Unveiling the Impact of 0–20 Gpa Hydrostatic Pressure on the Physical Properties of (Cs2HfCl6) Double Perovskite
Abstract
1. Introduction
2. Results and Discussion
2.1. Structural Properties
2.2. Electronic Properties
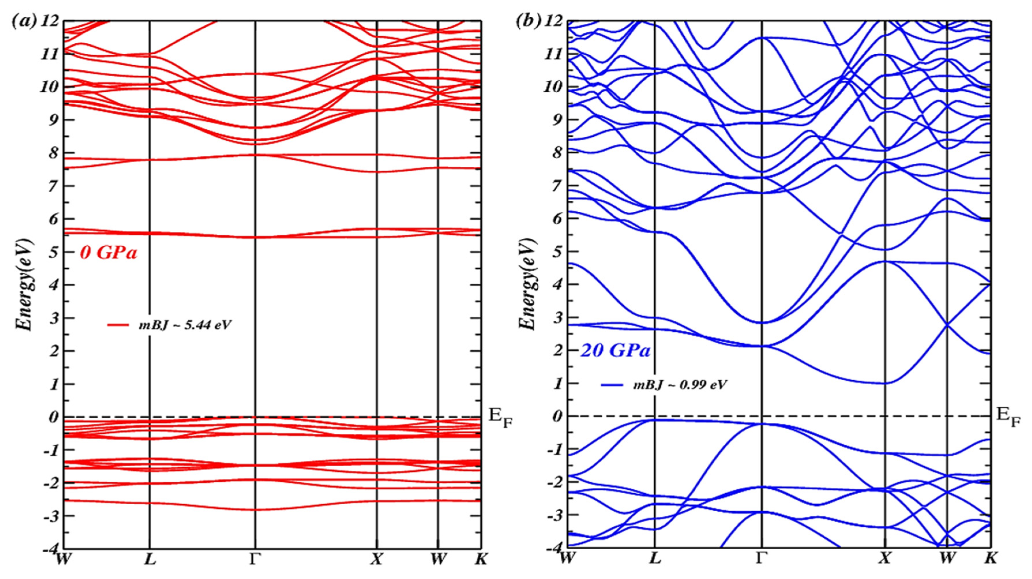
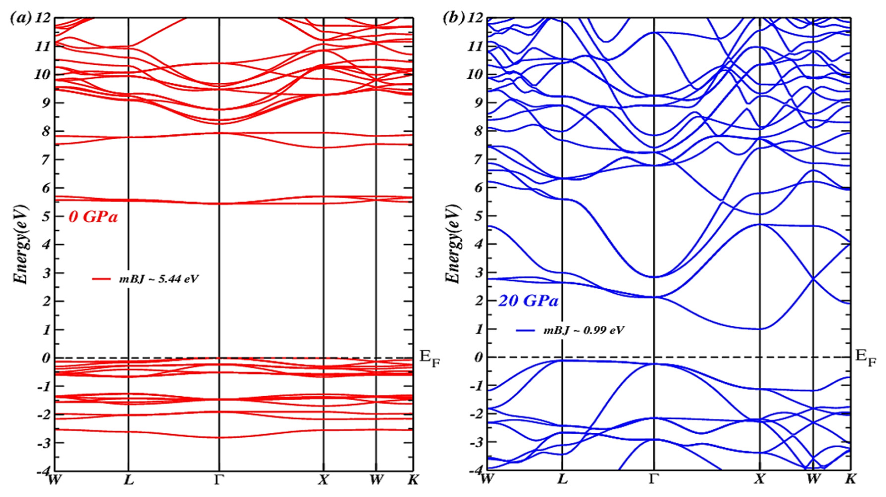
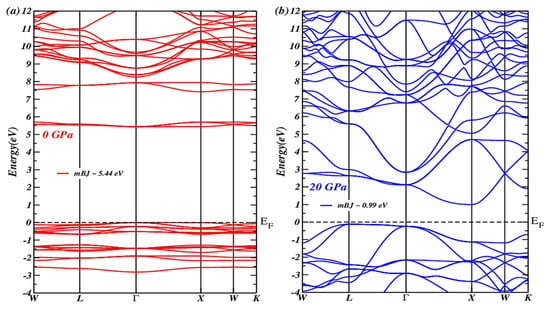
2.2.1. Electronic Band Structure (EBS)
2.2.2. Density of States (DOS)
2.3. Electron Density
2.4. Optical Properties
3. Experimental Section
Computational Method
4. Conclusions
Author Contributions
Funding
Data Availability Statement
Conflicts of Interest
References
- Tang, X.; Hu, Z.; Yuan, W.; Hu, W.; Shao, H.; Han, D.; Zheng, J.; Hao, J.; Zang, Z.; Du, J.; et al. Perovskite CsPb2Br5 Microplate Laser with Enhanced Stability and Tunable Properties. Adv. Opt. Mater. 2017, 5, 1600788. [Google Scholar] [CrossRef]
- Li, N.; Song, L.; Jia, Y.; Dong, Y.; Xie, F.; Wang, L.; Tao, S.; Zhao, N. Stabilizing Perovskite Light-Emitting Diodes by Incorporation of Binary Alkali Cations. Adv. Mater. 2020, 32, 1907786. [Google Scholar] [CrossRef] [PubMed]
- Zhu, T.; Yang, Y.; Gong, X. Recent Advancements and Challenges for Low-Toxicity Perovskite Materials. ACS Appl. Mater. Interfaces 2020, 12, 26776–26811. [Google Scholar] [CrossRef]
- Chen, B.; Yu, Z.J.; Manzoor, S.; Wang, S.; Weigand, W.; Yu, Z.; Yang, G.; Ni, Z.; Dai, X.; Holman, Z.C.; et al. Blade-Coated Perovskites on Textured Silicon for 26%-Efficient Monolithic Perovskite/Silicon Tandem Solar Cells. Joule 2020, 4, 850–864. [Google Scholar] [CrossRef]
- Noman, M.; Neffati, R.; Khan, S.; Murad, K.; Ashraf, M.W.; Murtaza, G. The Halide Ion Replacement Effects on the Physical Properties of Cs2BX6 Variant Perovskites. Phys. B Condens. Matter 2023, 656, 414779. [Google Scholar] [CrossRef]
- Cheel, H.J.; Capper, P. (Eds.) Crystal Growth Technology: From Fundamentals and Simulation to Large-Scale Production, 1st ed.; Wiley-VCH Verlag GmbH & Co. KGaA: Weinheim, Germany, 2008; ISBN 978-3-527-31762-2. [Google Scholar] [CrossRef]
- Lin, Z.; Gilbert, B.; Liu, Q.; Ren, G.; Huang, F. A Thermodynamically Stable Nanophase Material. J. Am. Chem. Soc. 2006, 128, 6126–6131. [Google Scholar] [CrossRef]
- Correa-Baena, J.-P.; Nienhaus, L.; Kurchin, R.C.; Shin, S.S.; Wieghold, S.; Putri Hartono, N.T.; Layurova, M.; Klein, N.D.; Poindexter, J.R.; Polizzotti, A.; et al. A-Site Cation in Inorganic A3Sb2I9 Perovskite Influences Structural Dimensionality, Exciton Binding Energy, and Solar Cell Performance. Chem. Mater. 2018, 30, 3734–3742. [Google Scholar] [CrossRef]
- Nishikubo, R.; Kanda, H.; García-Benito, I.; Molina-Ontoria, A.; Pozzi, G.; Asiri, A.M.; Nazeeruddin, M.K.; Saeki, A. Optoelectronic and Energy Level Exploration of Bismuth and Antimony-Based Materials for Lead-Free Solar Cells. Chem. Mater. 2020, 32, 6416–6424. [Google Scholar] [CrossRef]
- Zhang, F.; Zhou, Y.; Chen, Z.; Wang, M.; Ma, Z.; Chen, X.; Jia, M.; Wu, D.; Xiao, J.; Li, X.; et al. Thermally Activated Delayed Fluorescence Zirconium-Based Perovskites for Large-Area and Ultraflexible X-Ray Scintillator Screens. Adv. Mater. 2022, 34, 2204801. [Google Scholar] [CrossRef]
- Cao, M.; Li, Z.; Zhao, X.; Gong, X. Achieving Ultrahigh Efficiency Vacancy-Ordered Double Perovskite Microcrystals via Ionic Liquids. Small 2022, 18, 2204198. [Google Scholar] [CrossRef]
- Vishnoi, P.; Zuo, J.L.; Cooley, J.A.; Kautzsch, L.; Gómez-Torres, A.; Murillo, J.; Fortier, S.; Wilson, S.D.; Seshadri, R.; Cheetham, A.K. Chemical Control of Spin-Orbit Coupling and Charge Transfer in Vacancy-Ordered Ruthenium(IV) Halide Perovskites. Angew. Chem. 2021, 133, 5244–5248. [Google Scholar] [CrossRef]
- Hamdan, M.; Chandiran, A.K. Cs2PtI6 Halide Perovskite Is Stable to Air, Moisture, and Extreme pH: Application to Photoelectrochemical Solar Water Oxidation. Angew. Chem. 2020, 132, 16167–16172. [Google Scholar] [CrossRef]
- Sun, J.; Zheng, W.; Huang, P.; Zhang, M.; Zhang, W.; Deng, Z.; Yu, S.; Jin, M.; Chen, X. Efficient Near-Infrared Luminescence in Lanthanide-Doped Vacancy-Ordered Double Perovskite Cs2ZrCl6 Phosphors via Te4+ Sensitization. Angew. Chem. 2022, 134, e202201993. [Google Scholar] [CrossRef]
- Saparov, B.; Sun, J.-P.; Meng, W.; Xiao, Z.; Duan, H.-S.; Gunawan, O.; Shin, D.; Hill, I.G.; Yan, Y.; Mitzi, D.B. Thin-Film Deposition and Characterization of a Sn-Deficient Perovskite Derivative Cs2 SnI6. Chem. Mater. 2016, 28, 2315–2322. [Google Scholar] [CrossRef]
- Xiao, Z.; Zhou, Y.; Hosono, H.; Kamiya, T. Intrinsic Defects in a Photovoltaic Perovskite Variant Cs2 SnI6. Phys. Chem. Chem. Phys. 2015, 17, 18900–18903. [Google Scholar] [CrossRef] [PubMed]
- Zhou, S.; Zhu, S.; Guan, J.; Wang, R.; Zheng, W.; Gao, P.; Lu, X. Confronting the Air Instability of Cesium Tin Halide Perovskites by Metal Ion Incorporation. J. Phys. Chem. Lett. 2021, 12, 10996–11004. [Google Scholar] [CrossRef]
- Chen, M.; Ju, M.-G.; Carl, A.D.; Zong, Y.; Grimm, R.L.; Gu, J.; Zeng, X.C.; Zhou, Y.; Padture, N.P. Cesium Titanium(IV) Bromide Thin Films Based Stable Lead-Free Perovskite Solar Cells. Joule 2018, 2, 558–570. [Google Scholar] [CrossRef]
- Qiu, X.; Cao, B.; Yuan, S.; Chen, X.; Qiu, Z.; Jiang, Y.; Ye, Q.; Wang, H.; Zeng, H.; Liu, J.; et al. From Unstable CsSnI3 to Air-Stable Cs2SnI6: A Lead-Free Perovskite Solar Cell Light Absorber with Bandgap of 1.48 eV and High Absorption Coefficient. Sol. Energy Mater. Sol. Cells 2017, 159, 227–234. [Google Scholar] [CrossRef]
- Saeki, K.; Fujimoto, Y.; Koshimizu, M.; Yanagida, T.; Asai, K. Comparative Study of Scintillation Properties of Cs2HfCl6 and Cs2ZrCl6. Appl. Phys. Express 2016, 9, 042602. [Google Scholar] [CrossRef]
- Kang, B.; Biswas, K. Carrier Self-Trapping and Luminescence in Intrinsically Activated Scintillator: Cesium Hafnium Chloride (Cs2HfCl6). J. Phys. Chem. C 2016, 120, 12187–12195. [Google Scholar] [CrossRef]
- Wang, X.; Zhang, H.; Jiang, W.; Zhuang, Q.; Feng, S.; Li, P.; Ou, T.; Ma, X. The First Principles Study on Double Halide Perovskites Cs2HfX6 (X = Cl, Br and I): Structural, Electronic, Optical Properties, and Strain Effects. J. Solid State Chem. 2025, 348, 125353. [Google Scholar] [CrossRef]
- Vaněček, V. Kombinatorický Vývoj Scintilátorů Na Bázi Komplexních Halogenidů. Ph.D. Thesis, Czech Technical University in Prague, Prague, Czech Republic, 2022. [Google Scholar]
- Kaewmeechai, C.; Laosiritaworn, Y.; Jaroenjittichai, A.P. First-Principles Study on Structural Stability and Reaction with H2O and O2 of Vacancy-Ordered Double Perovskite Halides: Cs2(Ti,Zr,Hf)X6. Results Phys. 2021, 25, 104225. [Google Scholar] [CrossRef]
- Liu, D.; Dang, P.; Zhang, G.; Lian, H.; Li, G.; Lin, J. Near-Infrared Emitting Metal Halide Materials: Luminescence Design and Applications. InfoMat 2024, 6, e12542. [Google Scholar] [CrossRef]
- Naji, S.; Belhaj, A.; Labrim, H.; Bhihi, M.; Benyoussef, A.; El Kenz, A. Electronic and Magnetic Properties of Iron Adsorption on Graphene with Double Hexagonal Geometry. Int. J. Quantum Chem. 2014, 114, 463–467. [Google Scholar] [CrossRef]
- El Hallani, F.; Naji, S.; Ez-Zahraouy, H.; Benyoussef, A. First-Principles Study of the Magnetic Stability and the Exchange Couplings of LaMn2O5. J. Appl. Phys. 2013, 114, 163909. [Google Scholar] [CrossRef]
- Errandonea, D.; Popescu, C.; Garg, A.B.; Botella, P.; Martinez-García, D.; Pellicer-Porres, J.; Rodríguez-Hernández, P.; Muñoz, A.; Cuenca-Gotor, V.; Sans, J.A. Pressure-Induced Phase Transition and Band-Gap Collapse in the Wide-Band-Gap Semiconductor InTaO4. Phys. Rev. B 2016, 93, 035204. [Google Scholar] [CrossRef]
- Tyuterev, V.G.; Vast, N. Murnaghan’s Equation of State for the Electronic Ground State Energy. Comput. Mater. Sci. 2006, 38, 350–353. [Google Scholar] [CrossRef]
- Jiang, J.; Zheng, J.; Fu, H.; Zhang, H.; Ou, D.; Chen, Q.; Wang, K.; Cao, S.; Zhao, J.; Du, Z.; et al. Scalable and Room-Temperature Preparation of Cs2HfCl6 Double Perovskites with Recorded Photoluminescence Efficiency and Robust Stability. Chem. Eng. J. 2024, 479, 147543. [Google Scholar] [CrossRef]
- Král, R.; Babin, V.; Mihóková, E.; Buryi, M.; Laguta, V.V.; Nitsch, K.; Nikl, M. Luminescence and Charge Trapping in Cs2HfCl6 Single Crystals: Optical and Magnetic Resonance Spectroscopy Study. J. Phys. Chem. C 2017, 121, 12375–12382. [Google Scholar] [CrossRef]
- Chakraborty, K.; Choudhury, M.G.; Paul, S. Numerical Study of Cs2TiX6 (X = Br−, I−, F− and Cl−) Based Perovskite Solar Cell Using SCAPS-1D Device Simulation. Sol. Energy 2019, 194, 886–892. [Google Scholar] [CrossRef]
- Charifi, Z.; Baaziz, H.; Hussain Reshak, A. Ab-Initio Investigation of Structural, Electronic and Optical Properties for Three Phases of ZnO Compound. Phys. Status Solidi (B) 2007, 244, 3154–3167. [Google Scholar] [CrossRef]
- Nagorny, S. Novel Cs2HfCl6 Crystal Scintillator: Recent Progress and Perspectives. Physics 2021, 3, 320–351. [Google Scholar] [CrossRef]
- Wuttig, M.; Deringer, V.L.; Gonze, X.; Bichara, C.; Raty, J. Incipient Metals: Functional Materials with a Unique Bonding Mechanism. Adv. Mater. 2018, 30, 1803777. [Google Scholar] [CrossRef] [PubMed]
- Shojaei-Oghani, M.; Yavari, M.H. Modeling the Effects of Interband and Intraband Transitions on Phase and Gain Stabilities of Quantum Dot Semiconductor Optical Amplifiers. Opt. Quant. Electron. 2018, 50, 374. [Google Scholar] [CrossRef]
- Cappellini, G.; Del Sole, R.; Reining, L.; Bechstedt, F. Model Dielectric Function for Semiconductors. Phys. Rev. B 1993, 47, 9892–9895. [Google Scholar] [CrossRef]
- Reyes-Alberto, M.; García-Valenzuela, A.; Gutierrez-Herrera, E. Method for Measuring the Extinction Coefficient of Fluorescing Media within the Emission Band. Appl. Opt. 2023, 62, C106. [Google Scholar] [CrossRef]
- Muhammad, F.F.; Yahya, M.Y.; Aziz, F.; Rasheed, M.A.; Sulaiman, K. Tuning the Extinction Coefficient, Refractive Index, Dielectric Constant and Optical Conductivity of Gaq3 Films for the Application of OLED Displays Technology. J. Mater. Sci. Mater. Electron. 2017, 28, 14777–14786. [Google Scholar] [CrossRef]
- Toptygin, D. Effects of the Solvent Refractive Index and Its Dispersion on the Radiative Decay Rate and Extinction Coefficient of a Fluorescent Solute. J. Fluoresc. 2003, 13, 201–219. [Google Scholar] [CrossRef]
- Nofriandi, A.; Hamdi; Ratnawulan; Yulkifli. Ultra-Sensitive Light Detection Technologies Based on Single-Photon Detectors: A Review. Sens. Technol. 2024, 2, 2404268. [Google Scholar] [CrossRef]
- Zhu, Y.; Wang, A. Miniature Fiber-Optic Pressure Sensor. IEEE Photon. Technol. Lett. 2005, 17, 447–449. [Google Scholar] [CrossRef]
- Hu, C.; Muller-Karger, F.E.; Zepp, R.G. Absorbance, Absorption Coefficient, and Apparent Quantum Yield: A Comment on Common Ambiguity in the Use of These Optical Concepts. Limnol. Oceanogr. 2002, 47, 1261–1267. [Google Scholar] [CrossRef]
- Lalanne, P.; Yan, W.; Vynck, K.; Sauvan, C.; Hugonin, J. Light Interaction with Photonic and Plasmonic Resonances. Laser Photonics Rev. 2018, 12, 1700113. [Google Scholar] [CrossRef]
- Zhao, X.-H.; Wang, F.; Hu, D.-Y.; Lu, L.-M.; Li, L.; Tang, T.-Y.; Tang, Y.-L. Effect of Hydrostatic Pressure on the Structural, Elastic, and Optoelectronic Properties of Vacancy-Ordered Double Perovskite Cs2PdBr6. J. Mol. Model. 2022, 28, 337. [Google Scholar] [CrossRef] [PubMed]
- Schwarz, K.; Blaha, P. Solid State Calculations Using WIEN2k. Comput. Mater. Sci. 2003, 28, 259–273. [Google Scholar] [CrossRef]
- Orio, M.; Pantazis, D.A.; Neese, F. Density Functional Theory. Photosynth. Res. 2009, 102, 443–453. [Google Scholar] [CrossRef]
- Gould, T.; Pittalis, S. Local Density Approximation for Excited States. Phys. Rev. X 2024, 14, 041045. [Google Scholar] [CrossRef]






Disclaimer/Publisher’s Note: The statements, opinions and data contained in all publications are solely those of the individual author(s) and contributor(s) and not of MDPI and/or the editor(s). MDPI and/or the editor(s) disclaim responsibility for any injury to people or property resulting from any ideas, methods, instructions or products referred to in the content. |
© 2025 by the authors. Licensee MDPI, Basel, Switzerland. This article is an open access article distributed under the terms and conditions of the Creative Commons Attribution (CC BY) license (https://creativecommons.org/licenses/by/4.0/).
Share and Cite
Farooq, U.; Israr, N.; Hassan, B.; Alnakhlani, A.; Kallel, M.; Rehman, W.u.; Wang, Y.-L. Unveiling the Impact of 0–20 Gpa Hydrostatic Pressure on the Physical Properties of (Cs2HfCl6) Double Perovskite. Crystals 2025, 15, 395. https://doi.org/10.3390/cryst15050395
Farooq U, Israr N, Hassan B, Alnakhlani A, Kallel M, Rehman Wu, Wang Y-L. Unveiling the Impact of 0–20 Gpa Hydrostatic Pressure on the Physical Properties of (Cs2HfCl6) Double Perovskite. Crystals. 2025; 15(5):395. https://doi.org/10.3390/cryst15050395
Chicago/Turabian StyleFarooq, Umar, Nabeel Israr, Belqees Hassan, Ali Alnakhlani, Mohamed Kallel, Wasif ur Rehman, and Yong-Long Wang. 2025. "Unveiling the Impact of 0–20 Gpa Hydrostatic Pressure on the Physical Properties of (Cs2HfCl6) Double Perovskite" Crystals 15, no. 5: 395. https://doi.org/10.3390/cryst15050395
APA StyleFarooq, U., Israr, N., Hassan, B., Alnakhlani, A., Kallel, M., Rehman, W. u., & Wang, Y.-L. (2025). Unveiling the Impact of 0–20 Gpa Hydrostatic Pressure on the Physical Properties of (Cs2HfCl6) Double Perovskite. Crystals, 15(5), 395. https://doi.org/10.3390/cryst15050395

