Influence of Energetic Xe132 Ion Irradiation on Optical, Luminescent and Structural Properties of Ce-Doped Y3Al5O12 Single Crystals
Abstract
1. Introduction
2. Materials and Methods
3. Results and Discussion
3.1. Optical Absorption of Xe-Irradiated YAG:Ce Single Crystals
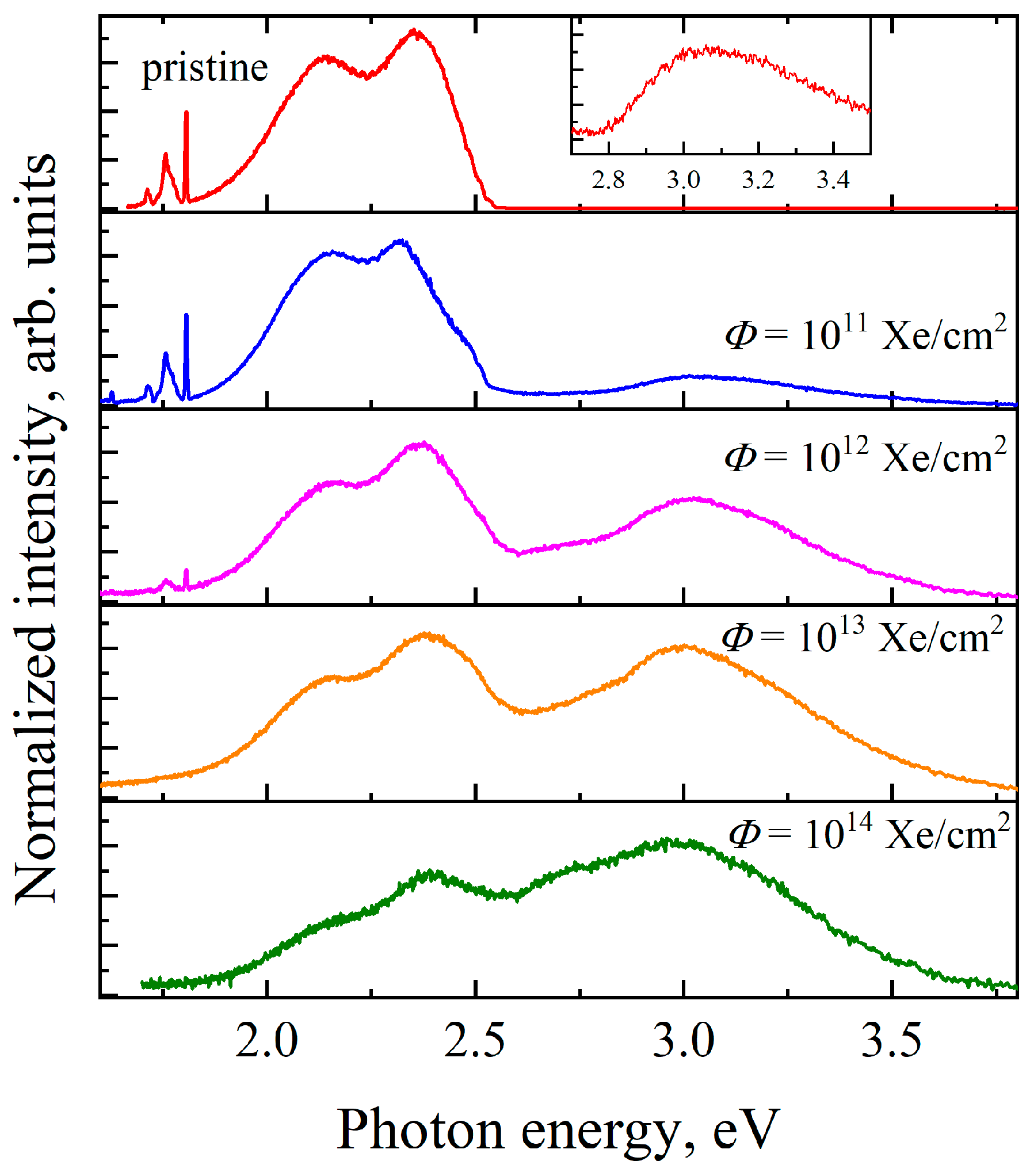
3.2. Cathodoluminescence Spectra of Xe-Irradiated YAG Crystals
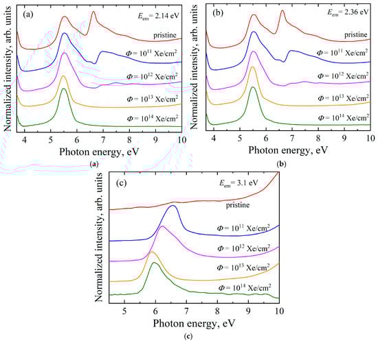
3.3. X-Ray Luminescence Spectra of Xe-Irradiated YAG:Ce Crystals
3.4. Photoluminescence Studies
3.5. Photoluminescence Decay Kinetics
3.6. X-Ray Diffraction
4. Conclusions
Author Contributions
Funding
Data Availability Statement
Conflicts of Interest
References
- Buryi, M.; Gaston-Bellegarde, A.M.; Pejchal, J.; Levchenko, F.; Remeš, Z.; Ridzoňová, K.; Babin, V.; Chertopalov, S. The role of Er3+ content in the luminescence properties of Y3Al5O12 single crystals: Incorporation into the lattice and defect state creation. Crystals 2023, 13, 562. [Google Scholar] [CrossRef]
- Buryi, M.; Havlák, L.; Jarý, V.; Bárta, J.; Laguta, V.; Beitlerová, A.; Li, J.; Chen, X.; Yuan, Y.; Liu, Q.; et al. Specific absorption in Y3Al5O12:Eu ceramics and the role of stable Eu2+ in energy transfer processes. J. Mater. Chem. C Mater. 2020, 8, 8823–8839. [Google Scholar] [CrossRef]
- Vistorskaja, D.; Katelnikovas, A.; Signes, C.M.; Klimavicius, V.; Lukowiak, A.; Strenk, W.; Kareiva, A. Novel lanthanide-doped Y3-XNaxAl5-YVyO12 garnets: Synthesis, structural and optical properties. Opt. Mater. X 2024, 22, 100300. [Google Scholar] [CrossRef]
- Petrov, V.A.; Kuptsov, G.V.; Kuptsova, A.O.; Atuchin, V.V.; Stroganova, E.V.; Petrov, V.V. Enhanced Yb:YAG active mirrors for high power laser amplifiers. Photonics 2023, 10, 849. [Google Scholar] [CrossRef]
- Kumarbekov, K.K.; Zhilgildinov, Z.S.; Karipbayev, Z.T.; Zhunusbekov, A.M.; Nurmoldin, E.E.; Brik, M.G.; Suchikova, Y.; Kemere, M.; Popov, A.I.; Kassymzhanov, M.T. A novel method of preparation of Y3Al5O12:Cr3+ ceramics and its structural and optical characterization. Opt. Mater. 2025, 159, 116535. [Google Scholar] [CrossRef]
- Karipbayev, Z.T.; Lisitsyn, V.M.; Mussakhanov, D.A.; Alpyssova, G.K.; Popov, A.I.; Polisadova, E.F.; Elsts, E.; Akilbekov, A.T.; Kukenova, A.B.; Kemere, M.; et al. Time-resolved luminescence of YAG:Ce and YAGG:Ce ceramics prepared by electron beam assisted synthesis. Nucl. Instrum. Methods Phys. Res. B 2020, 479, 222–228. [Google Scholar] [CrossRef]
- Jing, Y.; Tian, F.; Guo, L.; Li, T.; Wu, J.; Ivanov, M.; Hreniak, D.; Li, J. Effect of TEOS content on microstructure evolution and optical properties of Sm:YAG transparent ceramics. Opt. Mater. 2024, 147, 114681. [Google Scholar] [CrossRef]
- Croitoru, G.; Jipa, F.; Pavel, N. Laser emission from buried depressed-cladding waveguides inscribed in Nd:YAG ceramics by picosecond-laser beam writing. Opt. Mater. 2024, 148, 114772. [Google Scholar] [CrossRef]
- Hostaša, J.; Jambunathan, V.; Chernomorets, D.; Piancastelli, A.; Zanelli, C.; Chayran, G.; Picelli, F.; Smrž, M.; Biasini, V.; Mocek, T.; et al. Effect of Ga3+/Sc3+ on Yb3+ emission in mixed YAG at cryogenic temperatures. Opt. Mater. X 2024, 22, 100305. [Google Scholar] [CrossRef]
- Laguta, V.; Buryi, M.; Arhipov, P.; Sidletskiy, O.; Laguta, O.; Brik, M.G.; Nikl, M. Oxygen-vacancy donor-electron center in Y3Al5O12 garnet crystals: Electron paramagnetic resonance and dielectric spectroscopy study. Phys. Rev. B 2020, 101, 024106. [Google Scholar] [CrossRef]
- Moszyński, M.; Ludziejewski, T.; Wolski, D.; Klamra, W.; Norlin, L.O. Properties of the YAG:Ce scintillator. Nucl. Instrum. Methods Phys. Res. A 1994, 345, 461–467. [Google Scholar] [CrossRef]
- Ludziejewski, T.; Moszyński, M.; Kapusta, M.; Wolski, D.; Klamra, W.; Moszyńska, K. Investigation of some scintillation properties of YAG:Ce crystals. Nucl. Instrum. Methods Phys. Res. A 1997, 398, 287–294. [Google Scholar] [CrossRef]
- Chewpraditkul, W.; Swiderski, L.; Moszynski, M.; Szczesniak, T.; Syntfeld-Kazuch, A.; Wanarak, C.; Limsuwan, P. Scintillation properties of LuAG:Ce, YAG:Ce and LYSO:Ce crystals for gamma-ray detection. IEEE Trans. Nucl. Sci. 2009, 56, 3800–3805. [Google Scholar] [CrossRef]
- Zapadlík, O.; Nikl, M.; Polák, J.; Průša, P.; Linhart, V. Engineering of YAG:Ce to improve its scintillation properties. Opt. Mater. X 2022, 15, 100165. [Google Scholar] [CrossRef]
- Kim, M.; Kim, H.J.; Cho, J.Y.; Kaewjaeng, S.; Kaewkhao, J. Crystal growth and scintillation properties of YAG:Ce3+ for γ and α detection. Appl. Radiat. Isot. 2019, 145, 126–130. [Google Scholar] [CrossRef]
- Yanagida, T.; Takahashi, H.; Ito, T.; Kasama, D.; Enoto, T.; Sato, M.; Hirakuri, S.; Kokubun, M.; Makishima, K.; Yanagitani, T.; et al. Evaluation of properties of YAG(Ce) ceramic scintillators. IEEE Trans. Nucl. Sci. 2005, 52, 1836–1841. [Google Scholar] [CrossRef]
- Chewpraditkul, W.; Swiderski, L.; Moszynski, M.; Szczesniak, T.; Syntfeld-Kazuch, A.; Wanarak, C.; Limsuwan, P. Comparative studies of Lu3Al5O12:Ce and Y3Al5O12:Ce scintillators for gamma-ray detection. Phys. Status Solidi (A) 2009, 206, 2599–2605. [Google Scholar] [CrossRef]
- Fiserova, L.; Janda, J.; Sas, D. Neutron detection using conversion layers and YAP:Ce and YAG:Ce crystals. Nucl. Technol. Radiat. Prot. 2015, 30, 198–202. [Google Scholar] [CrossRef]
- Song, Y.; Song, J.; Qiu, M.; Wang, G.; Zhang, J. Temperature and fluence dependence of the luminescence properties of Ce:YAG single crystals with ion beam-induced luminescence. Radiat. Meas. 2023, 160, 106878. [Google Scholar] [CrossRef]
- Lucchini, M.T.; Pauwels, K.; Blazek, K.; Ochesanu, S.; Auffray, E. Radiation tolerance of LuAG:Ce and YAG:Ce crystals under high levels of gamma- and proton-irradiation. IEEE Trans. Nucl. Sci. 2016, 63, 586–590. [Google Scholar] [CrossRef]
- Korzhik, M. Ce doped garnet structure crystalline scintillation materials for HEP instrumentation. J. Instrum. 2020, 15, C08001. [Google Scholar] [CrossRef]
- Dormenev, V.; Brinkmann, K.-T.; Borisevich, A.; Kazlou, D.; Korzhik, M.; Moritz, M.; Novotny, R.W.; Orsich, P.; Gerasymov, I.; Tkachenko, S.; et al. Radiation tolerant YAG:Ce scintillation crystals grown under reducing Ar+CO atmosphere. Nucl. Instrum. Methods Phys. Res. A 2021, 1015, 165764. [Google Scholar] [CrossRef]
- Vaddigiri, A.; Simmons Potter, K.; Thomes, W.J.; Meister, D.C. Ionizing radiation effects in single-crystal and polycrystalline YAG. IEEE Trans. Nucl. Sci. 2006, 53, 3882–3888. [Google Scholar] [CrossRef]
- Was, G.S.; Jiao, Z.; Getto, E.; Sun, K.; Monterrosa, A.M.; Maloy, S.A.; Anderoglu, O.; Sencer, B.H.; Hackett, M. Emulation of reactor irradiation damage using ion beams. Scr. Mater. 2014, 88, 33–36. [Google Scholar] [CrossRef]
- Was, G.S. Challenges to the use of ion irradiation for emulating reactor irradiation. J. Mater. Res. 2015, 30, 1158–1182. [Google Scholar] [CrossRef]
- Izerrouken, M.; Meftah, A.; Nekkab, M. Color centers in neutron-irradiated Y3Al5O12, CaF2 and LiF single crystals. J. Lumin. 2007, 127, 696–702. [Google Scholar] [CrossRef]
- Izerrouken, M.; Meftah, A.; Guerbous, L.; Nekkab, M. Color centers induced in Y3Al5O12 single crystals by swift heavy ions and reactor neutrons. Nucl. Instrum. Methods Phys. Res. B 2007, 256, 266–271. [Google Scholar] [CrossRef]
- Amekura, H.; Li, R.; Okubo, N.; Ishikawa, N.; Chen, F. Swift heavy ion irradiation to non-amorphizable CaF2 and amorphizable Y3Al5O12 (YAG) crystals. Nucl. Instrum. Methods Phys. Res. B 2020, 474, 78–82. [Google Scholar] [CrossRef]
- Janse van Vuuren, A.; Saifulin, M.M.; Skuratov, V.A.; O’Connell, J.H.; Aralbayeva, G.; Dauletbekova, A.; Zdorovets, M. The influence of stopping power and temperature on latent track formation in YAP and YAG. Nucl. Instrum. Methods Phys. Res. B 2019, 460, 67–73. [Google Scholar] [CrossRef]
- Pankratova, V.; Butikova, J.; Kotlov, A.; Popov, A.I.; Pankratov, V. Influence of swift heavy ions irradiation on optical and luminescence properties of Y3Al5O12 single crystals. Opt. Mater. X 2024, 23, 100341. [Google Scholar] [CrossRef]
- Ziegler, J.F.; Ziegler, M.D.; Biersack, J.P. SRIM—The stopping and range of ions in matter (2010). Nucl. Instrum. Methods Phys. Res. B 2010, 268, 1818. [Google Scholar] [CrossRef]
- Omelkov, S.I.; Nagirnyi, V.; Vasil׳ev, A.N.; Kirm, M. New Features of hot intraband luminescence for fast timing. J. Lumin. 2016, 176, 309–317. [Google Scholar] [CrossRef]
- Zhunusbekov, A.M.; Karipbayev, Z.T.; Tolegenova, A.; Kumarbekov, K.K.; Nurmoldin, E.E.; Baizhumanov, M.M.; Kotlov, A.; Popov, A.I. Comparative VUV synchrotron excitation study of YAG: Eu and YAG: Cr ceramics. Crystals 2024, 14, 897. [Google Scholar] [CrossRef]
- Omelkov, S.I.; Chernenko, K.; Ekström, J.C.; Jurgilaitis, A.; Khadiev, A.; Kivimäki, A.; Kotlov, A.; Kroon, D.; Larsson, J.; Nagirnyi, V.; et al. Recent advances in time-resolved luminescence spectroscopy at MAX IV and PETRA III storage rings. J. Phys. Conf. Ser. 2022, 2380, 012135. [Google Scholar] [CrossRef]
- Williamson, G.K.; Hall, W.H. X-ray line broadening from filed aluminium and wolfram. Acta Metall. 1953, 1, 22–31. [Google Scholar] [CrossRef]
- Rabiei, M.; Palevicius, A.; Dashti, A.; Nasiri, S.; Monshi, A.; Doustmohammadi, A.; Vilkauskas, A.; Janusas, G. X-ray diffraction analysis and Williamson-Hall method in USDM model for estimating more accurate values of stress-strain of unit cell and super cells (2 × 2 × 2) of hydroxyapatite, confirmed by ultrasonic pulse-echo test. Materials 2021, 14, 2949. [Google Scholar] [CrossRef]
- Miniscalco, W.J.; Pellegrino, J.M.; Yen, W.M. Measurements of excited-state absorption in Ce3+ : YAG. J. Appl. Phys. 1978, 49, 6109–6111. [Google Scholar] [CrossRef]
- Tomiki, T.; Akamine, H.; Gushiken, M.; Kinjoh, Y.; Miyazato, M.; Miyazato, T.; Toyokawa, N.; Hiraoka, M.; Hirata, N.; Ganaha, Y.; et al. Ce3+ centres in Y3Al5O12 (YAG) single crystals. J. Physical Soc. Japan 1991, 60, 2437–2445. [Google Scholar] [CrossRef]
- Pujats, A.; Springis, M. The F-type centres in YAG crystals. Radiat. Eff. Defects Solids 2001, 155, 65–69. [Google Scholar] [CrossRef]
- Springis, M.; Pujats, A.; Valbis, J. Polarization of luminescence of colour centres in YAG crystals. J. Phys. Condens. Matter 1991, 3, 5457–5461. [Google Scholar] [CrossRef]
- Popov, A.I.; Kotomin, E.A.; Maier, J. Basic properties of the F-type centers in halides, oxides and perovskites. Nucl. Instrum. Methods Phys. Res. B 2010, 268, 3084–3089. [Google Scholar] [CrossRef]
- Mori, K. Transient colour centres caused by UV light irradiation in yttrium aluminium garnet crystals. Phys. Status Solidi (A) 1977, 42, 375–384. [Google Scholar] [CrossRef]
- Chen, C.Y.; Pogatshnik, G.J.; Chen, Y.; Kokta, M.R. Optical and electron paramagnetic resonance studies of Fe impurities in yttrium aluminum garnet crystals. Phys. Rev. B 1988, 38, 8555–8561. [Google Scholar] [CrossRef]
- Varney, C.R.; Selim, F.A. Color centers in YAG. AIMS Mater. Sci. 2015, 2, 560–572. [Google Scholar] [CrossRef]
- Kuklja, M.M. Defects in yttrium aluminium perovskite and garnet crystals: Atomistic study. J. Phys. Condens. Matter 2000, 12, 2953–2967. [Google Scholar] [CrossRef]
- Lushchik, A.; Kärner, T.; Lushchik, C.; Schwartz, K.; Savikhin, F.; Shablonin, E.; Shugai, A.; Vasil’Chenko, E. Electronic excitations and defect creation in wide-gap MgO and Lu3Al5O12 crystals irradiated with swift heavy ions. Nucl. Instrum. Methods Phys. Res. B 2012, 286, 200–208. [Google Scholar] [CrossRef]
- Varney, C.R.; Mackay, D.T.; Reda, S.M.; Selim, F.A. On the optical properties of undoped and rare-earth-doped yttrium aluminium garnet single crystals. J. Phys. D Appl. Phys. 2012, 45, 015103. [Google Scholar] [CrossRef]
- Surdo, A.I.; Kortov, V.S.; Pustovarov, V.A. Luminescence of F and F+ centers in corundum upon excitation in the interval from 4 to 40. Radiat. Meas. 2001, 33, 587–591. [Google Scholar] [CrossRef]
- Uenaka, Y.; Uchino, T. Photoexcitation, trapping, and recombination processes of the F-type centers in lasing MgO microcrystals. Phys. Rev. B 2011, 83, 195108. [Google Scholar] [CrossRef]
- Babin, V.; Blazek, K.; Krasnikov, A.; Nejezchleb, K.; Nikl, M.; Savikhina, T.; Zazubovich, S. Luminescence of undoped LuAG and YAG grystals. Phys. Status Solidi C Conf. 2005, 2, 97–100. [Google Scholar] [CrossRef]
- Zorenko, Y.; Zych, E.; Voloshinovskii, A. Intrinsic and Ce3+-related luminescence of YAG and YAG:Ce single crystals, single crystalline films and nanopowders. Opt. Mater. 2009, 31, 1845–1848. [Google Scholar] [CrossRef]
- Polisadova, E.; Valiev, D.; Vaganov, V.; Oleshko, V.; Han, T.; Zhang, C.; Burachenko, A.; Popov, A.I. Time-resolved cathodoluminescence spectroscopy of YAG and YAG:Ce3+ phosphors. Opt. Mater. 2019, 96, 109289. [Google Scholar] [CrossRef]
- Zorenko, Y.; Voloshinovskii, A.; Savchyn, V.; Voznyak, T.; Nikl, M.; Nejezchleb, K.; Mikhailin, V.; Kolobanov, V.; Spassky, D. Exciton and antisite defect-related luminescence in Lu3Al5O12 and Y3Al5O12 garnets. Phys. Status Solidi (B) 2007, 244, 2180–2189. [Google Scholar] [CrossRef]
- Kirm, M.; Lushchik, A.; Lushchik, C.; Zimmerer, G. Investigation of luminescence properties of pure and Ce3+ doped Y3Al5O12 crystals using VUV radiation. ECS Proc. 2000, 99, 113–122. [Google Scholar]
- Baubekova, G.; Assylbayev, R.; Feldbach, E.; Krasnikov, A.; Kudryavtseva, I.; Podelinska, A.; Seeman, V.; Shablonin, E.; Vasil’chenko, E.; Lushchik, A. Accumulation of oxygen interstitial-vacancy pairs under irradiation of corundum single crystals with energetic xenon ions. Radiat. Meas. 2024, 179, 107324. [Google Scholar] [CrossRef]
- Pankratov, V.; Grigorjeva, L.; Chernov, S.; Chudoba, T.; Lojkowski, W. Luminescence properties and energy transfer processes in nanosized cerium doped YAG. IEEE Trans. Nucl. Sci. 2008, 55, 1509–1513. [Google Scholar] [CrossRef]
- Dong, Y.; Zhou, G.; Jun, X.; Zhao, G.; Su, F.; Su, L.; Zhang, G.; Zhang, D.; Li, H.; Si, J. Luminescence studies of Ce:YAG using vacuum ultraviolet synchrotron radiation. Mater. Res. Bull. 2006, 41, 1959–1963. [Google Scholar] [CrossRef]
- Asatryan, G.R.; Edinach, E.V.; Uspenskaya, Y.A.; Babunts, R.A.; Badalyan, A.G.; Romanov, N.G.; Petrosyan, A.G.; Baranov, P.G. Influence of antisite defects in yttrium-aluminum garnet on paramagnetic centers of Ce3+ and Tb3+. Phys. Solid. State 2020, 62, 2110–2115. [Google Scholar] [CrossRef]
- Zorenko, Y.; Gorbenko, V.; Savchyn, V.; Vozniak, T.; Puzikov, V.; Danko, A.; Nizhankovski, S. Time-resolved luminescent spectroscopy of YAG:Ce single crystal and single crystalline films. Radiat. Meas. 2010, 45, 395–397. [Google Scholar] [CrossRef]
- Zorenko, Y.; Gorbenko, V.; Konstankevych, I.; Voloshinovskii, A.; Stryganyuk, G.; Mikhailin, V.; Kolobanov, V.; Spassky, D. Single-crystalline films of Ce-doped YAG and LuAG phosphors: Advantages over bulk crystals analogues. J. Lumin. 2005, 114, 85–94. [Google Scholar] [CrossRef]
- Xu, Y.-N.; Ching, W.Y. Electronic structure of yttrium aluminum garnet (Y3Al5O12). Phys. Rev. B 1999, 59, 10530–10535. [Google Scholar] [CrossRef]
- Slack, G.A.; Oliver, D.W.; Chrenko, R.M.; Roberts, S. Optical absorption of Y3Al5O12 from 10- to 55000-cm−1 wave numbers. Phys. Rev. 1969, 177, 1308–1314. [Google Scholar] [CrossRef]
- Aleksanyan, E.; Kirm, M.; Vielhauer, S.; Harutyunyan, V. Investigation of luminescence processes in YAG single crystals irradiated by 50 MeV electron beam. Radiat. Meas. 2013, 56, 54–57. [Google Scholar] [CrossRef]
- Utsunomiya, S.; Wang, L.M.; Yudintsev, S.; Ewing, R.C. Ion irradiation-induced amorphization and nano-crystal formation in garnets. J. Nucl. Mater. 2002, 303, 177–187. [Google Scholar] [CrossRef]
- Bhandari, K.; Grover, V.; Kalita, P.; Sudarshan, K.; Modak, B.; Sharma, S.K.; Kulriya, P.K. Radiation response of Y3Al5O12 and Nd3+-Y3Al5O12 to swift heavy ions: Insight into structural damage and defect dynamics. Phys. Chem. Chem. Phys. 2023, 25, 20495–20509. [Google Scholar] [CrossRef]
- O’Connell, J.H.; Skuratov, V.A.; Janse van Vuuren, A.; Rymzhanov, R.A. Overview of SHI induced track morphology in crystalline non-metals from direct observation with TEM. Acta Phys. Pol. A 2019, 136, 233–236. [Google Scholar] [CrossRef]
- Karipbayev, Z.T.; Kumarbekov, K.; Manika, I.; Dauletbekova, A.; Kozlovskiy, A.L.; Sugak, D.; Ubizskii, S.B.; Akilbekov, A.; Suchikova, Y.; Popov, A.I. Optical, Structural, and Mechanical Properties of Gd3Ga5O12 Single Crystals Irradiated with 84Kr+ Ions. Phys. Status Solidi B 2022, 259, 2100415. [Google Scholar] [CrossRef]










| Fluence, Ion/cm2 | , ns | , ns | , | , | S | ||||
|---|---|---|---|---|---|---|---|---|---|
| 0 | 70 | 320 | 2 × 10−2 | 18 × 10−4 | 1.4 | 0.576 | 1.976 | 0.71 | 0.29 |
| 1011 | 75 | 450 | 2 × 10−2 | 13 × 10−4 | 1.5 | 0.585 | 2.085 | 0.72 | 0.28 |
| 1012 | 75 | 450 | 13 × 10−3 | 1 × 10−3 | 0.975 | 0.45 | 1.425 | 0.68 | 0.32 |
| 1013 | 75 | 540 | 13 × 10−3 | 1 × 10−3 | 0.975 | 0.54 | 1.515 | 0.64 | 0.36 |
| 1014 | 75 | 620 | 12 × 10−3 | 9 × 10−4 | 0.9 | 0.558 | 1.458 | 0.62 | 0.38 |
| Fluence, Ion/cm2 | a, Å | Crystallinity Degree, % | Strain, % | V, Å3 | Density (ρ, g/cm3) | d, Å | 2θ | hkl |
|---|---|---|---|---|---|---|---|---|
| Pristine | 12.01 | 100 | 0.194 | 1731.368 | 4.654 | 1.742 | 52.50 | 6 3 1 |
| 1011 | 12.03 | 99.43 | 0.25 | 1740.98 | 4.629 | 1.756 | 52.4 | 6 3 1 |
| 1.688 | 54.3 | 5 4 3 | ||||||
| 1012 | 12.08 | 98.32 | 0.85 | 1760.96 | 4.576 | 1.755 | 52.08 | 6 3 1 |
| 2.398 | 37.47 | 4 2 2 | ||||||
| 3.262 | 27.32 | 3 2 1 | ||||||
| 1.456 | 63.89 | 8 2 0 | ||||||
| 1013 | 12.39 | 88.32 | 2.45 | 1902.53 | 4.521 | 1.876 | 52.87 | 4 4 4 |
| 1.833 | 52.74 | 6 3 1 | ||||||
| 1014 | 13.78 | 70.47 | 3.36 | 2615.11 | 3.962 | 1.741 | 52.51 | 6 3 1 |
| 1.734 | 52.73 | 4 4 4 |
Disclaimer/Publisher’s Note: The statements, opinions and data contained in all publications are solely those of the individual author(s) and contributor(s) and not of MDPI and/or the editor(s). MDPI and/or the editor(s) disclaim responsibility for any injury to people or property resulting from any ideas, methods, instructions or products referred to in the content. |
© 2025 by the authors. Licensee MDPI, Basel, Switzerland. This article is an open access article distributed under the terms and conditions of the Creative Commons Attribution (CC BY) license (https://creativecommons.org/licenses/by/4.0/).
Share and Cite
Assylbayev, R.; Tursumbayeva, G.; Baubekova, G.; Karipbayev, Z.T.; Krasnikov, A.; Shablonin, E.; Aralbayeva, G.M.; Smortsova, Y.; Akilbekov, A.; Popov, A.I.; et al. Influence of Energetic Xe132 Ion Irradiation on Optical, Luminescent and Structural Properties of Ce-Doped Y3Al5O12 Single Crystals. Crystals 2025, 15, 683. https://doi.org/10.3390/cryst15080683
Assylbayev R, Tursumbayeva G, Baubekova G, Karipbayev ZT, Krasnikov A, Shablonin E, Aralbayeva GM, Smortsova Y, Akilbekov A, Popov AI, et al. Influence of Energetic Xe132 Ion Irradiation on Optical, Luminescent and Structural Properties of Ce-Doped Y3Al5O12 Single Crystals. Crystals. 2025; 15(8):683. https://doi.org/10.3390/cryst15080683
Chicago/Turabian StyleAssylbayev, Ruslan, Gulnur Tursumbayeva, Guldar Baubekova, Zhakyp T. Karipbayev, Aleksei Krasnikov, Evgeni Shablonin, Gulnara M. Aralbayeva, Yevheniia Smortsova, Abdirash Akilbekov, Anatoli I. Popov, and et al. 2025. "Influence of Energetic Xe132 Ion Irradiation on Optical, Luminescent and Structural Properties of Ce-Doped Y3Al5O12 Single Crystals" Crystals 15, no. 8: 683. https://doi.org/10.3390/cryst15080683
APA StyleAssylbayev, R., Tursumbayeva, G., Baubekova, G., Karipbayev, Z. T., Krasnikov, A., Shablonin, E., Aralbayeva, G. M., Smortsova, Y., Akilbekov, A., Popov, A. I., & Lushchik, A. (2025). Influence of Energetic Xe132 Ion Irradiation on Optical, Luminescent and Structural Properties of Ce-Doped Y3Al5O12 Single Crystals. Crystals, 15(8), 683. https://doi.org/10.3390/cryst15080683

