Next Article in Journal
What Is the Limit of Quantification for the Minor Phase in Time-of-Flight Neutron Diffraction? A Case Study on Fe and Ni Powder Mixtures at VULCAN
Next Article in Special Issue
Influence of Nanocrystallite Size on Magnetic Properties of Iron Nitride γ’-Fe4N
Previous Article in Journal
Oscillating Poiseuille Flow-Induced Diffraction Grating in a Nematic Volume with Microrelief
Previous Article in Special Issue
Theoretical Study of the Magnetic Properties of the SmFe12−xMox (x = 1, 2) and SmFe10Mo2H Compounds
 
 
Font Type:
Arial Georgia Verdana
Font Size:
Aa Aa Aa
Line Spacing:
Column Width:
Background:
Article

Magnetic Properties of Fe-Nb-B-RE (RE = Tb, Tb/Y, Tb/Nd) Amorphous and Annealed Melt-Spun Ribbons

1
Institute of Materials Engineering, University of Silesia in Katowice, 75 Pułku Piechoty 1A, 41-500 Chorzów, Poland
2
Department of Physics, VŠB-Technical University of Ostrava, 17 listopadu 15/2172, 708 33 Ostrava-Poruba, Czech Republic
3
Institute of Physics, Częstochowa University of Technology, Al. Armii Krajowej 19, 42-200 Częstochowa, Poland
4
Institute of Physics, University of Silesia in Katowice, 75 Pułku Piechoty 1A, 41-500 Chorzów, Poland
*
Author to whom correspondence should be addressed.
Crystals 2025, 15(11), 933; https://doi.org/10.3390/cryst15110933
Submission received: 10 October 2025 / Revised: 26 October 2025 / Accepted: 28 October 2025 / Published: 30 October 2025
(This article belongs to the Special Issue New Trends in Materials for Permanent Magnets)

Abstract

This paper discusses the magnetic properties of Fe-Nb-B-RE (RE = Tb, Tb/Y, Tb/Nd) melt-spun ribbons. Samples were obtained using a typical melt-spinning technique. The dominant amorphous state was confirmed by XRD and thermomagnetic measurements. It was shown that the alloying additions of the RE elements used introduce magnetic anisotropy into amorphous Fe-based structures. This fact was confirmed by magnetic hysteresis loops as well as Kerr microscopy observations. Moreover, increasing Tb content leads to the appearance of a “two-step” reverse magnetization curve. The mean field theory analysis revealed that Tb addition reduces the exchange interaction between the Fe-Fe magnetic moments. The applied thermal treatment caused partial crystallization and the formation of hard magnetic phases with ultra-high coercivity.

1. Introduction

This paper investigates the magnetic properties of Fe-Nb-B-RE (RE = Tb, Tb/Y, Tb/Nd) melt-spun ribbons. It is well known that Fe-based amorphous and nanocrystalline alloys are widely used as excellent soft magnetic materials [1,2,3,4,5,6]. Among the many types of such alloys, the Fe-Nb-B family is particularly interesting due to its sensitivity to structural relaxation and nanocrystallization based on alloying additions and thermal treatment [7,8,9,10]. An appropriate Nb content helps slow down the crystallization rate, while boron influences the nucleation density of Fe nanograins. When RE additions are included, this type of material becomes a promising candidate for so-called bulk composites containing magnetically soft and hard phases [11,12,13]. Such a composition can offer several advantages, provided these two phases are magnetically coupled. One can envision designing different magnetic characteristics that combine soft and hard magnetic properties, depending on the specific application.
The motivation for this study stems from our experience with ultra-high coercive crystalline alloys of the Fe-Nb-B-RE type, which were obtained by the mold vacuum suction casting technique [14,15,16]. It was previously shown that the (Fe80Nb6B14)0.88Tb0.12 alloy has a coercive field higher than 7 T at room temperature and could potentially be used as a source of magnetic anisotropy in spring-exchange composites. The main challenge is achieving strong magnetic coupling between the ultra-high coercive and magnetically soft phases.
It is known that Tb is an element with strong spin–orbit coupling and therefore it is a source of magnetic anisotropy in many binary or ternary compounds [17,18,19], while Y is widely used as a non-magnetic atomic equivalent of Tb (or heavy rare earth elements). In our case, the substitution of Tb by Y provides an opportunity to obtain magnetic composites with hard (Tb2Fe14B) and soft (Y2Fe14B) magnetic phases. Moreover, these phases can be effectively coupled due to their similar crystal structure [16].
Amorphous Fe-Nb-B-RE alloys can serve as precursors in their as-cast state for the subsequent fabrication of crystalline magnets through thermal treatment [20]. This provides a possibility to explore a comparable crystallization pathway, initiating the process from the solid state. This approach restricts atomic diffusion to a localized reorganization of the amorphous structure and can lead to the formation of specific phase compositions which influence the resulting magnetic properties.
The aim of the present paper is to study the magnetic properties of Fe-Nb-B-RE melt-spun ribbons in the as-cast state and after thermal treatment. Specifically, we focused on the influence of the selected RE additions on magnetic anisotropy, exchange interactions, and the magnetic coupling between Fe-Fe and Fe-RE atoms. It is of great interest to determine if such a relationship exists in the amorphous iron-base phase in the absence of a long-range crystal order. Moreover, crystallization from the solid phase (i.e., from amorphous state), unlike crystallization from the liquid phase (vacuum casting suction), may yield unexpected results and offer a possibility to control the phase structure, which is the main factor influencing the magnetic properties of these alloys.

2. Experimental Procedure

The samples of (Fe80Nb6B14)1−xREx (RE = Tb, Nd, Tb/Y; 0.04 < x < 0.12) were prepared using a typical melt-spinning technique. The ingot specimen of the alloy was crushed into pieces and placed into the quartz tube with one end in the form of a nozzle. The orifice of the nozzle had a circular shape with a diameter of 0.6 mm. The nozzle was positioned above the rotating copper roll at a distance of 0.6 mm. The ingot sample was induction-molten and injected onto the surface of the copper roll with a surface linear velocity of 25 m/s. The whole process was carried out in an argon atmosphere. The thermal treatment was carried out by annealing the samples at a defined temperature for one hour. Table 1 lists all examined alloys and their shortcuts used in the text.
The X-ray diffraction technique (XRD) is a useful tool for obtaining information on crystal structures. XRD measurements were carried out using a high-resolution PANalytical Empyrean diffractometer with CuKα radiation (40 kV, 30 mA) equipped with a PIXcel detector. The diffraction patterns were collected using a 2θ scan from 10° to 90° with 0.0131° steps. Data analysis was carried out using HighScore Plus software (version 3.0d (3.0.4)) supplied by PANalytical. The software was used for both qualitative and quantitative analyses. The ICDD PDF-5 database was used to identify the phases.
Magnetic measurements were performed by means of the SQUID magnetometer (MPMS XL-7, Quantum Design) in the temperature range of 10 K to 300 K and magnetic field up to 7 T. Thermomagnetic curves at higher temperatures were obtained by the VSM system (EZ9, Microsense, MA, USA). Magnetic domain structures were determined by MOKE observations, utilizing a Zeiss optical microscope specially adapted for magneto-optical Kerr microscopy.
Magnetic exchange interactions were studied using the mean field theory (MFT) calculation procedure based on the experimental thermomagnetic curves.

3. Results

Figure 1 shows the XRD patterns for all studied alloys. Generally, the obtained results indicate a dominant amorphous state, i.e., the broad halo near the position of the main α-Fe reflex. In some cases, one can observe small traces of a crystal structure that reveal a relatively small contribution of crystalline phases attributed to α-Fe and RE2Fe14B.
Figure 2 depicts magnetic hysteresis loops measured at 10 K, 100K, 200 K and 300 K for all alloys in question. Figure 3 focuses on the low-field region to provide a clearer visualization of the coercivity.
It should be noted that in all cases, the alloys exhibit non-zero coercive fields and remanence, even at room temperature. At lower temperatures, these parameters increase significantly due to the reduction in thermal energy. For the Tb12 and Tb6/Y6 alloys, “two-step” hysteresis loops were observed. This effect clearly indicates the existence of two magnetic phases with different anisotropy fields. For further discussion, the collected values of the coercive fields are presented in Figure 4.
It is interesting to compare the Tb12, Tb8, and Tb6 alloys, for which the coercive field remarkably increases with increasing Tb content. For this series, the decrease in Tb is correlated with a relatively higher Fe contribution, which in turn accelerates the strong coercivity changes. The same conclusion can be drawn by comparing the Tb6, Tb6/Y4, and Tb8/Y4 samples. The coercive field increases across this sequence, which can be attributed either to the decreasing amount of Fe (Tb6 to Tb6/Y4) or to the increasing Tb content (Tb6/Y6 to Tb8/Y4). Finally, the replacement of 6 at.% of Y with Nd did not cause any significant changes.
Figure 5 displays the thermomagnetic curves measured in a 1 T external magnetic field over a wide temperature range, from 10 K to 700 K. From these curves, the Curie temperatures (TC) were determined and are collected in Table 2 along with other selected magnetic parameters.
As shown, the highest Curie temperature of 406 K was observed for the Tb6 alloy, a result that is likely attributed to its highest Fe contribution. For the same reason, the saturation magnetization (Ms) is also highest for Tb6, given that the magnetic moments of Tb and Fe are antiferromagnetically coupled. The values of the magnetic remanence (Mr) are relatively low and decrease with increasing temperature.
It should be noted that for the Tb12 and Tb8 alloys, the saturation magnetization (measured at 7 T) is lower at 10 K than at the other temperatures tested. This behavior can be attributed to the ferrimagnetic Fe-Tb structure and spin reorientation related to the strong deterioration of the hard magnetic properties with increasing temperature. Furthermore, it should also be mentioned that in all cases, the magnetization drops to zero for temperatures above the Curie points. Simultaneously, the relatively low TC values indicate the dominant role of the amorphous state.
Figure 6 presents the MOKE (Magneto-Optical Kerr Effect) images determined at room temperature for the (Fe80Nb6B14)0.88Tb0.12, (Fe80Nb6B14)0.88Tb0.0, and (Fe80Nb6B14)0.88Tb0.06 alloys, alongside the RE-free Fe80Nb6B14 amorphous alloy for comparison. The observed magnetic domains in the Tb-containing samples exhibit a characteristic “fingerprint” structure, particularly noticeable in Tb12 and Tb8. In contrast, the Fe80Nb6B14 sample displays a simple domain structure, which is typical of soft magnetic materials.
As a supplement to the measurements presented above, the thermomagnetic curves were used to calculate the exchange integral parameters based on the mean field theory (MFT) [21,22,23]. The application of MFT to amorphous materials required certain simplifications and assumptions. The first difficulty arose from the necessary coordination numbers (Z). The adequate Z values were estimated based on the alloy composition and the Fe-to-Tb ratio. Furthermore, we neglected exchange interactions between Tb magnetic moments, retaining only the coupling between Fe-Fe (JTT) and Fe-Tb (JTR). The obtained results are presented in Figure 7. Additionally, the values of the Curie points are included as an experimental reference, thereby revealing the resulting exchange interactions. Table 3 presents the values determined for the best fit of the calculated MFT curves to the experimental M(T) dependencies (The obtained JTT values are typical for different iron-based amorphous alloys [18,19,20], confirming the correctness of the initial assumptions. Moreover, the JTT parameters correlate well with the Curie temperatures. The strongest Fe-Fe interactions occur for the Tb6 alloy, which has the highest Fe content. Increasing the Tb addition reduces the exchange interaction between the Fe-Fe magnetic moments. Simultaneously, the Fe-Tb exchange coupling becomes stronger as the amount of Tb increases.
The Tb12 and Tb8Y4 alloys were selected as candidates for further thermal treatment, consisting of isothermal annealing for one hour at temperatures (TA) ranging from 600 K to 1050 K. It was determined that partial crystallization and corresponding changes in magnetic properties occurred above an annealing temperature of 950 K. Therefore, the presented analysis focuses on this temperature region.
Figure 8 depicts the XRD patterns for all annealed alloys. Several distinct phases were detected, including (i) the hard magnetic phase Tb2Fe14B; (ii) the soft magnetic phase Fe (BCC); (iii) Fe (FCC), which may exhibit ferromagnetic or antiferromagnetic properties; and (iv) various iron borides (Fe3B, Fe23B6, Fe2B6). Table 4 presents the quantitative analysis of the phase composition for the magnetically relevant phases (Tb2Fe14B, Fe (BCC), and Fe (FCC)). In the case of the Tb8Y4 alloy, a formation of Y2Fe14B is expected but cannot be distinguished from the Tb2Fe14B compound. A common trend is observed: the content of the hard magnetic phase Tb2Fe14B increases up to an annealing temperature (TA) of 1000 K and then gradually decreases. Simultaneously, the concentration of the Fe phase increases with increasing annealing temperature.
Figure 9 and Figure 10 depict the magnetic hysteresis loops (measured at room temperature) for the annealed Tb12 and Tb8Y4 samples, respectively. As shown, the applied annealing caused significant changes in the magnetic characteristics. In the case of the Tb12 alloy, the formation of a hard magnetic component was observed only for an annealing temperature (TA) of 1000 K. The coercive field reached a value of 1.8 T. It should be noted that the 7 T external magnetic field applied was insufficient to achieve full magnetic saturation. This hard magnetic component coexists with a soft one, which is responsible for the rapid decrease in magnetization near zero magnetic field.
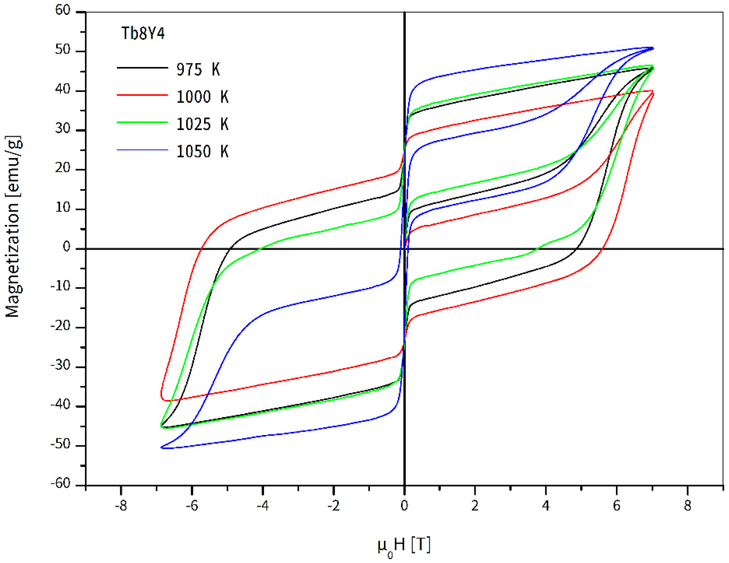
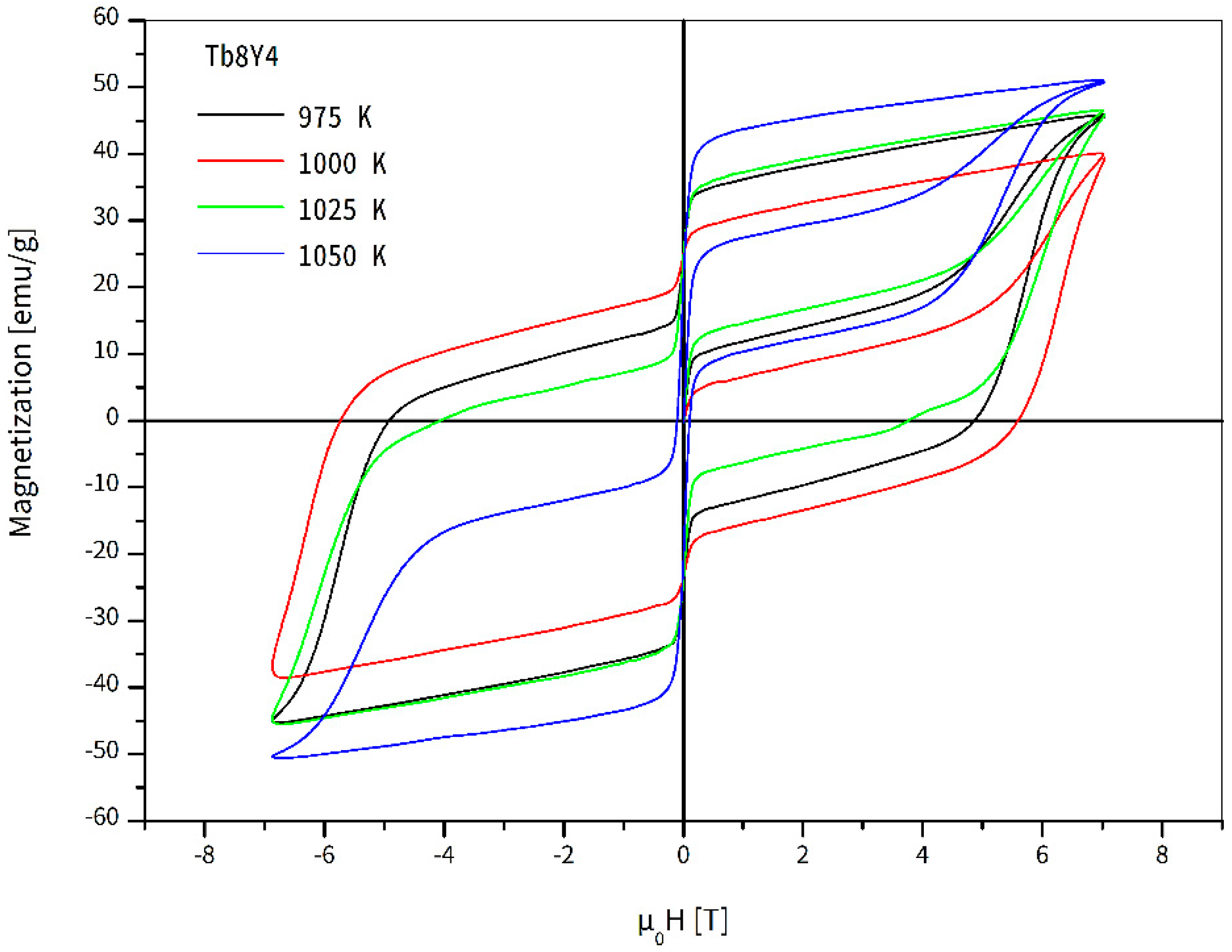
A different situation was observed for the Tb8Y4 sample. In this case, the appearance of the hard magnetic component was detected at all the presented annealing temperatures. One can see increasing magnetic hardness up to TA = 1000 K, followed by its gradual deterioration at higher annealing temperatures. The highest coercivity value, 5.77 T (TA = 1000 K), was recorded, and, similar to the previous case, the resulting hysteresis loop remained unsaturated.

4. Discussion

The alloys in the as-cast state are mainly amorphous with small traces of crystalline Fe (Tb6Y6, Tb6Nd6) and Tb2Fe14B (Tb8Y4) phases. The presence of the hard magnetic phase correlates with the room-temperature coercivity; the Tb8Y4 sample, for instance, exhibits the highest coercive field (μ0Hc = 40 G at T = 300 K). The thermomagnetic curves show a typical magnetic phase transition with one well-defined Curie point. This suggests that the magnetic response is due to a single magnetic phase or that any possible different magnetic phases are coupled. Based on the low-temperature hysteresis loops, it is clear that the Tb addition introduces magnetic anisotropy. Moreover, for the Tb12 alloy, the reverse magnetization process occurs in two steps, which reveals the existence of two distinct magnetic phases: one magnetically hard and one soft.
Irrespective of the alloy compositions, the coercive fields are strongly temperature-sensitive. For instance, the coercive field of the Tb12 sample decreases by a factor of approximately 55 in the 10 K to 200 K range (Hc10K/Hc200K). This is significantly higher than the factor of 2 observed for the (Fe80Nb6B14)0.88Tb0.12 crystalline alloy [13] or the factor of 1.3 for the (Fe80Nb6B14)0.88Tb0.06Y0.06 crystalline alloy [11]. Therefore, this extreme sensitivity can be considered a unique feature of the amorphous state and its relatively low exchange interaction (amorphous alloys generally have lower Curie temperatures than their crystalline counterparts). A thermal coefficient of coercivity decay can be determined, defined as [Hc(T1) − Hc(T2)]/(T2T1), where T1 = 10 K and T2 = 200 K. As shown in Figure 11, this parameter can be controlled by alloying additions. The highest value (42.7 Oe/K) was observed for Tb12 alloys. Decreasing the Tb content while simultaneously increasing the Fe content (Tb12 → Tb8 → Tb6) causes the coercivity decay effect to almost disappear.
One can conclude that the RE additions introduce the so-called hard magnetic properties. Furthermore, similar to crystalline equivalent alloys, the strong spin–orbit coupling of Tb atoms is responsible for the observed magnetic anisotropy. This suggests that the environment surrounding Tb atoms in our alloys is asymmetric, a condition necessary for the distortion of the Tb orbitals to occur. The magnetic anisotropy is also visible in the MOKE pictures obtained at room temperature, as shown in Figure 6.
The carried out measurements, in conjunction with the MFT analysis, clearly revealed the presence of magnetic anisotropy in the non-crystalline iron-based alloys tested. It was determined that rare earth alloying additions are responsible for this effect, primarily due to the strong spin–orbit coupling of the Tb element. The alloys with a high concentration of Tb exhibited relatively high coercive fields, reaching the value of 0.827 T at 10 K for the Tb12 alloy. Furthermore, the thermomagnetic curves rule out the possible influence of small crystalline traces on the magnetic properties. Supporting this, the amorphous nature of the examined alloys is confirmed by the observed low Curie temperatures and the strong deterioration of coercivity caused by thermal energy. These conclusions are consistent with the calculated values of the exchange integral parameter, JTT, which are about one order of magnitude lower than those in crystalline iron, a finding expected for its amorphous state.
The influence of annealing on the phase composition is particularly interesting. The XRD measurements confirm the formation of the hard magnetic phase Tb2Fe14B and the crystallization of iron into two structures: Body-Centered Cubic (BCC) and Face-Centered Cubic (FCC). The maximum content of Tb2Fe14B observed, reaching approximately 28 wt.%, is characteristic of an annealing temperature of 1000 K. At this optimal temperature, the soft magnetic Fe (BCC) content is around 27 wt.%. For higher annealing temperatures, a gradual decrease in Tb2Fe14B (down to 10 wt.%) was observed, concurrent with an increase in the Fe content. These significant changes in phase composition are expected to strongly influence the magnetic properties of the tested alloys.
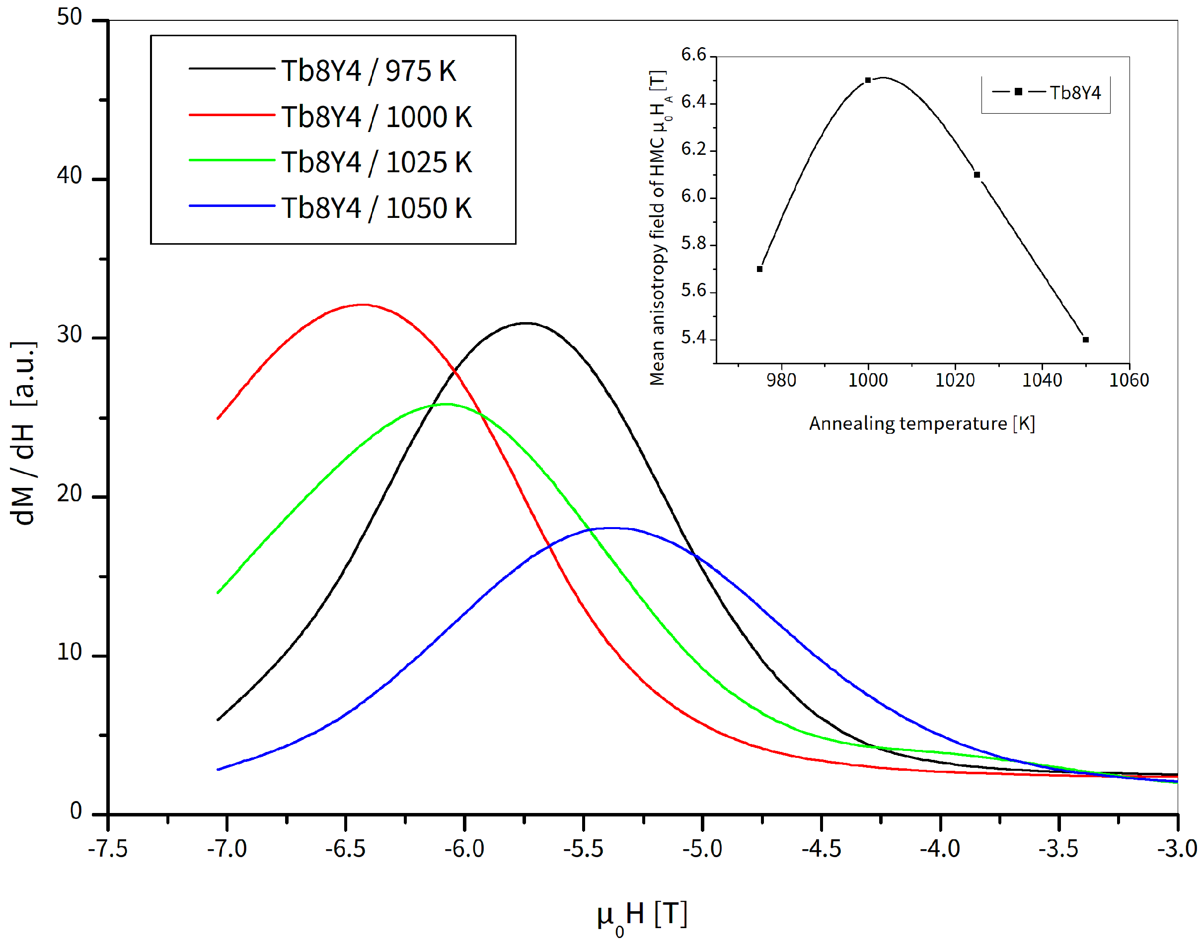
Indeed, the magnetic hysteresis loops of the annealed alloys exhibit hard magnetic properties in several cases. Surprisingly, despite the similar phase compositions of the Tb12 and Tb8Y4 alloys, the Tb12 alloy only shows a high coercivity of 1.8 T at TA = 1000 K. Higher coercive field values were consistently observed for all annealed Tb8Y4 alloys. The coercivity correlates with the Tb2Fe14B content, peaking at TA = 1000 K (5.7 T). It should be stressed that all hysteresis loops (those exhibiting coercivity) are unsaturated. This suggests the existence of magnetic moments or domains with an anisotropy field exceeding 7 T. Consequently, an analysis of the magnetic moments attributed specifically to the Fe and Tb atoms is currently impossible. Nevertheless, one can analyze the properties of the hard magnetic objects. The derivative dM/dH reflects reverse magnetization intensity and its maximum reveals the mean anisotropy field (HA) of these objects. Figure 12 presents such curves for the annealed alloys. The highest value of HA = 6.5 T was observed for the Tb8Y4 sample annealed at 1000 K. For higher values of TA, the anisotropy fields gradually decrease, reaching 5.4 T, which still can be qualified as an ultra-high value.
Another key feature of the studied alloys is the coexistence of two magnetic phases: one hard and one soft. Let us compare the saturation magnetization of Fe and Tb2Fe14B, which are approximately 200 emu/g and 40 emu/g, respectively. Based on this, 30 wt.% of uncoupled Fe should cause a higher than 50% drop in magnetization around the zero magnetic field. However, the observed “first step” of the hysteresis loop does not exceed 20% for the Tb8Y4 sample annealed at 1000 K. This discrepancy indicates that a portion of the soft phase is magnetically coupled with the hard magnetic component, operating as a spring-exchange system.
The presented results indicate that the crystallization path from the solid state yields significant differences when compared with crystallization from the liquid state (e.g., in vacuum suction rods [14,15,16]). Specifically, the annealing process promotes the preferential formation of Fe and Fe-B phases. The phase structure at the optimal TA contains approximately 30 wt.% of the hard magnetic (Tb/Y)2Fe14B compound (compared to about 90 wt.% for vacuum suction rods), a proportion that appears quite low for permanent magnet materials. Despite this low content, the coercive fields exceed 5 T at room temperature. This suggests that the co-crystallization of hard and soft magnetic phases from the solid state results in more effective exchange coupling than observed for rods crystallized from the liquid state.
Considering applications for permanent magnets, the appearance of an uncoupled soft magnetic phase is undesirable, and further investigations should focus on mitigating this problem. Nevertheless, the controlled crystallization from the solid state demonstrated the possibility of forming a magnetic bulk composite that contains partially coupled hard and soft phases. Therefore, the studied alloys show significant potential for designing new hard magnetic materials.

5. Conclusions

The conclusions regarding the Fe-Nb-B-RE (RE = Tb, Tb/Y, Tb/Nd) alloys can be summarized as follows:
  • The alloying addition of the rare earth (RE) elements introduces magnetic anisotropy into the amorphous Fe-based structure. This was confirmed by both magnetic hysteresis loops and Kerr microscopy observations.
  • Increasing the Tb content leads to the appearance of a “two-step” reverse magnetization curve. This effect is attributed to the non-perfect homogeneity of the Tb distribution, which generates regions with hard magnetic properties. The remaining part, enriched with ferromagnetically coupled Fe, exhibits soft magnetic properties. This leads to the coexistence of two magnetic phases and the characteristic shape of the magnetization curves.
  • The observed hard magnetic properties are strongly temperature-dependent. The temperature dependence of the coercive field is particularly sensitive; the decrease in coercivity with increasing temperature is approximately two orders of magnitude (≈102). This change is significantly higher than that observed for the crystalline form of the same alloys. This effect can be considered a unique feature with potential for applications in thermally sensitive devices.
  • The MFT (mean field theory) analysis revealed that the addition of Tb reduces the exchange interaction between the Fe-Fe magnetic moments. This effect correlates with the change in the Curie temperatures.
  • The applied thermal treatment (annealing for one hour) resulted in the crystallization of the hard magnetic Tb2Fe14B compound and the soft magnetic Fe (BCC) phase. Additionally, the formation of Fe (FCC) and iron–boron compounds was observed. The highest amount of Tb2Fe14B (about 30 wt.%) was observed for the TA = 1000 K and decreased to 10 wt.% for TA = 1050 K. The most desirable hard magnetic properties (maximum coercive field μ0Hc ≈ 5.7 T) were obtained for the Tb8Y4 alloy annealed at 1000 K. Also for this alloy, the determined mean anisotropy field of the hard magnetic component equaled 6.5 T.

Author Contributions

Conceptualization, A.C. and G.Z.; methodology, A.C., G.Z., O.Z. and P.P.; investigation, A.C., G.Z., O.Z., P.P. and J.K.; validation, A.C. and G.Z.; visualization, A.C. and G.Z.; writing—A.C. and G.Z.; writing—A.C. and G.Z. All authors have read and agreed to the published version of the manuscript.

Funding

O.Z. acknowledges the support from the Ministry of Education, Youth and Sports of the Czech Republic, project no. SP2025/009.

Data Availability Statement

The original contributions presented in this study are included in the article. Further inquiries can be directed to the corresponding author.

Conflicts of Interest

The authors declare no conflicts of interest.

References

  1. Kwapuliński, P.; Rasek, J.; Stokłosa, Z.; Haneczok, G. Magnetic properties and nanocrystalline alloys based on iron. J. Mater. Process. Technol. 2004, 157–158, 735–742. [Google Scholar] [CrossRef]
  2. Stokłosa, Z.; Kwapuliński, P.; Rasek, J.; Haneczok, G.; Kubisztal, M. Magnetic properties and loss separation in Fe76−xAgxNb2Si13B9 amorphous alloys. Mater. Sci. Eng. B. 2015, 196, 1–6. [Google Scholar] [CrossRef]
  3. O’Handley, R.C. Modern Magnetic Materials, Principles and Applications; John Wiley and Sons Inc.: New York, NY, USA, 2000. [Google Scholar]
  4. McHenry, M.E.; Willard, M.A.; Laughlin, D.E. Amorphous and nanocrystalline materials for applications as soft magnets. Prog. Mater. Sci. 1999, 44, 291. [Google Scholar]
  5. Herzer, G. Anisotropies in soft magnetic nanocrystalline alloys. J. Magn. Magn. Mater. 2005, 294, 99–106. [Google Scholar] [CrossRef]
  6. Kulik, T.; Ferenc, J.; Kolano-Burian, A.; Liang, X.B.; Kowalczyk, M. Magnetically soft nanomaterials for high-temperature applications. J. Alloys Compd. 2007, 434–435, 623–627. [Google Scholar] [CrossRef]
  7. Han, D.; Kim, S.; Lee, H.; Oh, H.; Son, K. Compositional tuning of the magnetocaloric effect in Fe–Nb–B alloys: Critical behavior and phase transition characteristics. Mater. Chem. Phys. 2026, 348, 131577. [Google Scholar] [CrossRef]
  8. Miglierini, M.; Kaňuch, T.; Švec, P.; Krenický, T.; Vůjtek, M.; Zbořil, R. Magnetic microstructure of NANOPERM-type nanocrystalline alloys. Phys. Status Solidi B. 2006, 243, 57–64. [Google Scholar] [CrossRef]
  9. Miglierini, M. Crystallization of NANOPERM-type amorphous alloys. J. Non-Cryst. Solids. 2008, 354, 5093–5096. [Google Scholar] [CrossRef]
  10. Rai, V.; Titov, I.; Adams, M.P.; Suzuki, K.; Kohlbrecher, J.; Michels, A. Magnetic microstructure of nanocrystalline Fe-Nb-B alloys as seen by small-angle neutron and x-ray scattering. Phys. Rev. B. 2004, 110, 054437. [Google Scholar] [CrossRef]
  11. Torkian, S.; Ghasemi, A. Energy product enhancement in sufficiently exchange-coupled nanocomposite ferrites. J. Magn. Magn. Mater. 2019, 469, 119–127. [Google Scholar] [CrossRef]
  12. Fullerton, E.E.; Jiang, J.S.; Bader, S.D. Hard/soft magnetic heterostructures: Model exchange-spring magnets. J. Magn. Magn. Mater. 1999, 200, 392–404. [Google Scholar] [CrossRef]
  13. Jiang, J.S.; Pearson, J.E.; Liu, Z.Y.; Kabius, B.; Trasobares, S.; Miller, D.J.; Bader, S.D. Improving exchange-spring nanocomposite permanent magnets. Appl. Phys. Lett. 2004, 85, 529. [Google Scholar] [CrossRef]
  14. Chrobak, A.; Ziółkowski, G.; Randrianantoandro, N.; Klimontko, J.; Chrobak, D.; Prusik, K.; Rak, J. Ultra-high coercivity of (Fe86−xNbxB14)0.88Tb0.12 bulk nanocrystalline magnets. Acta Mater. 2015, 98, 318–326. [Google Scholar] [CrossRef]
  15. Ziółkowski, G.; Chrobak, A.; Klimontko, J.; Chrobak, D.; Zivotsky, O.; Hendrych, A.; Rak, J. High coercivity in Fe-Nb-B-Dy bulk nanocrystalline magnets. Phys. Status Solidi A 2016, 213, 2954–2958. [Google Scholar] [CrossRef]
  16. Ziółkowski, G.; Chrobak, A.; Klimontko, J.; Granek, K.; Chrobak, D. Effect of Tb/Y substitution on structural and magnetic properties of Fe-Nb-B-Tb type of high-coercive alloys. J. Alloys Compd. 2019, 784, 794–799. [Google Scholar] [CrossRef]
  17. Pang, R.; Li, Y.; Wang, B.; Zhang, H.; Ma, B.; Cui, C.; He, D. Fabrication and magnetic properties of Tb-doped multiphase Pr-Tb-Fe-B magnetic nanowire arrays. Mater. Chem. Phys. 2021, 262, 124299. [Google Scholar] [CrossRef]
  18. Ceballos, A.; Charilaou, M.; Molina-Ruiz, M.; Hellman, F. Coexistence of soft and hard magnetic phases in single layer amorphous Tb–Co thin films. J. Appl. Phys. 2022, 131, 033901. [Google Scholar] [CrossRef]
  19. Wu, J.X.; Zhao, X.T.; Liu, W.; Li, Y.; Ma, J.; Song, Y.H.; Liu, L.; Ju, H.Z.; Zhang, Z.D. Magnetic properties and coercivity mechanism of high Ce-content CeNdFeB film with Tb diffusion. J. Appl. Phys. 2022, 131, 163901. [Google Scholar] [CrossRef]
  20. Fukunaga, H.; Yamaoka, M. Magnetic properties of Dy-diffused Nd–Fe–B powder prepared by crystallization from amorphous state. J. Appl. Phys. 2012, 111, 07A733. [Google Scholar] [CrossRef]
  21. Hassini, A.; Lassri, H.; Bouhdada, A.; Ayadi, M.; Krishnan, R.; Mansouri, I.; Chaker, B. Magnetic coupling in amorphous Fe80−xGdxB20 alloys. Phys. B Condens. Matter 2000, 275, 295–300. [Google Scholar] [CrossRef]
  22. Yano, K. Molecular field analysis for melt-spun amorphous Fe100−xGdx alloys (18 ≦ X ≦ 60). J. Magn. Magn. Mater. 2000, 208, 207–216. [Google Scholar] [CrossRef]
  23. Danh, T.M.; Duc, N.H.; Huty, N.P. Exchange interactions in amorphous Gd-Fe alloys. J. Magn. Magn. Mater. 1998, 185, 105–108. [Google Scholar] [CrossRef]
Figure 1. XRD patterns for all studied alloys.
Figure 1. XRD patterns for all studied alloys.
Crystals 15 00933 g001
Figure 2. Magnetic hysteresis loops for all studied cases in the external magnetic field ± 7 T.
Figure 2. Magnetic hysteresis loops for all studied cases in the external magnetic field ± 7 T.
Crystals 15 00933 g002
Figure 3. Magnetic hysteresis loops for all studied cases in the external magnetic fields related to their coercivity.
Figure 3. Magnetic hysteresis loops for all studied cases in the external magnetic fields related to their coercivity.
Crystals 15 00933 g003
Figure 4. Values of coercive fields for all studied cases.
Figure 4. Values of coercive fields for all studied cases.
Crystals 15 00933 g004
Figure 5. Thermomagnetic curves measured in 1 T external magnetic field for all studied cases.
Figure 5. Thermomagnetic curves measured in 1 T external magnetic field for all studied cases.
Crystals 15 00933 g005
Figure 6. MOKE pictures for (Fe80Nb6B14)0.88Tb0.12 (a), (Fe80Nb6B14)0.88Tb0.08 (b), (Fe80Nb6B14)0.88Tb0.06 (c) and Fe80Nb6B14 (d) amorphous alloys.
Figure 6. MOKE pictures for (Fe80Nb6B14)0.88Tb0.12 (a), (Fe80Nb6B14)0.88Tb0.08 (b), (Fe80Nb6B14)0.88Tb0.06 (c) and Fe80Nb6B14 (d) amorphous alloys.
Crystals 15 00933 g006
Figure 7. Exchange integral parameters JTT, |JTR| and the Curie temperature TC (determined from thermomagnetic curves) for (Fe80Nb6B14)0.88Tb0.12, (Fe80Nb6B14)0.88Tb0.08 and (Fe80Nb6B14)0.88Tb0.06 amorphous alloys.
Figure 7. Exchange integral parameters JTT, |JTR| and the Curie temperature TC (determined from thermomagnetic curves) for (Fe80Nb6B14)0.88Tb0.12, (Fe80Nb6B14)0.88Tb0.08 and (Fe80Nb6B14)0.88Tb0.06 amorphous alloys.
Crystals 15 00933 g007
Figure 8. The XRD patterns (determined at room temperature) for (Fe80Nb6B14)0.88Tb0.12 and (Fe80Nb6B14)0.88Tb0.08Y0.04 annealed at different temperatures for one hour (marked in colors).
Figure 8. The XRD patterns (determined at room temperature) for (Fe80Nb6B14)0.88Tb0.12 and (Fe80Nb6B14)0.88Tb0.08Y0.04 annealed at different temperatures for one hour (marked in colors).
Crystals 15 00933 g008
Figure 9. Magnetic hysteresis loop (determined at room temperature) for (Fe80Nb6B14)0.88Tb0.12 annealed at different temperatures for one hour (marked in colors).
Figure 9. Magnetic hysteresis loop (determined at room temperature) for (Fe80Nb6B14)0.88Tb0.12 annealed at different temperatures for one hour (marked in colors).
Crystals 15 00933 g009
Figure 10. Magnetic hysteresis loop (determined at room temperature) for (Fe80Nb6B14)0.88Tb0.08Y0.04 annealed at different temperatures for one hour (marked in colors).
Figure 10. Magnetic hysteresis loop (determined at room temperature) for (Fe80Nb6B14)0.88Tb0.08Y0.04 annealed at different temperatures for one hour (marked in colors).
Crystals 15 00933 g010
Figure 11. Thermal coercivity coefficient for all studied cases.
Figure 11. Thermal coercivity coefficient for all studied cases.
Crystals 15 00933 g011
Figure 12. Derivatives dM/dH for the annealed alloys. The inset shows the mean anisotropy fields determined from dM/dH curves.
Figure 12. Derivatives dM/dH for the annealed alloys. The inset shows the mean anisotropy fields determined from dM/dH curves.
Crystals 15 00933 g012
Table 1. Chemical compositions and shortcuts for all studied alloys.
Table 1. Chemical compositions and shortcuts for all studied alloys.
AlloyShortcut
(Fe80Nb6B14)0.88Tb0.12Tb12
(Fe80Nb6B14)0.92Tb0.08Tb8
(Fe80Nb6B14)0.94Tb0.06Tb6
(Fe80Nb6B14)0.88Tb0.08Y0.04Tb8Y4
(Fe80Nb6B14)0.88Tb0.06Y0.06Tb6Y6
(Fe80Nb6B14)0.88Tb0.06Nd0.06Tb6Nd6
Table 2. Curie temperatures Tc, saturation magnetization Ms (measured at 7 T), magnetic remanence Mr and coercive field Hc for all studied alloys.
Table 2. Curie temperatures Tc, saturation magnetization Ms (measured at 7 T), magnetic remanence Mr and coercive field Hc for all studied alloys.
AlloyTc
[K]
Ms (7 T)
[emu/g]
Mr
[emu/g]
µ0Hc
[G]
10 K300 K10 K200 K300 K10 K200 K300 K
Tb1238512.8515.598.1350.37827015010
Tb84005356.5436.553.120.439802014
Tb640681.3267.516.270.120.561501110
Tb8Y438741.9338.7133.996.32.24469016040
Tb6Y635460.446.3534.56.850.0051940506
Tb6Nd637869.6451.0426.381.770.291330308
Table 3. Calculated exchange integral parameters JTT (Fe-Fe) and JTR (Fe-Tb) for selected amorphous alloys.
Table 3. Calculated exchange integral parameters JTT (Fe-Fe) and JTR (Fe-Tb) for selected amorphous alloys.
AlloyJTT [10−22 J]JTR [10−22 J]
Tb127.45−4.17
Tb89.01−2.82
Tb69.25−2.53
Table 4. Phase composition (wt.%) of Tb2Fe14B, Fe (BCC), Fe (FCC) for Tb12 and Tb8Y4 alloys annealed at different temperatures for one hour. In the case of the Tb8Y4 alloy, the values include a mixture of Tb2Fe14B and Y2Fe14B.
Table 4. Phase composition (wt.%) of Tb2Fe14B, Fe (BCC), Fe (FCC) for Tb12 and Tb8Y4 alloys annealed at different temperatures for one hour. In the case of the Tb8Y4 alloy, the values include a mixture of Tb2Fe14B and Y2Fe14B.
Alloy/TATb2Fe14BFe (BCC)Fe (FCC)
Tb12/975 K222814
Tb12/1000 K282816
Tb12/1025 K193019
Tb12/1050 K102919
Tb8Y4/975 K222626
Tb8Y4/1000 K272722
Tb8Y4/1025 K153136
Tb8Y4/1050 K102839
Disclaimer/Publisher’s Note: The statements, opinions and data contained in all publications are solely those of the individual author(s) and contributor(s) and not of MDPI and/or the editor(s). MDPI and/or the editor(s) disclaim responsibility for any injury to people or property resulting from any ideas, methods, instructions or products referred to in the content.

Share and Cite

MDPI and ACS Style

Chrobak, A.; Ziółkowski, G.; Zivotsky, O.; Pawlik, P.; Klimontko, J. Magnetic Properties of Fe-Nb-B-RE (RE = Tb, Tb/Y, Tb/Nd) Amorphous and Annealed Melt-Spun Ribbons. Crystals 2025, 15, 933. https://doi.org/10.3390/cryst15110933

AMA Style

Chrobak A, Ziółkowski G, Zivotsky O, Pawlik P, Klimontko J. Magnetic Properties of Fe-Nb-B-RE (RE = Tb, Tb/Y, Tb/Nd) Amorphous and Annealed Melt-Spun Ribbons. Crystals. 2025; 15(11):933. https://doi.org/10.3390/cryst15110933

Chicago/Turabian Style

Chrobak, Artur, Grzegorz Ziółkowski, Ondrej Zivotsky, Piotr Pawlik, and Joanna Klimontko. 2025. "Magnetic Properties of Fe-Nb-B-RE (RE = Tb, Tb/Y, Tb/Nd) Amorphous and Annealed Melt-Spun Ribbons" Crystals 15, no. 11: 933. https://doi.org/10.3390/cryst15110933

APA Style

Chrobak, A., Ziółkowski, G., Zivotsky, O., Pawlik, P., & Klimontko, J. (2025). Magnetic Properties of Fe-Nb-B-RE (RE = Tb, Tb/Y, Tb/Nd) Amorphous and Annealed Melt-Spun Ribbons. Crystals, 15(11), 933. https://doi.org/10.3390/cryst15110933

Note that from the first issue of 2016, this journal uses article numbers instead of page numbers. See further details here.

Article Metrics

Back to TopTop