Smecticlike rheology and pseudolayer compression elastic constant of a twist-bend nematic liquid crystal. Phys. Rev. Mater. 2020, 4, 115601. [Google Scholar] [CrossRef]
- Šepelj, M.; Lesac, A.; Baumeister, U.; Diele, S.; Nguyen, H.L.; Bruce, D.W. Intercalated liquid-crystalline phases formed by symmetric dimers with an α,ω-diiminoalkylene spacer. J. Mater. Chem. 2007, 17, 1154–1165. [Google Scholar] [CrossRef]
- Henderson, P.A.; Imrie, C.T. Methylene-linked liquid crystal dimers and the twist-bend nematic phase. Liq. Cryst. 2011, 38, 1407–1414. [Google Scholar] [CrossRef]
- Adlem, K.; Čopič, M.; Luckhurst, G.; Mertelj, A.; Parri, O.; Richardson, R.; Snow, B.; Timimi, B.; Tuffin, R.; Wilkes, D. Chemically induced twist-bend nematic liquid crystals, liquid crystal dimers, and negative elastic constants. Phys. Rev. E—Stat. Nonlinear Soft Matter Phys. 2013, 88, 022503. [Google Scholar] [CrossRef]
- Mandle, R.; Davis, E.J.; Lobato, S.; Cowling, S.J.; Goodby, J.W. Synthesis and characterisation of an unsymmetrical, ether-linked, fluorinated bimesogen exhibiting a new polymorphism containing the N TB or ‘twist-bend’phase. Phys. Chem. Chem. Phys. 2014, 16, 6907–6915. [Google Scholar] [CrossRef]
- Ahmed, Z.; Welch, C.; Mehl, G. The design and investigation of the self-assembly of dimers with two nematic phases. RSC Adv. 2015, 5, 93513–93521. [Google Scholar] [CrossRef]
- Gorecka, E.; Vaupotič, N.; Zep, A.; Pociecha, D.; Yoshioka, J.; Yamamoto, J.; Takezoe, H. A Twist-Bend Nematic (NTB) Phase of Chiral Materials. Angew. Chem. Int. Ed. 2015, 54, 10155–10159. [Google Scholar] [CrossRef]
- Mandle, R.J.; Davis, E.J.; Archbold, C.T.; Voll, C.C.; Andrews, J.L.; Cowling, S.J.; Goodby, J.W. Apolar bimesogens and the incidence of the twist–bend nematic phase. Chem. Eur. J. 2015, 21, 8158–8167. [Google Scholar] [CrossRef] [PubMed]
- Mandle, R.J.; Archbold, C.T.; Sarju, J.P.; Andrews, J.L.; Goodby, J.W. The dependency of nematic and twist-bend mesophase formation on bend angle. Sci. Rep. 2016, 6, 36682. [Google Scholar] [CrossRef]
- Dawood, A.A.; Grossel, M.C.; Luckhurst, G.R.; Richardson, R.M.; Timimi, B.A.; Wells, N.J.; Yousif, Y.Z. On the twist-bend nematic phase formed directly from the isotropic phase. Liq. Cryst. 2016, 43, 2–12. [Google Scholar] [CrossRef]
- Ivšić, T.; Vinković, M.; Baumeister, U.; Mikleušević, A.; Lesac, A. Towards understanding the N TB phase: A combined experimental, computational and spectroscopic study. RSC Adv. 2016, 6, 5000–5007. [Google Scholar] [CrossRef]
- Mandle, R.J.; Voll, C.C.; Lewis, D.J.; Goodby, J.W. Etheric bimesogens and the twist-bend nematic phase. Liq. Cryst. 2016, 43, 13–21. [Google Scholar] [CrossRef]
- Panov, V.P.; Vij, J.K.; Mehl, G.H. Twist-bend nematic phase in cyanobiphenyls and difluoroterphenyls bimesogens. Liq. Cryst. 2017, 44, 147–159. [Google Scholar] [CrossRef]
- Paterson, D.A.; Abberley, J.P.; Harrison, W.T.; Storey, J.M.; Imrie, C.T. Cyanobiphenyl-based liquid crystal dimers and the twist-bend nematic phase. Liq. Cryst. 2017, 44, 127–146. [Google Scholar] [CrossRef]
- Dawood, A.A.; Grossel, M.C.; Luckhurst, G.R.; Richardson, R.M.; Timimi, B.A.; Wells, N.J.; Yousif, Y.Z. Twist-bend nematics, liquid crystal dimers, structure-property relations. Liq. Cryst. 2017, 44, 106–126. [Google Scholar] [CrossRef]
- Scarbrough, A.N.; Tuchband, M.R.; Korblova, E.D.; Shao, R.; Shen, Y.; Maclennan, J.E.; Glaser, M.A.; Clark, N.A.; Walba, D.M. The heliconical nematic twist-bend phase from “classic” bent-core benzylideneanilines with oligomethylene cores. Mol. Cryst. Liq. Cryst. 2017, 647, 430–438. [Google Scholar] [CrossRef]
- Watanabe, K.; Tamura, T.; Kang, S.; Tokita, M. Twist bend nematic liquid crystals prepared by one-step condensation of 4-(4-pentylcyclohexyl) benzoic acid and alkyl diol. Liq. Cryst. 2018, 45, 924–930. [Google Scholar] [CrossRef]
- Arakawa, Y.; Komatsu, K.; Tsuji, H. Twist-bend nematic liquid crystals based on thioether linkage. New J. Chem. 2019, 43, 6786–6793. [Google Scholar] [CrossRef]
- Cruickshank, E.; Salamonczyk, M.; Pociecha, D.; Strachan, G.J.; Storey, J.M.D.; Wang, C.; Peng, J.; Zhu, C.H.; Gorecka, E.; Imrie, C.T. Sulfur-linked cyanobiphenyl-based liquid crystal dimers and the twist-bend nematic phase. Liq. Cryst. 2019, 46, 1595–1609. [Google Scholar] [CrossRef]
- Abberley, J.P.; Storey, J.M.; Imrie, C.T. Structure-property relationships in azobenzene-based twist-bend nematogens. Liq. Cryst. 2019, 46, 2102–2114. [Google Scholar] [CrossRef]
- Arakawa, Y.; Ishida, Y.; Tsuji, H. Ether- and Thioether-Linked Naphthalene-Based Liquid-Crystal Dimers: Influence of Chalcogen Linkage and Mesogenic-Arm Symmetry on the Incidence and Stability of the Twist-Bend Nematic Phase. Chem.—A Eur. J. 2020, 26, 3767–3775. [Google Scholar] [CrossRef]
- Arakawa, Y.; Komatsu, K.; Inui, S.; Tsuji, H. Thioether-linked liquid crystal dimers and trimers: The twist-bend nematic phase. J. Mol. Struct. 2020, 1199, 126913. [Google Scholar] [CrossRef]
- Arakawa, Y.; Komatsu, K.; Ishida, Y.; Tsuji, H. Thioether-linked azobenzene-based liquid crystal dimers exhibiting the twist-bend nematic phase over a wide temperature range. Liq. Cryst. 2020, 48, 641–652. [Google Scholar] [CrossRef]
- Abberley, J.P.; Walker, R.; Storey, J.M.D.; Imrie, C.T. Molecular structure and the twist-bend nematic phase: The role of terminal chains. Liq. Cryst. 2020, 47, 1232–1245. [Google Scholar] [CrossRef]
- Knežević, A.; Dokli, I.; Novak, J.; Kontrec, D.; Lesac, A. Fluorinated twist-bend nematogens: The role of intermolecular interaction. Liq. Cryst. 2021, 48, 756–766. [Google Scholar] [CrossRef]
- Arakawa, Y.; Komatsu, K.; Shiba, T.; Tsuji, H. Phase behaviors of classic liquid crystal dimers and trimers: Alternate induction of smectic and twist-bend nematic phases depending on spacer parity for liquid crystal trimers. J. Mol. Liq. 2021, 326, 115319. [Google Scholar] [CrossRef]
- Arakawa, Y.; Komatsu, K.; Shiba, T.; Tsuji, H. Methylene- and thioether-linked cyanobiphenyl-based liquid crystal dimers CBnSCB exhibiting room temperature twist-bend nematic phases and glasses. Mater. Adv. 2021, 2, 1760–1773. [Google Scholar] [CrossRef]
- Arakawa, Y.; Komatsu, K.; Ishida, Y.; Igawa, K.; Tsuji, H. Carbonyl- and thioether-linked cyanobiphenyl-based liquid crystal dimers exhibiting twist-bend nematic phases. Tetrahedron 2021, 81, 131870. [Google Scholar] [CrossRef]
- Arakawa, Y.; Komatsu, K.; Feng, J.; Zhu, C.H.; Tsuji, H. Distinct twist-bend nematic phase behaviors associated with the ester-linkage direction of thioether-linked liquid crystal dimers. Mater. Adv. 2021, 2, 261–272. [Google Scholar] [CrossRef]
- Arakawa, Y.; Ishida, Y.; Komatsu, K.; Arai, Y.; Tsuji, H. Thioether-linked benzylideneaniline-based twist-bend nematic liquid crystal dimers: Insights into spacer lengths, mesogenic arm structures, and linkage types. Tetrahedron 2021, 95, 132351. [Google Scholar] [CrossRef]
- Alshammari, A.F.; Pociecha, D.; Walker, R.; Storey, J.M.; Gorecka, E.; Imrie, C.T. New patterns of twist-bend liquid crystal phase behaviour: The synthesis and characterisation of the 1-(4-cyanobiphenyl-4′-yl)-10-(4-alkylaniline-benzylidene-4′-oxy) decanes (CB10O·m). Soft Matter 2022, 18, 4679–4688. [Google Scholar] [CrossRef]
- Tufaha, N.; Gibb, C.J.; Storey, J.M.; Imrie, C.T. Can even-membered liquid crystal dimers exhibit the twist-bend nematic phase? The preparation and properties of disulphide and thioether linked dimers. Liq. Cryst. 2023, 50, 1362–1374. [Google Scholar] [CrossRef]
- Ožegović, A.; Knežević, A.; Novak, J.; Šegota, S.; Davidson, P.; Lesac, A. The Interplay of Spacer Chirality and Parity in Mesogenic Dimers. Chemphyschem 2024, 25, e202400065. [Google Scholar] [CrossRef]
- Arakawa, Y.; Shiba, T.; Igawa, K. Selenium-linked cyanobiphenyl-based liquid crystal dimers: The effects of chalcogen linkage and spacer length on the twist-bend nematic phase. Liq. Cryst. 2024, 51, 1506–1522. [Google Scholar] [CrossRef]
- Baishya, B.; Dua, H.; Sarkar, U.; Paul, M.K. Synthesis, mesophase behavior, and computational studies of dimers composed of three-ring rod-shaped ester-imine linkage monomeric unit. J. Mol. Struct. 2024, 1313, 138754. [Google Scholar] [CrossRef]
- Gibb, C.J.; Majewska, M.; Pociecha, D.; Storey, J.M.; Gorecka, E.; Imrie, C.T. Liquid Crystal Dimers and the Twist-Bend Phases: Non-Symmetric Dimers Consisting of Mesogenic Units of Differing Lengths. Chemphyschem 2024, 25, e202300848. [Google Scholar] [CrossRef] [PubMed]
- Cruickshank, E.; Strachan, G.J.; Thapa, K.; Pociecha, D.; Salamończyk, M.; Storey, J.M.; Gorecka, E.; Lavrentovich, O.; Imrie, C.T. Cyanobiphenyl-based liquid crystal dimers and the twist-bend nematic phase: On the role played by the length and parity of the spacer. Liq. Cryst. 2024, 51, 1446–1470. [Google Scholar] [CrossRef]
- Ožegović, A.; Hobbs, J.; Mandle, R.; Lesac, A.; Knežević, A. Chiral cyanobiphenyl dimers–significance of the linking group for mesomorphic properties and helical induction. J. Mater. Chem. C 2024, 12, 13985–13993. [Google Scholar] [CrossRef]
- Jansze, S.M.; Martínez-Felipe, A.; Storey, J.M.; Marcelis, A.T.; Imrie, C.T. A twist-bend nematic phase driven by hydrogen bonding. Angew. Chem. Int. Ed. 2015, 127, 653–656. [Google Scholar] [CrossRef]
- Wang, Y.; Singh, G.; Agra-Kooijman, D.M.; Gao, M.; Bisoyi, H.K.; Xue, C.; Fisch, M.R.; Kumar, S.; Li, Q. Room temperature heliconical twist-bend nematic liquid crystal. CrystEngComm 2015, 17, 2778–2782. [Google Scholar] [CrossRef]
- Saha, R.; Babakhanova, G.; Parsouzi, Z.; Rajabi, M.; Gyawali, P.; Welch, C.; Mehl, G.H.; Gleeson, J.; Lavrentovich, O.D.; Sprunt, S. Oligomeric odd–even effect in liquid crystals. Mater. Horiz. 2019, 6, 1905–1912. [Google Scholar] [CrossRef]
- Al-Janabi, A.; Mandle, R.J. Utilising Saturated Hydrocarbon Isosteres of para Benzene in the Design of Twist-Bend Nematic Liquid Crystals. Chemphyschem 2020, 21, 697–701. [Google Scholar] [CrossRef]
- Walker, R.; Pociecha, D.; Martinez-Felipe, A.; Storey, J.M.; Gorecka, E.; Imrie, C.T. Twist-bend nematogenic supramolecular dimers and trimers formed by hydrogen bonding. Crystals 2020, 10, 175. [Google Scholar] [CrossRef]
- Arakawa, Y.; Komatsu, K.; Ishida, Y.; Shiba, T.; Tsuji, H. Thioether-linked liquid crystal trimers: Odd–even effects of spacers and the influence of thioether bonds on phase behavior. Materials 2022, 15, 1709. [Google Scholar] [CrossRef]
- Arakawa, Y.; Komatsu, K.; Tsuji, H. 2, 7-substituted fluorenone-based liquid crystal trimers: Twist-bend nematic phase induced by outer thioether linkage. Phase Transit. 2022, 95, 331–339. [Google Scholar] [CrossRef]
- Strachan, G.J.; Majewska, M.M.; Pociecha, D.; Gorecka, E.; Storey, J.M.; Imrie, C.T. Liquid crystal trimers containing secondary amide groups. Liq. Cryst. 2024, 51, 2059–2068. [Google Scholar] [CrossRef]
- Mandle, R.J.; Goodby, J.W. A Liquid Crystalline Oligomer Exhibiting Nematic and Twist-Bend Nematic Mesophases. Chemphyschem 2016, 17, 967–970. [Google Scholar] [CrossRef] [PubMed]
- Simpson, F.P.; Mandle, R.J.; Moore, J.N.; Goodby, J.W. Investigating the Cusp between the nano-and macro-sciences in supermolecular liquid-crystalline twist-bend nematogens. J. Mater. Chem. C 2017, 5, 5102–5110. [Google Scholar] [CrossRef]
- Majewska, M.M.; Forsyth, E.; Pociecha, D.; Wang, C.; Storey, J.M.; Imrie, C.T.; Gorecka, E. Controlling spontaneous chirality in achiral materials: Liquid crystal oligomers and the heliconical twist-bend nematic phase. Chem. Commun. 2022, 58, 5285–5288. [Google Scholar] [CrossRef] [PubMed]
- Mandle, R.J.; Goodby, J.W. A Nanohelicoidal Nematic Liquid Crystal Formed by a Non-Linear Duplexed Hexamer. Angew. Chem. Int. Ed. 2018, 57, 7096–7100. [Google Scholar] [CrossRef]
- Ungar, G.; Feijoo, J.; Keller, A.; Yourd, R.; Percec, V. Simulataneous X-ray/DSC study of mesomorphism in polymers with a semiflexible mesogen. Macromolecules 1990, 23, 3411–3416. [Google Scholar] [CrossRef]
- Ungar, G.; Percec, V.; Zuber, M. Liquid crystalline polyethers based on conformational isomerism. 20. Nematic-nematic transition in polyethers and copolyethers based on 1-(4-hydroxyphenyl) 2-(2-R-4-hydroxyphenyl)ethane with R = fluoro, chloro and methyl and flexible spacers containing an odd number of methylene units. Macromolecules 1992, 25, 75–80. [Google Scholar] [CrossRef]
- Stevenson, W.D.; An, J.; Zeng, X.-B.; Xue, M.; Zou, H.-X.; Liu, Y.-S.; Ungar, G. Twist-bend nematic phase in biphenylethane-based copolyethers. Soft Matter 2018, 14, 3003–3011. [Google Scholar] [CrossRef] [PubMed]
- Parsouzi, Z.; Bebakhanova, G.; Rajabi, M.; Saha, R.; Gyawali, P.; Turiv, T.; Wang, H.; Beldwin, A.R.; Weich, C.; Mehl, G.H.; et al. Pretransitional behavior of viscoelastic parameters at the nematic to twist-bend nematic phase transition in flexible n-mers. Phys. Chem. Chem. Phys. 2019, 21, 13078–13089. [Google Scholar] [CrossRef]
- Schröder, M.W.; Diele, S.; Pelzl, G.; Dunemann, U.; Kresse, H.; Weissflog, W. Different nematic phases and a switchable SmCP phase formed by homologues of a new class of asymmetric bent-core mesogens. J. Mater. Chem. 2003, 13, 1877–1882. [Google Scholar] [CrossRef]
- Chen, D.; Nakata, M.; Shao, R.F.; Tuchband, M.R.; Shuai, M.; Baumeister, U.; Weissflog, W.; Walba, D.M.; Glaser, M.A.; Maclennan, J.E.; et al. Twist-bend heliconical chiral nematic liquid crystal phase of an achiral rigid bent-core mesogen. Phys. Rev. E 2014, 89, 022506. [Google Scholar] [CrossRef] [PubMed]
- Sreenilayam, S.P.; Panov, V.P.; Vij, J.K.; Shanker, G. The NTB phase in an achiral asymmetrical bent-core liquid crystal terminated with symmetric alkyl chains. Liq. Cryst. 2017, 44, 244–253. [Google Scholar] [CrossRef]
- Ožegović, A.; Dokli, I.; Knežević, A.; Šegota, S.; Lesac, A. Bent-shaped dimers with chiral spacer–unravelling the potential of the naphthyl mesogenic unit. Liq. Cryst. 2024, 1–11. [Google Scholar] [CrossRef]
- Walker, R.; Majewska, M.; Pociecha, D.; Makal, A.; Storey, J.M.D.; Gorecka, E.; Imrie, C.T. Twist-Bend Nematic Glasses: The Synthesis and Characterisation of Pyrene-based Nonsymmetric Dimers. ChemPhysChem 2021, 22, 461–470. [Google Scholar] [CrossRef]
- Mandle, R.J.; Goodby, J.W. Does Topology Dictate the Incidence of the Twist-Bend Phase? Insights Gained from Novel Unsymmetrical Bimesogens. Chem. Eur. J. 2016, 22, 18456–18464. [Google Scholar] [CrossRef]
- Zep, A.; Aya, S.; Aihara, K.; Ema, K.; Pociecha, D.; Madrak, K.; Bernatowicz, P.; Takezoe, H.; Gorecka, E. Multiple nematic phases observed in chiral mesogenic dimers. J. Mater. Chem. C 2013, 1, 46–49. [Google Scholar] [CrossRef]
- Zep, A.; Pruszkowska, K.; Dobrzycki, Ł.; Saktas, K.; Szałański, P.; Marek, P.H.; Cyrański, M.K.; Sicinski, R.R. Cholesterol-based photo-switchable mesogenic dimers. Strongly bent molecules versus an intercalated structure. CrystEngComm 2019, 21, 2779–2789. [Google Scholar] [CrossRef]
- Mandle, R.J.; Goodby, J.W. Dependence of Mesomorphic Behaviour of Methylene-Linked Dimers and the Stability of the NTB/NX Phase upon Choice of Mesogenic Units and Terminal Chain Length. Chem. Eur. J. 2016, 22, 9366–9374. [Google Scholar] [CrossRef] [PubMed]
- Luckhurst, G.R. Liquid crystal dimers and oligomers: Experiment and theory. Macromol. Symp. 1995, 96, 1–26. [Google Scholar] [CrossRef]
- Kocot, A.; Loska, B.; Arakawa, Y.; Mehl, G.H.; Merkel, K. Study of the Experimental and Simulated Vibrational Spectra Together with Conformational Analysis of Thioether Cyanobiphenyl-Based Liquid Crystal Dimers. Int. J. Mol. Sci. 2022, 23, 8005. [Google Scholar] [CrossRef]
- Yu, G.; Wilson, M.R. All-atom simulations of bent liquid crystal dimers: The twist-bend nematic phase and insights into conformational chirality. Soft Matter 2022, 18, 3087–3096. [Google Scholar] [CrossRef]
- Iwai, R.; Suzuki, S.; Sasai, S.; Sairi, A.S.; Igawa, K.; Suenobu, T.; Morokuma, K.; Konishi, G. Bridged Stilbenes: AIEgens Designed via a Simple Strategy to Control the Non-radiative Decay Pathway. Angew. Chem. Int. Ed. 2020, 59, 10566–10573. [Google Scholar] [CrossRef] [PubMed]
- Iwai, R.; Yoshida, H.; Arakawa, Y.; Sasaki, S.; Iida, Y.; Igawa, K.; Sakurai, T.; Suzuki, S.; Tokita, M.; Watanabe, J.; et al. Near-room-temperature π-conjugated nematic liquid crystals in molecules with a flexible seven-membered ring structure. Aggregate 2025, 6, e660. [Google Scholar] [CrossRef]
- Konishi, G.; Sawatari, Y.; Iwai, R.; Tanaka, T.; Shimomura, Y.; Tokita, M. Synthesis of Side-Chain Liquid Crystalline Polyacrylates with Bridged Stilbene Mesogens. Molecules 2024, 29, 5220. [Google Scholar] [CrossRef]
- Shimomura, Y.; Iida, Y.; Tsurumaki, E.; Konishi, G. Innovative molecular design of bridged biphenyls for calamitic nematic liquid crystals with extensive π-conjugated mesogens. Mater. Chem. Front. 2025, 9, 1127–1138. [Google Scholar] [CrossRef]
- Shimomura, Y.; Igawa, K.; Sasaki, S.; Sakakibara, N.; Goseki, R.; Konishi, G. Flexible Alkylene Bridges as a Tool to Engineer Crystal Distyrylbenzene Structures Enabling Highly Fluorescent Monomeric Emission. Chem. Eur. J. 2022, 28, e202201884. [Google Scholar] [CrossRef] [PubMed]
- Shimomura, Y.; Konishi, G. Push-Pull Bridged Distyrylbenene with Highy Bright Solid-State Red-Orange Sggregation-Induced Emission. Chem. Eur. J. 2023, 29, e202301191. [Google Scholar] [CrossRef]
- Konishi, K.; Tsurumaki, E.; Konishi, G. Aggregation-Induced Emission in Bridged (E,E)-1,4-Diphenyl-1,3-butadiene Derivatives with Six- and Seven-Membered Rings. Chem. Asian J. 2025, 20, e202500191. [Google Scholar] [CrossRef]
- Ishiyama, T.; Murata, M.; Miyaura, N. Palladium(0)-Catalyzed Cross-Coupling Reaction of Alkoxydiboron with Haloarenes: A Direct Procedure for Arylboronic Esters. J. Org. Chem. 1995, 60, 7508–7510. [Google Scholar] [CrossRef]
- Justik, M.; Koser, G. Application of [Hydroxy(tosyloxy)iodo]benzene in the Wittig-Ring Expansion Sequence for the Synthesis of β-Benzocyclo-alkenones from α-Benzocycloalkenones. Molecules 2005, 10, 217–225. [Google Scholar] [CrossRef]
- Kocot, A.; Loska, B.; Arakawa, Y.; Merkel, K. Structure of the twist-bend nematic phase with respect to the orientational molecular order of the thioether-linked dimers. Phys. Rev. E 2022, 105, 044701. [Google Scholar] [CrossRef]
- Loska, B.; Arakawa, Y.; Merkel, K. Theoretical Insights into Twist-Bend Nematic Liquid Crystals: Infrared Spectra Analysis of Naphthalene-Based dimers. Materials 2025, 18, 1971. [Google Scholar] [CrossRef]
- Zavvou, E.E.; Ramou, E.; Ahmed, Z.; Chris, W.; Mehl, G.H.; Vanakaras, A.G.; Karahaliou, P.K. Dipole-dipole correlations in the nematic phases of symmetric cyanobiphenyl dimers and their binary mixtures with 5CB. Soft Matter 2023, 19, 9224–9238. [Google Scholar] [CrossRef]
- Pocock, E.E.; Mandle, R.J.; Goodby, J.W. Experimetnal and Computational Study of a Liquid Crystalline Dimesogen Exhibiting Nematic, Twist-Bend Nematic, Intercalated Smectic, and Soft Crystalline Mesophases. Molecules 2021, 26, 532. [Google Scholar] [CrossRef] [PubMed]
- Ivši’c, T.; Baumeister, U.; Dokli, I.; Mikleuševi’c, A.; Lesac, A. Sensitivity of the NTB phase formation to the molecular structure of imino-linked dimers. Liq. Cryst. 2017, 44, 93–105. [Google Scholar] [CrossRef]
- Mandle, R.J.; Goodby, J.W. A twist-bend nematic to an intercalated, anticlinic, biaxial phase transition in liquid crystal bimesogens. Soft Matter 2016, 12, 1436–1443. [Google Scholar] [CrossRef]
- Mandle, R.J.; Goodby, J.W. Intercalated soft-crystalline mesophase exhibited by an unsymmetrical twist-bend nematogen. CrystEngComm 2016, 18, 8794–8802. [Google Scholar] [CrossRef]
- Mandle, R.J.; Cowling, S.J.; Goodby, J.W. Combined microscopy, calorimetry and x-ray scattering study of fluorinated dimesogens. Sci. Rep. 2017, 7, 13323. [Google Scholar] [CrossRef] [PubMed]
- Knezevic, A.; Dokli, I.; Sapunar, M.; Segota, S.; Baumeister, U.; Lesac, A. Induced smectic phase in binary mixtures of twist-bend nematogens. Beilstein J. Nanotech. 2018, 9, 1297–1307. [Google Scholar] [CrossRef]
- Blanc, C.; Durey, G.; Kamien, R.D.; Lopez-Leon, T.; Lavrentovich, M.O.; Tran, L. Helfrich-Hurault elastic instabilities driven by geometrical frustration. Rev. Mod. Phys. 2023, 95, 015004. [Google Scholar] [CrossRef]
- Balachandran, R.; Panov, V.P.; Panarin, Y.P.; Vij, J.K.; Tamba, M.G.; Mehl, G.H.; Song, J.K. Flexoelectric behavior of bimesogenic liquid crystals in the nematic phase–observation of a new self-assembly pattern at the twist-bend nematic and the nematic interface. J. Mater. Chem. C 2014, 2, 8179–8184. [Google Scholar] [CrossRef]
- Walker, R.; Pociecha, D.; Storey, J.M.D.; Gorecka, E.; Imrie, C.T. The Chiral Twist-Bend Nematic Phase (N*TB). Chem. Eur. J. 2019, 25, 13329–13335. [Google Scholar] [CrossRef]
- Zhang, X.; Zhou, Z.; Shin, Y.; Halder, S.; Hu, L.; Yang, D.-K. Structure and optical properties of twist-bend nematic liquid crystals doped with chiral dopants. Phys. Rev. E 2022, 106, 014704. [Google Scholar] [CrossRef] [PubMed]
- Salili, S.M.; Ribeiro de Almeida, R.R.; Challa, P.K.; Sprunt, S.N.; Gleeson, J.T.; Jákli, A. Spontaneously modulated chiral nematic structures of flexible bent-core liquid crystal dimers. Liq. Cryst. 2017, 44, 160–167. [Google Scholar] [CrossRef]
- Abberley, J.P.; Killah, R.; Walker, R.; Storey, J.M.D.; Imrie, C.T.; Salamonczyk, M.; Zhu, C.H.; Gorecka, E.; Pociecha, D. Heliconical smectic phases formed by achiral molecules. Nat. Commun. 2018, 9, 228. [Google Scholar] [CrossRef]
- Imrie, C.T.; Walker, R.; Storey, J.M.D.; Gorecka, E.; Pociecha, D. Liquid Crystal Dimers and Smectic Phases from the Intercalated to the Twist-Bend. Crystals 2022, 12, 1245. [Google Scholar] [CrossRef]
- Iida, Y.; Shimomura, Y.; Tokita, M.; Konishi, G. Push-pull biphenyl and tolane derivatives as novel luminescent liquid crystals: Synthesis and properties. Liq. Cryst. 2024, 51, 2032–2045. [Google Scholar] [CrossRef]
- Uzair, M.S.b.; Shimomura, Y.; Tanaka, T.; Kajitani, T.; Konishi, G. Development of 2,1,3-Benzothiadiazole-Based Room-Temperature Fluorescent Nematic Liquid Crystals. Molecules 2025, 30, 2438. [Google Scholar] [CrossRef] [PubMed]
- Sawatari, Y.; Shimomura, Y.; Takeuchi, M.; Iwai, R.; Tanaka, T.; Tsurumaki, E.; Tokita, M.; Watanabe, J.; Konishi, G. Supramolecular liquid crystals from the dimer of L-shaped molecules with tertiary amide end groups. Aggregate 2024, 5, e507. [Google Scholar] [CrossRef]
- Hori, A.; Matsumoto, A.; Ikenouchi, J.; Konishi, G. D–π–A Fluorophores with Strong Solvatochromism for Single-Molecule Ratiometric Thermometers. J. Am. Chem. Soc. 2025, 147, 9953. [Google Scholar] [CrossRef]
- De Luca, C.; Galleposo, E.C.; Ferreira, R.R.; Puccinelli, C.; Peterlik, H.; Mondal, P.K.; van Dam, L.; Dietschreit, J.C.B.; Shimomura, Y.; Konishi, G.; et al. Benzoyl-Xanthenoxanthenes: Versatile Chromophores for Light-Engaging Applications. Angew. Chem. Int. Ed. 2025. early view. [Google Scholar] [CrossRef]







| Entry | Tm/°C | Phase Transition Behavior (Cooling)/°C |
|---|---|---|
| sC9-tCN | 151 | Iso 268 N |
| sOC7O-tCN | 156 | Iso 312 N |
| sC9-tC1 | 136 | Iso 204 N 72 a NTB |
| sC9-tC2 | 123 | Iso 197 N 70 a NTB |
| sC9-tC3 | 110 | Iso 197 N 72 a NTB |
| sC9-tC4 | 112 | Iso 181 N 74 a NTB 40 Cry |
| sC9-tC5 | 102 | Iso 182 N 80 a NTB 62 X 47 Cry |
| sC9-tC6 | 103 | Iso 167 N 95 SmA 51 Cry |
| n | dwax (Å) | dsax (Å) | L (Å) | ||||
|---|---|---|---|---|---|---|---|
| SmA | NTB | N | SmA | NTB | N | ||
| 3 | / | 4.68 | 4.80 | / | 20.69 | 21.37 | 44.8 |
| 4 | / | 4.73 | 4.71 | / | 21.45 | 22.01 | 47.2 |
| 5 | / | 4.72 | 4.74 | / | 22.68 | 22.86 | 49.5 |
| 6 | 4.75 | / | 4.81 | 24.04 | / | 23.98 | 51.8 |
Disclaimer/Publisher’s Note: The statements, opinions and data contained in all publications are solely those of the individual author(s) and contributor(s) and not of MDPI and/or the editor(s). MDPI and/or the editor(s) disclaim responsibility for any injury to people or property resulting from any ideas, methods, instructions or products referred to in the content. |
© 2026 by the authors. Licensee MDPI, Basel, Switzerland. This article is an open access article distributed under the terms and conditions of the Creative Commons Attribution (CC BY) license.
Share and Cite
Shimomura, Y.; Sheng, B.; Arakawa, Y.; Iwai, R.; Konishi, G.-i. Liquid Crystal Dimers Based on Seven-Membered Bridged Stilbene Exhibiting Twist-Bend Nematic Phases. Crystals 2026, 16, 111. https://doi.org/10.3390/cryst16020111
Shimomura Y, Sheng B, Arakawa Y, Iwai R, Konishi G-i. Liquid Crystal Dimers Based on Seven-Membered Bridged Stilbene Exhibiting Twist-Bend Nematic Phases. Crystals. 2026; 16(2):111. https://doi.org/10.3390/cryst16020111
Chicago/Turabian StyleShimomura, Yoshimichi, Bi Sheng, Yuki Arakawa, Riki Iwai, and Gen-ichi Konishi. 2026. "Liquid Crystal Dimers Based on Seven-Membered Bridged Stilbene Exhibiting Twist-Bend Nematic Phases" Crystals 16, no. 2: 111. https://doi.org/10.3390/cryst16020111
APA StyleShimomura, Y., Sheng, B., Arakawa, Y., Iwai, R., & Konishi, G.-i. (2026). Liquid Crystal Dimers Based on Seven-Membered Bridged Stilbene Exhibiting Twist-Bend Nematic Phases. Crystals, 16(2), 111. https://doi.org/10.3390/cryst16020111

