Next Article in Journal
Effect of Phase Composition Variation of Oxy–Nitride Composite Ceramics on Heat Resistance and Preservation of Strength Parameters
Previous Article in Journal
A High–Throughput Molecular Dynamics Study for the Modeling of Cryogenic Solid Formation
 
 
Font Type:
Arial Georgia Verdana
Font Size:
Aa Aa Aa
Line Spacing:
Column Width:
Background:
Review

The Unusual Functional Role of Protein Flexibility in Photosynthetic Light Harvesting: Protein Dynamics Studied Using Neutron Scattering

Institute of Physics, University of Tartu, W. Ostwaldi Str. 1, 50411 Tartu, Estonia
*
Author to whom correspondence should be addressed.
Crystals 2024, 14(8), 743; https://doi.org/10.3390/cryst14080743
Submission received: 25 July 2024 / Revised: 12 August 2024 / Accepted: 16 August 2024 / Published: 21 August 2024
(This article belongs to the Section Biomolecular Crystals)

Abstract

In addition to investigations of the three-dimensional protein structure, information on the dynamical properties of proteins is indispensable for an understanding of protein function in general. Correlations between protein dynamics and function are typically anticipated when both molecular mobility and function are concurrently affected under specific temperatures or hydration conditions. In contrast, excitation energy transfer within the major photosynthetic light-harvesting complex II (LHC II) presents an atypical case, as it remains fully operational even at cryogenic temperatures, primarily depending on the interactions between electronic states and involving harmonic protein vibrations only. This review summarizes recent work on vibrational and conformational protein dynamics of LHC II and directly relates these findings to its light-harvesting function. In addition, we give a comprehensive introduction into the use of neutron spectroscopy and molecular dynamics simulations to investigate the protein dynamics of photosynthetic protein complexes in solution, which is information complementary to that obtained by protein crystallography.

1. Introduction

The dynamics of proteins extend over many orders of magnitude, ranging from femtoseconds to seconds [1,2,3]. At the same time, different protein motions occur on various length scales, as illustrated in Figure 1 using the water-soluble chlorophyll protein complex (WSCP) as an example (pdb 5 hpz [4]).
These dynamics encompass a variety of movements, from the localized motion of small side chains (such as methyl group rotation) and protein backbone adjustments to domain fluctuations and the overall global diffusion of the entire macromolecule [5]. Remarkably, the stochastic localized movements of small side chains enable the protein to explore numerous subconformations on the picosecond timescale, thereby facilitating larger, functionally significant structural transitions in proteins [1,2]. The relationship between internal protein dynamics and function, often called the dynamics–function correlation, is a subject of significant scientific interest. However, the general nature of such effects has been challenged [6]. Nevertheless, there are several examples of a concomitant suppression of molecular motions and biological activity along with temperature or hydration decrease [7,8,9,10]. Thus, it is plausible to assume that the role of protein dynamics depends on the specific function of a protein. For example, particular steps of electron transfer in photosynthesis cease below characteristic temperatures and, thus, appear to require conformational protein dynamics for proper functioning because the latter charge transfer processes require structural changes in the protein [10,11,12,13].
Unlike other systems, photosynthetic light-harvesting complexes maintain their functional capabilities even at cryogenic temperatures [14,15]. The protein backbone is often considered a “rigid scaffold” characterized solely by harmonic protein vibrations [16]. This review explores the distinctive impacts of protein dynamics on the light-harvesting capabilities of a photosynthetic pigment–protein complex. Before delving into the specific effects of these dynamics, we provide a brief overview of photosynthetic light harvesting, the architecture of pertinent proteins, and experimental findings that suggest the influence of dynamics.
Light-harvesting complexes are assemblies of pigment–protein structures designed to capture solar radiation and effectively channel the resultant excitation energy to reaction centers, where the photochemical steps of photosynthesis take place (for reviews, see, e.g., [14,15,17]). Light-harvesting complex II (LHC II) is the main antenna complex of green plants (see Figure 2). Its trimeric crystal structure was explored by X-ray diffraction [18,19], unraveling the location of 14 chlorophylls (Chl) and four carotenoid (Car) molecules in each LHC II monomer. Close distances between Chls in the range of about 10 Å enable efficient excitation energy transfer (EET) within the complex. The solution structure of LHC II [20] can deviate from the trimeric form observed by X-ray crystallography (see Figure 2B,C).
The particular structural configuration of pigment molecules in LHC II underpins the efficient, ultrafast EET observed. Various experimental studies, including time-resolved absorption and 2D spectroscopy, have directly demonstrated EET on femto-to-picosecond timescales for Chl-to-Chl [21,22,23,24] and Car-to-Chl EET [25,26]. Numerous theoretical studies have attempted to describe spectroscopic data obtained for LHC II by simulations, thereby providing deeper insights into the particular pathways of ultrafast EET [27,28,29,30]. LHC II also bears an active role in protection against excess energy (see [31] and references therein).
Figure 2. (A), left: LHC II monomer crystal structure according to [18] (pdb 1RWT). Chla molecules are shown in orange, Chl b in green, and carotenoids in purple. (A), right: A schematic energy level diagram depicting light absorption and excitation energy transfer in a model complex that binds two pigment molecules. The diagram illustrates the electronic energy levels in the ground state (S0) and excited state (S1) as thick black bars, with vibrational levels built upon the electronic excited state shown as thin black lines. Vibrational levels building on the electronic excited state are thin black lines. Solid lines represent low-frequency vibrations of the protein (phonons), while higher-frequency vibrations of the pigments are depicted as dashed lines. Light absorption, i.e., the transition from the ground state of both pigments P1P2 into the excited state of the first pigment P1*P2, is illustrated by a blue arrow. Due to electron–vibrational coupling, light can be absorbed into the excited electronic state S1 and into the spectral regions marked in orange (protein vibrations) and yellow (pigment vibrations). EET from pigment P1 to pigment P2 is depicted by red arrows showing the de-excitation of P1 and the concomitant excitation of P2, resulting in the excited state P1P2*. This electron–vibrational coupling allows EET between pigment molecules with energetically different electronic states, leading to spectrally and spatially directed EET. Figure adapted from Golub et al. [32], copyright (2018) American Chemical Society. (B) Solution structure of the trimeric LHC II isolated with n-Octyl-β-D-glucopyranoside (LHC II–OG complex) based on SAXS data. The gray spheres correspond to the structure reconstruction of the complex according to a Monte Carlo simulation using DAMMIF. The latter structure is superimposed with the LHC II trimer (green) [18] with an additional detergent belt of OG molecules (blue). (C) Solution structure of the nonameric LHC II–β-DM based on SANS data. The gray spherical structure is the reconstruction of the complex according to the Monte Carlo simulations. The sphere structure produced by the Dammif program [33] is superimposed with the LHC II oligomer (green, blue, and yellow cartoons) with an additional detergent belt of β-DM (red lines). Figures in (B,C) are adapted from Golub et al. [20], copyright (2022) American Chemical Society.
Figure 2. (A), left: LHC II monomer crystal structure according to [18] (pdb 1RWT). Chla molecules are shown in orange, Chl b in green, and carotenoids in purple. (A), right: A schematic energy level diagram depicting light absorption and excitation energy transfer in a model complex that binds two pigment molecules. The diagram illustrates the electronic energy levels in the ground state (S0) and excited state (S1) as thick black bars, with vibrational levels built upon the electronic excited state shown as thin black lines. Vibrational levels building on the electronic excited state are thin black lines. Solid lines represent low-frequency vibrations of the protein (phonons), while higher-frequency vibrations of the pigments are depicted as dashed lines. Light absorption, i.e., the transition from the ground state of both pigments P1P2 into the excited state of the first pigment P1*P2, is illustrated by a blue arrow. Due to electron–vibrational coupling, light can be absorbed into the excited electronic state S1 and into the spectral regions marked in orange (protein vibrations) and yellow (pigment vibrations). EET from pigment P1 to pigment P2 is depicted by red arrows showing the de-excitation of P1 and the concomitant excitation of P2, resulting in the excited state P1P2*. This electron–vibrational coupling allows EET between pigment molecules with energetically different electronic states, leading to spectrally and spatially directed EET. Figure adapted from Golub et al. [32], copyright (2018) American Chemical Society. (B) Solution structure of the trimeric LHC II isolated with n-Octyl-β-D-glucopyranoside (LHC II–OG complex) based on SAXS data. The gray spheres correspond to the structure reconstruction of the complex according to a Monte Carlo simulation using DAMMIF. The latter structure is superimposed with the LHC II trimer (green) [18] with an additional detergent belt of OG molecules (blue). (C) Solution structure of the nonameric LHC II–β-DM based on SANS data. The gray spherical structure is the reconstruction of the complex according to the Monte Carlo simulations. The sphere structure produced by the Dammif program [33] is superimposed with the LHC II oligomer (green, blue, and yellow cartoons) with an additional detergent belt of β-DM (red lines). Figures in (B,C) are adapted from Golub et al. [20], copyright (2022) American Chemical Society.
Crystals 14 00743 g002
In pigment–protein complexes, the time course of EET is mainly defined by the positions of electronic states of the pigments, which are tuned by pigment–protein interactions and by electronic interactions between pigments. EET processes are facilitated through the coupling of electronic transitions with low-frequency protein vibrations, also known as electron–phonon coupling [15]. This effect is schematically represented in Figure 2A (refer to the figure caption for details). In brief, electron–phonon coupling expands the spectral range of light absorption (indicated by the blue arrow in Figure 2A) because transitions can occur not only between electronic states but also between vibrational states. Additionally, electron–phonon coupling facilitates EET between pigments with different energy levels (illustrated by the red arrows in Figure 2A) by dissipating the energy difference through vibrations.
Temperature-dependent variations in the positions of excited states and their coupling to vibrational frequencies can influence the absorption lineshapes and consequently the EET between pigments. Nonetheless, there is a deficiency in detailed investigations regarding the variation of electronic state positions and of protein vibrations with temperature.
Concerning electronic state positions, the reason for this shortfall is that most studies of EET in antenna complexes have so far been limited to particular, often cryogenic, temperatures. Remarkably, theoretical descriptions of LHC II spectra seem to yield appropriate models of spectroscopic data only up to about ~120 K [16,34]. Efforts to model spectroscopic data of LHC II across a broad temperature range are relatively scarce [35,36]. More recently, it has been demonstrated that the positions of excited states and/or electron–phonon coupling are influenced by the temperature-dependent initiation of protein dynamics [37]. This finding was unexpected since LHC II does not undergo significant conformational changes during EET, although it does when switching to photoprotective function, as previously mentioned. In contrast, it is widely recognized that protein dynamics are essential for conformational gating of specific steps of electron transfer in reaction centers. [38].
As far as electron–phonon coupling is concerned, experimental studies are widely restricted to cryogenic temperatures, using techniques known as spectral hole burning (SHB) or (difference) fluorescence line-narrowing ((Δ)FLN) [15]. The strengths of electron–phonon coupling observed in antenna complexes are typically characterized as weak, with coupling strengths S ranging from 0.5 to 1.5. The spectral shape describing the distribution of protein vibrations, known as the one-phonon profile or also as spectral density, is generally asymmetric [39] and features peak energies around 2.5 meV, equivalent to 20 cm−1, but it can be as high as about 4.6 meV [40,41].
Because of the technical restriction of SHB and FLN to temperatures below about 40 K [15], a different experimental approach is necessary to investigate proteins and, especially, the shape of their spectral density of pigment–protein complexes at higher temperatures. Quasielastic and inelastic neutron scattering (QENS and INS) are experimental techniques that can be used for direct studies of vibrational and conformational dynamics (for reviews, see [42,43,44]). Because hydrogen atoms, which are almost evenly distributed in protein molecules, have by far the highest incoherent scattering cross section, INS and QENS are widely employed for studies of protein dynamics [45]. QENS experiments have shown that both proteins [46,47,48,49,50] and biological membranes [10,43,51,52] exhibit conformational dynamics with a strong dependence on temperature and hydration. The latter dynamics emerges above temperatures ranging from 200 to 240 K, often denoted as dynamical transition, depending on the specific protein and the particular environment. Protein dynamics is also affected by folding, intrinsic disorder, or interaction with membrane lipids [53,54]. The spectral resolution employed in QENS experiments dictates the timescales of protein motions that can be observed [55], which, in turn, influences the onset of dynamics detected [56,57]. Hydration water dynamics can also be examined using contrast variation techniques [58,59]. INS spectra of proteins typically display a prominent inelastic peak centered at energy levels ranging from 2 to 7 meV (see, e.g., [60,61]). Additionally, QENS data can complement molecular dynamics (MD) simulations of internal protein motions [44,62,63,64]. In photosynthesis research, QENS and INS were employed to study protein dynamics and vibrations of LHC II [32,37,61]. QENS experiments reported the onset of conformational protein dynamics (the dynamical transition) in trimeric LHC II at about 80 and 240 K. The latter transition temperatures correlate well with shifts in the electronic state positions [37]. INS experiments showed an asymmetric inelastic peak at ~2.5 meV at temperatures below 80 K.
This study reviews previous research that suggests a functional role for protein dynamics in LHC II and explores their physical origins. As outlined above, this discussion encompasses the rarely explored temperature-dependent properties of two factors: (a) the electronic state positions as well as (b) the protein vibrations mediating EET between the electronic states.
We begin with a concise but comprehensive introduction to QENS spectroscopy. Along with that, we also refer to complementary methods like molecular dynamics simulations [65] as well as nuclear magnetic resonance [66]. Subsequently, we examine LHC II’s conformational and vibrational protein dynamics as observed in various QENS and INS studies and relate the latter findings to the spectroscopic properties of LHC II. We anticipate that our review highlights the dynamics–function correlations in the unexpected context of light harvesting and encourages further theoretical investigations that consider these effects.

2. Neutron Scattering for Studies of Protein Dynamics

Basic principles of neutron scattering: Neutron scattering is an extremely useful tool for studies of both protein structure and dynamics. For a basic understanding of the underlying principle, neutrons are best viewed as particle waves, with a specific energy E related to the respective de Broglie wavelength λ.
E = h 2 2 m 1 λ 2
where ħ = h/2π, h is Planck’s constant, and m = 1.67 × 10−27 kg is the mass of the neutron. Energies and related wavelengths of so-called “cold neutrons” are available from a neutron source (e.g., reactor or accelerator-driven spallation source) and are moderated at about 30 K span, as the following ranges indicate:
1 meV < E <20 meV
10 Å > λ > 2 Å
This means that the neutron de Broglie wavelengths are similar to interatomic distances, while neutron energies are close to those of low-energy dynamical excitations in condensed matter, including biomolecules. This overlap enables neutron scattering to achieve invaluable insights into structural and dynamical properties. The basic principle of a scattering experiment is illustrated in Figure 3. Particle waves (here neutrons) incident on a sample interact by transferring energy ħ ω and momentum ħQ following Equations (4) and (5), respectively.
ħ ω = E1 − E0
ħQ = ħ(k1k0)
where k0 and k1 denote the wave vectors of the incident and of the scattered neutrons, respectively, and E0 and E1 are the related neutron energies following the basic principle of energy and momentum conservation (see Figure 3A). Comparing X-rays and neutrons, photons are scattered by electron clouds of atoms, whereas neutron scattering is observed due to interactions with atomic nuclei. As a result, the atomic scattering cross section for X-rays depends on the atomic number Z and, thus, becomes larger with increasing Z or with heavier atoms. In turn, the atomic scattering cross section for neutrons does not depend directly on Z and favors lighter atoms, especially hydrogen, which is widely “invisible” to X-ray scattering.
As to a quantitative description of a scattering experiment as illustrated in Figure 3A, the number of neutrons scattered into a space angle δΩ and an energy transfer δω is given by the double-differential cross section (for an overview, see, e.g., Bee 1988 [67] or Grimaldo et al. [5]) as follows:
δ 2 σ δ Ω δ ω = k 1 k 0 [ b c o h 2 S c o h Q , ω + b i n c 2 S i n c Q , ω ]
where Q is the momentum transfer vector defined in Equation (5), and ħ ω is the energy transfer defined in Equation (4). The value b is the scattering length, which is the effective linear dimension of a scattering atom encountered by the probing neutron, composed of the sum of the incoherent scattering length b i n c and the coherent scattering length b c o h according to the equation b 2 = b i n c 2 + b c o h 2 . The scattering cross section σ then equals 4 π b 2 . While “coherent” scattering refers to a scattering process where neutrons scattered from different atoms interfere constructively, that is, we observe a pairwise correlation. Therefore, the resulting line shape Scoh (Q,ω) is denoted as the pair correlation function. As a consequence, coherent scattering preferentially contains structural information exploited, for example, in diffraction or small angle scattering experiments, but also information on dynamic, collective motions. In turn, “incoherent” scattering arises from neutrons scattered from the same atom at a different time. Consequently, Sinc (Q,ω) is referred to as a self-correlation function or incoherent dynamic structure factor. In the following description, we will predominantly discuss incoherent neutron scattering effects, as this is the technique necessary to investigate conformational and vibrational protein dynamics in the context of light harvesting within this review.
The importance of neutron scattering as a means for studies of protein dynamics primarily hinges on two fundamental properties: (i) the large incoherent scattering cross section σ i n c = 4 π b i n c 2 of hydrogen widely abundant in proteins, and (ii) the possibility of studying very small energy transfers ħ ω in the µeV to meV range that will allow to measure protein motions of the picosecond timescale, see below. The incoherent scattering cross section of hydrogen (79.7 × 10−24 cm−2) widely exceeds that of its coherent scattering (1.76 × 10−24 cm−2) by a factor of almost 50, so that the scattering originating from a protein is mostly incoherent. Additionally, the variation of the incoherent scattering cross sections between different isotopes of the same element, for example, hydrogen and deuterium (2.05 × 10−24 cm−2), is the key for contrast variation studies, where the incoherent scattering of specific atoms or molecules is suppressed.
Incoherent methods like QENS and INS differ from most coherent scattering techniques by differentiating according to the energy value ħ ω transferred between the sample and probing neutron. Here, basically two different modes of scattering can be distinguished: elastic (ħ ω = 0) and inelastic or quasielastic (ħ ω ≠ 0) scattering, encompassing processes without and with energy transfer between sample and neutrons, respectively (see Figure 3B,C). INS is usually associated with measuring distinct vibrational features, while QENS is related to lower-energy dynamical features close to the elastic peak. Typically, QENS/INS spectra comprise three major components (see Figure 3B): (a) a central elastic peak, (b) largely symmetric quasielastic features surrounding the elastic peak, and (c) inelastic peaks at higher energy transfers. It is possible to characterize the timescale and geometry of internal protein motions by analyzing the width, intensity, and momentum transfer dependence of the quasielastic features.
Quasielastic incoherent neutron scattering (QENS): We now turn to a brief summary of the analysis of QENS/INS spectra characterizing the molecular dynamics of biomolecules. As discussed above, it is sufficient to consider only the incoherent contribution to the double-differential cross section in scenarios involving a protonated scatterer, such as a protein or biological membrane. Consequently, Equation (6) is simplified as follows:
δ 2 σ δ Ω δ ω = k 1 k 0 b i n c 2 S i n c Q , ω
The incoherent dynamic structure factor Sinc(Q,ω) in Equation (7) is related to the Van Hove self-correlation function GS(r,t) by a double Fourier transform (e.g., Bee 1988 [67]).
S i n c Q , ω = 1 2 π e i ω t e i Q r G S r , t d r d t
where the self-correlation function GS(r,t) is the average time-dependent probability density distribution of the hydrogen atoms in a given protein, thus containing all time- and space-dependent information on the involved hydrogen motions.
In practice, Sinc(Q,ω) is not selectively accessible in an experiment. Instead, the experimental scattering function Sexp(Q,ω) can be given as follows:
S e x p Q , ω = F N e x p ( ħ ω 2 k T ) R ( Q , ω ) S t h e o ( Q , ω )
which comprises a normalization factor FN, the detailed balance factor e x p ( ħ ω 2 k T ) and the convolution with a resolution function R(Q,ω), which has to be obtained experimentally, with a theoretical model function Stheo(Q,ω) that describes the dynamics of the sample system according to Equation (8). The theoretical scattering function is often used in the form of a phenomenological model function, as follows:
S t h e o Q , ω = e u 2 Q 2 A 0 ( Q ) δ ω + n A n Q L n ( H n , ω ) + S i n ( Q , ω )
In this description, the scattered function contains the Debye–Waller factor, with the vibrational mean square displacement <u2> and the sum of three contributions: (i) the elastic peak A 0 ( Q ) δ ω , (ii) the quasielastic contribution n A n Q L n ( H n , ω ) , and (iii) the inelastic component Sin(Q,ω) describing low-frequency vibrational protein motions. This general composition of QENS spectra is schematically shown in Figure 3. In Equation (10) A0(Q) and An(Q) are the elastic and quasielastic incoherent structure factors (EISF and QISF), respectively, and Hn is the half-width at half maximum (HWHM). The relation between energy and timescale of motion can be illustrated by considering an exponential protein relaxation, so that the lineshape function L n ( H n , ω ) becomes a Lorentzian with a width related to the decay time τ R of the protein relaxation. As a consequence, QENS is able to resolve decay times only in those cases where linewidths are wider than the experimental resolution function. While narrower widths cannot be resolved, broader linewidths in the order of the spectral energy window may appear as background intensity. Thus, the proper choice of instrument resolution is closely related to the timescale of the dynamical process under study. In cases involving multiple processes, as is almost always the case for complex systems like proteins, performing measurements at various resolutions is necessary to capture a wide range of dynamics [55].
In Equation (10), the quasielastic contribution reflects localized internal hydrogen motions, often referred to as diffusive, which are a crucial component of the internal movements within proteins or lipids. These motions are characterized by a multi-exponential decay in time [68]. This type of decay is typical for confined atomic or molecular motions, such as two- or three-site jumps, or movements on a spherical surface or within a spherical cavity. Such motions result in scattering functions that include either finite or infinite series of Lorentzian components L n ( H n , ω ) , respectively. Alternatively, any multi-exponential decay can also be described by a Kohlrausch–Williams–Watt (KWW) function, which results in a stretched exponential decay. An excellent overview of a wide range of different model scattering functions was compiled by Bee [67]. An example of a specific dynamical model function that can be conveniently used for descriptions of localized motions even in proteins is the model of an isotropic rotation on the surface of a sphere. This model is characterized by a specific Q-dependence of the EISF A0(Q) according to (see Bee [67] and references therein):
A 0 Q = s i n 2 ( Q R ) ( Q R ) 2
where R represents the sphere’s radius and Q denotes the momentum transfer, the Q-dependence of EISF provides insights into the radius of motion. Therefore, it offers structural information derived from an incoherent experiment.
In practice, internal protein motions are often characterized in terms of an average atomic mean square displacement <u2>total [42], especially when investigating the temperature dependence of protein dynamics. It is obtained from only the elastic contribution to Equation (10) according to:
u 2 t o t a l T = u 2 1 Q 2 l n A 0 Q = 1 Q 2 l n S e l a s t T
The value <u2>total denotes the vibrational mean square displacement <u2> in the event of the absence of quasielastic scattering, for example, at low temperatures. In this case, the EISF A0(Q) becomes equal to one. In any other case, diffusive localized protein motions contribute due to the term ln A0(Q). The latter becomes constant in the so-called Gaussian approximation at very low Q values. Information equivalent to <u2> can be obtained by plotting the temperature dependence of the QISF as given by Equation (10). QENS studies require a suitable neutron source and well-adapted spectrometers. A review of such scattering instrumentation specifically for biological applications can be found in Teixeira et al. [69].
Practical QENS analysis: For further practical illustration, a color-intensity plot of a QENS data set for the model protein WSCP in aqueous solution at 300 K [70] is shown in Figure 4. The elastic peak is the most intense feature, located at an energy of 0 meV. The quasielastic contribution is symmetrically distributed around this elastic peak. It exhibits an increase in intensity with increasing momentum transfer Q at the expense of the elastic peak, indicating that a momentum transfer dependency can be further analyzed. By summing the data across all Q values, the averaged QENS spectrum of WSCP in the solution is obtained (depicted as the upper red line in Figure 4). This spectrum is then compared to a QENS spectrum of WSCP measured at 100 K, which displays significantly less quasielastic scattering, reflecting the reduced dynamics at lower temperatures. The data can also be summed across all energy values, meaning no differentiation in energy transfer between the probing neutron and the sample. This produces the angle spectrum or diffractogram of WSCP in solution, represented by the right red line in Figure 4. At 300 K, the diffractogram displays part of a broad correlation peak, which arises from the coherent scattering of the D2O solvent. If the temperature is lowered to 100 K, the angle spectrum displays three Bragg peaks stemming from the D2O ice instead. A protonated protein like WSCP is typically expected to show only a flat, incoherent background. This brief qualitative discussion demonstrates how both dynamical and structural aspects of a sample can be explored using QENS.
A further analysis of the same data set is shown in Figure 5. As mentioned above, the angle spectrum of WSCP in solution displayed in Figure 5A consists of contributions from the protein and from the solvent, which have to be thoroughly disentangled. Rusevich et al. [70] have used the coherent correlation peak of the angle spectrum of WSCP in solution to gauge the extent of solvent scattering; a separate buffer measurement shows the same peak stemming from D2O. After subtraction of the buffer data, however, the remaining contribution is flat as expected from an incoherent scatterer like a protein and can be solely identified with WSCP—possibly including a hydration water layer (see Figure 5A). The equally flat-angle spectrum of an incoherent scatterer (vanadium) is given for comparison. The corresponding QENS spectra of all scattering contributions are shown in Figure 5B using the same color code. A comparison of the data shows that the QENS spectrum of the buffer (green line) is much broader than that of the protein (red line), indicating that the motions of the liquid solvent are much faster than those of the relatively rigid protein itself. Considering the whole spectrum of WSCP in solution, it is apparent that it is largely constituted by the buffer spectrum, thus widely masking the contribution of the protein.
Once the QENS spectrum of WSCP is isolated by the procedure above, it can be fitted with a theoretical scattering function according to Equation (10); see Figure 5C for examples at different momentum transfers Q. In the case of WSCP, the latter fit requires two Lorentzian components, a broad (fast) and a narrow (slow) component, respectively. The dependence of the widths (HWHM) of the latter Lorentzian components on momentum transfer Q is shown in Figure 5D and exhibits rather different characteristics. The narrow component shows a clearly linear dependence on Q, which is indicative of a translational diffusion that can be assigned to the global diffusion of the whole WSCP molecule [70]. In turn, the broader contribution is identified with the internal (diffusive) dynamics of small protein sidechains of WSCP [70]. This example shows how different types and different geometries of motions can be disentangled from the QENS spectra of a protein, especially taking into account the case of a protein in solution.
Molecular dynamics (MD) simulations in photosynthesis research: Molecular dynamics (MD) simulations are a theoretical approach complementary to experimental QENS studies. Currently, the importance of MD simulations in photosynthesis research is increasingly recognized, particularly for their capability to unravel dynamical processes across various scales—from atomic details to larger biomolecular structures [71]. Often, MD simulations serve as a vital complement to experimental methods, offering a theoretical model that can predict and clarify experimental results. Typically, these simulations provide valuable insights into the dynamic interactions within the photosynthetic apparatus, which includes proteins, pigments, and other cofactors. Such insights are essential for understanding the interactions of these components over time, which is crucial for unraveling the efficiency and regulatory mechanisms of photosynthesis. For the first time, Schulten’s group initiated groundbreaking efforts in applying MD in photosynthesis research, which focused on the impact of pigment dynamics and environmental factors on the spectral characteristics of photosynthetic protein complexes [72].
Initially, due to limited computational power, simulations of large photosynthetic systems were restricted to just a few tenths of nanoseconds. Additionally, the size of these systems historically posed significant challenges, constraining both the scope and the level of detail achievable in MD simulations. However, with the continuous increase in computational power, researchers can now explore more complex systems over longer timescales and broader spatial dimensions.
Many force fields (FFs) have now been developed and validated specifically for photosynthetic pigments and cofactors, and this is significant for the photosynthetic research community. Most notably, all-atom FFs, including CHARMM and Amber, have undergone validation through comparisons of simulated properties with those derived from ab initio calculations [73,74,75,76].
Several MD approaches exist, tailored to the specific goals of the simulations. For instance, quantum mechanics (QM) and QM/molecular mechanics (MM) calculations consider both electronic and nuclear degrees of freedom, making this approach effective for detailing energy transfer and initial electron transfer processes. However, such detailed consideration is impractical for larger systems, where only nuclear degrees of freedom are feasible in classical, atomic-level MD simulations. For systems even larger, coarse-grained (CG) MD simulations are the only practical option, as they provide reasonable simulation times by simplifying the model further.
The Martini FF [77,78] is probably the most popular coarse-grained (CG) force field that functions at nearly atomic resolution. It typically consolidates about four non-hydrogen atoms into a single CG beads, categorized according to their physicochemical properties. This approach is extensively utilized in CG simulations to study the large-scale dynamics of lipid membranes in thylakoids, assessing how variations in lipid composition and structure influence the overall architecture and functionality of the photosynthetic membrane. MD simulations using the Martini FF at the CG resolution revealed that chlorophylls (Chls) are sensitive to protein–protein interactions between their embedding light-harvesting complex II (LHC II) and adjacent complexes [79].
MD simulations at CG resolution help to understand how photosynthetic proteins interact with surrounding lipids and cofactors, which can influence the functionality and stability of the photosynthetic complexes. For instance, detailed analysis of the lipid-binding sites of Photosystem II (PSII) was conducted through simulations exceeding 85 microseconds in duration [80]. These MD simulations revealed an enrichment of monogalactosyldiacylglycerol (MGDG) and sulfoquinovosyldiacylglycerol (SQDG) lipids around PSII, a phenomenon attributed to electrostatic interactions between PSII and these indigenous lipids.
For more information on the current use of molecular dynamics (MD) simulations in photosynthesis research, readers are referred to Liguori et al. 2020 [71]. Despite the great potential for combining the complementary QENS and MD methods, to the best of our knowledge, no study reporting a direct combination has been available so far in photosynthesis research. This shortcoming is probably due to the high demand for sample material in QENS experiments. However, this problem may soon be eased with the emergence of novel neutron sources with higher flux so that experiments on isolated photosynthetic protein complexes of interest to MD will become more feasible in the future.

3. Protein Dynamics and Light Harvesting in LHC II

Light harvesting and EET in photosynthesis are comparatively well understood at cryogenic temperatures up to approximately 100 K, where crystal structures of various photosynthetic complexes, including LHC II, are available at near-atomic resolution. However, the dynamics become considerably more complicated at higher temperatures, as the spectroscopic properties of light-harvesting complexes typically exhibit significant changes above approximately 100 K.
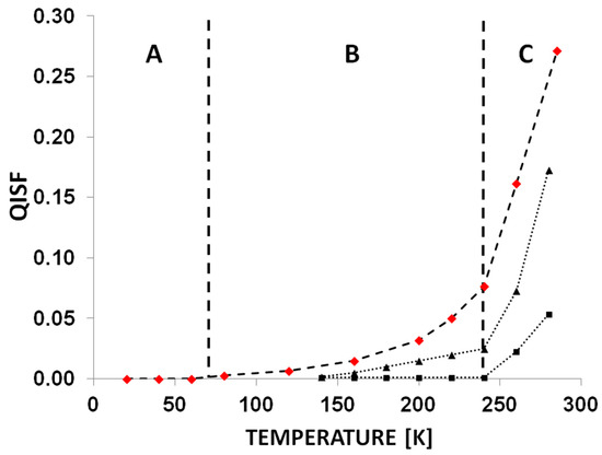
LHC II protein dynamics: Vrandecic et al. [37] have addressed the lack of information on the functional role of protein dynamics in light harvesting, in particular in LHC II, by a combination of QENS and optical spectroscopy. The relative quasielastic intensity as a function of temperature as defined by the QISF according to the specified Equation (10) (red diamonds in Figure 6). The following three ranges of varying protein dynamics can be identified: (a) in Range A there is no quasielastic contribution below 77 K, i.e., QISF = 0, implying that protein dynamics is frozen and that the protein is trapped in individual conformational substates; (b) in Range B the QISF slightly increases with temperature, indicating an onset of dynamics on the picosecond timescale; and (c) in Range C the QISF values are markedly rising with temperature because of a substantial increase in protein flexibility. The protein dynamics in Range B are often associated with motions of small molecular entities like methyl groups unrelated to the particular environment or solvent. The dynamical changes at about 240 K can be identified with the “dynamical transition”, seen as an onset of protein dynamics dependent on hydration or environmental conditions (for reviews, see [42] and references therein). It is instructive to compare the dynamics of LHC II in solution with similar data determined for PSII membranes. The QISFs of two Lorentzian components of PS II membranes hydrated at 90 r.h. are shown in Figure 6 along with their average time constants as reported from QENS experiments in ref. [43]. A comparison suggests that the dynamical transition is observed at about 240 K for both hydrated PS II membrane fragments and LHC II in solution, thus underpinning the solvent’s role in determining the transition temperature. It is important to note that the latter transition is absent in dry PS II membranes [43]. In contrast, the low-temperature transition in LHC II occurs at a notably low temperature of 77 K, compared to around 120 K in PS II membranes, suggesting that LHC II is generally more flexible than the bulk membrane. The QENS results are also consistent with recent NMR studies available for isolated LHC II [81] and for thylakoid membranes [82]. The data suggest that the Chl macrocyles of LHC II become too flexible to be detected by NMR between 223 and 244 K [81], which is consistent with the dynamical transition.
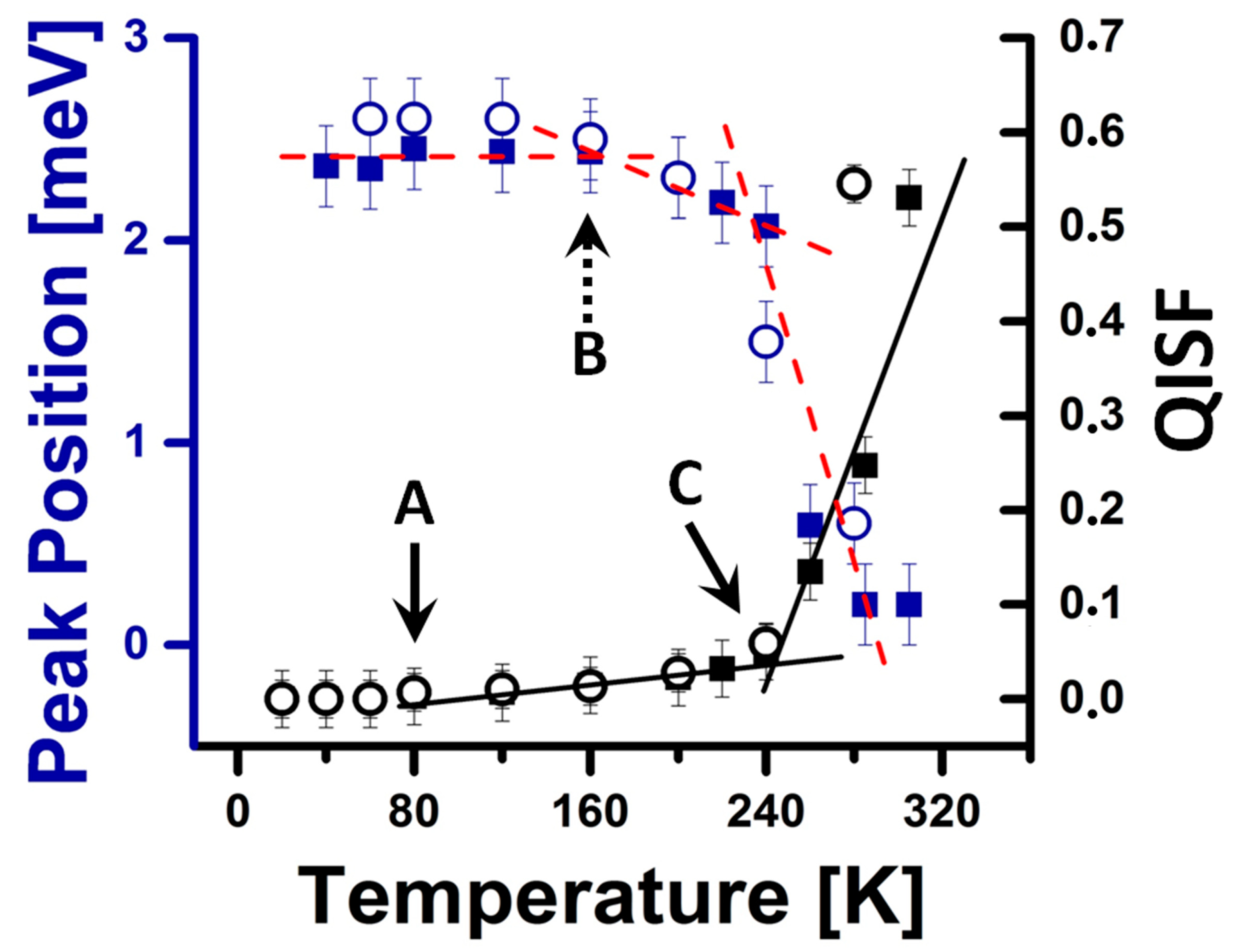
Protein dynamics and electronic state positions: We will now discuss the significance of the latter observations on LHC II protein dynamics for comprehending EET. Figure 7A illustrates the positions of the Chl 2 (Chla 612) absorption band as a function of temperature (see red line) along with the QISFs that represent protein dynamics [37]. Notably, the peak position of the absorption band remains constant only below 77 K but displays a subsequent red shift above this temperature. This shift cannot be explained by the concept of a rigid protein scaffold, implying a static protein structure, because in this case the electrostatic pigment–protein interaction would remain identical. Moreover, this phenomenon does not seem to result from a singular structural change at a specific transition temperature, as the peak position continuously shifts above 77 K. Therefore, an alternative mechanism must drive the observed effect.
Figure 7A also gives the temperature-dependent shifts in the fluorescence peak position for the case of native LHC II (see blue line), showing a blue shift up to about 120 K, followed by a red shift at higher temperatures [34]. The observed blue shift can be explained by the thermal excitation of higher-energy electronic states, which aligns with the low-energy level structure revealed by spectral hole-burning methods [34]. The subsequent redshift above 120 K correlates with the shift of the absorption band discussed above and with the findings by Rogl et al. [83], who noted a similar red shift in the fluorescence band of native LHC II, suggesting that Chl 2 (Chla 612) may be responsible for the fluorescent state of LHC II beyond 120 K. The influence of the protein environment on the excited state positions was also inferred in other studies (e.g., [84,85]).
The constant peak position of the above absorption band found below 77 K in contrast to a continuous shift of the latter peak above seems to suggest an effect of protein conformational dynamics. The shift of the peak appears at roughly the same temperature as the lower transition temperature of the protein dynamics, which can be ascribed to the availability of more thermally accessible conformational substates. This effect indicates a correlation between conformational dynamics and the position of excited electronic states of LHC II.
Protein dynamics and electron–phonon coupling: We now consider the Gaussian widths (FWHM) of the same Chl 2 (Chla 612) absorption band shown as a function of temperature by blue diamonds in Figure 7B [37]. The data clearly show that the temperature dependence of the widths is not linear as expected for the case of a rigid protein matrix exhibiting only harmonic vibrations. Considering the two transitions in LHC II protein dynamics found using QENS at ~77 K and ~240 K, one may again identify three temperature ranges related to different electron–phonon coupling parameters. Within the low-temperature range A, one finds a phonon frequency ωm of ~24 cm−1 and a reorganization energy Sωm of ~10.6 cm−1 with S = 0.44, in good agreement with values determined by ΔFLN and SHB at 4.5 K, respectively, in ref. [86]. A linear regression performed in both ranges B and C results in higher S-factors of 0.75 and 1.80, respectively, assuming the same phonon frequency as above. However, the mean frequency approximation is only a simplifying assumption because proteins are usually characterized by a broad distribution of low-frequency vibrations that can be determined by ΔFLN experiments at 4.5 K [34,86,87]. Moreover, it is possible or even likely that the shape of the latter distribution of vibrational frequencies changes with temperature [10,61]. The finding of varying S-factors in the three temperature ranges A–C implies some correspondence to different manifolds of thermally accessible conformational substates, as discussed below. The temperature dependence of the Gaussian widths in ranges B and C is qualitatively similar to that of the Chla 612 mutant of CP29 [36], which is largely homologous to LHC II, although the studies in ref. [36] were limited to a temperature range above 77 K.
A detailed understanding of the spectroscopic properties of Chl 2 (Chla 612) is also important because it was assigned to host the lowest energy electronic state of LHC II by site-directed mutagenesis at room temperature [83,88,89]. The data of Vrandecic et al. [37] are in line with this assignment at 290 K. However, the blue-shift of the Chl 2 (Chla 612) absorption band with decreasing temperature suggests that it is not the energetically lowest electronic state at cryogenic temperatures. In consequence, another lowest-energy state may have to be considered at 4.5 K. This idea may also explain why SHB experiments at 4.2 K find a rather localized lowest energy state [86], while Chl 2 (Chla 612) is part of an excitonically coupled Chla-trimer [28,29].
Potential energy model: Several scientific studies suggest that electronic state positions are generally prone to effects due to the protein environment or due to the solvent [28,30,83,88,89]. The data of Vrandecic et al. [37] confirm the importance of pigment–protein interactions. However, the latter study additionally uncovers that a pigment–protein complex undergoes localized conformational changes between different conformational (and energetical) substates on the picosecond timescale, which is comparable to EET kinetics. The temperature dependence of the QISF of LHC II visible in Figure 7A,B is usually described by asymmetric double-well potentials (see Figure 7C), with two potential wells V1 and V2 denoting energetically inequivalent protein conformations [16,42]. Then, protein may be trapped in one of the conformations at cryogenic temperatures, but the other conformation is thermally populated if the temperature rises. Within the linear Franck–Condon approach, electron–phonon coupling corresponds to a shift of the equilibrium position ai of a protein conformation Vi induced by an electronic excitation between the ground state E0 and the excited electronic state E1. The latter shift ai is then linearly proportional to the strength of the electron–phonon coupling S [90]. Based on the latter thoughts, a schematic potential energy model of LHC II can be developed that describes the vicinity of the Chl 2 (Chla 612) pigment molecule (see Figure 7C) and is consistent with the unusual temperature dependence visible in Figure 7A,B.
The ground state potential V1 lies below V2 in energy, so that the whole system becomes trapped in V1 at cryogenic temperatures, while V2 can be thermally populated with temperature rise. In the excited state, the energetic distance between the two potential wells V1 and V2 must be smaller than in the ground state so that the transition energy for an electronic excitation from the ground state E0 to the excited state E1 is lower in conformation V2 compared to conformation V1. This potential energy model produces a single higher-energy transition ΔE1 at low temperatures, with the system being trapped in conformation V1. At elevated temperatures, an additional lower-energy transition ΔE2 would appear and accompany the transition ΔE1. The relative contribution of the latter two transitions depends on the individual temperature. Therefore, the resulting electronic energies and S-factors of a pigment–protein complex become an average of the values of conformations V1 and V2. Returning to the temperature dependence of the absorption band of Chl 2 (Chla 612), the higher energy transition ΔE1 then represents the 4.5 K absorption band at 677 nm. The lower-energy transition ΔE2, in turn, should be located at about 684 nm, assuming that both conformations contribute roughly equally to the Chl 2 (Chla 612) absorption band detected at ~680.5 nm at 290 K. In addition, the two inequivalent electronic transitions ΔE1 and ΔE2 then constituting the Chl 2 (Chla 612) absorption band seem to possess somewhat different electron–phonon coupling strengths because the experimental S-factors obtained for conformation V1 below ~77 K from a thermal broadening analysis (see Figure 7B) differ from that for the mixture of the two conformations above ~77 K. As a result, the shift of the equilibrium position must be larger in the excited electronic state of conformation V2 than in V1, that is, a1 < a2. In this regard, it is interesting that ref. [28] discusses a possible (static) reorientation of a hydrogen bond close to Chla 604, which induces a red shift of the related absorption band. This is in line with our findings, while also suggesting that multiple reorientations may occur on a picosecond scale, so that the structure of LHC II is indeed dynamic at physiological temperatures. Fluctuations of electronic state positions of LHC II over a wide spectral range are also directly visible in single-molecule experiments. The latter fluctuations appear to be related to the switching of LHC II between light-harvesting and quenching states [27,28].
In conclusion of the above considerations, a tentative structural assignment of potential protein motions in the vicinity of Chl2/Chla 612 becomes possible. The protein environment of this particular Chl is shown in Figure 7D according to the LHC II structure (pdb 2BHW) [19]. There is one charged Lys 179 residue that can form and break hydrogen bonds with several acceptor groups, including the ester groups of the Chl phytyl chain or with ring E of Chl 2/Chla 612. It can also form hydrogen bonds with a Glu residue and with a water molecule in close vicinity. As discussed above, these potential hydrogen bonds may form and break subsequently on the picosecond timescale at physiological temperatures.
Temperature dependence of protein vibrations: An aspect not considered above is the temperature dependence of the protein vibrations that was investigated by INS by Golub et al. [32]. The inelastic peak positions corresponding to protein vibrations are displayed in Figure 8 along with the QISF values for both monomeric and trimeric LHC II. Notably, the inelastic peak position exhibits a complex temperature dependence that is distinct from that of the QISFs. This peak position remains nearly constant up to about 160 K but shifts to lower energies at higher temperatures. A more pronounced shift coincides with the dynamical transition at about 240 K. Despite these complexities, the temperature dependence of the inelastic peak remains consistent in monomeric and trimeric forms of LHC II. Similar effects were previously observed for a polymer glass [91], for different proteins [60,92,93,94], and for PS II membranes [10]. In some other cases, models were used that imposed constant positions of the inelastic peak [43,95].
When relating the temperature dependence of the inelastic peak positions with the corresponding QISFs, it seems that the shift of the inelastic peak is not correlated with the low-temperature transition of protein dynamics at roughly 77 K but may be related to the dynamical transition at 240 K. As discussed in ref. [37] before, the temperature-dependent QISFs suggest that the protein dynamics in trimeric LHC II freeze below 77 K, thus trapping the protein in specific conformational substates. INS experiments have shown that the inelastic peak mainly reflects harmonic vibrational motions below about 120 K [43]. The absence of protein dynamics is routinely assumed in theoretical simulations of EET, which are often restricted to non-physiological temperatures [16,27,28].
The shift of the inelastic peak above roughly 240 K may be associated with the dynamical transition in LHC II. This effect can be understood by assuming that the onset of protein dynamics during the dynamical transition induces an average softening of the protein because, as an example, hydrogen bonds are continuously broken and formed by moving protein residues. If we identify a protein vibration with a harmonic oscillator within a simple model, the vibrational frequency is determined by the mass and by the spring constant of the oscillator. As a result, softening of the protein then corresponds to a reduced spring constant and leads to a shift of the normal modes to lower energies.
In contrast, the same argumentation does not apply to the case of the low-temperature inelastic peak shift observed above ~160 K because it appears to be uncorrelated with the onset of protein dynamics observed at ~77 K in the case of LHC II. A possible explanation can be provided assuming vibrational anharmonicity. Assuming Lennard–Jones potential is a suitable initial approximation for the potential energy surface of a typical protein normal mode, the harmonic approximation remains valid primarily at low temperatures. At these temperatures, the asymmetry of the potential energy surface is minimal and can generally be disregarded, allowing the harmonic model to describe the system’s behavior accurately. At higher temperatures, the asymmetry of the potential energy surface causes deviations from the harmonic approximation, resulting in a shift of the respective normal mode to lower energy levels. This phenomenon is well documented in the literature, as noted in reference [90] and other citations therein. Therefore, vibrational anharmonicity provides a persuasive explanation for the observed shifts in the inelastic peak position, particularly in the temperature range from approximately 160 K to 240 K. Our findings confirm that inelastic neutron scattering (INS) is adept at revealing information about vibrational dynamics and anharmonicity in pigment–protein complexes, even at elevated or near-physiological temperatures. This capability contrasts sharply with optical line-narrowing techniques, typically limited to liquid helium temperatures [15].

4. Conclusions

Dynamics–function correlations are usually expected for proteins that undergo larger structural changes during a functional process, where the presence of stochastic localized molecular motions is necessary as a “lubricating grease”. Such structural changes are not expected in the case of the major antenna complex LHC II, where EET primarily is thought to depend on electronic interactions. Nevertheless, a number of unexpected or unusual effects of protein dynamics on the light-harvesting function of LHC II can be summarized: (i) the positions of electronic states involved in EET are fine-tuned by protein dynamics and, thus, strongly temperature dependent, also affecting the identity of the lowest energy state; and (ii) the strength of electron phonon coupling as well as the distribution of protein vibrations change with temperature as well. Among the latter effects, the fine-tuning of the lowest energy state is most important because its spectral position at about 680 nm at physiological temperature is most optimal for further EET to the reaction center of PSII.

Author Contributions

Conceptualization, M.G. and J.P.; methodology, M.G. and J.P.; software, M.G.; validation, J.P.; formal analysis, M.G. and J.P.; investigation, M.G. and J.P.; resources, J.P.; data curation, M.G.; writing—original draft preparation, M.G. and J.P.; writing—review and editing, J.P.; visualization, M.G.; supervision, J.P.; project administration, J.P.; funding acquisition, J.P. All authors have read and agreed to the published version of the manuscript.

Funding

This research received no external funding.

Data Availability Statement

No new data were created or analyzed in this study.

Acknowledgments

Financial support by the Estonian Research Council (Grants PRG 539 and SLOKT 12026 T) is gratefully acknowledged.

Conflicts of Interest

The authors declare no conflicts of interest.

References

  1. Henzler-Wildman, K.A.; Lei, M.; Thai, V.; Kerns, S.J.; Karplus, M.; Kern, D. A Hierarchy of Timescales in Protein Dynamics Is Linked to Enzyme Catalysis. Nature 2007, 450, 913–916. [Google Scholar] [PubMed]
  2. Frauenfelder, H.; Chen, G.; Berendzen, J.; Fenimore, P.W.; Jansson, H.; McMahon, B.H.; Stroe, I.R.; Swenson, J.; Young, R.D. A Unified Model of Protein Dynamic. Proc. Natl. Acad. Sci. USA 2009, 106, 5129–5134. [Google Scholar] [PubMed]
  3. Lewandowski, J.R.; Halse, M.E.; Blackledge, M.; Emsley, L. Protein Dynamics. Direct Observation of Hierarchical Protein Dynamics. Science 2015, 348, 578–581. [Google Scholar] [PubMed]
  4. Bednarczyk, D.; Dym, O.; Prabahar, V.; Peleg, Y.; Pike, D.H.; Noy, D. Fine Tuning of Chlorophyll Spectra by Protein-Induced Ring Deformation. Angew. Chem. Int. Ed. Engl. 2016, 55, 6901–6905. [Google Scholar] [PubMed]
  5. Grimaldo, M.; Roosen-Runge, F.; Zhang, F.; Schreiber, F.; Seydel, T. Dynamics of Proteins in Solution. Q. Rev. Biophys. 2019, 52, e7. [Google Scholar]
  6. Kamerlin, S.C.; Warshel, A. At the Dawn of the 21st Century: Is Dynamics the Missing Link for Understanding Enzyme Catalysis? Proteins 2010, 78, 1339–1375. [Google Scholar] [PubMed]
  7. Rasmussen, B.F.; Stock, A.M.; Ringe, D.; Petsko, G.A. Crystalline Ribonuclease a Loses Function Below the Dynamical Transition at 220 K. Nature 1992, 357, 423–424. [Google Scholar]
  8. Ostermann, A.; Waschipky, R.; Parak, F.G.; Nienhaus, G.U. Ligand Binding and Conformational Motions in Myoglobin. Nature 2000, 404, 205–208. [Google Scholar]
  9. Pieper, J.; Hauss, T.; Buchsteiner, A.; Renger, G. The Effect of Hydration on Protein Flexibility in Photosystem II of Green Plants Studied by Quasielastic Neutron Scattering. Eur. Biophys. J. 2008, 37, 657–663. [Google Scholar] [PubMed]
  10. Pieper, J.; Trapp, M.; Skomorokhov, A.; Natkaniec, I.; Peters, J.; Renger, G. Temperature-Dependent Vibrational and Conformational Dynamics of Photosystem II Membrane Fragments from Spinach Investigated by Elastic and Inelastic Neutron Scattering. Biochem. Biophys. Acta 2012, 1817, 1213–1219. [Google Scholar]
  11. Shlyk-Kerner, O.; Samish, I.; Kaftan, D.; Holland, N.; Sai, P.S.; Kless, H.; Scherz, A. Protein Flexibility Acclimatizes Photosynthetic Energy Conversion to the Ambient Temperature. Nature 2006, 442, 827–830. [Google Scholar] [PubMed]
  12. Zobnina, V.; Lambreva, M.D.; Rea, G.; Campi, G.; Antonacci, A.; Scognamiglio, V.; Giardi, M.T.; Polticelli, F. The Plastoquinol-Plastoquinone Exchange Mechanism in Photosystem II: Insight from Molecular Dynamics Simulations. Photosynth. Res. 2017, 131, 15–30. [Google Scholar] [PubMed]
  13. Golub, M.; Koppel, M.; Pikma, P.; Frick, B.; Pieper, J. Dynamics–Function Correlation in Photosystem II: Molecular Dynamics in Solution. Crystals 2023, 13, 1441. [Google Scholar] [CrossRef]
  14. van Amerongen, H.; Croce, R. Structure and Function of Photosystem II Light-Harvesting Proteins (LHCb) of Higher Plants. In Primary Processes of Photosynthesis, Part I; Renger, G., Ed.; RSC Publishing: Cambridge, UK, 2008; Volume 1, pp. 329–367. [Google Scholar]
  15. Jankowiak, R.; Reppert, M.; Zazubovich, V.; Pieper, J.; Reinot, T. Site Selective and Single Complex Laser-Based Spectroscopies: A Window on Excited State Electronic Structure, Excitation Energy Transfer, and Electron-Phonon Coupling of Selected Photosynthetic Complexes. Chem. Rev. 2011, 111, 4546–4598. [Google Scholar] [PubMed]
  16. Renger, T.; May, V. Simulations of Frequency-Domain Spectra: Structure-Function Relationships in Photosynthetic Pigment-Protein Complexes. J. Phys. Rev. Lett. 2000, 84, 5228–5231. [Google Scholar]
  17. Mirkovic, T.; Ostroumov, E.E.; Anna, J.M.; van Grondelle, R.; Govindjee; Scholes, G.D. Light Absorption and Energy Transfer in the Antenna Complexes of Photosynthetic Organisms. Chem. Rev. 2017, 117, 249–293. [Google Scholar]
  18. Liu, Z.; Yan, H.; Wang, K.; Kuang, T.; Zhang, J.; Gui, L.; An, X.; Chang, W. Crystal Structure of Spinach Major Light-Harvesting Complex at 2.72 Å Resolution. Nature 2004, 428, 287–292. [Google Scholar] [PubMed]
  19. Standfuss, J.; Terwisscha van Scheltinga, A.C.; Lamborghini, M.; Kuhlbrandt, W. Mechanisms of Photoprotection and Nonphotochemical Quenching in Pea Light-Harvesting Complex at 2.5 Å Resolution. EMBO J. 2005, 24, 919–928. [Google Scholar] [PubMed]
  20. Golub, M.; Lokstein, H.; Soloviov, D.; Kuklin, A.; Wieland, D.C.F.; Pieper, J. Light-Harvesting Complex II Adopts Different Quaternary Structures in Solution as Observed Using Small-Angle Scattering. J. Phys. Chem. Lett. 2022, 13, 1258–1265. [Google Scholar]
  21. Duan, H.G.; Stevens, A.L.; Nalbach, P.; Thorwart, M.; Prokhorenko, V.I.; Miller, R.J. Two-Dimensional Electronic Spectroscopy of Light-Harvesting Complex II at Ambient Temperature: A Joint Experimental and Theoretical Study. J. Phys. Chem. B 2015, 119, 12017–12027. [Google Scholar]
  22. Lewis, N.H.; Gruenke, N.L.; Oliver, T.A.; Fleming, G.R.; Ballottari, M.; Bassi, R. Observation of Electronic Excitation Transfer through Light Harvesting Complex II Using Two-Dimensional Electronic-Vibrational Spectroscopy. J. Phys. Chem. Lett. 2016, 7, 4197–4206. [Google Scholar] [PubMed]
  23. Akhtar, P.; Zhang, C.; Do, T.N.; Garab, G.; Lambrev, P.H.; Tan, H.S. Two-Dimensional Spectroscopy of Chlorophyll a Excited-State Equilibration in Light-Harvesting Complex II. J. Phys. Chem. Lett. 2017, 8, 257–263. [Google Scholar] [PubMed]
  24. Akhtar, P.; Dorogi, M.; Pawlak, K.; Kovacs, L.; Bota, A.; Kiss, T.; Garab, G.; Lambrev, P.H. Pigment Interactions in Light-Harvesting Complex II in Different Molecular Environments. J. Biol. Chem. 2015, 290, 4877–4886. [Google Scholar] [PubMed]
  25. Gradinaru, C.C.; van Stokkum, I.H.M.; Pascal, A.A.; van Grondelle, R.; van Amerongen, H. Identifying the Pathways of Energy Transfer between Carotenoids and Chlorophylls in LHC II and Cp29. A Multicolor, Femtosecond Pump-Probe Study. J. Phys. Chem. B 2000, 104, 9330–9342. [Google Scholar]
  26. Croce, R.; Müller, M.G.; Bassi, R.; Holzwarth, A.R. Carotenoid-to-Chlorophyll Energy Transfer in Recombinant Major Light-Harvesting Complex (LHC II) of Higher Plants. I. Femtosecond Transient Absorption Measurements. Biophys. J. 2001, 80, 901–915. [Google Scholar]
  27. Novoderezhkin, V.I.; Palacios, M.A.; van Amerongen, H.; van Grondelle, R. Excitation Dynamics in the Lhcii Complex of Higher Plants: Modeling Based on the 2.72 Angstrom Crystal Structure. J. Phys. Chem. B 2005, 109, 10493–10504. [Google Scholar] [PubMed]
  28. Müh, F.; Madjet Mel, A.; Renger, T. Structure-Based Identification of Energy Sinks in Plant Light-Harvesting Complex II. J. Phys. Chem. B 2010, 114, 13517–13535. [Google Scholar]
  29. Martiskainen, J.; Kananavicius, R.; Linnanto, J.; Lehtivuori, H.; Keranen, M.; Aumanen, V.; Tkachenko, N.; Korppi-Tommola, J. Excitation Energy Transfer in the LHC II Trimer: From Carotenoids to Chlorophylls in Space and Time. Photosynth. Res. 2011, 107, 195–207. [Google Scholar] [PubMed]
  30. Zucchelli, G.; Santabarbara, S.; Jennings, R.C. The Q(Y) Absorption Spectrum of the Light-Harvesting Complex II as Determined by Structure-Based Analysis of Chlorophyll Macrocycle Deformations. Biochemistry 2012, 51, 2717–2736. [Google Scholar] [PubMed]
  31. Demmig-Adams, B.; Adams, W.W.; Garab, G. Govindjee Non-Photochemical Quenching and Energy Dissipation in Plants, Algae and Cyanobacteria Preface. Adv. Photosynth. Resp. 2014, 40, 27–30. [Google Scholar]
  32. Golub, M.; Rusevich, L.; Irrgang, K.D.; Pieper, J. Rigid Versus Flexible Protein Matrix: Light-Harvesting Complex II Exhibits a Temperature-Dependent Phonon Spectral Density. J. Phys. Chem. B 2018, 122, 7111–7121. [Google Scholar]
  33. Franke, D.; Svergun, D.I. Dammif, a Program for Rapid Ab-Initio Shape Determination in Small-Angle Scattering. J. Appl. Crystallogr. 2009, 42, 342–346. [Google Scholar]
  34. Pieper, J.; Schödel, R.; Irrgang, K.D.; Voigt, J.; Renger, G. Electron-Phonon Coupling in Solubilized LHC II Complexes of Green Plants Investigated by Line-Narrowing and Temperature-Dependent Fluorescence Spectroscopy. J. Phys. Chem. B 2001, 105, 7115–7124. [Google Scholar]
  35. Zucchelli, G.; Garlaschi, F.M.; Jennings, R.C. Thermal Broadening Analysis of the Light Harvesting Complex II Absorption Spectrum. Biochemistry 1996, 35, 16247–16254. [Google Scholar] [PubMed]
  36. Belgio, E.; Casazza, A.P.; Zucchelli, G.; Garlaschi, F.M.; Jennings, R.C. Band Shape Heterogeneity of the Low-Energy Chlorophylls of Cp29: Absence of Mixed Binding Sites and Excitonic Interactions. Biochemistry 2010, 49, 882–892. [Google Scholar]
  37. Vrandecic, K.; Rätsep, M.; Wilk, L.; Rusevich, L.; Golub, M.; Reppert, M.; Irrgang, K.D.; Kühlbrandt, W.; Pieper, J. Protein Dynamics Tunes Excited State Positions in Light-Harvesting Complex II. J. Phys. Chem. B 2015, 119, 3920–3930. [Google Scholar] [PubMed]
  38. Shlyk, O.; Samish, I.; Matenova, M.; Dulebo, A.; Polakova, H.; Kaftan, D.; Scherz, A. A Single Residue Controls Electron Transfer Gating in Photosynthetic Reaction Centers. Sci. Rep. 2017, 7, 44580. [Google Scholar]
  39. Toutounji, M. Homogeneous Dephasing in Photosynthetic Bacterial Reaction Centers: Time Correlation Function Approach. Chem. Phys. Chem. 2024, 25, e202300335. [Google Scholar] [PubMed]
  40. Gryliuk, G.; Rätsep, M.; Hildebrandt, S.; Irrgang, K.D.; Eckert, H.J.; Pieper, J. Excitation Energy Transfer and Electron-Vibrational Coupling in Phycobiliproteins of the Cyanobacterium Acaryochloris Marina Investigated by Site-Selective Spectroscopy. Biochem. Biophys. Acta 2014, 1837, 1490–1499. [Google Scholar]
  41. Pieper, J.; Rätsep, M.; Golub, M.; Schmitt, F.J.; Artene, P.; Eckert, H.J. Excitation Energy Transfer in Phycobiliproteins of the Cyanobacterium Acaryochloris Marina Investigated by Spectral Hole Burning. Photosynth. Res. 2017, 133, 225–234. [Google Scholar]
  42. Gabel, F.; Bicout, D.; Lehnert, U.; Tehei, M.; Weik, M.; Zaccai, G. Protein Dynamics Studied by Neutron Scattering. Q. Rev. Biophys. 2002, 35, 327–367. [Google Scholar]
  43. Pieper, J.; Hauss, T.; Buchsteiner, A.; Baczynski, K.; Adamiak, K.; Lechner, R.E.; Renger, G. Temperature- and Hydration-Dependent Protein Dynamics in Photosystem II of Green Plants Studied by Quasielastic Neutron Scattering. Biochemistry 2007, 46, 11398–11409. [Google Scholar] [PubMed]
  44. Vural, D.; Hu, X.; Lindner, B.; Jain, N.; Miao, Y.; Cheng, X.; Liu, Z.; Hong, L.; Smith, J.C. Quasielastic Neutron Scattering in Biology: Theory and Applications. Biochem. Biophys. Acta 2017, 1861, 3638–3650. [Google Scholar]
  45. Nagy, G.; Garab, G. Neutron Scattering in Photosynthesis Research: Recent Advances and Perspectives for Testing Crop Plants. Photosynth. Res. 2021, 150, 41–49. [Google Scholar] [PubMed]
  46. Roh, J.H.; Curtis, J.E.; Azzam, S.; Novikov, V.N.; Peral, I.; Chowdhuri, Z.; Gregory, R.B.; Sokolov, A.P. Influence of Hydration on the Dynamics of Lysozyme. Biophys. J. 2006, 91, 2573–2588. [Google Scholar]
  47. Doster, W.; Settles, M. Protein-Water Displacement Distributions. Biochim. Biophys. Acta 2005, 1749, 173–186. [Google Scholar] [PubMed]
  48. Matsuo, T.; Arata, T.; Oda, T.; Nakajima, K.; Ohira-Kawamura, S.; Kikuchi, T.; Fujiwara, S. Internal Dynamics of F-Actin and Myosin Subfragment-1 Studied by Quasielastic Neutron Scattering. Biochem. Biophys. Res. Commun. 2015, 459, 493–497. [Google Scholar] [PubMed]
  49. Fujiwara, S.; Araki, K.; Matsuo, T.; Yagi, H.; Yamada, T.; Shibata, K.; Mochizuki, H. Dynamical Behavior of Human Alpha-Synuclein Studied by Quasielastic Neutron Scattering. PLoS. One 2016, 11, e0151447. [Google Scholar]
  50. Paciaroni, A.; Orecchini, A.; Cinelli, S.; Pieper, J. Protein Dynamics on the Picosecond Timescale as Affected by the Environment: A Quasielastic Neutron Scattering. Chem. Phys. 2003, 292, 397–404. [Google Scholar]
  51. Ferrand, M.; Dianoux, A.J.; Petry, W.; Zaccai, G. Thermal Motions and Function of Bacteriorhodopsin in Purple Membranes: Effects of Temperature and Hydration Studied by Neutron Scattering. Proc. Natl. Acad. Sci. USA 1993, 90, 9668–9672. [Google Scholar] [PubMed]
  52. Fitter, J.; Lechner, R.E.; Buldt, G.; Dencher, N.A. Internal Molecular Motions of Bacteriorhodopsin: Hydration-Induced Flexibility Studied by Quasielastic Incoherent Neutron Scattering Using Oriented Purple Membranes. Proc. Natl. Acad. Sci. USA 1996, 93, 7600–7605. [Google Scholar]
  53. Gaspar, A.M.; Appavou, M.S.; Busch, S.; Unruh, T.; Doster, W. Dynamics of Well-Folded and Aatively Disordered Proteins in Solution: A Time-of-Flight Neutron Scattering Study. Eur. Biophys. J. 2008, 37, 573–582. [Google Scholar]
  54. Gallat, F.X.; Laganowsky, A.; Wood, K.; Gabel, F.; van Eijck, L.; Wuttke, J.; Moulin, M.; Hartlein, M.; Eisenberg, D.; Colletier, J.P.; et al. Dynamical Coupling of Intrinsically Disordered Proteins and Their Hydration Water: Comparison with Folded Soluble and Membrane Proteins. Biophys. J. 2012, 103, 129–136. [Google Scholar] [PubMed]
  55. Lechner, R.E. Observation-Time Dependent Structural Information from Quasielastic Neutron Scattering. Phys. B Condens. Matter 2001, 301, 83–93. [Google Scholar]
  56. Becker, T.; Hayward, J.A.; Finney, J.L.; Daniel, R.M.; Smith, J.C. Neutron Frequency Windows and the Protein Dynamical Transition. Biophys. J. 2004, 87, 1436–1444. [Google Scholar]
  57. Gabel, F.; Bellissent-Funel, M.C. C-Phycocyanin Hydration Water Dynamics in the Presence of Trehalose: An Incoherent Elastic Neutron Scattering Study at Different Energy Resolutions. Biophys. J. 2007, 92, 4054–4063. [Google Scholar] [PubMed]
  58. Schiro, G.; Fichou, Y.; Gallat, F.X.; Wood, K.; Gabel, F.; Moulin, M.; Hartlein, M.; Heyden, M.; Colletier, J.P.; Orecchini, A.; et al. Translational Diffusion of Hydration Water Correlates with Functional Motions in Folded and Intrinsically Disordered Proteins. Nat. Commun. 2015, 6, 6490. [Google Scholar] [PubMed]
  59. Paciaroni, A.; Orecchini, A.; Sebastiani, F.; Sacchetti, F. Vibrational Dynamics Changes of Protein Hydration Water across the Dynamic Transition. J. Non-Cryst. Solids 2015, 407, 465–471. [Google Scholar]
  60. Orecchini, A.; Paciaroni, A.; Bizzarri, A.R.; Cannistraro, S. Low-Frequency Vibrational Anomalies in Beta-Lactoglobulin: Contribution of Different Hydrogen Classes Revealed by Inelastic Neutron Scattering. J. Phys. Chem. B 2001, 105, 12150–12156. [Google Scholar]
  61. Pieper, J.; Irrgang, K.D.; Renger, G.; Lechner, R.E. Density of Vibrational States of the Light-Harvesting Complex II of Green Plants Studied by Inelastic Neutron Scattering. J. Phys. Chem. B 2004, 108, 10556–10565. [Google Scholar]
  62. Tarek, M.; Tobias, D.J. Role of Protein-Water Hydrogen Bond Dynamics in the Protein Dynamical Transition. Phys. Rev. Lett. 2002, 88, 138101. [Google Scholar] [PubMed]
  63. Kneller, G.R. Quasielastic Neutron Scattering and Relaxation Processes in Proteins: Analytical and Simulation-Based Models. Phys. Chem. Chem. Phys. 2005, 7, 2641–2655. [Google Scholar]
  64. Aoun, B.; Pellegrini, E.; Trapp, M.; Natali, F.; Cantu, L.; Brocca, P.; Gerelli, Y.; Deme, B.; Marek Koza, M.; Johnson, M.; et al. Direct Comparison of Elastic Incoherent Neutron Scattering Experiments with Molecular Dynamics Simulations of DMPC Phase Transitions. Eur. Phys. J. E Soft Matter Biol. Phys. 2016, 39, 48. [Google Scholar]
  65. Liguori, N.; Periole, X.; Marrink, S.J.; Croce, R. From Light-Harvesting to Photoprotection: Structural Basis of the Dynamic Switch of the Major Antenna Complex of Plants (LHC II). Sci. Rep. 2015, 5, 15661. [Google Scholar]
  66. Pandit, A. Structural Dynamics of Light Harvesting Proteins, Photosynthetic Membranes, and Cells Observed by Spectral Editing Solid-State NMR. J. Chem. Phys. 2022, 157, 025101. [Google Scholar]
  67. Bee, M. Quasielastic Neutron Scattering: Principles and Applications in Solid State Chemistry, Biological Materilas Science; IOP Publishing Ltd.: Philadelphia, PA, USA, 1988. [Google Scholar]
  68. Fitter, J.; Lechner, R.E.; Dencher, N.A. Interactions of Hydration Water and Biological Membranes Studied by Neutron Scattering. J. Phys. Chem. B 1999, 103, 8036–8050. [Google Scholar]
  69. Teixeira, S.C.; Ankner, J.; Bellissent-Funel, M.C.; Bewley, R.; Blakeley, M.P.; Coates, L.; Dahint, R.; Dalgliesh, R.; Dencher, N.; Dhont, J.; et al. New Sources and Instrumentation for Neutrons in Biology. Chem. Phys. 2008, 345, 133–151. [Google Scholar] [PubMed]
  70. Rusevich, L.; Embs, J.; Bektas, I.; Paulsen, H.; Renger, G.; Pieper, J. Protein and Solvent Dynamics of the Water-Soluble Chlorophyll-Binding Protein (WSCP). EPJ Web Conf. 2015, 83, 02016. [Google Scholar]
  71. Liguori, N.; Croce, R.; Marrink, S.J.; Thallmair, S. Molecular Dynamics Simulations in Photosynthesis. Photosynth. Res. 2020, 144, 273–295. [Google Scholar]
  72. Schulten, K.; Tesch, M. Coupling of Protein Motion to Electron-Transfer—Molecular-Dynamics and Stochastic Quantum-Mechanics Study of Photosynthetic Reaction Centers. Chem. Phys. 1991, 158, 421–446. [Google Scholar]
  73. Cerezo, J.; Zúñiga, J.; Bastida, A.; Requena, A.; Cerón-Carrasco, J.P. Conformational Changes of Β-Carotene and Zeaxanthin Immersed in a Model Membrane through Atomistic Molecular Dynamics Simulations. Phys. Chem. Chem. Phys. 2013, 15, 6527–6538. [Google Scholar] [PubMed]
  74. Guerra, F.; Adam, S.; Bondar, A.N. Revised Force-Field Parameters for Chlorophyll-, Pheophytin- and Plastoquinone-9. J. Mol. Graph. Model 2015, 58, 30–39. [Google Scholar]
  75. Adam, S.; Knapp-Mohammady, M.; Yi, J.; Bondar, A.N. Revised Charmm Force Field Parameters for Iron-Containing Cofactors of Photosystem II. J. Comput. Chem. 2018, 39, 7–20. [Google Scholar]
  76. Kim, C.W.; Choi, B.; Rhee, Y.M. Excited State Energy Fluctuations in the Fenna-Matthews-Olson Complex from Molecular Dynamics Simulations with Interpolated Chromophore Potentials. Physical. Chem. Chem. Phys. 2018, 20, 3310–3319. [Google Scholar]
  77. Marrink, S.J.; Risselada, H.J.; Yefimov, S.; Tieleman, D.P.; de Vries, A.H. The Martini Force Field: Coarse Grained Model for Biomolecular Simulations. J. Phys. Chem. B 2007, 111, 7812–7824. [Google Scholar]
  78. Marrink, S.J.; Tieleman, D.P. Perspective on the Martini Model. Chem. Soc. Rev. 2013, 42, 6801–6822. [Google Scholar]
  79. Thallmair, S.; Marrink, S. Molecular Dynamics of Light-Harvesting Complex II Trimers in Thylakoid Membrane. Abstr. Pap. Am. Chem. S 2019, 257. [Google Scholar] [CrossRef]
  80. Van Eerden, F.J.; Melo, M.N.; Frederix, P.; Marrink, S.J. Prediction of Thylakoid Lipid Binding Sites on Photosystem II. Biophys. J. 2017, 113, 2669–2681. [Google Scholar] [PubMed]
  81. Pandit, A.; Reus, M.; Morosinotto, T.; Bassi, R.; Holzwarth, A.R.; de Groot, H.J. An NMR Comparison of the Light-Harvesting Complex II (LHC II) in Active and Photoprotective States Reveals Subtle Changes in the Chlorophyll a Ground-State Electronic Structures. Biochem. Biophys. Acta 2013, 1827, 738–744. [Google Scholar]
  82. Azadi Chegeni, F.; Perin, G.; Sai Sankar Gupta, K.B.; Simionato, D.; Morosinotto, T.; Pandit, A. Protein and Lipid Dynamics in Photosynthetic Thylakoid Membranes Investigated by in-Situ Solid-State NMR. Biochim. Biophys. Acta 2016, 1857, 1849–1859. [Google Scholar]
  83. Rogl, H.; Schödel, R.; Lokstein, H.; Kuhlbrandt, W.; Schubert, A. Assignment of Spectral Substructures to Pigment-Binding Sites in Higher Plant Light-Harvesting Complex LHC II. Biochemistry 2002, 41, 2281–2287. [Google Scholar]
  84. Agostini, A.; Meneghin, E.; Gewehr, L.; Pedron, D.; Palm, D.M.; Carbonera, D.; Paulsen, H.; Jaenicke, E.; Collini, E. How Water-Mediated Hydrogen Bonds Affect Chlorophyll a/b Selectivity in Water-Soluble Chlorophyll Protein. Sci. Rep. 2019, 9, 18255. [Google Scholar]
  85. Srivastava, A.; Ahad, S.; Wat, J.H.; Reppert, M. Accurate Prediction of Mutation-Induced Frequency Shifts in Chlorophyll Proteins with a Simple Electrostatic Model. J. Chem. Phys. 2021, 155, 151102. [Google Scholar] [PubMed]
  86. Pieper, J.; Rätsep, M.; Irrgang, K.D.; Freiberg, A. Chromophore-Chromophore and Chromophore-Protein Interactions in Monomeric Light-Harvesting Complex II of Green Plants Studied by Spectral Hole Burning and Fluorescence Line Narrowing. J. Phys. Chem. B 2009, 113, 10870–10880. [Google Scholar]
  87. Rätsep, M.; Freiberg, A. Electron-Phonon and Vibronic Couplings in the Fmo Bacteriochlorophyll a Antenna Complex Studied by Difference Fluorescence Line Narrowing. J. Lumin. 2007, 127, 251–259. [Google Scholar]
  88. Remelli, R.; Varotto, C.; Sandona, D.; Croce, R.; Bassi, R. Chlorophyll Binding to Monomeric Light-Harvesting Complex—A Mutation Analysis of Chromophore-Binding Residues. J. Biol. Chem. 1999, 274, 33510–33521. [Google Scholar] [PubMed]
  89. Rogl, H.; Kühlbrandt, W. Mutant Trimers of Light-Harvesting Complex II Exhibit Altered Pigment Content and Spectroscopic Features. Biochemistry 1999, 38, 16214–16222. [Google Scholar]
  90. Rebane, K. Impurity Spectra of Solids; Plenum Press: New York, NY, USA, 1970. [Google Scholar]
  91. Frick, B.; Richter, D. Change of the Vibrational Dynamics near the Glass Transition in Polyisobutylene: Inelastic Neutron Scattering on a Nonfragile Polymer. Phys. Rev. B Condens. Matter 1993, 47, 14795–14804. [Google Scholar]
  92. Nakagawa, H.; Joti, Y.; Kitao, A.; Kataoka, M. Hydration Affects Both Harmonic and Anharmonic Nature of Protein Dynamics. Biophys. J. 2008, 95, 2916–2923. [Google Scholar]
  93. Frontzek, A.V.; Strokov, S.V.; Embs, J.P.; Lushnikov, S.G. Does a Dry Protein Undergo a Glass Transition? J. Phys. Chem. B 2014, 118, 2796–27802. [Google Scholar]
  94. Frontzek, A.V.; Embs, J.P.; Paccou, L.; Guinet, Y.; Hedoux, A. Low-Frequency Dynamics of Bsa Complementarily Studied by Raman and Inelastic Neutron Spectroscopy. J. Phys. Chem. B 2017, 121, 5125–5132. [Google Scholar]
  95. Cusack, S.; Doster, W. Temperature Dependence of the Low Frequency Dynamics of Myoglobin. Measurement of the Vibrational Frequency Distribution by Inelastic Neutron Scattering. Biophys. J. 1990, 58, 243–251. [Google Scholar] [PubMed]
Figure 1. Illustration of different types of protein dynamics using the water-soluble chlorophyll protein complex (WSCP) as an example (pdb 5hpz [4]). The left panel displays the crystal structure of WSCP, depicted in a blue–white–red cartoon representation. The chlorophyll molecules are shown as sticks. The color scheme of blue, white, and red corresponds to the root-mean-square fluctuation (RMSF) values for each residue of WSCP, indicating the general level of flexibility based on MD simulations conducted over 40 ns. The depiction also includes the position of one of WSCP’s domains after 30 ns of MD simulations, shown in cartoons colored in a wheat tint to represent approximately the dynamics of rotation, translation, and domain fluctuation. The right panel provides a close-up view of three consecutive residues in WSCP: GLY-15, ALA-16, and LYS-17. The example of the alanine residue illustrates localized diffusion of the NH3 methyl group, occurring on a timescale from picoseconds to nanoseconds and at a sub-nanometer length scale. Additionally, the vibrations occur over a femto-to-picosecond timescale, with amplitudes reaching up to a few angstroms.
Figure 1. Illustration of different types of protein dynamics using the water-soluble chlorophyll protein complex (WSCP) as an example (pdb 5hpz [4]). The left panel displays the crystal structure of WSCP, depicted in a blue–white–red cartoon representation. The chlorophyll molecules are shown as sticks. The color scheme of blue, white, and red corresponds to the root-mean-square fluctuation (RMSF) values for each residue of WSCP, indicating the general level of flexibility based on MD simulations conducted over 40 ns. The depiction also includes the position of one of WSCP’s domains after 30 ns of MD simulations, shown in cartoons colored in a wheat tint to represent approximately the dynamics of rotation, translation, and domain fluctuation. The right panel provides a close-up view of three consecutive residues in WSCP: GLY-15, ALA-16, and LYS-17. The example of the alanine residue illustrates localized diffusion of the NH3 methyl group, occurring on a timescale from picoseconds to nanoseconds and at a sub-nanometer length scale. Additionally, the vibrations occur over a femto-to-picosecond timescale, with amplitudes reaching up to a few angstroms.
Crystals 14 00743 g001
Figure 3. (A) A schematic representation of a neutron scattering process would show an incident neutron with a specific energy E0 and wavelength λ0 after interaction with the sample is observed at scattering angle θ with energy E1 and wavelength λ1. Then, energy and momentum transfer are given by ħω and Q, respectively. (B) General composition of QENS spectra as a function of energy transfer ħω, with a central elastic peak at ħω = 0 (black line), a symmetric quasielastic broadening around ħω = 0 (red line), and inelastic contributions at ħω < 0 and ħω > 0 (blue lines). The experimental resolution function R broadens the elastic peak (Q,ω). (C) scattering triangles are shown for the regimes of neutron energy loss (left), elastic scattering (center), and neutron energy gain (right) corresponding to the spectral ranges in (C).
Figure 3. (A) A schematic representation of a neutron scattering process would show an incident neutron with a specific energy E0 and wavelength λ0 after interaction with the sample is observed at scattering angle θ with energy E1 and wavelength λ1. Then, energy and momentum transfer are given by ħω and Q, respectively. (B) General composition of QENS spectra as a function of energy transfer ħω, with a central elastic peak at ħω = 0 (black line), a symmetric quasielastic broadening around ħω = 0 (red line), and inelastic contributions at ħω < 0 and ħω > 0 (blue lines). The experimental resolution function R broadens the elastic peak (Q,ω). (C) scattering triangles are shown for the regimes of neutron energy loss (left), elastic scattering (center), and neutron energy gain (right) corresponding to the spectral ranges in (C).
Crystals 14 00743 g003
Figure 4. Color-intensity plot of neutron scattering data of WSCP at 300 K (lower left corner) obtained as a function of energy (horizontal scale) and scattering vector (momentum transfer) Q (vertical scale). The summation of the data over all energy channels yields the diffractogram (right panel) of WSCP in buffer solution at 300 K (red). The diffractogram at 100 K is shown as a black line for comparison. The summation of the data over all (or a suitable number of) Q-values yields the QENS spectrum (top panel) of WSCP in buffer solution at 300 K (red). The QENS spectrum at 100 K is shown as a black line for comparison.
Figure 4. Color-intensity plot of neutron scattering data of WSCP at 300 K (lower left corner) obtained as a function of energy (horizontal scale) and scattering vector (momentum transfer) Q (vertical scale). The summation of the data over all energy channels yields the diffractogram (right panel) of WSCP in buffer solution at 300 K (red). The diffractogram at 100 K is shown as a black line for comparison. The summation of the data over all (or a suitable number of) Q-values yields the QENS spectrum (top panel) of WSCP in buffer solution at 300 K (red). The QENS spectrum at 100 K is shown as a black line for comparison.
Crystals 14 00743 g004
Figure 5. Practical data analysis for the case of the WSCP data shown in Figure 4. (A) Angle spectra/diffractogram of WSCP in solution (blue line), buffer (green line), vanadium (black line), and WSCP only (denoted as protein, red line) at 300 K. (B) QENS spectra of WSCP in buffer solution (blue line), buffer (green line), resolution function (black dotted line), and the difference spectrum corresponding to WSCP (red line), possibly including bound hydration water. The data were obtained with a neutron wavelength of 5 Å and an elastic resolution of 0.123 meV at 300 K. Data shown are averaged over all scattering angles, resulting in Q = 1.46 Å−1. (C) Selected QENS spectra of the WSCP contribution for three representative Q-values (red, blue, and green symbols; see labels for actual Q-values). The full lines fit with two Lorentzian components according to Equation (10). The inset shows the resulting EISF as a function of Q (red points) and a representative error bar. (D) Widths (HWHM) of the two Lorentzian contributions representing internal dynamics (red, left scale) and global diffusion (green, right scale) of WSCP, respectively, obtained from the fits shown in (C). The solid and dashed black lines are fits of the observed Q-dependence. Figures are adapted from Rusevich et al. [70], EPJ Web Conf. 2015, 83, 1–4.
Figure 5. Practical data analysis for the case of the WSCP data shown in Figure 4. (A) Angle spectra/diffractogram of WSCP in solution (blue line), buffer (green line), vanadium (black line), and WSCP only (denoted as protein, red line) at 300 K. (B) QENS spectra of WSCP in buffer solution (blue line), buffer (green line), resolution function (black dotted line), and the difference spectrum corresponding to WSCP (red line), possibly including bound hydration water. The data were obtained with a neutron wavelength of 5 Å and an elastic resolution of 0.123 meV at 300 K. Data shown are averaged over all scattering angles, resulting in Q = 1.46 Å−1. (C) Selected QENS spectra of the WSCP contribution for three representative Q-values (red, blue, and green symbols; see labels for actual Q-values). The full lines fit with two Lorentzian components according to Equation (10). The inset shows the resulting EISF as a function of Q (red points) and a representative error bar. (D) Widths (HWHM) of the two Lorentzian contributions representing internal dynamics (red, left scale) and global diffusion (green, right scale) of WSCP, respectively, obtained from the fits shown in (C). The solid and dashed black lines are fits of the observed Q-dependence. Figures are adapted from Rusevich et al. [70], EPJ Web Conf. 2015, 83, 1–4.
Crystals 14 00743 g005
Figure 6. Temperature dependence of the QISF measured at the momentum transfer Q of 1.51 Å−1 (red diamonds) as obtained from fits of the QENS spectra of LHC II (1.3 ps). The individual QISF values are connected by a dashed black line. For comparison, the temperature dependence of the slow (5.8 ps) and fast (0.3 ps) quasielastic components obtained from QENS experiments on PS II membrane fragments hydrated at 90% r.h. are shown by black squares (QISFslow) and black triangles (QISFfast), respectively. Temperature ranges of different protein dynamics are labeled by letters A, B, and C. This figure is taken from Vrandecic et al. [37], copyright (2015) American Chemical Society.
Figure 6. Temperature dependence of the QISF measured at the momentum transfer Q of 1.51 Å−1 (red diamonds) as obtained from fits of the QENS spectra of LHC II (1.3 ps). The individual QISF values are connected by a dashed black line. For comparison, the temperature dependence of the slow (5.8 ps) and fast (0.3 ps) quasielastic components obtained from QENS experiments on PS II membrane fragments hydrated at 90% r.h. are shown by black squares (QISFslow) and black triangles (QISFfast), respectively. Temperature ranges of different protein dynamics are labeled by letters A, B, and C. This figure is taken from Vrandecic et al. [37], copyright (2015) American Chemical Society.
Crystals 14 00743 g006
Figure 7. (A) The position of the absorption difference spectrum of the LHC II mutant Chl 2/Chla 612 varying with temperature (red, right scale). For comparison, the peak position of the fluorescence spectrum of LHC II is shown in blue. The temperature dependence of QISF of LHC II is given in black (left scale). The temperature ranges corresponding to different protein dynamics are marked with A, B, and C labels. (B) The temperature dependence of the FWHM of the absorption difference spectrum of the LHC II mutant Chl 2/Chla 612 (blue). The solid blue line is a fit of the low-temperature region A yielding a mean phonon frequency of 24 cm−1 and a Huang–Rhys S-factor of 0.44. The dashed and dotted lines are fits in regions B and C, yielding the reorganization energies Sωm of 18 cm−1 and 43 cm−1, respectively. The QISFs of LHC II are shown by black diamonds (left scale). (C) Schematic potential energy diagram depicting a pigment molecule embedded within an amorphous protein matrix. The scheme assumes two different protein conformations, V1 and V2, represented by asymmetric two-level systems (TLS) in both the ground (E0) and excited electronic states (E1) of the pigment. The diagram shows displacements between the equilibrium positions of conformations V1 and V2, labeled as a1 and a2, respectively. Two energetically inequivalent optical transitions from the potential energy diagram are illustrated with red arrows and labeled as ΔE1 and ΔE2, respectively. Bold arrows represent thermally activated conformational motions between protein conformations V1 and V2. (D) Representation of the Chl2/Chla 612 protein environment according to the LHC II structure (pdb 2BHW) [19]. The charged Lys 179 residue can form hydrogen bonds with the ester groups of the phytyl chain or ring E of Chl 2/Chla 612. It may also form bonds with another Chl sidechain, a Glu residue, and a closely spaced water molecule. These potential hydrogen bonds are depicted with thin black lines and labeled with approximate distances in Å. This figure is taken from Vrandecic et al. (2015) [37], copyright (2015) American Chemical Society.
Figure 7. (A) The position of the absorption difference spectrum of the LHC II mutant Chl 2/Chla 612 varying with temperature (red, right scale). For comparison, the peak position of the fluorescence spectrum of LHC II is shown in blue. The temperature dependence of QISF of LHC II is given in black (left scale). The temperature ranges corresponding to different protein dynamics are marked with A, B, and C labels. (B) The temperature dependence of the FWHM of the absorption difference spectrum of the LHC II mutant Chl 2/Chla 612 (blue). The solid blue line is a fit of the low-temperature region A yielding a mean phonon frequency of 24 cm−1 and a Huang–Rhys S-factor of 0.44. The dashed and dotted lines are fits in regions B and C, yielding the reorganization energies Sωm of 18 cm−1 and 43 cm−1, respectively. The QISFs of LHC II are shown by black diamonds (left scale). (C) Schematic potential energy diagram depicting a pigment molecule embedded within an amorphous protein matrix. The scheme assumes two different protein conformations, V1 and V2, represented by asymmetric two-level systems (TLS) in both the ground (E0) and excited electronic states (E1) of the pigment. The diagram shows displacements between the equilibrium positions of conformations V1 and V2, labeled as a1 and a2, respectively. Two energetically inequivalent optical transitions from the potential energy diagram are illustrated with red arrows and labeled as ΔE1 and ΔE2, respectively. Bold arrows represent thermally activated conformational motions between protein conformations V1 and V2. (D) Representation of the Chl2/Chla 612 protein environment according to the LHC II structure (pdb 2BHW) [19]. The charged Lys 179 residue can form hydrogen bonds with the ester groups of the phytyl chain or ring E of Chl 2/Chla 612. It may also form bonds with another Chl sidechain, a Glu residue, and a closely spaced water molecule. These potential hydrogen bonds are depicted with thin black lines and labeled with approximate distances in Å. This figure is taken from Vrandecic et al. (2015) [37], copyright (2015) American Chemical Society.
Crystals 14 00743 g007
Figure 8. The illustration of the temperature dependence of the QISF (depicted in black) alongside the inelastic peak positions (shown in blue). Full symbols represent data for trimeric LHC II, while open symbols pertain to monomeric LHC II. Solid black and dashed red lines are used to interpolate the data for trimeric LHC II, serving as a visual aid. The labels highlight critical thermal transitions: (A) the emergence of internal protein dynamics around 77 K; (B) the onset of vibrational anharmonicity at approximately 160 K; and (C) the dynamical transition at around 240 K. This figure is taken from Golub et al. 2018 [32], copyright (2018) American Chemical Society.
Figure 8. The illustration of the temperature dependence of the QISF (depicted in black) alongside the inelastic peak positions (shown in blue). Full symbols represent data for trimeric LHC II, while open symbols pertain to monomeric LHC II. Solid black and dashed red lines are used to interpolate the data for trimeric LHC II, serving as a visual aid. The labels highlight critical thermal transitions: (A) the emergence of internal protein dynamics around 77 K; (B) the onset of vibrational anharmonicity at approximately 160 K; and (C) the dynamical transition at around 240 K. This figure is taken from Golub et al. 2018 [32], copyright (2018) American Chemical Society.
Crystals 14 00743 g008
Disclaimer/Publisher’s Note: The statements, opinions and data contained in all publications are solely those of the individual author(s) and contributor(s) and not of MDPI and/or the editor(s). MDPI and/or the editor(s) disclaim responsibility for any injury to people or property resulting from any ideas, methods, instructions or products referred to in the content.

Share and Cite

MDPI and ACS Style

Golub, M.; Pieper, J. The Unusual Functional Role of Protein Flexibility in Photosynthetic Light Harvesting: Protein Dynamics Studied Using Neutron Scattering. Crystals 2024, 14, 743. https://doi.org/10.3390/cryst14080743

AMA Style

Golub M, Pieper J. The Unusual Functional Role of Protein Flexibility in Photosynthetic Light Harvesting: Protein Dynamics Studied Using Neutron Scattering. Crystals. 2024; 14(8):743. https://doi.org/10.3390/cryst14080743

Chicago/Turabian Style

Golub, Maksym, and Jörg Pieper. 2024. "The Unusual Functional Role of Protein Flexibility in Photosynthetic Light Harvesting: Protein Dynamics Studied Using Neutron Scattering" Crystals 14, no. 8: 743. https://doi.org/10.3390/cryst14080743

APA Style

Golub, M., & Pieper, J. (2024). The Unusual Functional Role of Protein Flexibility in Photosynthetic Light Harvesting: Protein Dynamics Studied Using Neutron Scattering. Crystals, 14(8), 743. https://doi.org/10.3390/cryst14080743

Note that from the first issue of 2016, this journal uses article numbers instead of page numbers. See further details here.

Article Metrics

Back to TopTop