Next Article in Journal
Structural and Textural Properties of Al/Cu- and Al/Zn-Pillared Clays for Ethanol Conversion
Previous Article in Journal
Trapiche Garnets in Chun’an, Zhejiang Province, China: New Constraints from Their Gemology, Geochemistry, and Geochronology
 
 
Font Type:
Arial Georgia Verdana
Font Size:
Aa Aa Aa
Line Spacing:
Column Width:
Background:
Article

Crystal Growth and Energy Transfer Study in Ce3+ and Pr3+ Co-Doped Lu2Si2O7

1
Graduate School of Engineering, Tohoku University, 6-6 Aramaki Aza Aoba, Aoba-ku, Sendai 980-8579, Miyagi, Japan
2
Institute for Materials Research, Tohoku University, 2-1-1 Katahira, Aoba-ku, Sendai 980-8577, Miyagi, Japan
3
New Industry Creation Hatchery Center (NICHe), Tohoku University, 6-6-10 Aramaki Aza Aoba, Aoba-ku, Sendai 980-8579, Miyagi, Japan
4
Institute of Laser Engineering, Osaka University, 2-6 Yamadaoka, Suita 565-0871, Osaka, Japan
*
Authors to whom correspondence should be addressed.
Crystals 2025, 15(3), 202; https://doi.org/10.3390/cryst15030202
Submission received: 20 January 2025 / Revised: 13 February 2025 / Accepted: 17 February 2025 / Published: 20 February 2025
(This article belongs to the Special Issue Growth and Properties of Novel Scintillator Crystals)

Abstract

Ce-doped Lu2Si2O7 has a high density, high luminescence efficiency even at high temperatures, and a high effective atomic number, making it a promising candidate for use as a radiation detector in medical devices and resource exploration equipment. In this study, we grow and characterize Pr3+ and Ce3+-doped Lu2Si2O7 single crystals by systematically varying the Ce3+ to Pr3+ ratio to further improve scintillation properties. The optical characterization results show a bidirectional energy transfer: from the Pr3+ 5d levels to the Ce3+ 5d levels and from the Ce3+ 5d levels to the Pr3+ 4f levels. Consistently with this result, the PL decay time of emission from the Pr3+ 5d–4f transition tends to become faster as the Ce3+/Pr3+ ratio increases, due to the energy transfer from the Pr3+ 5d levels to the Ce3+ 5d levels. Additionally, (Ce0.0022 Pr0.0016 Lu0.9962)2Si2O7 exhibits a high light yield comparable to Ce-doped Lu2Si2O7 and a slightly faster decay time than Ce-doped Lu2Si2O7.

1. Introduction

Scintillators have numerous applications, including medical imaging, homeland security, radiation dosimetry, geological exploration, high-energy physics, nuclear power plants, and space exploration. Among these applications, the improvement of the characteristics of scintillators is particularly crucial in medical imaging, as the radiation exposure can have significant effects on the human body. The typical scintillation properties are density, effective atomic number, light yield (LY), decay time, and energy resolution [1]. In the pursuit of an ideal scintillator that meets these criteria, different kinds of host materials have been developed, including Lu2SiO5, Gd2SiO5, and Bi4Ge3O12 [1,2,3]. In particular, Lu2Si2O7 (LPS) is one of the promising inorganic scintillator host materials due to its high density (6.23 g/cm3) and high effective atomic number (Zeff = 64) [4]. As a luminescent center, the Ce3+ 5d–4f transition, being a parity- and spin-allowed transition, is anticipated to exhibit high luminescence efficiency and a fast decay time. Consequently, Ce3+-doped Lu2Si2O7 (Ce:LPS) scintillators exhibit a relatively high LY up to 26,300 photons/MeV and a fast decay time of 38 ns. In addition, through their study, Pr3+-doped scintillators have been reported to exhibit a faster decay time than Ce3+ [1]. In Pr:LPS, the scintillation and optical properties have been investigated, demonstrating a faster decay time (~26 ns) compared to Ce:LPS [5,6,7]. Furthermore, recent studies have found that Pr:LPS shows the highest scintillation LY (9700 photons/MeV) among Pr:Y2Si2O7 and Pr:Gd2Si2O7 [7,8,9]. Other LPS scintillation materials doped with various luminescent centers, such as Tm:LPS and Nd:LPS, have also been developed [10,11]. However, these scintillation LYs remain relatively low at 2340 photons/MeV and 800 photons/MeV, respectively.
For further improvement of scintillation properties, e.g., afterglow, decay time, and LY, the co-doping method has been widely attempted. As an example of afterglow improvement, Bi3+ co-doped Tl:CsI [12] has been shown to successfully reduce the afterglow to 0.1% without compromising the light yield. Additionally, Yb2+ co-doped Tl:CsI [13] has been found to achieve a high LY of 90,000 photons/MeV, a good energy resolution of 7.9% (511 keV, FWHW), and a significantly reduced afterglow of 0.035%. On the other hand, Mg2+ co-doped Ce:Gd3Al5O12 [14] is an example where the decay time is improved, with an increase in the fast component and an acceleration of the decay time from 90 ns to 40 ns. In addition, Na+ co-doped Ce:LiCaAlF6 [15] has been reported as an improvement of LY by increasing the Ce3+ concentration and reducing defects in the crystal. Recent studies have shown a rising interest in improving scintillation properties by co-doping with Ce3+ and Pr3+. In fact, Pr3+ co-doped Ce:Lu0.8Sc0.2BO3 [16] has been reported to exhibit a high scintillation efficiency, while Pr3+ co-doped Ce:Li6Y(BO3)3 [17] shows promise as a fast scintillator for thermal neutron detection. In the case of Ce:LPS, Feng et al. examined a Pr3+ co-doped Ce:LPS scintillator with Pr3+ while keeping the concentrations of Ce3+ and Pr3+ fixed at 0.05 mol%, and reported that the Pr3+ co-doping enhances the luminescence intensity [18]. Therefore, in this study, we concentrate on optimizing the Ce3+/Pr3+ ratio to improve the scintillation properties. We grow and characterize Pr3+ co-doped Ce:LPS single crystals, systematically varying the Ce3+/Pr3+ ratios.

2. Materials and Methods

Powders of Lu2O3, CeO2, and SiO2 with purities of at least 99.99% and a Pr2O3 powder with a purity of 99.9% were used for crystal growth. After weighing these powders with a composition of (Cex Pry Lu1−x−y)2Si2O7 ((x, y) = (0.005, 0.000), (0.002, 0.005), (0.005, 0.005), (0.010, 0.005), (0.000, 0.005)), the powders were wet mixed with an agate mortar and ethanol. Subsequently, they were placed into the iridium crucible with a ϕ3 mm die and one capillary. The micro-pulling-down (μ-PD) method [19], employing a μ-PD furnace equipped with a radiofrequency induction heating system and a vacuum-tight chamber, was used for crystal growth. The LPS was utilized as the seed crystal and was pulled down at a rate of 0.03 mm/min in an argon and oxygen mixed gas flow. Following the crystal growth, the furnace output was slowly decreased to room temperature over the course of 5 h.
In the grown crystals, the crystal structures and actual compositions were determined by the powder X-ray diffraction (XRD) technique (D8 DISCOVER, Bruker, Yokohama, Japan, Cu Kα radiation, λ = 1.5418 Å) and the electron probe microanalyzer (EPMA, S–3400N, Hitachi, Tokyo, Japan), respectively. After that, we measured the absorption spectra with a spectrophotometer (V–550, JASCO, Tokyo, Japan). The photoluminescence (PL) excitation, emission spectra, and PL decay times were obtained by a spectrometer (FLS 1000, Edinburgh Instruments, Edinburgh, UK) with a Xe lamp as an excitation source and a nanosecond flash lamp, respectively. To evaluate the temperature dependence of the PL decay time, a vacuum liquid nitrogen cryostat (VPF–100–H, Lake Shore Cryotronics, Westerville, OH, USA) was employed, enabling temperature adjustments between 78 K and 790 K, in combination with the spectrometer (FLS1000, Edinburgh Instruments, Edinburgh, UK). Thereafter, we evaluated the light yield and the scintillation decay times at room temperature using a gamma-ray source (137Cs, 662 keV). The light photons emitted by the scintillator were detected and converted by a photomultiplier tube (PMT, R7600U–200, Hamamatsu, Japan) into an electrical pulse. Following that, they were amplified by a preamplifier (113, ORTEC, Zoetermeer, The Netherlands), shaped by a shaper (572A, ORTEC), using a shaping time of 0.5 μs, and digitized with a multi-channel analyzer (MCA, 8000A, Amptec, Austin, TX, USA).

3. Results and Discussions

We successfully grew transparent crystals having a 3 mm diameter and lengths ranging from 15 to 50 mm (Figure 1). From the powder XRD results (see Figure 2), the diffraction patterns were found to correspond well with the reference pattern (Lu2Si2O7, PDF 34–0509). Furthermore, the crystalline structure of all samples was considered to be monoclinic with a space group C2/m. Table 1 shows the composition of all samples evaluated by EPMA. The actual composition of the host material closely matched the nominal composition. On the other hand, the actual composition of Ce3+ and Pr3+ was lower than that of the nominal compositions. This is due to the difference in the ionic radius: the ionic radius of Ce3+ (1.034 Å) and Pr3+ (1.013 Å) at the six coordinates is larger than that of Lu3+ (0.848 Å), making it difficult for Ce3+ and Pr3+ to occupy the Lu3+ sites [20,21,22]. Table 2 shows the Ce3+/Pr3+ ratio for both the nominal and actual compositions of each sample. The Ce0.2 Pr0.5 and Ce0.5 Pr0.5 samples show similar ratios. To facilitate the discussion of the Ce3+/Pr3+ ratio, the samples are described using the Ce3+ to Pr3+ ratio based on the actual composition.
Figure 3a shows the absorption spectra of (Cex Pry Lu1−x−y)2Si2O7, where absorption peaks associated with Ce3+ 4f–5d transitions were observed in the 265–370 nm range for all Ce3+ and Pr3+ co-doped samples. Moreover, in the samples doped with Pr3+, absorption peaks consistent with the Pr3+ 4f–5d transitions were detected in the 200–265 nm range, along with a minor peak attributed to the Pr3+ 4f–4f transition around 485 nm. Based on the absorption spectra, Figure 3b shows PL emission spectra for excitation at the Ce3+ 4f–5d1 transition (349 nm). The emission spectra revealed not only the broad emission of the Ce3+ 5d–4f transitions, but also the sharp emissions originating from the Pr3+ 4f–4f transitions. From these observations, it can be concluded that the energy transfer from the Ce3+ 5d levels to the Pr3+ 4f levels occurs. The PL emission spectra, excited at the Pr3+ 4f–5d1 transition (247 nm), is shown in Figure 3c. The emission peaks corresponding to the Pr3+ 5d–4f transitions, Ce3+ 5d–4f transitions, and Pr3+ 4f–4f transitions were observed in the wavelength range of 250–350 nm, 350–500 nm, and 545–670 nm, respectively. This suggests that the energy transfer from Pr3+ 5d levels to Ce3+ 5d levels is also taking place. The excitation spectra for Ce3+ 5d–4f emissions (383 nm) is shown in Figure 3d. The peaks attributed to both the Ce3+ 4f–5d transition and the Pr3+ 4f–5d transition were identified in the excitation spectra. The emission peaks’ wavelength derived from the Pr3+ 5d–4f transitions, shown in Figure 3c, overlaps with the excitation peak derived from the Ce3+ 4f–5d2 transition. This suggests that both non-radiative and radiative energy transfers from the Pr3+ 5d levels to the Ce3+ 5d levels are expected to occur. Figure 4a shows the PL decay curves for the luminescence from the Ce3+ 5d–4f transition (λex = 349 nm, λem = 383 nm). Each decay curve was fitted with a single exponential equation. The PL decay times are presented in Table 3, indicating that the co-doped samples exhibited slightly accelerated decay times compared to Ce:LPS. Since Ce:LPS has been reported to have no concentration quenching at Ce3+ concentrations below 1.3 atm%, the accelerated PL decay time is probably due to the energy transfer from Ce3+ 5d levels to Pr3+ 4f levels [23]. Figure 4b displays the PL decay curves for the luminescence from the Pr3+ 5d–4f transition (λex = 247 nm, λem = 303 nm). The PL decay times of the co-doped samples were calculated using double exponential fitting, revealing that the PL decay times of the co-doped samples were faster compared to those of Pr:LPS, as shown in Table 3. In Pr:LPS, the PL decay time remained consistent across Pr3+ concentrations ranging from 0.1 to 2.0%, suggesting that the faster PL decay time is likely due to an energy transfer from the Pr3+ 5d levels to the Ce3+ 5d levels [7]. The PL decay time accelerated with increasing Ce3+/Pr3+ ratios, possibly due to the enhanced probability of energy transfer as the Ce3+ concentration relative to Pr3+ increases.
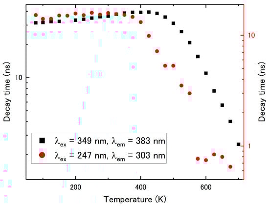
The PL decay curves of the Ce3+ 5d–4f transition and Pr3+ 5d–4f transition for the Ce/Pr1.32 sample were measured in the temperature range of 78–790 K. Figure 5 (black square) depicts the temperature dependence of the PL decay time of the luminescence from the Ce3+ 5d–4f transition, and two major trends are observed. In the temperature range below 425 K, the PL decay time increased to 39 ns as the temperature increased. Then, around 450 K, the PL decay time rapidly decreased. These trends are consistent with those reported for Ce:LPS [4,23]. At low temperatures, radiative transitions are dominant, and the increase in the PL decay time can be attributed to the increasing influence of self-absorption with a rising temperature. On the other hand, at high temperatures, the decrease in the PL decay time is attributed to the thermal ionization from the Ce3+ 5d level to the conduction band [24]. Figure 5 (red circle) illustrates the temperature dependence of the PL decay time for the luminescence from the Pr3+ 5d–4f transition. The onset of the PL decay times shortening was observed around 450 K, a phenomenon which is also attributed to temperature quenching due to thermal ionization [25].
Figure 6 depicts the pulse–height spectra under excitation with 137Cs (662 keV) as a gamma-ray source. The light yields were estimated by comparing the peak channel positions of the samples and those of the reference (Ce:Gd2SiO5, light yield: 10,000 photons/MeV), as shown in Table 3. Ce:LPS possessed a light yield of ~36,000 photons/MeV, which is significantly higher than that of Ce:LPS (~26,300 photons/MeV) reported in previous studies [4,23,26]. This is most probably influenced by the presence of several impurities and defect states (traps) [27]. As a study on electron and hole traps has also been reported [28], more detailed studies are needed to consider the effects of defects and other factors contributing to the high light yield observed in this study. Focusing on the light yield of Pr3+ co-doped Ce:LPS, the Ce/Pr1.32 sample had a high light yield, comparable to that of the conventional Ce:LPS (~26,300 photons/MeV). We also evaluated the scintillation decay time excited by 137Cs (662 keV) as a gamma-ray source, see Figure 7. The decay curve fittings were performed using a single exponential equation. The co-doping samples exhibited slightly faster decay times compared to Ce:LPS (Table 3). These results are in agreement with the PL decay results for the Ce3+ 5d–4f transitions. It is considered that the high light yield and fast decay time of the Ce/Pr1.32 sample was associated with the energy transfer from non-radiative and radiative energy transfers from the Pr3+ 5d levels to the Ce3+ 5d levels and with the energy transfer from Ce3+ 5d levels to Pr3+ 4f levels, respectively.
Table 3. PL decay time and scintillation parameters of (Cex Pry Lu1−x−y)2Si2O7 samples.
Table 3. PL decay time and scintillation parameters of (Cex Pry Lu1−x−y)2Si2O7 samples.
PL Decay Time [ns]Light Yield
[photons/MeV]
Decay Time
[ns]
λex = 349 nm
λem = 383 nm
λex = 247 nm
λem = 303 nm
ττ1τ2
Ce37.0~36,000
~26,300 [4,23,26]
39.8 ± 0.4
Ce/Pr1.0732.02.413.2~25,00034.1 ± 0.2
Ce/Pr1.3235.21.215.4~28,00036.9 ± 0.3
Ce/Pr6.8035.04.617.4~660037.7 ± 0.2
Pr——18.2————

4. Conclusions

Pr3+ co-doped Ce:LPS single crystals were grown using the micro-pulling-down method, with the Ce3+ to Pr3+ ratio systematically varied. The PL emission spectra demonstrate emissions not only from the Pr3+ 5d–4f and 4f–4f transitions, but also from the Ce3+ 5d–4f transitions under excitation at 247 nm (Pr3+ 4f–5d1 transitions). In addition, under excitation at 349 nm (Ce3+ 4f–5d1 transitions), emissions from both the Ce3+ 5d–4f transitions and the Pr3+ 4f–4f transitions were observed. Therefore, it is revealed that bidirectional energy transfers are occurring from the Pr3+ 5d levels to the Ce3+ 5d levels and from the Ce3+ 5d levels to the Pr3+ 4f levels. Moreover, the PL decay time of the Pr3+ 5d–4f transition became faster with an increasing Ce/Pr ratio due to the energy transfer from the Pr3+ 5d levels to the Ce3+ 5d levels. The scintillation characterization results revealed that the (Ce0.0022 Pr0.0016 Lu0.9962)2Si2O7 had a high light yield comparable to that of Ce:LPS, along with a slightly faster decay time compared to Ce:LPS.

Author Contributions

Conceptualization, Y.A.; investigation, Y.A. and T.H. (Takahiko Horiai); writing—original draft preparation, Y.A.; writing—review and editing, T.H. (Takahiko Horiai), Y.Y., M.Y., R.M., T.H. (Takashi Hanada), A.Y. (Akihiro Yamaji), H.S., Y.O., S.K., K.K. and A.Y. (Akira Yoshikawa); supervision, T.H. (Takahiko Horiai) and A.Y. (Akira Yoshikawa); project administration, T.H. (Takahiko Horiai) and A.Y. (Akira Yoshikawa); funding acquisition, T.H. (Takahiko Horiai) and Y.Y. All authors have read and agreed to the published version of the manuscript.

Funding

The financial support of the Japan Society for the Promotion of Science (JSPS) KAKENHI and the Grant-in-Aid for Scientific Research [K22K144690] is gratefully acknowledged. Moreover, this work was supported by the Adaptable and Seamless Technology transfer Program through Target-driven R&D (A-STEP) from the Japan Science and Technology Agency (JST), Japan grant number JPMJTR232C.

Data Availability Statement

The original contributions presented in this study are included in the article. Further inquiries can be directed to the corresponding author.

Acknowledgments

This work was supported by the GIMRT Program of the Institute for Materials Research, Tohoku University, and by the Cooperative Research and Development Center for Advanced Materials (Proposal No. 202312-CRKEQ-0410).

Conflicts of Interest

The authors declare no conflicts of interest. The funders had no role in the design of the study, in the collection, analyses, or interpretation of the data, in the writing of the manuscript, or in the decision to publish the results.

References

  1. Van Eijk, C.W.E. Inorganic-Scintillator Development. Nucl. Instrum. Methods Phys. Res. Sect. A Accel. Spectrom. Detect. Assoc. Equip. 2001, 460, 1–14. [Google Scholar] [CrossRef]
  2. Melcher, C.L.; Schweitzer, J.S. A Promising New Scintillator: Cerium-Doped Lutetium Oxyorthosilicate. Nucl. Inst. Methods Phys. Res. A 1992, 314, 212–214. [Google Scholar] [CrossRef]
  3. Takagi, K.; Fukazawa, T. Cerium-Activated Gd2SiO5 Single Crystal Scintillator. Appl. Phys. Lett. 1983, 45, 43–45. [Google Scholar] [CrossRef]
  4. Pidol, L.; Kahn-Harari, A.; Viana, B.; Ferrand, B.; Dorenbos, P.; de Haas, J.T.M.; van Eijk, C.W.E.; Virey, E. Scintillation Properties of Lu2Si2O7:Ce3+, a Fast and Efficient Scintillator Crystal. J. Phys. Condens. Matter 2003, 15, 2091–2102. [Google Scholar] [CrossRef]
  5. Nikl, M.; Ren, G.; Ding, D.; Mihokova, E.; Jary, V.; Feng, H. Luminescence and scintillation kinetics of the Pr3+ doped Lu2Si2O7 single crystal. Chem. Phys. Lett. 2010, 493, 72–75. [Google Scholar] [CrossRef]
  6. Fasoil, M.; Vedda, A.; Mihokova, E.; Nikl, M. Optical methods for the evaluation of the thermal ionization barrier of lanthanide excited states in luminescent materials. Phys. Rev. B Condes. Matter. Mater. Phys. 2012, 85, 085127. [Google Scholar] [CrossRef]
  7. Kantuptim, P.; Akatsuka, M.; Nakauchi, D.; Kato, T.; Kawaguchi, N.; Yanagida, T. Scintillation Properties of Pr-Doped Lu2Si2O7 Single Crystal. Radiat. Meas. 2020, 134, 106320. [Google Scholar] [CrossRef]
  8. Kantuptim, P.; Akatsuka, M.; Kawaguchi, N.; Yanagida, T. Optical and scintillation properties of Pr-doped Y2Si2O7 single crystal. Jpn. Appl. Phys. 2020, 59, SCCB17. [Google Scholar] [CrossRef]
  9. Kantuptim, P.; Akatsuka, M.; Nakauchi, D.; Kato, T.; Kawaguchi, N.; Yanagida, T. Scintillation characteristics of Pr-doped Gd2Si2O7 single crystal. Sens. Mater. 2020, 32, 1357–1364. [Google Scholar] [CrossRef]
  10. Kantuptim, P.; Nakauchi, D.; Kato, T.; Kawaguchi, N.; Yanagida, T. Comparative Study of Optical and Scintillation Properties of Tm-doped La2Si2O7 and Lu2Si2O7 Single Crystals. Sens. Mater. 2022, 34, 603–610. [Google Scholar] [CrossRef]
  11. Kantuptim, P.; Akatsuka, M.; Nakauchi, D.; Kato, T.; Kawaguchi, N.; Yanagida, T. Optical and scintillation properties of Nd-doped Lu2Si2O7 single crystals. J. Alloys Compd. 2021, 860, 158538. [Google Scholar] [CrossRef]
  12. Totsuka, D.; Yanagida, T.; Fujimoto, Y.; Yokota, Y.; Moretti, F.; Vedda, A.; Yoshikawa, A. Afterglow Suppression by Codoping with Bi in CsI:TI Crystal Scintillator. Appl. Phys. Express 2012, 5, 052601. [Google Scholar] [CrossRef]
  13. Wu, Y.; Ren, G.; Nikl, M.; Chen, X.; Ding, D.; Li, H.; Pan, S.; Yang, F. CsI:Tl+,Yb2+: Ultra-High Light Yield Scintillator with Reduced Afterglow. CrystEngComm 2014, 16, 3312–3317. [Google Scholar] [CrossRef]
  14. Kamada, K.; Nikl, M.; Kurosawa, S.; Beitlerova, A.; Nagura, A.; Shoji, Y.; Pejchal, J.; Ohashi, Y.; Yokota, Y.; Yoshikawa, A. Alkali Earth Co-Doping Effects on Luminescence and Scintillation Properties of Ce Doped Gd3Al2Ga3O12 Scintillator. Opt. Mater. 2015, 41, 63–66. [Google Scholar] [CrossRef]
  15. Yokota, Y.; Fujimoto, Y.; Yanagida, T.; Takahashi, H.; Yonetani, M.; Hayashi, K.; Park, I.; Kawaguchi, N.; Fukuda, K.; Yamaji, A.; et al. Crystal Growth of Na-Co-Doped Ce: LiCaAlF6 Single Crystals and Their Optical, Scintillation, and Physical Properties. Cryst. Growth Des. 2011, 11, 4775–4779. [Google Scholar] [CrossRef]
  16. Wu, Y.; Ding, D.; Pan, S.; Yang, F.; Shi, J.; Ren, G. The Luminescence and Energy Transfer in Pr3+-Ce3+ Co-Doped Lu0.8Sc0.2BO3 Crystals. J. Lumin. 2012, 132, 251–255. [Google Scholar] [CrossRef]
  17. Zhang, J.; Yin, J.; Jiang, Y.; Du, F.; Pan, S.; Li, X.; Pan, J. Growth, Luminescence and Scintillation Properties of Pr3+, Ce3+ Co-Doped Li6Y(BO3)3 Crystal. Radiat. Meas. 2019, 124, 132–136. [Google Scholar] [CrossRef]
  18. Feng, H.; Ren, G.; Li, J.; Xu, W.; Yang, Q.; Xu, J.; Xu, J.; Zhang, Y. Energy Transfer and Defects Study in Ce3+, Pr3+ Co-Doped Lu2SiO7 Crystal. IEEE Trans. Nucl. Sci. 2014, 61, 271–275. [Google Scholar] [CrossRef]
  19. Yoshikawa, A.; Nikl, M.; Boulon, G.; Fukuda, T. Challenge and Study for Developing of Novel Single Crystalline Optical Materials Using Micro-Pulling-down Method. Opt. Mater. 2007, 30, 6–10. [Google Scholar] [CrossRef]
  20. Pauwels, D.; Le Masson, N.; Viana, B.; Kahn-Harari, A.; van Loef, E.V.D.; Dorenbos, P.; Eijk, C.W.E. van A Novel Inorganic Scintillator: Lu2Si2O7:Ce3+ (LPS). IEEE Trans. Nucl. Sci. 2000, 47, 1787–1790. [Google Scholar] [CrossRef]
  21. Shannon, R.D. Revised Effective Ionic Radii and Systematic Studies of Interatomie Distances in Halides and Chaleogenides. Acta Cryst. 1976, A32, 751–767. [Google Scholar] [CrossRef]
  22. Shannon, R.D.; Prewitt, C.T. Effective Ionic Radii in Oxides and Fluorides. Acta Cryst. 1969, B25, 925–946. [Google Scholar] [CrossRef]
  23. Feng, H.; Ding, D.; Li, H.; Lu, S.; Pan, S.; Chen, X.; Ren, G. Cerium Concentration and Temperature Dependence of the Luminescence of Lu2Si2O7:Ce Scintillator. J. Alloys Compd. 2011, 509, 3855–3858. [Google Scholar] [CrossRef]
  24. Jary, V.; Nikl, M.; Kurosawa, S.; Shoji, Y.; Mihokova, E.; Beitlerova, A.; Pazzi, G.P.; Yoshikawa, A. Luminescence Character istics of the Ce3+-Doped Pyrosilicates: The Case of La-Admixed Gd2Si2O7 Single Crystals. J. Phys. Chem. C 2014, 118, 26521–26529. [Google Scholar] [CrossRef]
  25. Sójka, M.; Runowski, M.; Woźny, P.; Carlos, L.D.; Zych, E.; Lis, S. Y2(Ge,Si)O5:Pr Phosphors: Multimodal Temperature and Pressure Sensors Shaped by Bandgap Management. J. Mater. Chem. C 2021, 9, 13818–13831. [Google Scholar] [CrossRef]
  26. Horiai, T.; Kurosawa, S.; Murakami, R.; Ymaji, A.; Shoji, Y.; Ohashi, Y.; Pejchal, J.; Kamada, K.; Yoshikawa, A. Crystal growth and optical properties of Gd admixed Ce-doepd Lu2Si2O7 single crystals. J. Cryst. Growth 2017, 468, 391–394. [Google Scholar] [CrossRef]
  27. Pidol, L.; Guillot-Noel, O.; Jourdier, M.; Kahn-Harari, A.; Ferrand, B.; Dorenbos, P.; Gourier, D. Scintillation quench- ing by Ir3+ impurity in cerium doped lutetium pyrosilicate crystals. J. Phys. 2003, 15, 7815. [Google Scholar] [CrossRef]
  28. Laguta, V.; Buryi, M.; Wu, Y.; Ren, G.; Nikl, M. Electron and Hole Trapping in Ce3+-and Pr3+-Doped Lutetium Pyrosilicate Scintillator Crystals Studied by Electron Paramagnetic Resonance. Phys. Rev. Appl. 2020, 13, 044060. [Google Scholar] [CrossRef]
Figure 1. Appearance of the (Cex Pry Lu1−x−y)2Si2O7 as grown.
Figure 1. Appearance of the (Cex Pry Lu1−x−y)2Si2O7 as grown.
Crystals 15 00202 g001
Figure 2. The results of the XRD analysis for (Cex Pry Lu1−x−y)2Si2O7 crystals.
Figure 2. The results of the XRD analysis for (Cex Pry Lu1−x−y)2Si2O7 crystals.
Crystals 15 00202 g002
Figure 3. (a) Absorption spectra, (b,c) PL emission spectra (λex = 349 nm, 247 nm), (d) PL excitation spectra (λem = 383 nm) of (Cex Pry Lu1−x−y)2Si2O7 crystals.
Figure 3. (a) Absorption spectra, (b,c) PL emission spectra (λex = 349 nm, 247 nm), (d) PL excitation spectra (λem = 383 nm) of (Cex Pry Lu1−x−y)2Si2O7 crystals.
Crystals 15 00202 g003
Figure 4. PL decay curves of (Cex Pry Lu1−x−y)2Si2O7 crystals: (a) λex = 349 nm, λem = 383 nm, (b) λex = 247 nm, λem = 303 nm.
Figure 4. PL decay curves of (Cex Pry Lu1−x−y)2Si2O7 crystals: (a) λex = 349 nm, λem = 383 nm, (b) λex = 247 nm, λem = 303 nm.
Crystals 15 00202 g004
Figure 5. Temperature dependence of the PL decay times (λex = 349 nm, λem = 383 nm and λex = 247 nm, λem = 303 nm).
Figure 5. Temperature dependence of the PL decay times (λex = 349 nm, λem = 383 nm and λex = 247 nm, λem = 303 nm).
Crystals 15 00202 g005
Figure 6. Pulse–height spectra of (Cex Pry Lu1−x−y)2Si2O7 samples.
Figure 6. Pulse–height spectra of (Cex Pry Lu1−x−y)2Si2O7 samples.
Crystals 15 00202 g006
Figure 7. Decay curve of (Cex Pry Lu1−x−y)2Si2O7 samples under excitation with gamma rays from a 137Cs source.
Figure 7. Decay curve of (Cex Pry Lu1−x−y)2Si2O7 samples under excitation with gamma rays from a 137Cs source.
Crystals 15 00202 g007
Table 1. Sample compositions obtained through EPMA analysis [atm%].
Table 1. Sample compositions obtained through EPMA analysis [atm%].
LuSiCePr
C0CC/C0C0CC/C0C0CC/C0C0CC/C0
Ce0.549.7549.460.9950.0050.431.010.250.110.460.000.00――
Ce0.2 Pr0.549.6548.770.9850.0051.041.020.100.111.120.250.080.34
Ce0.5 Pr0.549.5049.601.0050.0050.091.000.250.160.640.250.150.60
Ce1.0 Pr0.549.2548.160.9850.0051.631.030.500.180.360.250.030.11
Pr0.549.7548.150.9750.0051.731.030.000.00――0.250.120.48
(C0: nominal concentration, C: actual concentration).
Table 2. The Ce3+/Pr3+ ratio for both the nominal and actual compositions of each sample and names based on these ratios.
Table 2. The Ce3+/Pr3+ ratio for both the nominal and actual compositions of each sample and names based on these ratios.
Ce3+/Pr3+Name
NominalActual
Ce0.2 Pr0.50.401.32Ce/Pr1.32
Ce0.5 Pr0.51.001.07Ce/Pr1.07
Ce1.0 Pr0.51.006.80Ce/Pr6.80
Disclaimer/Publisher’s Note: The statements, opinions and data contained in all publications are solely those of the individual author(s) and contributor(s) and not of MDPI and/or the editor(s). MDPI and/or the editor(s) disclaim responsibility for any injury to people or property resulting from any ideas, methods, instructions or products referred to in the content.

Share and Cite

MDPI and ACS Style

Abe, Y.; Horiai, T.; Yokota, Y.; Yoshino, M.; Murakami, R.; Hanada, T.; Yamaji, A.; Sato, H.; Ohashi, Y.; Kurosawa, S.; et al. Crystal Growth and Energy Transfer Study in Ce3+ and Pr3+ Co-Doped Lu2Si2O7. Crystals 2025, 15, 202. https://doi.org/10.3390/cryst15030202

AMA Style

Abe Y, Horiai T, Yokota Y, Yoshino M, Murakami R, Hanada T, Yamaji A, Sato H, Ohashi Y, Kurosawa S, et al. Crystal Growth and Energy Transfer Study in Ce3+ and Pr3+ Co-Doped Lu2Si2O7. Crystals. 2025; 15(3):202. https://doi.org/10.3390/cryst15030202

Chicago/Turabian Style

Abe, Yuka, Takahiko Horiai, Yuui Yokota, Masao Yoshino, Rikito Murakami, Takashi Hanada, Akihiro Yamaji, Hiroki Sato, Yuji Ohashi, Shunsuke Kurosawa, and et al. 2025. "Crystal Growth and Energy Transfer Study in Ce3+ and Pr3+ Co-Doped Lu2Si2O7" Crystals 15, no. 3: 202. https://doi.org/10.3390/cryst15030202

APA Style

Abe, Y., Horiai, T., Yokota, Y., Yoshino, M., Murakami, R., Hanada, T., Yamaji, A., Sato, H., Ohashi, Y., Kurosawa, S., Kamada, K., & Yoshikawa, A. (2025). Crystal Growth and Energy Transfer Study in Ce3+ and Pr3+ Co-Doped Lu2Si2O7. Crystals, 15(3), 202. https://doi.org/10.3390/cryst15030202

Note that from the first issue of 2016, this journal uses article numbers instead of page numbers. See further details here.

Article Metrics

Back to TopTop