Next Article in Journal
Preparation of Temperature-Responsive Janus Nanosheets and Their Application in Emulsions
Previous Article in Journal
LiCl@C-BMZIF Porous Composites: Synthesis, Structural Characterization, and the Effects of Carbonization Temperature and Salt Loading on Thermochemical Energy Storage
 
 
Font Type:
Arial Georgia Verdana
Font Size:
Aa Aa Aa
Line Spacing:
Column Width:
Background:
Article

Barium Carbonate Synthesized via Hydrolysis: Morphostructural Analysis and Photocatalytic Performance in Polymer and Geopolymer Matrices

by
Adriana-Gabriela Schiopu
1,2,
Maria-Ionela Popescu
1,*,
Chaima Assamadi
3,
Ecaterina Magdalena Modan
4,
Sorin Georgian Moga
4,
Denis Aurelian Negrea
4,
Mihai Oproescu
5,
Soumia Aboulhrouz
6,
Hakima Aouad
3 and
Miruna-Adriana Ioța
1,7
1
Doctoral School Materials Science and Engineering, National University of Science and Technology POLITEHNICA Bucharest, Splaiul Independentei No. 313, Sector 6, 060042 Bucharest, Romania
2
Faculty of Mechanics and Technology, Pitesti University Centre, National University of Science and Technology POLITEHNICA Bucharest, 110040 Pitesti, Romania
3
Laboratory of Physicochemistry of Materials and Environment, Faculty of Science Semlalia, Cadi Ayyad University, Bd. Abdelkrim El Khattabi, B.P. 511, Marrakech 40000, Morocco
4
Regional Center of Research & Development for Materials, Processes and Innovative Products Dedicated to the Automotive Industry (CRC&D-AUTO), Pitesti University Centre, National University of Science and Technology POLITEHNICA Bucharest, 110040 Pitesti, Romania
5
Faculty of Electronics, Communication and Computers, Pitesti University Centre, National University of Science and Technology POLITEHNICA Bucharest, 110040 Pitesti, Romania
6
Materials Science, Energy and Nanoengineering Department (MSN), Mohammed VI Polytechnic University (UM6P), Lot 660-Hay Moulay Rachid, Benguerir 43150, Morocco
7
National Research & Development Institute for Nonferrous and Rare Metals—IMNR, Biruintei Blvd. 178-184, Pantelimon, 077145 Ilfov, Romania
*
Author to whom correspondence should be addressed.
Crystals 2025, 15(10), 890; https://doi.org/10.3390/cryst15100890 (registering DOI)
Submission received: 1 September 2025 / Revised: 4 October 2025 / Accepted: 8 October 2025 / Published: 15 October 2025
(This article belongs to the Section Inorganic Crystalline Materials)

Abstract

Barium carbonate (BaCO3) nanoparticles were synthesized by a facile hydrolysis route using BaCl2 and KOH in aqueous solution, with atmospheric CO2 as the carbonate source, without external agents. Their structural and morphological properties were investigated by XRD, ATR-FTIR, SEM, and BET, confirming the formation of a pure orthorhombic witherite phase with rod-like morphology and different surface specific areas. The crystallite size increased from 52 to 86 nm with higher precursor concentration and synthesis temperature, as predicted by a regression model correlating synthesis parameter with particle growth. When incorporated into polymer (PVC) and geopolymer (GP) matrices, BaCO3 enhanced the photocatalytic degradation of methylene blue (MB) under solar light, with GP@Nano-BaCO3 achieving a higher rate constant compared to PVC@Nano-BaCO3. The results highlight that the synthesis strategy yields well-defined BaCO3 nanoparticles with tunable structural features and promising photocatalytic potential when integrated in functional polymer matrices. Future work will address doping strategies and testing in real wastewater conditions. Overall, this synthesis strategy offers a reproducible and environmentally friendly route to BaCO3 nanoparticles with potential applications in hybrid materials for visible light-driven environmental remediation.

1. Introduction

The development and optimization of visible light-sensitive photocatalysts are a strategic research area that combines high catalytic performance with the principles of the circular economy and green chemistry, offering promising prospects for the industrial-scale implementation of advanced water treatment technologies. Visible light-activated photocatalysts have attracted considerable interest in recent decades due to their potential to provide sustainable solutions for the treatment of contaminated water [1,2,3]. Unlike systems based on UV radiation, the use of the visible spectrum allows for a more efficient use of natural light sources and reduces the energy costs associated with treatment processes. In particular, the application of these materials in the photodegradation of organic dyes from aqueous solutions responds to a pressing environmental problem, as these pollutants are highly resistant to biological degradation and can have significant toxic effects on aquatic ecosystems [1,2,3]. Barium carbonate (BaCO3) can play a relevant role in the photodegradation processes of organic dyes, such as methylene blue, both through its intrinsic properties and through the synergistic effects obtained in combination with other photocatalysts.
BaCO3 has recently attracted interest as a photocatalyst active under visible light, exhibiting a band gap of approximately 3.3 eV and high efficiency in the degradation of organic dyes, e.g., Crystal Violet, with yields up to 91% under optimal conditions [4]. The photocatalytic mechanism is based on the generation of electron–hole pairs, followed by the formation of reactive oxygen species (•OH, O2•), which determine the mineralization of pollutants. Compared to TiO2, a reference standard with a band gap of ~3.2 eV, which is doping-dependent for the extension into the visible region, and ZnO, comparable in terms of band gap, BaCO3 demonstrates an intrinsic sensitivity to visible light and good recyclability associated with stability and low cost [4,5,6,7].
In the literature, the synthesis of barium carbonate (BaCO3) nanostructures has been intensively explored by using various methods, including microwave-assisted techniques, green biosynthesis, homogeneous precipitation, and synthesis in hydroalcoholic media [4,8,9,10,11].
The diversity of methods for the synthesis of barium carbonate (BaCO3) nanostructures presented in the literature highlights a close correlation between the choice of precursors, the reaction conditions, and the final morphology of the material. Comparative studies have shown that the use of barium salts such as Ba(CH3COO)2, BaCl2, or Ba(NO3)2 in combination with surfactants (cetyl trimethyl ammonium bromide, sodium dodecyl sulphate, Tween 80) allows controlled morphologies to be obtained—from rod-like and needle-like structures to flower-like or pea nut-like formations—with crystallite sizes between 24 and 41 nm, as shown in Table 1. These morphologies have been associated with applications in the field of catalysis or solid oxide fuel cells (SOFCs) [8,9,10,11,12]. On the other hand, biosynthesis using plant extracts (e.g., Stevia) has offered an environmentally friendly alternative, with the advantages of cost reduction and biological compatibility. The nanoparticles obtained in this way exhibit spherical morphology, are well crystallized (average size of ~35–40 nm), and demonstrate notable biological activity, including cytotoxic effects on glioblastoma U87 cells and leishmanicidal activity [11]. The biomimetic synthesis of BaCO3 used BaCl2 and NaOH in the presence of additives: para-aminobenzoic acid (C7H7O2N), N-(2-hydroxyethyl) ethylenediamine-N,N′,N″-triacetic acid (C10H18O7N2), and ammonium carbonate (NH4)2CO3 [12].
While barium carbonate (BaCO3) has been traditionally investigated as a precursor for functional oxides or as a component in ceramic formulations, its direct incorporation into polymeric and inorganic matrices remains scarcely explored [12,13,14,15,16,17]. In contrast to these elaborate methods, a simplified synthetic approach was adopted in this study, based on the direct reaction between barium chloride (BaCl2) and potassium hydroxide (KOH), carried out in an aqueous medium, in the absence of an external carbonic agent. This method is based on the conversion of Ba2+ ions and dissolved atmospheric CO2 (by its reaction with OH) into precipitated barium carbonate nanoparticles. From the perspective of structural characterization, the phase obtained was confirmed by X-ray diffraction (XRD) as BaCO3 with a pure orthorhombic structure, and the morphology observed by electron microscopy indicated a good dispersion, adequate for the investigated functional applications. ATR-FTIR was used to complete the characterization of nanoparticles. BaCO3 nanoparticles were integrated into two distinct supports—polyvinyl chloride (PVC) and geopolymer (GP) matrices—to develop systems capable of adsorbing and photodegrading methylene blue (MB) under solar irradiation.
The matrix provides the immobilization and fine dispersion of BaCO3 nanoparticles, provides a favorable microenvironment for the generation of reactive species (•OH, O2•), and concentrates MB on the surface by adsorption (especially in geopolymers with an anionic surface).
This dual approach is novel in that it combines the stability of PVC and the high surface activity of GP with the interfacial role of BaCO3, providing an accessible, low-cost route towards hybrid photocatalytic materials. To the best of our knowledge, this is the first comparative evaluation of BaCO3-based PVC and GP composites in MB degradation, opening new prospects for the valorizing of carbonate-based fillers in sustainable environmental remediation.
Therefore, the choice of this synthesis method was guided by the desire to obtain a pure, reproducible material compatible with photocatalytic applications, using a sustainable, economical, and scalable synthetic pathway.

2. Materials and Methods

2.1. Nano-BaCO3, PVC@Nano-BaCO3, and GP@Nano-BaCO3 Synthesis

For the synthesis of BaCO3 nanoparticles, BaCl2 (LabChem, Inc., Zelienople, PA, USA) and KOH (Roth, Newport Beach, CA, USA) were used as precursors. First, 50 mL BaCl2 solutions of concentrations of 0.5 M, 1 M, and 1.5 M were each mixed for 2 h with 50 mL KOH 1 M, under agitation at 1500 rpm, in an open beaker, in a ventilated laboratory of ≈60 m3 surface area, at room temperature (23 °C, relative humidity ~36%). The pH variation was recorded for every 1 mL KOH added with a Eutech 5+ pH meter (Thermo Scientific, Eutech Instruments Pte Ltd., Singapore). pH variation curves and dpH/dV derivatives were created with OriginPro 2021 software. The resulting suspensions were sonicated for 10 min in a CD-4800 ultrasonic bath (Codyson Electrical Co., Ltd., Shenzhen, China) (42 kHz, 60 W) to ensure the proper dispersion of the particles. The obtained precipitates were filtered, dried at 120 °C for 2 h in a Biobase BOV-D35 oven (Biobase Bioland Co., Ltd., Jinan, China), and then calcined at 550 °C for 2 h in a Mikrotest MKF-05 muffle furnace (Mikrotest, Ankara, Türkiye). To evaluate the influence of temperature, an additional synthesis was carried out using 50 mL of 1.0 M BaCl2 solution at 75 °C ad 50 mL KOH 1 M, in open air, at lab scale. To ensure the desired temperature, we used an MS-H280-Pro DLAB heating plate with magnetic stirring (DLAB Scientific Co., Ltd., Beijing, China). Unlike conventional methods that require a carbonic source (e.g., CO2, Na2CO3, or (NH4)2CO3), BaCO3 formation occurred here through an alternative mechanism driven by the spontaneous absorption of atmospheric CO2 [4,15].
For the synthesis of PVC@Nano-BaCO3, PVC paste (Staedtler, Nuremberg, Germany) and previously elaborated nanoparticles, at 75 °C, were used. The PVC paste was spread very well on a plastic support, and a set amount of nanoparticles was added, after which the paste was kneaded manually. After kneading, it was dried, for hardening, in the Biobase BOV-D35 oven (Biobase Bioland Co., Ltd., Jinan, China) at 120 °C for 30 min.
The pristine GP was prepared by using the metakaolin obtained by the calcination of kaolin (Naturall Home, Salonta, Romania) at 750 °C, for 2 h. The MFK-05 muffle furnace was used, along with KOH 8 M, (Sigma Aldrich, St. Louis, MO, USA) NaOH 8 M (Sigma Aldrich, St. Louis, MO, USA), and sodium silicate (Kynita SRL, Barza, Romania), maintaining the proportion between the liquid and solid phases according to the protocol described in [13]. The paste resulting from mixing the precursors at room temperature was dried at 60 °C for 24 h in the BOV-D35 oven, after which it was kept for 28 days at room temperature (25 °C) for complete polymerization.
For synthesis, GP@Nano-BaCO3 elaborated BaCO3 nanoparticles at 75 °C were incorporated following the GP synthesis procedure. A schematic representation of the synthesis processes is shown in Figure 1.

2.2. Nano-BaCO3 Characterization Methods

Fourier transform infrared (FTIR) spectroscopy with attenuated total reflectance (ATR) was employed to identify the main functional groups present in the synthesized calcium-based materials. The spectra were recorded in the range of 4000–350 cm−1 using a Bruker Tensor 27 spectrometer (BrukerOptik GmbH, Ettlingen, Germany) equipped with a diamond ATR accessory, at a spectral resolution of 4 cm−1 and averaging 32 scans per sample.
XRD measurements were carried out using a copper (Cu) anode X-ray tube, emitting characteristic radiation with a Kα1 wavelength of 1.54178 Å and a graphite monochromator, operating at 45 kV and 40 mA with a Rigaku Ultima IV diffractometer (Rigaku Corporation, Tokyo, Japan) in Bragg–Brentano geometry (θ–2θ), operating in reflection mode. The resulting diffraction patterns were analyzed to identify the crystalline phases by comparing the peak positions and intensities with reference data from the PDF 5+2024 database. Fourier transform infrared (FTIR) spectroscopy with attenuated total reflectance (ATR) was employed to identify the main functional groups present in the synthesized calcium-based materials. The surface morphology was investigated using scanning electron microscopy (SEM) with an SU 5000 Microscope (Hitachi High-Tech Corporation Hitachi, Hitachinaka, Japan). SEM images were acquired in backscattered electron (BSE) mode at an accelerating voltage of 25 kV, with a working distance of 11.5–11.6 mm. Both low-magnification (×5000) and high-magnification (×10,000) images were taken to provide an overview of the particle aggregation, as well as fine surface features. Three independent batches of nanoparticles were prepared under identical conditions, in line with high-quality standards for reproducibility. The results obtained from these replicate syntheses were consistent in terms of crystallite size and morphology. For brevity, only representative datasets are included in the main manuscript.
A BET (Brunauer–Emmett–Teller) analysis of GP, PVC, GP@Nano-BaCO3, and PVC@Nano-BaCO3 was conducted in a nitrogen atmosphere (absorption–desorption isotherms at 77 K). The moisture content of the samples was removed by degassing/drying at 100 and 300 °C for approximately three hours before analysis.

2.3. Photocatalytic Activity

MB was selected as a model dye to evaluate photocatalytic activity because it is one of the most colorant dyes with multiple practical applications in hair dyes, wool and cotton dyes, paper, and medical treatments [16]. The photocatalytic performance of the prepared GP, PVC, GP@Nano-BaCO3, and PVC@Nano-BaCO3 composites was evaluated through the degradation of MB in aqueous solution at an initial concentration of 15 ppm. Before irradiation, the suspensions were kept under ultrasonic agitation and in darkness for 30 min to ensure adsorption–desorption equilibrium at the catalyst surface. Photocatalytic degradation experiments were then conducted under natural sunlight, under continuous stirring, for a total duration of 80 min. Solar irradiance ranged from 550 to 620 W·m−2, as measured by a Voltcraft PL-110SM pyranometer. Aliquots were collected at 30 min intervals, after an initial irradiation period of 20 min, and the residual MB concentration was monitored by UV–Vis spectroscopy (Shimadzu UV-1800 PC), (Shimadzu Corporation, Kyoto, Japan) at λmax = 664 nm. Each measurement was performed in triplicate, and the results were expressed as the arithmetic mean; the standard deviation was below 0.1%, confirming the reproducibility of the experimental protocol. The photocatalytic degradation efficiency (%D) was determined according to Equation (1):
The percentage degradation (%D) of MB was calculated using the following equation:
  % D = A e q A t A e q × 100 %
where Aeq is the absorbance, after the adsorption equilibrium is reached before sunlight irradiation, and At is the absorbance at t min.
For a first-order reaction, the degradation process follows the integrated rate law of the linear trendline of the natural logarithm [12,13]:
l n ( C e q C t ) = k   t
By plotting the values of ln(At/Aeq) on the y-axis against time (t) on the x-axis, a straight line is obtained, using OriginPro 2021 software. The slope of this line is equal to the negative of the rate constant (−k).
The half-time t1/2 is directly related to the rate constant k by the following simple relationship [12]:
t 1 / 2 = ln 2 k
Reusability was also evaluated during 4 cycles. For each cycle, the catalyst was isolated by filtration, washed with ethanol followed by an excess of distilled water, and dried. The dried catalyst was then reused with a fresh solution containing 15 ppm MB as in the first cycle.
To determine the mechanism of photodegradation, isopropanol (IPA) was utilized as a scavenger for hydroxyl radicals (•OH). We did not use EDTA as a scavenger for holes (h+) to clarify the role of species in MB degradation because EDTA may additionally chelate Ba2+ from the surface of the catalyst. For each experiment, 10 mL of 15 mM solution of scavenger was added to 100 mL of 15 ppm MB solution containing 1.5 g of catalyst. Then the mixture was exposed to sunlight for 80 min.

3. Results

3.1. Synthesis of Nano-BaCO3

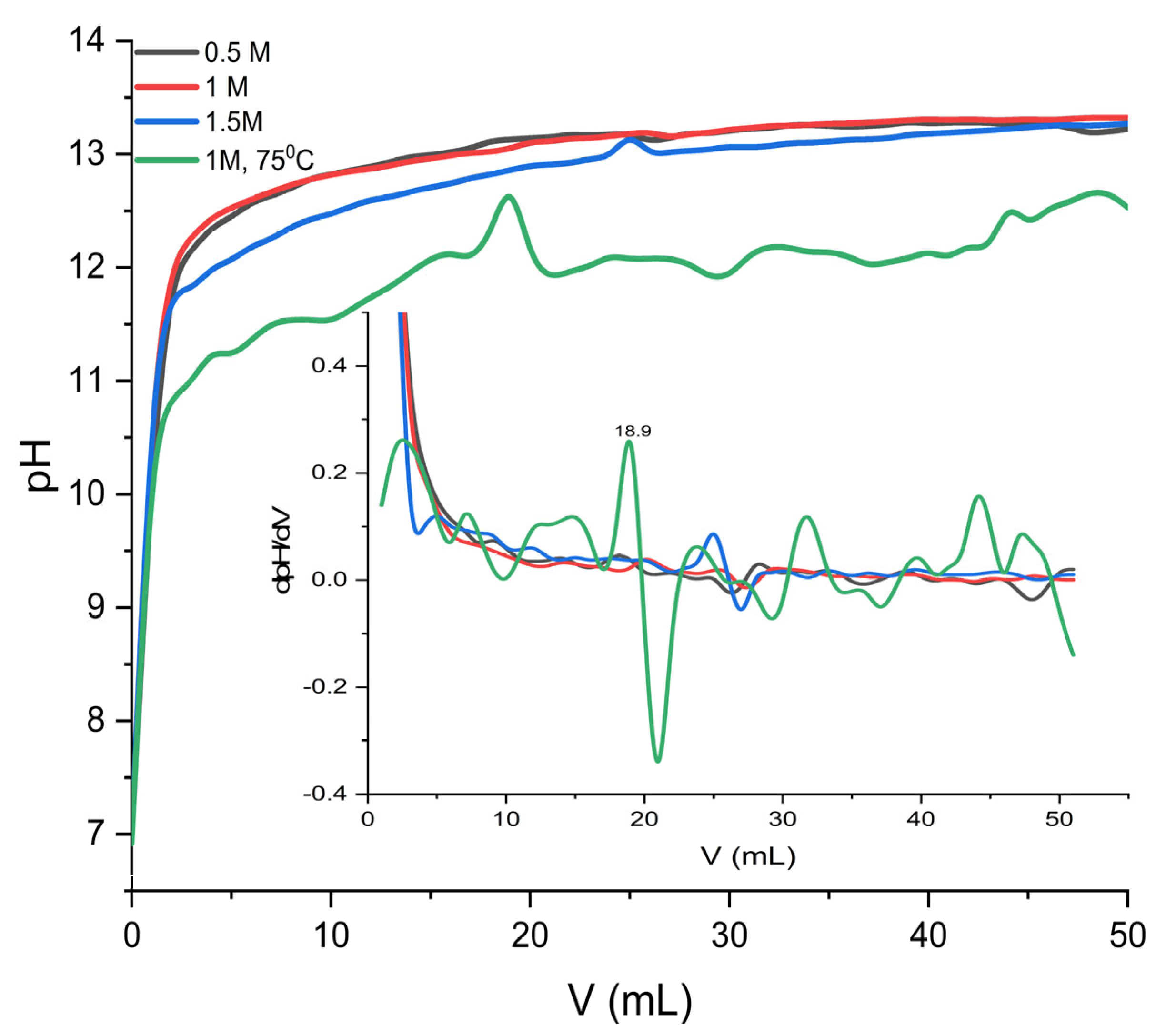
The synthesis of BaCO3 nanoparticles was carried out in October 2024 in open brakers through the reaction between 50 mL of barium chloride solution, BaCl2 (pH = 6.92), and 50 mL of potassium hydroxide solution, KOH 1 M (pH = 13.4), under continuous stirring at 1500 rpm for 2 h, without the addition of an external carbon source. During this process, the evolution of pH as a function of the volume of added KOH provides valuable insight into how both the concentration of Ba2+ ions and the synthesis temperature affect particle formation, as illustrated in Figure 2. The evolution of dpH as a function of the dV of added KOH highlights how the concentration of Ba2+ and the synthesis temperature influence the process, as shown in Figure 2. For solutions prepared at 23 °C, corresponding to concentrations of 0.5 M, 1.0 M, and 1.5 M, the pH–V curves show a rapid increase in pH in the first 15 to 20 mL, followed by a flattening in the range of 12.5 to 13.5 mL, indicating the gradual attainment of saturation and the balanced formation of precipitate. The slight increase in the final pH with the concentration of Ba2+ suggests more efficient conversion kinetics and a faster consumption of available carbonate ions, which favors nucleation and crystallite development.
The dpH/dV derivative shows low and steady values, characteristic of a controlled reaction, with the gradual formation of the solid phase. In contrast, the sample synthesized at 75 °C exhibits a distinct behavior: the lower initial pH ~10.32 (after addition of 1 mL KOH) increases slowly and unevenly, and the dpH/dV curve shows wide fluctuations and a pronounced maximum around 18.9 mL. This peak indicates a sudden stage of nucleation and the accelerated growth of crystallites. This behavior is attributed to a combination of the decrease in pKw with temperature, the change in carbonate equilibria, and the intensification of gas–liquid mass transfer.
After the precipitation, the suspensions were ultrasonicated for 10 min, in an open beaker. The Mauna Loa monthly mean for the ambient CO2 for October 2024 was 422.38 ppm [14]. The low solubility product of BaCO3 (Ksp ≈ 5.1 × 10−9) ensures that even the limited carbonate concentration derived from air is sufficient to trigger immediate precipitation with Ba2+ ions. Converting 0.025 mol Ba2+ (0.5 M) fully to BaCO3 requires 0.025 mol CO2, which at ~420 ppm corresponds to ~1.45 m3 of air. Converting 0.05 mol (1 M) requires 2.9 m3, and converting 0.075 mol (1.5 M) requires 4.35 m3. A conservative estimate of the convective sweep over the liquid surface (free-stream velocity ~0.2 m·s−1 in a ventilated lab; free surface area ≈2.8 × 10−3 m2 for a 6 cm diameter beaker) gives an air throughput of ~0.00056 m3·s−1, i.e., ~4.0 m3 over 2 h, exceeding or comparable to the amount needed for 0.025–0.05 mol CO2.
Thus, the continuous uptake of CO2 from ambient air compensates for the absence of forced bubbling and drives the complete precipitation of BaCO3. Our results are consistent with the literature on BaCO3 obtained via the composite-hydroxide-mediated (CHM) route [16]. Both approaches show that CO2 bubbling is not mandatory when there is a strong basic source and favorable mass transfer conditions, in our case KOH 1 M. Carbonation continues during post-stirring handling, drying, and calcination, leading to BaCO3 as the final phase.
All the results suggest that, at ambient temperatures, the synthesis process of BaCO3 particles is uniform and predictable, with the gradual formation of well-defined crystallites, while at high temperatures, the reaction becomes more dynamic, with accentuated variations in pH and its derivative, favoring rapid nucleation.
Given that the environment becomes strongly basic and gradually adds KOH, the process can be described as follows:
Step 1: Initially, Ba2+ ions react with OH from KOH.
B a C l 2   ( a q ) + 2 K O H   ( a q ) B a ( O H ) 2   ( a q ) + 2 K C l   ( a q )
This reaction occurs quickly and causes the pH of the solution to increase.
Step 2: In an open system, OH and CO2 ions in the air form the carbonate ion:
C O 2   ( g ) + 2 O H   ( a q ) C O 3 2   ( a q ) + H 2 O   ( l )
Step 3: Barium carbonate (BaCO3) is precipitated.
Barium ions react with carbonate ions formed in situ, leading to the formation of the solid precipitate:
B a 2 +   ( a q ) + C O 3 2   ( a q ) B a C O 3   ( s )
The overall reaction is expressed as follows:
B a C l 2   ( a q ) + 2 K O H   ( a q ) + C O 2   ( g ) B a C O 3   ( s ) + 2 K C l   ( a q ) + H 2 O   ( l )
After filtration and washing, the samples were dried at 120 °C followed by calcination for 2 h at 550 °C. To determine the calcination yield, the powder was weighed before and after calcination, as presented in Table 2.
The concentration of Ba2+ has a positive effect on yield. Temperature positively influences yield, probably by accelerating the compound formation process and favoring a more stable crystal lattice.

3.2. ATR-FTIR Analysis

In Figure 3, the ATR-FTIR spectra of all samples, before and after calcination at 550 °C, show peaks between 3500 and 350 cm−1, given by the Opus 7.0 software of the spectrometer.
Because of absent OH stretching (~3640 cm−1), indicated by absent hydroxide phases, we analyzed the spectra between 1650 and 300 cm−1. The ATR-FTIR spectra of all samples, before and after calcination, exhibited the characteristic carbonate group absorptions [16,18,19,20].
The intense band, observed at 1416/1413 cm−1, corresponds to the asymmetric stretching vibration (ν3) of the C-O bonds.
The band at 1062/1059 cm−1 is attributed to the symmetric stretching vibration (ν1). This vibration, usually inactive in the infrared spectrum of the free carbonate ion, becomes active in the witherite spectrum due to reduced crystallographic symmetry.
Two additional absorption bands confirm the presence of the CO32− anion: one at 855/856 cm−1, corresponding to the out-of-plane bending vibration (ν2), and a second one at 683/685 cm−1, associated with the in-plane bending vibration (ν4).
The positions and intensities of these absorption bands are consistent with those previously reported in the literature for crystalline barium carbonate, confirming the successful formation of BaCO3.
While Raman spectroscopy was not performed herein, the expected witherite fingerprint is consistent with the phase assigned by our IR analysis and aligns with representative BaCO3 reports [21,22,23,24], as summarized in Table 3.
The differences in band intensities arise from the distinct selection rules: Raman spectroscopy is the most sensitive to changes in polarizability (making ν1 dominant), whereas IR spectroscopy is driven by changes in dipole moment (favoring ν3).

3.3. Structural Characterization of Nano-BaCO3 Particles

Crystallinity and phase analysis were confirmed using XRD analysis [9,10]. Figure 4 shows the XRD pattern of samples prepared using BaCl2 and KOH under laboratory conditions. All the samples consisted of a single phase of well-crystallized witherite BaCO3 (PDF 5+202504-015-3221) [10,15,21]. The diffraction lines are sharp and well-resolved, indicating a high degree of crystallinity across synthesis conditions. No secondary phases such as Ba(OH)2, BaO, or BaCO3 polymorphs (e.g., witherite-type) were detected, suggesting that the reaction conditions effectively favored the formation of a single, pure orthorhombic BaCO3 phase. The microstructural parameters (crystallite size and lattice parameters, Table 4) were determined by means of Rietveld refinement (Whole powder pattern fitting) using PDXL 2 software (Rigaku, Japan) and the Crystallographic information file of the BaCO3 04-015-3221 PDF5+ 2025 DB card.
The XRD structural analysis of BaCO3 samples synthesized at different concentrations of Ba2+ ions (0.5 M, 1.0 M, 1.5 M) and at distinct temperatures (room temperature and 75 °C) revealed significant variations in the size of the crystallites, under the conditions of the relative stability of the lattice parameters. The values obtained for the lattice constants a, b, and c show variations below 0.3%, which indicates the preservation of the same crystalline phase, without major structural distortions induced by the change in the composition of the synthesis solution or the treatment temperature.
For samples obtained at room temperature, a progressive increase in crystallite size was observed from 52.00 ± 2.6 nm for the concentration of 0.5 M Ba2+ to 56.26 ± 2.7 nm for 1.0 M and 64.74 ± 1.4 nm for 1.5 M (Table 3). This trend can be correlated with a reduction in the number of initial nuclei and the favoring of particle growth as the concentration of the precursor increases. The effect of temperature was investigated by comparing the 1.0 M sample synthesized at room temperature with that obtained by holding the temperature at 75 °C. The results indicate a significant increase in crystallite size, from 56.26 ± 2.7 nm to 86.65 ± 1.1 nm, which corresponds to a relative increase of about 54%. This amplification is attributed to the intensification of coalescence and Ostwald ripening processes at higher temperatures, when the mobility of ionic species and the diffusion rate increase, favoring the preferential growth of large crystallites at the expense of small ones. The elemental cell volume, calculated based on lattice parameters, remained practically constant for all samples (305.10 ± 0.36 Å3), confirming that the observed differences are due to crystalline growth processes and not to fundamental structural changes.
These results demonstrate that both the concentration of Ba2+ ions in the synthesis solution and the heat treatment temperature are key factors in controlling the size of BaCO3 crystallites, with direct implications for the functional properties of the material, such as thermal stability, sintering behavior, and catalytic activity.
To establish a quantitative relationship between crystallite size (D) and synthesis parameters, namely Ba2+ concentration (C) and temperature (T), a regression-based analysis was performed using Minitab® 2, according to [25,26]. Weighted least squares (WLS) regression was applied to account for measurement uncertainties. The model was fitted in logarithmic form to capture multiplicative effects [14]:
l n D   =   α +   β C   +   γ T
where C is Ba2+ concentration (M); T is a binary variable (0 = room temperature; 1 = 75 °C); and α, β, and γ are regression coefficients. After back-transformation, the predictive equation becomes the following:
D ( C , T ) =   A e β C ·   e γ T
with A = eα representing the baseline crystallite size at C = 0 and T = 0. The fitted parameters are as follows:
A = 45.78 ± 1.76 nm.
β = 0.229 ± 0.029, indicating that each 1 M increase in Ba2+ concentration increases crystallite size by approximately e0.229 ≈ 25.8% at constant temperature.
γ = 0.409 ± 0.015, corresponding to a multiplicative increase in e0.409 ≈ 50.5% when synthesis is performed at 75 °C compared to room temperature.
The exponential model showed superior statistical performance, with adjusted R2 = 0.986 and residual diagnostics confirming the validity of model assumptions. This quantitative approach allows for the predictive estimation of crystallite size for intermediate synthesis parameters and supports process optimization for targeted BaCO3 properties.
Increasing precursor concentration and synthesis temperature led to the progressive sharpening of IR bands, indicative of improved crystallinity. XRD confirmed witherite as the dominant phase, with a marked reduction in peak broadening for the 1 M and 75 °C sample, correlating with the highest FTIR band resolution, and no Ba(OH)2 reflections were observed within detection limits. The integrated analysis demonstrates that subtle modifications in synthesis parameters significantly influence BaCO3 structural order, with direct implications for tailoring material properties for optoelectronic, catalytic, and advanced ceramic applications [26].

3.4. Morphological Characterization of Nano-BaCO3

The morphology of the synthesized barium carbonate (BaCO3) particles was investigated using scanning electron microscopy (SEM) at an accelerating voltage of 25 kV and a scan integration time of 30 s. Imaging was performed in backscattered electron (BSE) mode, which emphasizes compositional contrast and topographical differences, providing valuable insights into particle habit and aggregation patterns. Representative micrographs at 5000× and 10,000× magnifications for different precursor concentrations and synthesis conditions are presented in Figure 5.
SEM observations show that BaCO3 particles predominantly exhibit a rod-like morphology, with variations in alignment, length, and edge definition depending on synthesis conditions. For the 0.5 M precursor concentration (Figure 5a,b), the particles display relatively shorter rod-like structures that are moderately aggregated and have smooth contours. The particle population is somewhat polydisperse in length, and individual rods appear loosely associated, indicating a relatively slow and uniform nucleation and growth process under low supersaturation.
At the 1.0 M concentration (Figure 5c,d), the rods are more elongated and well-defined, often forming aligned or intergrown assemblies. The aspect ratio increases compared to the 0.5 M sample, and crystal edges appear sharper, reflecting more pronounced directional growth. The overall morphology suggests a shift toward growth-dominated kinetics, with enhanced anisotropic extension along specific crystallographic axes.
The 1.5 M sample (Figure 5e,f) also presents rod-like particles but with increased clustering and partial intergrowth, which sometimes obscures individual rod boundaries. The higher ionic strength likely promoted rapid nucleation and simultaneous growth, leading to less ordered assemblies and the formation of compact, randomly oriented rod bundles.
The sample synthesized at 1.0 M using heating conditions (Nano-BaCO3/1/75; Figure 5g,h) reveals uniform rod-like particles that are smaller and more evenly distributed than in the conventional synthesis. The rods maintain a well-defined morphology, and their dispersion is improved. This suggests that heating enhances nucleation control and suppresses excessive aggregation, enabling better control over rod growth and particle separation.
The BaCO3 length distribution histograms obtained at different concentrations of the precursor solution (0.5 M, 1 M, 1 M/75, and 1.5 M) in Figure 6 show statistically significant variations in morphology, reflecting the direct influence of the supersaturation regime on the nucleation and crystal growth processes. In the case of BaCO3 particles synthesized from the 0.5 M concentration solution, it displays a strongly asymmetrical distribution to the right, with a maximum in the range of 0.3–0.5 μm and a very long tail, extending to about 5–6 μm. This high polydispersity is characteristic of low-supersaturation regimes, where nucleation is limited and existing particles benefit from an extended growth time, leading to the formation of significantly longer rods. The stem length departition histogram of Nano-BaCO3/1 particles is characterized by an almost symmetrical distribution, centered around 0.9–1.0 μm, but with a slight presence of both short (<0.5 μm) and longer (>1.5 μm) particles. The average width of the distribution suggests a balance between nucleation and growth, resulting in a particle with relatively uniform dimensions but with a structural diversity useful in functional applications. The BaCO3/1.5 sample shows an asymmetrical distribution to the right, with a maximum frequency at 0.5–0.6 μm and an extended tail to higher values (~2 μm). This shape is specific to systems with high supersaturation, where rapid nucleation generates many small nuclei, while a small fraction of particles continue on the path of accelerated growth, leading to moderate polydispersity.
The length distribution histogram of Nano-BaCO3/1/75 shows an almost symmetrical distribution, slightly shifted to the right, with a single pronounced peak around 1.0 μm. This reflects a controlled growth regime and uniform nucleation and elongation, good conditions for obtaining a homogeneous stem population. The comparative analysis highlights that the most uniform and controlled distribution is obtained for the Nano-BaCO3/1/75 sample, while the maximum variability is associated with the Nano-BaCO3/0.5 sample. The 1.5 M concentration regime favors the obtaining of short rods with moderate dispersion, being suitable for applications requiring small dimensions, and intermediate concentrations, such as 1 M, ensure a compromise between homogeneity and dimensional diversity.
In conclusion, SEM observations confirm that rod-like morphology is characteristic of all synthesized BaCO3 samples, with size, uniformity, and degree of aggregation strongly influenced by precursor concentration and synthesis conditions. Temperature-assisted synthesis yielded the most homogeneous rod-shaped structures, while higher precursor concentrations under conventional conditions resulted in larger, more agglomerated assemblies.

3.5. BET Analysis

The experimental values for BET surface, total pore volume, and maximum pore volume are presented in Table 5.
BET analysis highlights significant differences between GP and PVC matrices, as well as the effects of the addition of BaCO3 nanoparticles on textural properties. The GP sample presents a high specific surface area (36.21 m2/g) and a considerable pore volume (0.938 cm3/g), with average pore sizes of 10.37 nm (adsorption) and 16.57 nm (desorption), which confirms its mesoporous nature and its ability to adsorb organic molecules. In contrast, PVC has negative and undefined values for the BET parameters, which suggests a compact structure, lacking accessible porosity and, implicitly, a negligible specific surface area.
The incorporation of BaCO3 nanoparticles leads to obvious changes. In the case of GP@Nano-BaCO3, the specific surface area decreases to 22.63 m2/g, and the pore volume drastically reduces to 0.062 cm3/g, indicating a partial occlusion of the pore network by the particles. However, the average pore size increases slightly (10.65–18.79 nm), suggesting that the nanoparticles may preferentially be located in micropores or in intermediate zones, causing a redistribution of the pore network.
In the case of PVC@Nano-BaCO3, the addition of BaCO3 causes the appearance of incipient porosity, with a specific surface area of 0.0359 m2/g and an extremely low pore volume (0.000232 cm3/g). However, the pore diameters (25.77–28.05 nm) are in the macroporous range, suggesting that the BaCO3 nanoparticles generated a more open texture, without ensuring the significant development of the surface area.
In conclusion, the GP presents an intrinsic structure favorable for adsorption and photocatalysis, and the integration of Nano-BaCO3 reduces the available surface area but modifies the pore distribution, which may influence the diffusion mechanisms and access to the active centers. In contrast, PVC is texturally inert, and only by the addition of BaCO3 does it acquire an incipient porosity.

3.6. Photocatalytic Activity of GP@Nano-BaCO3 and PVC@Nano-BaCO3

Because of the greatest rate production, Nano-BaCO3/1/75 nanoparticles with good crystallinity and nanoscale crystallite dimension were incorporated into GP and PVC matrices to comparatively assess their photocatalytic performance. The formulation of PVC@Nano-BaCO3 corresponds to 4.8 wt.% Nano-BaCO3/1/75 particles, calculated to the total mass. The formulation of GP@Nano-BaCO3 corresponds to 1.1 wt.% Nano-BaCO3.1/75 particles relative to the total formulation. Before modification, the pristine materials were examined, in dark conditions, to establish their baseline capacity for MB adsorption. As illustrated in Figure 7, both GP and PVC showed improved removal efficiency with increasing catalyst dosage, though the effect was far more significant for GP. At 0.5 g, GP removed ~12% of MB compared to ~5% for PVC; at 1.0 g, GP reached ~27%, while PVC exhibited little variation; and at 1.5 g, GP achieved ~58% versus ~21% for PVC. These results confirm the superior adsorption capacity of GP, likely associated with its porosity and larger surface area, whereas PVC displayed a lower intrinsic affinity for MB [26]. Based on these findings, 1.5 g of catalyst in 100 mL of MB solution (15 ppm) was identified as the optimal dosage and subsequently adopted for all further experiments under sunlight radiation.
Figure 8 compares the degradation of MB using pristine GP and PVC with their corresponding composites incorporating Nano-BaCO3/1/75 particles. Under dark conditions, both GP and PVC exhibited only moderate adsorption, as evidenced by a slight initial decrease in absorbance followed by stabilization, reflecting surface saturation and equilibrium adsorption. This behavior indicates that, in the absence of irradiation, the removal of MB is governed exclusively by physical and chemical adsorption phenomena at the catalyst surface.
When exposed to natural sunlight, a marked difference emerged between pristine materials and composites. GP and PVC alone showed limited photocatalytic activity, whereas the incorporation of BaCO3 nanoparticles significantly enhanced degradation efficiency. GP@Nano-BaCO3 consistently outperformed PVC@Nano-BaCO3, reflecting the higher surface area and porosity of GP, which provide more accessible active sites for both adsorption and subsequent photocatalytic reactions. The continuous decrease in MB absorbance with irradiation time confirms the activation of photocatalytic processes, attributed to the in situ generation of reactive oxygen species (ROS), such as hydroxyl radicals (•OH) and superoxide anions (•O2−). These species effectively attack the chromophoric groups of MB, leading to progressive molecular cleavage and eventual mineralization [11].
The mechanism of the photodegradation of MB using GP@Nano-BaCO3 was explored using isopropanol (IPA) as a scavenger to capture hydroxyl radicals (OH). As shown in Figure 9, the result indicates that the photocatalytic efficiency of GP@Nano-BaCO3 decreased when IPA was used. This suggests that •O2− radicals play a major role in MB degradation, while •OH has a minor role.
The superior performance of the composites, particularly GP@Nano-BaCO3, can be directly correlated with structural improvements evidenced by sharper FTIR bands and reduced XRD peak broadening, which confirm enhanced crystallinity and long-range order. This synergy between adsorption capacity and photocatalytic reactivity underscores the importance of nanoparticle incorporation as a strategy to boost the efficiency of both GP and PVC matrices for water purification applications.
In continuity with the adsorption and photocatalytic results, the monitoring of pH under solar irradiation provides further clarification of the role played by the embedded BaCO3 nanoparticles (Figure 10). For the pristine supports, GP maintained a nearly constant alkaline pH (~10.7–11.0), while PVC showed a gradual acidification. GP@Nano-BaCO3 displayed only a small transient dip followed by stabilization and a slight recovery toward ~10.9, whereas PVC@Nano-BaCO3 exhibited a mild alkalinization in the first 20–40 min (to ~8.5) and then a gentle drift back toward ~8.0. Because BaCO3 is immobilized inside the polymeric/geopolymeric matrices, these trends cannot be ascribed to bulk dissolution but to interfacial carbonate buffering at the MB solution–catalyst boundary. The effect is more marked for GP@Nano-BaCO3 than for PVC@Nano-BaCO3, consistent with the higher hydrophilicity and better nanoparticle dispersion in the GP, which enhance solution access to BaCO3.
The photocatalytic degradation of MB was further evaluated through kinetic modeling using the pseudo-first-order rate law, as presented in Figure 11.
The kinetic analysis of MB degradation highlights the significant role of BaCO3 nanoparticles in accelerating the photocatalytic process (see Table 3). Without BaCO3 nanoparticles, the calculated rate constants were k ≈ 1.35 × 10−2 for GP and k ≈ 3.86 × 10−3 for PVC, corresponding to a t1/2 of ≈51 and ≈179 min, respectively. Upon incorporating BaCO3, the degradation efficiency improved markedly, with k ≈ 1.17 × 10−2 min−1 for GP@Nano-BaCO3 and k ≈ 8.7 × 10−3 min−1 for PVC@Nano-BaCO3, corresponding to shorter half-lives of ≈39 and ≈79 min, as presented in Table 6.
The results presented help us to conclude that in PVC@Nano-BaCO3, the nanoparticles tend to be less exposed, being partially embedded in a hydrophobic matrix. Thus, the contact between the active surface and MB is reduced, resulting in a lower kinetic constant.
Such kinetic behavior is consistent with literature data on heterogeneous photocatalysis, where dye degradation typically follows pseudo-first-order kinetics [27].
When benchmarked against related systems reported in the literature, several important observations emerge, as presented in Table 7.
Compared to other fillers previously incorporated into GP and PVC matrices (e.g., TiO2, Fe2O3, ZnO, or perlite-based systems), BaCO3 presents several distinctive advantages. While other composites often require UV activation and involve multistep syntheses, GP@Nano-BaCO3 and PVC@Nano-BaCO3 reacted under sunlight irradiation using BaCO3 nanoparticles obtained through a simple route using only atmospheric CO2.
Regarding recycling, the GP@Nano-BaCO3 catalyst was investigated during four cycles.
During the recycling process, the photodegradation resulted in an MB degradation of 86%, 81.2%, 78%, and 73.7, from the first cycle to the fourth, respectively, indicating a slight reduction inefficiency after four cycles, as shown in Figure 12. This slight decrease can be attributed to the activation of sites on the catalyst surface or phase alteration. To complement this, a BET analysis of GP@BaCO3 was conducted after four cycles. The specific surface area becomes 21.96 g/cm3, demonstrating that micropores disappeared and shifted to mesopores, due to MB adsorption onto the catalyst surface during the degradation process.

4. Conclusions

This study demonstrated that BaCO3 nanoparticles can be effectively synthesized by a simple hydrolysis reaction between BaCl2 and KOH, with atmospheric CO2 as the carbon source. The combined ATR-FTIR and XRD analysis revealed that precursor molarity and synthesis temperature strongly influence BaCO3 crystallinity and phase purity. Structural analyses confirmed the orthorhombic witherite phase across all synthesis conditions, but the optimal structural order is achieved at 1 M and 75 °C, where both IR and XRD data converge toward high crystallinity indicators. Morphological investigations revealed rod-like particles, with the most homogeneous distribution obtained at 1 M Ba2+ and 75 °C.
The advantages of this method include the following: (i) operational simplicity, without the need for complexing agents or templates; (ii) avoiding the use of separate sources of carbonate (such as Na2CO3 or (NH4)2CO3); and (iii) mild reaction conditions, compatible with obtaining nanoparticles that can be used later in organic and inorganic composites.
It is also noted that the method used is compatible with the further processing of nanoparticles into polymeric (PVC) and geopolymer (GP) matrices, which is a significant practical advantage for the development of photocatalytic materials. When integrated into polymeric and geopolymer matrices, BaCO3 nanoparticles conferred dual adsorption–photocatalytic activity, with GP@Nano-BaCO3 achieving faster MB degradation kinetics than PVC@Nano-BaCO3. The results indicate that BaCO3 nanoparticles incorporated in different matrices highlight the essential role of nanoparticle–support interaction in optimizing photocatalytic performance, opening perspectives for the development of sustainable composites for environmental applications.
These findings emphasize the relationship between synthesis parameters, structural order, and photocatalytic performance, offering insights into the design of functional systems. A limitation of this study is that the photocatalytic performance of the composites was evaluated only in relation to the degradation of MB, used as a model pollutant. This choice is justified by its representative nature and by its extensive use in the specialized literature as a reference for testing photocatalytic materials, allowing for an initial comparison with similar systems. The optimized conditions were demonstrated to be 1.5 g GP@Nano-BaCO3 catalyst in 100 mL of 15 ppm MB, after 30 min dark equilibration, followed by 80 min natural sunlight irradiation (550–620 W·m−2) under continuous stirring to achieve the highest rate degradation.
However, given that the central objective of this work was to develop a simple and sustainable method for the synthesis of BaCO3 nanoparticles, with morphostructural control under laboratory conditions without an external carbonate source, the preliminary validation by the photodegradation of MB is sufficient to demonstrate the feasibility of the material.
These findings provide a structural basis for tailoring BaCO3 synthesis toward application-specific property optimization, particularly for photocatalysts activated by visible light, which have proven to be effective candidates for the photodegradation of organic dyes in aqueous solutions. Future research will focus on doping with transition metals to increase photocatalytic efficiency, testing in real wastewater conditions, and evaluating behavior for other commonly used dyes, such as rhodamine B, methyl orange, or Congo red.

Author Contributions

Conceptualization, A.-G.S. and C.A.; methodology, A.-G.S.; software, M.O.; validation, E.M.M.; formal analysis, S.G.M.; investigation, D.A.N. and. M.-A.I.; resources, A.-G.S.; data curation, A.-G.S. and M.-I.P.; writing—original draft preparation, A.-G.S. and S.A.; writing—review and editing, A.-G.S., C.A. and H.A.; visualization, E.M.M. and H.A.; supervision, M.O. and S.A. All authors have read and agreed to the published version of the manuscript.

Funding

This research received no external funding.

Data Availability Statement

Data is contained within the article.

Conflicts of Interest

The authors declare no conflicts of interest.

References

  1. Deekshitha Shetty, K.V. Solar light active biogenic titanium dioxide embedded silver oxide (AgO/Ag2O@TiO2) nanocomposite structures for dye degradation by photocatalysis. Mater. Sci. Semicond. Process. 2021, 132, 105923. [Google Scholar] [CrossRef]
  2. Agboola, P.O.; Shakir, I. Facile fabrication of SnO2/MoS2/rGO ternary composite for solar light-mediated photocatalysis for water remediation. J. Mater. Res. Technol. 2022, 18, 4303–4313. [Google Scholar] [CrossRef]
  3. Mandi, S.; Mandal, R.; Das, P.S.; Kuiri, P.K.; Mukherjee, B.; Nath, R. Microwave assisted rapid synthesis of highly crystalline 2-D CuO nanoflakes for efficient solar light driven photocatalysis. Inorg. Chem. Commun. 2025, 180, 114906. [Google Scholar] [CrossRef]
  4. Buvaneswari, K.; Pitchaimani, E.; Anand, S.; Arunadevi, R. Facile Preparation, Characterization and Photocatalytic Properties of Barium Carbonate Nanoparticles. Desalination Water Treat. 2023, 314, 122–129. [Google Scholar] [CrossRef]
  5. Konstantinou, I.K.; Albanis, T.A. TiO2-Assisted Photocatalytic Degradation of Azo Dyes in Aqueous Solution: Kinetic and Mechanistic Investigations. Appl. Catal. B Environ. 2004, 49, 1–14. [Google Scholar] [CrossRef]
  6. Baig, A.; Siddique, M.; Panchal, S. A Review of Visible-Light-Active Zinc Oxide Photocatalysts for Environmental Application. Catalysts 2025, 15, 100. [Google Scholar] [CrossRef]
  7. Solymos, K.; Ágoston, Á.; Gyulavári, T.; Szalma, L.; Todea, M.; Kukovecz, Á.; Kónya, Z.; Pap, Z. Environmental Impacts on the Photocatalytic Activities of Anatase and Rutile. Catalysts 2025, 15, 190. [Google Scholar] [CrossRef]
  8. Raessi, M.; Alijani, H.Q.; Nematollahi, F.F.; Baty, R.S.; El-Saber Batiha, G.; Khan, A.U.; Hashemi, N.; Iravani, S.; Sharifi, I.; Aflatoonian, M.; et al. Barium carbonate nanostructures: Biosynthesis and their biomedical applications. Ceram. Int. 2021, 47, 21045–21050. [Google Scholar] [CrossRef]
  9. Guru, S.; Bajpai, A.K.; Amritphale, S.S. Influence of nature of surfactant and precursor salt anion on the microwave assisted synthesis of barium carbonate nanoparticles. Mater. Chem. Phys. 2019, 237, 122377. [Google Scholar] [CrossRef]
  10. Ma, M.-G.; Zhu, Y.-J.; Zhu, J.-F.; Xu, Z.-L. A simple route to synthesis of BaCO3 nanostructures in water/ethylene glycol mixed solvents. Mater. Lett. 2007, 61, 5133–5136. [Google Scholar] [CrossRef]
  11. Sreedhar, B.; Satya Vani, C.; Keerthi Devi, D.; Basaveswara Rao, M.V.; Rambabu, C. Shape Controlled Synthesis of Barium Carbonate Microclusters and Nanocrystallites Using Natural Polysaccharide–Gum Acacia. Am. J. Mater. Sci. 2012, 2, 5–13. [Google Scholar] [CrossRef]
  12. Hong, T.; Brinkman, K.S.; Xia, C. Barium Carbonate Nanoparticles as Synergistic Catalysts for the Oxygen Reduction Reaction on La0.6Sr0.4Co0.2Fe0.8O3-δ Solid-Oxide Fuel Cell Cathodes. ChemElectroChem 2016, 3, 805–813. [Google Scholar]
  13. Nadi, M.; Allaoui, D.; Majdoubi, H.; Hamdane, H.; Haddaji, Y.; Mansouri, S.; Tamraoui, Y.; Manoun, B.; Hannache, H.; Oumam, M. Effect of Natural Graphite Additions on the Microstructural and Mechanical Behavior of Metakaolin-Based Geopolymer Materials. J. Build. Eng. 2023, 78, 107562. [Google Scholar] [CrossRef]
  14. Available online: https://gml.noaa.gov/ccgg/trends/weekly.html (accessed on 25 September 2025).
  15. Phillip, E.; Choo, T.F.; Khairuddin, N.W.A.; Abdel Rahman, R.O. On the Sustainable Utilization of Geopolymers for Safe Management of Radioactive Waste: A Review. Sustainability 2023, 15, 1117. [Google Scholar] [CrossRef]
  16. Shahid, T.; Arfan, M.; Zeb, A.; BiBi, T.; Khan, T.M. Preparation and Physical Properties of Functional Barium Carbonate Nanostructures by a Facile Composite-Hydroxide-Mediated Route. Nanomater. Nanotechnol. 2018, 8, 1–8. [Google Scholar] [CrossRef]
  17. Patil, S.; Mali, M.; Hassan, M.A.; Patil, D.; Kolekar, S.; Ryu, S.-W. One-Pot in Situ Hydrothermal Growth of BiVO4/Ag/rGO Hybrid Architectures for Solar Water Splitting and Environmental Remediation. Sci. Rep. 2017, 7, 1038. [Google Scholar] [CrossRef]
  18. Lu, R.; He, L.; Li, T.; Yang, F.; Liu, Y.; Zhang, K.; Chen, X. A Novel Protection Method for Carbonate Stone Artifacts with Gypsum Weathering Crusts. Coatings 2022, 12, 1793. [Google Scholar] [CrossRef]
  19. Zhang, H.-y.; Kodur, V.; Cao, L.; Qi, S.-l. Fiber Reinforced Geopolymers for Fire Resistance Applications. Procedia Eng. 2014, 71, 153–158. [Google Scholar] [CrossRef]
  20. Böttcher, M.E.; Gehlken, P.-L.; Fernández-González, Á.; Prieto, M. Characterization of synthetic BaCO3–SrCO3 (witherite-strontianite) solid-solutions by Fourier transform infrared spectroscopy. Eur. J. Mineral. 1997, 9, 519–528. [Google Scholar] [CrossRef]
  21. Buzgar, N.; Apopei, A.I. The raman study of certain carbonates. Analele Ştiinţifice Ale Univ. „Al. I. Cuza” Iaşi Geologie, Tomul LV 2009, 2, 97–112. Available online: https://rruff.info/uploads/ASAUAICILV_2009.pdf (accessed on 15 September 2025).
  22. Ono, S. New high-pressure phases in BaCO3. Phys. Chem. Miner. 2007, 34, 215–221. [Google Scholar] [CrossRef]
  23. Pasierb, P.; Komornicki, S.; Rokita, M.; Rȩkas, M. Structural Properties of Li2CO3–BaCO3 System Derived from IR and Raman Spectroscopy. J. Mol. Struct. 2001, 596, 151–156. [Google Scholar] [CrossRef]
  24. Angelova, M.; Lazarova, H.; Kurteva, V.; Nikolova, R.; Rusew, R.; Shivachev, B. A Novel Zinc-Based MOF Featuring 2,4,6-Tris-(4-carboxyphenoxy)-1,3,5-triazine: Structure, Adsorption, and Photocatalytic Activity. Crystals 2025, 15, 348. [Google Scholar] [CrossRef]
  25. Schiopu, A.-G.; Iordache, D.M.; Oproescu, M.; Cursaru, L.M.; Ioța, A.-M. Tailoring the Synthesis Method of Metal Oxide Nanoparticles for Desired Properties. Crystals 2024, 14, 899. [Google Scholar] [CrossRef]
  26. Shamsipur, M.; Pourmortazavi, S.M.; Hajimirsadeghi, S.S.; Roushani, M. Applying Taguchi robust design to the optimization of synthesis of barium carbonate nanorods via direct precipitation. Colloids Surf. A Physicochem. Eng. Asp. 2013, 423, 35–41. [Google Scholar] [CrossRef]
  27. Saufi, H.; El Alouani, M.; Alehyen, S.; El Achouri, M.; Aride, J.; Taibi, M. Photocatalytic Degradation of Methylene Blue from Aqueous Medium onto Perlite-Based Geopolymer. Int. J. Chem. Eng. 2020, 2020, 9498349. [Google Scholar] [CrossRef]
  28. Jeong, Y.; Lee, K.; Kim, G.; Jang, E.-H.; Choe, Y.; Kim, S.; Chung, S. Preparation of TiO2/α-Fe2O3@SiO2 Nanorod Heterostructures and Their Applications for Efficient Photodegradation of Methylene Blue. Crystals 2025, 15, 277. [Google Scholar] [CrossRef]
  29. Jagodić, I.; Guth, I.; Lukić-Petrović, S.; Tamindžija, D.; Šojić Merkulov, D.; Finčur, N.; Bognár, S.; Putnik, P.; Banić, N. Reusable Fe2O3/TiO2/PVC Photocatalysts for the Removal of Methylene Blue in the Presence of Simulated Solar Radiation. Nanomaterials 2023, 13, 460. [Google Scholar] [CrossRef]
  30. Swain, J.; Priyadarshini, A.; Hajra, S.; Panda, S.; Panda, J.; Samantaray, R.; Yamauchi, Y.; Han, M.; Kim, H.J.; Sahu, R. Photocatalytic Dye Degradation by BaTiO3/Zeolitic Imidazolate Framework Composite. J. Alloys. Compd. 2023, 965, 171438. [Google Scholar] [CrossRef]
Figure 1. Schematic representation of materials and equipment used for Nano-BaCO3, GP@Nano-BaCO3, and PVC@Nano-BaCO3 synthesis.
Figure 1. Schematic representation of materials and equipment used for Nano-BaCO3, GP@Nano-BaCO3, and PVC@Nano-BaCO3 synthesis.
Crystals 15 00890 g001
Figure 2. pH variation and dpH/dV during synthesis.
Figure 2. pH variation and dpH/dV during synthesis.
Crystals 15 00890 g002
Figure 3. ATR-FTIR spectra of Nano-BaCO3/0.5 (gray); Nano-BaCO3/1 (green); Nano-BaCO3/1 (violet); and Nano-BaCO3/1/75 (black): (a) before and (b) after calcination at 550 °C.
Figure 3. ATR-FTIR spectra of Nano-BaCO3/0.5 (gray); Nano-BaCO3/1 (green); Nano-BaCO3/1 (violet); and Nano-BaCO3/1/75 (black): (a) before and (b) after calcination at 550 °C.
Crystals 15 00890 g003
Figure 4. XRD spectra of (a) Nano-BaCO3/0.5, (b) Nano-BaCO3/1, (c) Nano-BaCO3/1, and (d) Nano-BaCO3/1/75.
Figure 4. XRD spectra of (a) Nano-BaCO3/0.5, (b) Nano-BaCO3/1, (c) Nano-BaCO3/1, and (d) Nano-BaCO3/1/75.
Crystals 15 00890 g004
Figure 5. Morphology of (a) Nano-BaCO3/0.5, magnification 5000×; (b) Nano-BaCO3/0.5, magnification 10,000×; (c) Nano-BaCO3/1, magnification 5000×; (d) Nano-BaCO3/1, magnification 10,000×; (e) Nano-BaCO3/1.5, magnification 5000×; (f) Nano-BaCO3/1.5, magnification 10,000×; (g) Nano-BaCO3/1/75 magnification 5000×; (h) Nano-BaCO3/1/75 magnification 10,000×.
Figure 5. Morphology of (a) Nano-BaCO3/0.5, magnification 5000×; (b) Nano-BaCO3/0.5, magnification 10,000×; (c) Nano-BaCO3/1, magnification 5000×; (d) Nano-BaCO3/1, magnification 10,000×; (e) Nano-BaCO3/1.5, magnification 5000×; (f) Nano-BaCO3/1.5, magnification 10,000×; (g) Nano-BaCO3/1/75 magnification 5000×; (h) Nano-BaCO3/1/75 magnification 10,000×.
Crystals 15 00890 g005
Figure 6. Histograms of length of BaCO3 nanoparticles.
Figure 6. Histograms of length of BaCO3 nanoparticles.
Crystals 15 00890 g006
Figure 7. Degradation of MB (%) with various masses with GP/PVC under dark conditions.
Figure 7. Degradation of MB (%) with various masses with GP/PVC under dark conditions.
Crystals 15 00890 g007
Figure 8. (a) Variation in C/Ceq with time and (b) degradation of MB incubated with GP, PVC, GP@Nano-BaCO3, and PVC@Nano-BaCO3 under sun conditions.
Figure 8. (a) Variation in C/Ceq with time and (b) degradation of MB incubated with GP, PVC, GP@Nano-BaCO3, and PVC@Nano-BaCO3 under sun conditions.
Crystals 15 00890 g008
Figure 9. The degradation of MB incubated with GP@Nano-BaCO3 in the presence of IPA.
Figure 9. The degradation of MB incubated with GP@Nano-BaCO3 in the presence of IPA.
Crystals 15 00890 g009
Figure 10. pH variation under dark and sunlight irradiation.
Figure 10. pH variation under dark and sunlight irradiation.
Crystals 15 00890 g010
Figure 11. (a) Pseudo-first-order kinetic model and (b) half-lives corresponding to catalyst.
Figure 11. (a) Pseudo-first-order kinetic model and (b) half-lives corresponding to catalyst.
Crystals 15 00890 g011
Figure 12. Recycling GP@Nano-BaCO3.
Figure 12. Recycling GP@Nano-BaCO3.
Crystals 15 00890 g012
Table 1. Effect of precursors, methods, and surfactants on morphology and dimensions of BaCO3.
Table 1. Effect of precursors, methods, and surfactants on morphology and dimensions of BaCO3.
Ba PrecursorMethodCarbonization AgentSurfactantsDimensionMorphologyReference
Ba(CH3COO)2
BaCl2·2H2O
Ba(OH)2·8H2O
Microwave-assistedNaOHCTABaverage length of 3 μm fruit[9]
SDSaverage length of 4 μm rod, peanut, bean
Tween 80average length 120 nmfruit
Ba(NO)3Oil bath heating(NH4)2CO3-length 1 μmfruit[10]
BaCl2·2H2OBiosynthesis with Gum acaciaNaHCO3-20 μm length, 200 nm to 2 μm diameterrods, dumbbell, double-dumbbell, flower[11]
BaCl2·2H2OBiosynthesis with Stevia extract(NH4)2CO3-50–70 nmspherical [8]
Table 2. Synthesis condition of BaCO3 particles.
Table 2. Synthesis condition of BaCO3 particles.
Ba2+ Concentration (M)Temperature
(°C)
Calcination Temperature
(°C)
Calcination Time
(min)
Calcination Yield
(%)
Sample Code
0.52355012097.02Nano-BaCO3/0.5
1.02397.75Nano-BaCO3/1
1.52398.11Nano-BaCO3/1.5
1.07598.65Nano-BaCO3/1/75
Table 3. A comparison of Raman bands for the BaCO3 reported in the literature with the FTIR bands obtained in this study.
Table 3. A comparison of Raman bands for the BaCO3 reported in the literature with the FTIR bands obtained in this study.
Vibrational ModeRaman BaCO3 (Lit.)ATR-FTIR BaCO3 (This Work)Observations
ν1~1066–1075 cm−11062/1059 cm−1Strongly dominant in Raman; activated and medium in IR for witherite
ν2~855–870 cm−1856 cm−1Overlap
ν3~1410–1460 cm−11416 cm−1Weak-to-moderate in Raman, strong in IR
ν4~690–710 cm−1 (often a doublet)685 cm−1Sharper in Raman can appear split in witherite
Table 4. Crystal parameters of BaCO3 particles.
Table 4. Crystal parameters of BaCO3 particles.
SampleBa2+ Concentration (M)Crystallite Size (nm) ± SDa
(Å)
b
(Å)
c
(Å)
Nano-BaCO3/0.50.552.00 ± 2.66.44815.29948.9300
Nano-BaCO3/11.056.26 ± 2.76.44135.30648.9201
Nano-BaCO3/1.51.564.74 ± 1.46.44555.30308.9404
Nano-BaCO3/1/751.086.65 ± 1.16.44245.30468.9182
Table 5. BET results of GP, PVC, GP@Nano-BaCO3, and PVC@Nano-BaCO3.
Table 5. BET results of GP, PVC, GP@Nano-BaCO3, and PVC@Nano-BaCO3.
SampleDensity
(g/cm3)
Surface Area (m2/g)Pore Volume (cm3/g)Adsorption Average Pore Size Diameter (nm)Desorption Average Size Diameter (nm)
GP2.38036.21890.9388610.368816.5699
PVC1.360−0.0273---
GP@Nano-BaCO32.36022.63360.0623710.645618.7904
PVC@ Nano-BaCO31.4400.03590.00023225.770928.0461
Table 6. Kinetic parameters.
Table 6. Kinetic parameters.
SampleK (min−1)t1/2 (min)
GP1.45 × 10−251
PVC3.62 × 10−3179
GP@Nano-BaCO31.74 × 10−239
PVC@Nano-BaCO38.6 × 10−379
Table 7. Related systems reported in the literature.
Table 7. Related systems reported in the literature.
MaterialPollutantLight SourcePerformance (k/t1/2)ObservationsReference
GPMBUV97.9% in 240 min behavior “adsorbent + photocatalysis”[27]
Fe2O3/TiO2/PVCMBsun~70.6% at 180 minreusable PVC backing; adsorption contribution + photo[28,29]
BaTiO3/zeoliteMBsun93% in 180 minferroelectric perovskite [30]
GP@Nano-BaCO3MBsun78% in 80 minbehavior “adsorbent + photocatalysis”Present study
PVC@Nano-BaCO3MBsun52% in 80 minbehavior “adsorbent + photocatalysis”Present study
Disclaimer/Publisher’s Note: The statements, opinions and data contained in all publications are solely those of the individual author(s) and contributor(s) and not of MDPI and/or the editor(s). MDPI and/or the editor(s) disclaim responsibility for any injury to people or property resulting from any ideas, methods, instructions or products referred to in the content.

Share and Cite

MDPI and ACS Style

Schiopu, A.-G.; Popescu, M.-I.; Assamadi, C.; Modan, E.M.; Moga, S.G.; Negrea, D.A.; Oproescu, M.; Aboulhrouz, S.; Aouad, H.; Ioța, M.-A. Barium Carbonate Synthesized via Hydrolysis: Morphostructural Analysis and Photocatalytic Performance in Polymer and Geopolymer Matrices. Crystals 2025, 15, 890. https://doi.org/10.3390/cryst15100890

AMA Style

Schiopu A-G, Popescu M-I, Assamadi C, Modan EM, Moga SG, Negrea DA, Oproescu M, Aboulhrouz S, Aouad H, Ioța M-A. Barium Carbonate Synthesized via Hydrolysis: Morphostructural Analysis and Photocatalytic Performance in Polymer and Geopolymer Matrices. Crystals. 2025; 15(10):890. https://doi.org/10.3390/cryst15100890

Chicago/Turabian Style

Schiopu, Adriana-Gabriela, Maria-Ionela Popescu, Chaima Assamadi, Ecaterina Magdalena Modan, Sorin Georgian Moga, Denis Aurelian Negrea, Mihai Oproescu, Soumia Aboulhrouz, Hakima Aouad, and Miruna-Adriana Ioța. 2025. "Barium Carbonate Synthesized via Hydrolysis: Morphostructural Analysis and Photocatalytic Performance in Polymer and Geopolymer Matrices" Crystals 15, no. 10: 890. https://doi.org/10.3390/cryst15100890

APA Style

Schiopu, A.-G., Popescu, M.-I., Assamadi, C., Modan, E. M., Moga, S. G., Negrea, D. A., Oproescu, M., Aboulhrouz, S., Aouad, H., & Ioța, M.-A. (2025). Barium Carbonate Synthesized via Hydrolysis: Morphostructural Analysis and Photocatalytic Performance in Polymer and Geopolymer Matrices. Crystals, 15(10), 890. https://doi.org/10.3390/cryst15100890

Note that from the first issue of 2016, this journal uses article numbers instead of page numbers. See further details here.

Article Metrics

Back to TopTop