Next Article in Journal
Development of Reconfigurable High-Frequency Devices Using Liquid Crystal in Substrate-Integrated Gap Waveguide Technology
Previous Article in Journal
Recurrent Supramolecular Patterns in a Series of Salts of Heterocyclic Polyamines and Heterocyclic Dicarboxylic Acids: Synthesis, Single-Crystal X-ray Structure, Hirshfeld Surface Analysis, Energy Framework, and Quantum Chemical Calculations
Previous Article in Special Issue
Mechanically Mixed Thermally Expanded Graphite/Cobalt(II) Perrhenate—Co(ReO4)2—As Electrodes in Hybrid Symmetric Supercapacitors
 
 
Font Type:
Arial Georgia Verdana
Font Size:
Aa Aa Aa
Line Spacing:
Column Width:
Background:
Article

Boosted Electrochemical Activity with SnO2 Nanostructures Anchored on α-Fe2O3 for Improved Charge Transfer and Current Density

by
Itheereddi Neelakanta Reddy
,
Bhargav Akkinepally
,
Jaesool Shim
* and
Cheolho Bai
*
School of Mechanical Engineering, Yeungnam University, Gyeongsan 712-749, Republic of Korea
*
Authors to whom correspondence should be addressed.
Crystals 2024, 14(8), 734; https://doi.org/10.3390/cryst14080734
Submission received: 24 July 2024 / Revised: 15 August 2024 / Accepted: 16 August 2024 / Published: 18 August 2024
(This article belongs to the Special Issue Hybrid Materials for Energy Storage and Conversion)

Abstract

This study presents a straightforward and cost-effective method to enhance the photoelectrochemical (PEC) water-splitting performance of α-Fe2O3 (F), SnO2 (S), and α-Fe2O3 decorated with SnO2 quantum dots (FS) photoanodes in a NaOH electrolyte. The FS electrode demonstrated a notable improvement in PEC efficiency within the electrolyte. In particular, the generated charges of the FS anode in the NaOH electrolyte reached approximately 12.01 mA cm−2 under illumination, indicating that the developed heterostructures effectively enhanced kinetics, leading to improved separation of induced carrier pairs. This active carrier-pair separation mechanism contributed considerably to the increased PEC activity in the 0.1 M NaOH electrolyte. The reduction in the bandgap of FS increased its absorption capability in visible light, which further enhanced the current density. Furthermore, the reduction in electrolyte resistance (9.71 Ω), internal resistance (20.19 Ω), charge transfer resistance (3.21 kΩ), Tafel slope (45.5 mV dec-1), limiting current density (−2.09 mA cm−2), and exchange current density (−3.68 mA cm−2) under illumination at the interface enhanced the charge density of FS. Further, a strong interaction among photoanode nanostructures significantly enhances PEC activity by improving efficient charge separation and transport, reducing recombination rates, and enabling quicker movement of charge carriers to the electrode/electrolyte interface. Thus, this study provides an effective approach to increasing the PEC activity of heterostructures.

1. Introduction

The development of functional materials for high-performance electrochemical applications is a critical area of research, particularly in the fields of energy storage and conversion. Among the various materials being explored, metal oxides have demonstrated major potential because of their inherent electrochemical properties [1]. Moreover, metal oxide nanostructures, such as BiVO4 [2], WO3 [3], and α-Fe2O3 [4], which are stable in aqueous electrolytes and can harvest light in the solar region, have been extensively examined as potential photoelectrodes in electrochemical hydrogen generation. Among these, α-Fe2O3 can efficiently absorb energy in visible light, owing to its bandgap of ~2.0 eV, and has a theoretical solar-to-hydrogen conversion efficiency of 17.0%. Despite these promising characteristics, the actual efficiency of α-Fe2O3 has yet to achieve a theoretically predicted efficiency [5]. Recently, α-Fe2O3 nanostructures were used for enhancing water splitting, which achieved a current density of 0.33 mA cm−2 at 1.23 VRHE [6]. Makimizu et al. [7] studied the low-temperature annealing effect on the electrochemical properties of α-Fe2O3, resulting in a current density of 0.5 mAcm−2. Moreover, Geethana et al. [8] studied the rapid annealing effect on the electrochemical activity of the α-Fe2O3 photoanode and observed enhanced current density. Fe2O3 nanorods were utilized for electrochemical water oxidation in a 1.0 M NaOH electrolyte and achieved the lowest current density of 1.42 mA cm−2 [9]. Furthermore, water oxidation using Zr-doped α-Fe2O3 in a 1 M KOH electrolyte solution achieved a photocurrent density of 1.69 mAcm−2 [10]. This shortfall is primarily due to its poor electrical conductivity (10−6−1 cm−1), short hole diffusion length (~2–4 nm), shorter excited lifetime (<10 ps), and poor reaction kinetics, leading to high electron-hole recombination rates, and inefficient charge separation. To overcome these constraints, widespread efforts have been focused on the development of innovative nanostructures that incorporate hematite. These nanostructures are either decorated or doped with several elements, decoration of nanostructures, and/or composited with other oxides. Among these techniques, the development of a heterostructure can generate an electric field at the junction between the nanostructures, improving charge migration and separation while reducing the recombination rate [11]. In addition, the heterostructure facilitates the combination of structures that can enhance the absorption of visible light, generating more charge pairs and improving electrochemical activity. Pourbakhsh et al. [12] developed the bi-layer structure of α-Fe2O3 structures on TiO2, which achieved a low current density of 0.3 mA cm−2. The α-Fe2O3/CdS heterostructure was synthesized using a modified hydrothermal method to achieve a current density of 0.6 mAcm−2 [13]. Baldovi et al. developed an α-Fe2O3-TiO2 heterostructure, evaluated its light-harvesting capacity resulting from the coupling of nanostructures, and attained improved light absorption capacity owing to the reduced bandgap of nanostructures [14]. Cai et al. [15] studied the effect of heterostructure formation on photocarrier separation, achieving a current density of 20 µAcm−2 at 1.23 VRHE. Zhang et al. synthesized ZnO/α-Fe2O3 heterojunction photoelectrode for improving catalyst activity and attained a current generation of 1.82 mAcm−2 [16]. Furthermore, the Fe2O3/BiVO4 composite photoanode synthesized for electrochemical activity obtained a current density of 1.6 mA cm−2 [17]. Additionally, Zhang et al. [18] reported that the interface effect of the Z-scheme α-Fe2O3/g-C3N4 photoanode [18] improved charge transfer.
SnO2 possesses outstanding electrical conductivity, chemical stability, and catalytic properties, making it an ideal nanostructure for enhancing the electrochemical activity of α-Fe2O3. The integration of SnO2 nanostructures into α-Fe2O3 nanoparticles is expected to create a composite material with superior electrochemical characteristics [19]. The SnO2 nanostructures can deliver a conductive network that facilitates effective electron migration while also providing large active sites for enhancing electrochemical activity. This decoration can effectively improve the charge transfer kinetics and enhance the complete electrochemical performance. Additionally, the catalytic stability imparted by the SnO2 reduces volume expansion and aggregation issues associated with α-Fe2O3, leading to enhanced cycling stability and durability. Furthermore, combining α-Fe2O3 and SnO2 are two such materials that, when combined, can synergistically enhance their individual characteristics. For instance, Rahman et al. [20] developed an α-Fe2O3–SnO2 nanocomposites via the hydrothermal method for electrochemical applications, achieving a very low current density of 0.32 mAcm−2. In addition, the CoOOH/α-Fe2O3/SnO2 photoanode achieved a current density of 2.05 mA cm−2 owing to reduced surface states and enhanced absorption capability [21]. Moreover, α-Fe2O3/TiO2 3D hierarchical nanostructures synthesized for electrochemical activity attained a current density of 0.2 mAcm−2 [22]. However, no studies have been conducted on the effect of applied potential on the photocurrent generation performance of heterostructures. This study focuses on α-Fe2O3 nanoparticles decorated with SnO2 nanostructures, aiming to improve charge transfer and generation kinetics and achieve high stability and electrochemical activity.
Herein, pristine α-Fe2O3 and SnO2 and the α-Fe2O3–SnO2 heterostructure were synthesized, and the effect of the heterostructure formation on the electrochemical properties of α-Fe2O3 nanoparticles was studied. The α-Fe2O3–SnO2 showed enhanced photon harvesting capability and a record-high photo-induced current generation in the pristine samples. This enhancement may be due to increased charge migration and separation and reduced charge-transfer resistance at the electrode surface/electrolyte interface.

2. Preparation Techniques

Initially, 0.42 g of FeCl2⋅H2O were poured into 50 mL of H2O and stirred for 70 min. After the complete dissolution of FeCl2⋅H2O, the pH of the solution was adjusted to 10 using an NH4OH solution with continuous stirring. The final solution was transferred to a Teflon-lined hydrothermal reactor and annealed for 4 h at 180 °C. After cooling to room temperature, the product was centrifuged and cleaned with water and ethanol several times before being oven-dried at 80 °C for 24 h. The resultant sample was annealed for another 2 h at 500 °C.
Additionally, 2.25 g of SnCl4⋅5H2O was poured into 105 mL of water and stirred for 80 min, and then 5 mL of N2H4 was poured into the SnCl4⋅5H2O with continuous stirring at 30 °C. The hydrazine acts as a reducing agent in the preparation of SnO2 nanostructures, facilitating the reduction of tin precursors to SnO2 while also controlling the growth and morphology of the nanostructures. Further, its strong reducing properties help in achieving the desired nanostructure properties and purity. The solution was maintained at 112 °C for 20 h, then cooled and separated by centrifugation. The solution was cleaned several times using water and ethanol and oven-dried at 85 °C for 24 h.
Equal weights of each synthesized α-Fe2O3 and SnO2 nanostructure were separately poured into 50 mL of H2O and dispersed for 2 h using a probe sonicator. The SnO2 solution was then added dropwise to the α-Fe2O3 solution and sonicated for 3 h. The final product was extracted via centrifugation, cleaned with water and ethanol several times, and oven-dried at 90 °C for 26 h.
To fabricate the SnO2-decorated α-Fe2O3 photoanode, each synthesized sample (3 mg) was dispersed in ethylene glycol (5 mL) using probe sonication for 30 min. This dispersed solution was drop-casted onto a clean 1 × 1 cm2 ITO glass substrate placed on a hot plate at 130 °C, transferred into an oven, and dried at 130 °C for 24 h.
The crystalline phases of the synthesized samples were characterized using X-ray diffraction (XRD; PANalytical X’pert PRO, Eindhoven,, The Netherlands). Scanning electron microscopy (SEM; Hitachi S-4800, Tokyo, Japan) was used to examine the morphologies. The chemical states and valence bands of the samples were examined using X-ray photoelectron spectroscopy (XPS; Thermo Fisher Scientific MultiLab 2000, Seoul, South Korea). The optical properties of the samples were investigated using Fourier-transform infrared spectroscopy (FTIR; Perkin Elmer Spectrum 100, city, stat Shelton, Connecticut, e, United States), Raman spectroscopy (XploRA Plus, Osaka, Japan), and UV–Vis (ultraviolet–visible) spectroscopy (Neogen NEO-D3117, Seoul, South Korea).
Photoelectrochemical (PEC) water-splitting properties were evaluated using a three-electrode setup containing the synthesized samples, Ag/AgCl, and Pt as working, reference, and counter electrodes, respectively, with an SP-200 potentiostat (Bio-Logic, Seyssinet-Pariset, Seyssinet-Pariset, France). All the parameters were recorded against the reference electrode in a 0.1 M NaOH electrolyte under both ON and OFF conditions. Electrochemical impedance analysis was performed at a potential of 10 mV over the frequency range of 0.5–100 MHz in 0.1 M NaOH.

3. Results and Discussion

The synthesized samples were analyzed using XRD to gather insights into their structural properties. Figure 1 shows the structural analysis of pristine α-Fe2O3 (F), pristine SnO2 (S), and α-Fe2O3-SnO2 (FS). The structural analysis of F sample showed a characteristic peaks at 24.21° (012), 33.21° (104), 35.65° (110), 40.88° (113), 49.51° (024), 54.11° (116), 57.62° (122), 62.48° (214), 64.07° (300), 71.95° (1010), and 75.51° (220), corresponding to the iron oxide rhombohedral crystal phase has been observed, as per JCPDS file no. 33–0664 [23]. The reflected patterns of the SnO2 sample showed a peak at 26.07° (110), 33.64° (101), 51.71° (211), and 64.65° (301) corresponding to the tetragonal phase according to the JCPDS file no. 77–0450 [24]. The diffraction pattern of α-Fe2O3/SnO2 indicated composite structures with the characteristic peaks of both α-Fe2O3 and SnO2 samples. Feng et al. [25] observed XRD patterns of SnO2/Fe2O3 hybrid nanofibers.
The morphologies of the synthesized α-Fe2O3, SnO2, and α-Fe2O3-SnO2 samples are shown in Figure 2. The pristine α-Fe2O3 sample exhibited an irregular square-shaped structure with smooth surfaces (Figure 2a). Figure 2b shows the agglomeration of SnO2 nanoparticles. The heterostructure morphology of the synthesized α-Fe2O3-SnO2 sample is shown in Figure 2c. Evidently, SnO2 nanoparticles were uniformly decorated on the surface of the α-Fe2O3 surface, resulting in a rougher surface than pristine α-Fe2O3. This indicates that the SnO2 nanostructures were anchored to the surfaces on the α-Fe2O3 nanostructures surface without disturbing the original morphology of the iron oxide. Liu et al. [26] developed a similar type of α–Fe2O3@SnO2 hybrid structure, which exhibited better catalytic activity because of its unique heterostructure and synergic effect between α-Fe2O3 and SnO2 samples.
Figure 3 shows the optical properties of the synthesized α-Fe2O3, SnO2, and α-Fe2O3-SnO2 samples using UV–Vis spectroscopy. As shown in Figure 3a, the absorption edge of pristine α-Fe2O3 nanostructures was at 645 nm. For pure SnO2, an absorption edge was observed at 315 nm (Figure 3b). In contrast, the α-Fe2O3-SnO2 heterostructure displayed sturdier absorption not only in the UV region but also in the visible region [27]. Compared with α-Fe2O3, the absorption edge of α-Fe2O3-SnO2 was red-shifted and observed at 713 nm. This red shift in the heterostructure was due to the variance in the optical bandgaps of α-Fe2O3 and SnO2, causing the rearrangement of the bands in the α-Fe2O3-SnO2 [28]. Moreover, the grain boundaries at the junction between the structures created several transitional energy levels that lowered the conduction band of α-Fe2O3, facilitating free electron transport from the valence band to the conduction band of the heterostructure [10,29]. This enhanced the electrochemical activity of the α-Fe2O3-SnO2. Figure 3d–f show the plots of (αhν)2 vs. hν for the optical bandgaps of α-Fe2O3, SnO2, and α-Fe2O3-SnO2 derived from the UV–Vis absorption spectra. The results showed that the optical bandgaps of α-Fe2O3, SnO2, and α-Fe2O3-SnO2 were at 1.92, 3.93, and 1.73 eV, respectively. The reduced optical bandgap of α-Fe2O3-SnO2 was due to the red-shifting of its absorption onset compared to that of α-Fe2O3. Based on the UV–Vis spectral analysis, the SnO2 deposited on the α-Fe2O3 heterostructure is expected to exhibit substantial electrochemical activity for water splitting in the visible region, similar to the performance observed in PEC methods [14,15].
Figure 4a shows the FTIR spectra of the pristine samples and heterostructure. Pristine α-Fe2O3 exhibited absorption bands at 3407, 1634, 1380, 878, 550, and 470 cm−1 were noticed. The band at 3407 cm−1 was attributed due to the O-H stretching vibration in O-H groups. The characteristic bands at 1634 and 1380 cm−1 were due to Fe–OH vibrations. The stretching vibrations of the Fe–O–Fe bond were observed at 878 cm−1 for the α-Fe2O3 sample. The bands at 550 and 470 cm−1 were attributed due to the Fe–O stretching and Fe–O bending vibrations of α-Fe2O3. The SnO2 nanostructures exhibited absorption bands at 3472, 2919, 2880, 1440, 1380, 1119, 670, and 560 cm−1. The band at 3472 cm−1 was attributed to the O-H stretching vibrations and water molecules engrossed from the atmosphere by the SnO2 sample on its surface. The bands at 2919 and 2880 cm−1 were attributed to the existence of C-H groups. The bands at 1440, 1380, and 1119 cm−1 were assigned to the vibration of Sn-OH vibrations. The bands at 670 and 560 cm−1 are ascribed to stretching and vibrations of O-Sn-O and Sn-O, respectively. Further, the heterostructure showed mixed bands of α-Fe2O3 and SnO2 nanostructures, and no additional peaks were observed, indicating the superior quality of the heterostructure.
Figure 4b shows the Raman spectra of pristine α-Fe2O3, SnO2, and the α-Fe2O3-SnO2 heterostructure. The strong characteristic peaks of α-Fe2O3 at 223 and 290 cm−1 were assigned to the A1g symmetry, and the weaker peak at 407 cm−1 corresponded to the Eg symmetry, indicating the formation of α-Fe2O3 phase. No additional peaks corresponding to other forms of iron oxide and iron oxyhydroxides were observed, confirming the purity and phase of the α-Fe2O3 sample. SnO2 exhibited no strong Raman bands. However, the heterostructure sample showed α-Fe2O3 bands along with a SnO2 disorder activation Raman band at 584 cm−1. The peak position and band intensity of 584 cm−1 is based on the nanoparticle size [11].
The XPS spectra of α-Fe2O3, SnO2, and α-Fe2O3-SnO2 are shown in Figure 5. The XPS survey spectra confirmed the core elements of the synthesized samples and demonstrated the superior quality of the nanostructure (Figure 5a). The electronic states of the nanostructures were investigated by recording the core-level peaks, as shown in Figure 5b–h. The core-level Fe2p XPS peaks for the α-Fe2O3 and α-Fe2O3–SnO2 are shown in Figure 5b,c. Peaks were observed at binding energies of 710 and 723 eV, corresponding to Fe2p3/2 and Fe2p1/2, respectively. In addition, the Fe2p core peaks were deconvoluted into four major peaks at 708.8 (2p3/2, Fe2+), 710.1 (2p3/2, Fe3+), 722.9 (2p1/2, Fe2+), and 725.2 (2p3/2, Fe3+) eV, as well as Fe satellite peaks at 712.2 (Fe2+), 717.7 (Fe3+), 728.4 (Fe2+), and 732.2 (Fe3+) eV. Consequently, the presence of both Fe3+ (α-Fe2O3) and Fe2+ (FeO) states was revealed in the α-Fe2O3 and α-Fe2O3–SnO2. The core XPS analyses of SnO2 and α-Fe2O3–SnO2 are presented in Figure 3d,e, demonstrating a +4 oxidation state of Sn-based on two major peaks at 486.2 and 494.6 eV, corresponding to Sn3d5/2 and Sn3d3/2, respectively. The O1s XPS core spectra of all the synthesized samples showed a peak at a binding energy of 528.8 eV, which may be attributed to the lattice oxygen (Ob) and the adsorbed oxygen (Oa) peak at 530.6 eV, indicating the purity of the samples (Figure 3f–h).
The valence band (VB) spectra of the synthesized samples were recorded to estimate the VB positions, as shown in Figure 6a–c. The VB energies of α-Fe2O3, SnO2, and SnO2 decorated α-Fe2O3 nanostructures were obtained at 0.34, 2.43, and 0.42 eV. The bandgaps obtained from the UV–vis spectra and the VB energies were utilized to determine the electronic structures and band positions of the samples, as given in Figure 6d. The heterostructure of the α-Fe2O3–SnO2 sample displayed narrower bandgaps, high VB state potential, and lower CB (conduction band) state potential than the α-Fe2O3 sample, enabling effective light absorption capability and charge excitation as well as adequate energy for enhanced PEC reaction. Consequently, these synthesized catalysts are expected to perform better as photoanodes under light illumination for H2 production.
Electrochemical analysis is crucial for elucidating the charge kinetics at the bulk/liquid interface and the separation and migration of charge pairs at the anode top surface/liquid interface within the fabricated photoanode [15]. Figure 7a shows the electrochemical impedance analysis results of α-Fe2O3, SnO2, and α-Fe2O3-SnO2 anodes under both ON and OFF conditions in 0.1 M NaOH. Three characteristic regions were observed in the Nyquist spectra: resistance associated with contact and liquid (Rs) at lower applied frequencies, resistance related to charge transfer at the anode surface/electrolyte junction (Ri) at mid-applied frequencies, and resistance attributed to ion diffusion at higher applied frequencies (Rc). The impedance plots of F, S, and FS showed half-circles under ON and OFF conditions, with aberrations in the dimensions of the half-circles and inclined lines demonstrating discrete conductive properties among the various anodes. The lowest half-circle radius was observed for FS in the ON state, indicating enhanced carrier transfer activity of pristine anodes. In addition, the impedance analysis was modeled using equivalent circuits to estimate the kinetic behavior of the photoanodes (Figure 7b). These parameters include the liquid resistance resulting from the formation of an anode/electrolyte junction (Rs), resistance ascribed to developed grains and grain boundaries in the anode and material defects (Ri), resistance associated with charge movement (Rc), space charge capacitance (Ci), and Helmholtz capacitance (Cc). The physical properties of the F, S, and FS anodes are listed in Table 1. Remarkably, the resistance values under light conditions were lower than those in the OFF state, indicating that the carriers enabled electron and hole migration within the anodes and their interfaces. In particular, the FS anode exhibited a lower Rs value in the ON state, suggesting that the FS sample developed enhanced effective charge movement along the anode surface/liquid junction, resulting in higher electrochemical activity. The lowest Rs value for the FS sample connected to the pristine anodes may be attributed to the development of a heterostructure, signifying a reduction in the contact resistance of pristine samples. In the ON state, the smallest Ri value (20.19 Ω) was achieved for the FS sample connected to the pure F and S anodes. This suggests that the heterostructure considerably decreased the recombination rate by varying the band structure, which is a major reason for the improved catalytic activity. The Rc value for FS (3212.38 Ω) was smaller than that for F (4800.02 Ω) and S (1144.30 Ω) in the ON state, emphasizing the enhanced carrier transfer toward the interface in the FS anode, particularly with the heterostructure photoanode. In addition, the noteworthy decrease in Rc is attributed to two major reasons. First, the electric field produced at the α-Fe2O3-SnO2 junction, owing to the development of a heterostructure, considerably promoted charge migration and reduced the recombination of charge pairs, thus reducing charge transfer resistance. Second, the surface of the heterostructure photoanode provided a larger interaction area with a large number of active sites for oxidation at the anode/liquid junction, which considerably increased the interfacial charge migration, leading to a decreased Rc value. This enrichment is advantageous for attaining higher electrochemical activity under light conditions. The Ci and Cc values for the FS electrode were higher than those for the F and S electrodes in the ON and OFF states. In the ON state, the highest Ci and Cc values of 0.31 µF and 13.01 µF, respectively, were achieved for the FS anode. This was due to the development of a heterostructure that prevented the accumulation of charges at the surface/liquid junction. The lower Ri value and improved capacitance of the α-Fe2O3-SnO2 anode facilitated easier migration of generated charges to the anode surface, where water oxidation occurs. Thus, the FS photoanode catalyst produced numerous carrier pairs in the electrolyte under illumination. Furthermore, Bode and phase analyses (Figure 7c,d), respectively) were performed for the F, S, and FS anodes. The impedance spectra of the FS moved towards lower applied frequencies than those of the pristine F and S anodes, owing to the rapid formation and enhanced migration of charge pairs, lowering the recombination rate. Phase analysis of FS showed a peak with a smaller intensity frequency, signifying that the sample may have a prolonged charge lifetime associated with the F and S anodes. This indicates that the constant spreading of the nanostructures increased charge separation and prolonged the carrier lifetime.
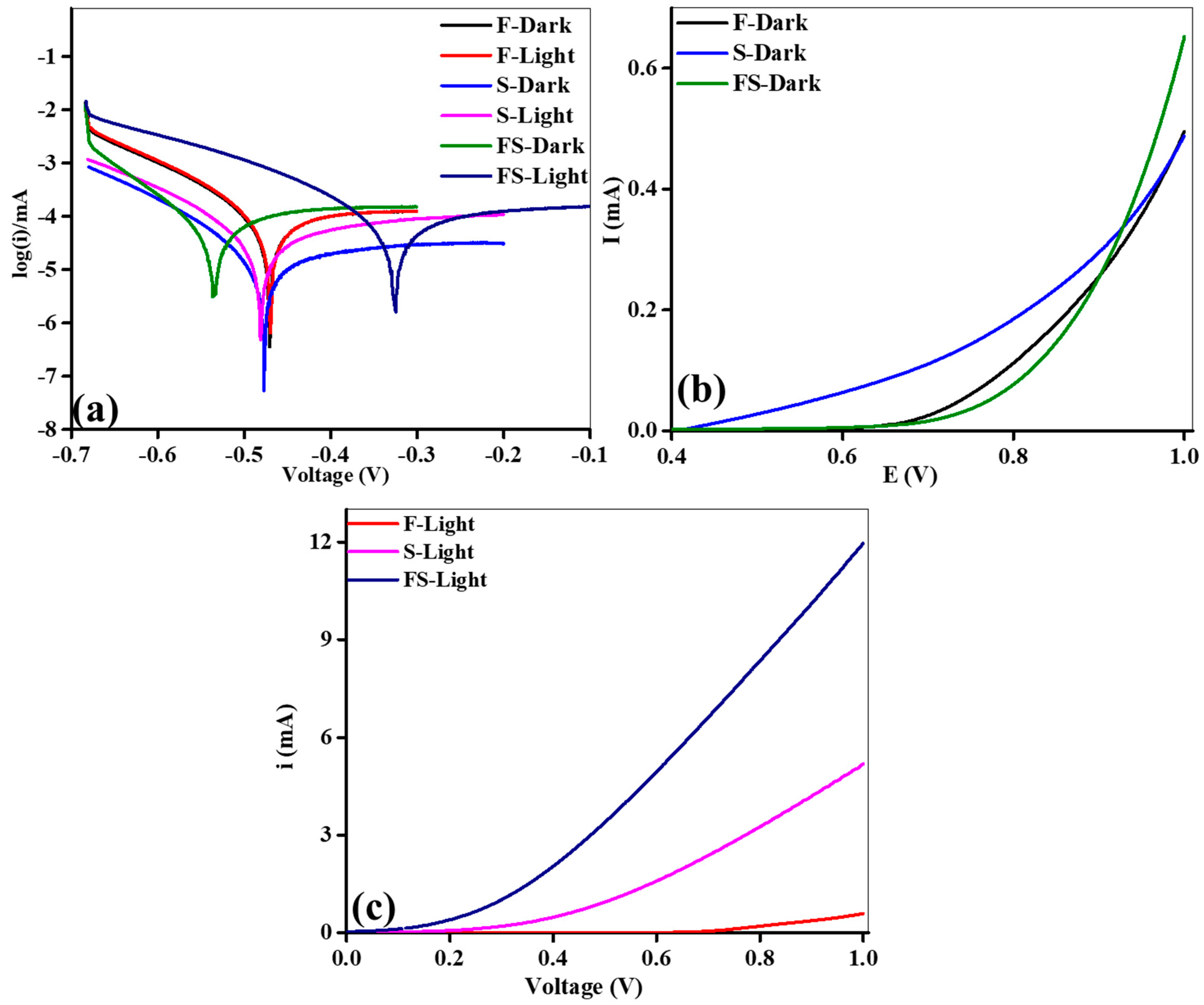
Figure 8a shows the Tafel plots of the F, S, and FS electrodes. The plots showed an increase in the anode voltage when switching from an ON to an OFF state. This shift indicated increased charge-pair production, thus improving the catalytic activity. The values derived from the Tafel analysis are listed in Table 2. Clearly, the Tafel slopes, limiting charge density (JLt), and exchange charge density (Jee) in the ON condition were smaller than those in the OFF condition for all anodes. The decreased Tafel slopes suggest that the anodes required a low applied potential to trigger the carrier pairs. Remarkably, the FS anode showed the lowest Tafel slope of 45.5 mV dec−1 under light, indicating its effectiveness in producing induced carriers. This finding emphasized the rapid kinetics of the FS anode. The FS anode achieved JLt and Jee values of −2.09 and −3.68 mA cm−2, respectively, under light (Table 2), which were higher than those of the F and S anodes, indicating that the FS anode exhibited a higher charge migration rate. Thus, the FS electrode exhibited improved electrochemical activity under illumination.
Voltammetry analysis was performed on the ON/OFF states for synthesized α-Fe2O3, SnO2, and α-Fe2O3-SnO2 samples in ON and OFF states to assess their current generation. Figure 8b shows the outcomes of the voltammetry scan acquired for α-Fe2O3, SnO2, and α-Fe2O3-SnO2 anodes in the OFF state. At 1.0 V vs. Ag/AgCl, the α-Fe2O3-SnO2 samples exhibited a dark current density of 0.65 mAcm−2, whereas no noticeable values of 0.49 and 0.48 mAcm−2 were obtained for α-Fe2O3 and SnO2 electrodes at the identical reference voltage. This increase in dark current density for the α- α-Fe2O3-SnO2 anode can be attributed to enhanced charge migration within the heterostructure and reduced recombination of charge pairs, owing to the extensive surface area of the α-Fe2O3-SnO2 anode, which offered additional energetic sites for water oxidation [14]. The heterojunction structure enhanced charge migration within the bulk of the electrode, enabling additional holes to reach the surface, where water oxidation occurs. The presence of more holes at the anode/electrolyte interface and the reduced number of recombination pairs resulting from the additional interfacial surface area led to more efficient hole removal for water oxidation, thereby improving the dark current.
The induced current density is a critical parameter that directly reflects the electrochemical performance of the anodes. Figure 8c shows the current response of the α-Fe2O3, SnO2, and α-Fe2O3-SnO2 anodes in the ON state. The α-Fe2O3-SnO2 photoanode exhibited a current density of 12.01 mAcm−2 at 1.0 V vs. Ag/AgCl, which is ~21-fold higher than the α-Fe2O3 sample, which only achieved 0.58 mAcm−2. This substantial increase was attributed to the development of a heterostructure that generated an inherent electric field at the intersection. This electric field enables the migration of energized charge pairs, considerably decreasing the charge pair recombination rate and thus improving the current density. Further, a strong interaction among photoanode nanostructures significantly enhances PEC activity by improving several key factors. These interactions facilitate efficient charge separation and transport, reducing recombination rates and enabling quicker movement of charge carriers to the electrode/electrolyte interface [14]. Additionally, they increase the surface area of the photoanodes, providing more active sites for PEC reactions while also improving light absorption through enhanced scattering and multiple reflections within the nanostructured network. Also, the catalytic properties of the photoanodes are often enhanced due to synergistic effects arising from the interactions among the nanostructures. This synergy not only boosts PEC efficiency but also contributes to better stability, maintaining the structural integrity of the nanostructures under operational conditions [15]. Finally, strong interactions allow for controlled defect engineering, tuning the electronic properties of the materials to further improve PEC performance. Collectively, these improvements lead to a significant enhancement in the overall PEC activity of the photoanode nanostructures. Additionally, the decrease in the bandgap of α-Fe2O3-SnO2 increased light absorption in the solar spectrum, enhancing the production of charge carriers production and current response. Furthermore, the obtained results are compared with those from published articles, as shown in Table 3.
Chronoamperometric analysis was performed to evaluate the behavior of the F, S, and FS anodes at various voltages, as represented in Figure 9a–c. All the anodes showed distinct switching characteristics when subjected to voltages above 0.6 V. Remarkably, during ON/OFF cycles 0.9 V, all the anodes demonstrated current densities significantly higher than those at other given voltages. The FS anode exhibited the highest photocurrent density at 0.6 V. This enhanced performance is attributed to the hybrid structure of the FS anode, which results in decreased resistance and improved capacitance [14]. The induced current densities of the anodes at various potentials decreased in the following order: 0.4 V < 0.6 V < 0.8 < 0.9 V.

4. Conclusions

Herein, α-Fe2O3, SnO2, and α-Fe2O3-SnO2 electrodes were successfully fabricated, and the effect of the heterostructure formation on the electrochemical parameters was studied. XRD and Raman spectroscopy analysis confirmed the quality of the developed α-Fe2O3-SnO2 heterostructures. The α-Fe2O3-SnO2 heterostructure achieved a photocurrent density of 12.01 mA cm−2 at 1.0 V vs. Ag/AgCl, which is 21-fold higher than that of pristine α-Fe2O3. The heterostructure generated an inherent electric field that enabled the migration of energized carriers, thus significantly decreasing the recombination rate and enhancing water splitting. The decreased bandgap of the α-Fe2O3-SnO2 heterostructure improved light absorption in the solar spectrum, which further enhanced the induced current density. The strong interlinked morphology of α-Fe2O3-SnO2 enhanced the charge separation of carrier pairs and improved water splitting. Additionally, improved charge density and reduced carrier transfer resistance at the anode/liquid interface of α-Fe2O3-SnO2 were supplementary signs accompanying the enhancement in current density for the samples. Hence, the development of an α-Fe2O3-SnO2 heterostructure with a strong interconnecting surface is a feasible way to improve the photoresponse of α-Fe2O3 anodes for water splitting.

Author Contributions

I.N.R.: conception, experimental design, carrying out measurements and manuscript composition, writing—original draft, B.A.: experimental design, carrying out measurements, J.S.: writing—review and editing, Supervision, funding acquisition, C.B.: writing—review and editing, project administration. All authors have read and agreed to the published version of the manuscript.

Funding

This work was supported by the National Research Foundation (NRF) of Korea, funded by the Korean government (RS-2023-00280665).

Data Availability Statement

The original contributions presented in the study are included in the article; further inquiries can be directed to the corresponding authors.

Conflicts of Interest

The authors declare no conflicts of interest.

References

  1. Danish, M.S.S. Exploring metal oxides for the hydrogen evolution reaction (HER) in the field of nanotechnology. RSC Sustain. 2023, 1, 2180–2196. [Google Scholar] [CrossRef]
  2. Zachäus, C.; Abdi, F.F.; Peter, L.M.; Krol, R. Photocurrent of BiVO4 is limited by surface recombination, not surface catalysis. Chem. Sci. 2017, 8, 3712–3719. [Google Scholar] [CrossRef] [PubMed]
  3. Puntsagdorj, S.; Koirala, A.R.; Gombovanjil, J.; Khanh, N.N.; Sung, S.D.; Lee, W.I.; Yoon, K.B. Increase in Photocurrent Density of WO3 Photoanode by Placing a Layer of an Ordered Array of Mesoporous WO3 Micropillars on Top of a WO3 Sheet Layer. ACS Appl. Mater. Interfaces 2022, 14, 31838–31850. [Google Scholar] [CrossRef]
  4. Shinde, P.S.; Choi, S.H.; Kim, Y.; Ryu, J.; Jang, J.S. Onset potential behavior in α-Fe2O3 photoanodes: The influence of surface and diffusion Sn doping on the surface states. Phys. Chem. Chem. Phys. 2016, 18, 2495–2509. [Google Scholar] [CrossRef]
  5. Natarajan, K.; Saraf, M.; Mobin, S.M. Visible-light-induced water splitting based on a novel α-Fe2O3/CdS heterostructure. ACS Omega 2017, 2, 3447–3456. [Google Scholar] [CrossRef] [PubMed]
  6. Garg, P.; Mohapatra, L.; Poonia, A.K.; Kushwaha, A.K.; Adarsh, K.N.V.D.; Deshpande, U. Single Crystalline α-Fe2O3 Nanosheets with Improved PEC Performance for Water Splitting. ACS Omega 2023, 8, 38607–38618. [Google Scholar] [CrossRef] [PubMed]
  7. Makimizu, Y.; Nguyen, N.T.; Tucek, J.; Ahn, H.; Yoo, J.; Poornajar, M.; Hwang, I.; Kment, S.; Schmuki, P. Activation of α-Fe2O3 for PEC Water Splitting Strongly Enhanced by Low Temperature Annealing in Low Oxygen Containing Ambient. Chemistry 2020, 26, 2685–2692. [Google Scholar] [CrossRef]
  8. Geerthana, M.; Ramachandran, K.; Maadeswaran, P.; Navaneethan, M.; Harish, S.; Ramesh, R. Activation of α-Fe2O3 Photoanode by Rapid Annealing Process for photoelectrochemical Water Splitting. ECS J. Solid State Sci. Technol. 2021, 10, 061007. [Google Scholar] [CrossRef]
  9. Zhang, R.; Fang, Y.; Chen, T.; Qu, F.; Liu, Z.; Du, G.; Asiri, A.M.; Gao, T.; Sun, X. Enhanced photoelectrochemical Water Oxidation Performance of Fe2O3 Nanorods Array by S Doping. ACS Sustain. Chem. Eng. 2017, 5, 7502–7506. [Google Scholar] [CrossRef]
  10. Rani, B.J.; Kumar, M.P.; Ravi, G.; Ravichandran, S.; Guduru, R.K.; Yuvakkumar, R. Electrochemical and photoelectrochemical water oxidation of solvothermally synthesized Zr-doped α-Fe2O3 nanostructures. Appl. Surf. Sci. 2019, 471, 733–744. [Google Scholar] [CrossRef]
  11. Sun, J.; Sun, L.; Yang, X.; Bai, S.; Luo, R.; Li, D.; Chen, A. Photoanode of coupling semiconductor heterojunction and catalyst for solar photoelectrochemical water splitting. Electrochim. Acta 2020, 331, 135282. [Google Scholar] [CrossRef]
  12. Pourbakhsh, Z.; Mohammadi, K.; Moshaii, A.; Azimzadehirani, M.; Hosseinmardi, A. Enhanced photocatalytic water splitting of a SILAR deposited α-Fe2O3 film on TiO2 nanoparticles. RSC Adv. 2019, 9, 31860–31866. [Google Scholar] [CrossRef] [PubMed]
  13. Zhao, Y.; Lin, Y.; Wang, G.; Jiang, Z.; Zhang, R.; Zhu, C. Photocatalytic water splitting of (F, Ti) codoped heptazine/triazine based g-C3N4 heterostructure: A hybrid DFT study. Appl. Surf. Sci. 2019, 463, 809–819. [Google Scholar] [CrossRef]
  14. Baldovi, H.G. Optimization of α-Fe2O3 Nanopillars Diameters for photoelectrochemical Enhancement of α-Fe2O3-TiO2 Heterojunction. Nanomaterials 2021, 11, 2019. [Google Scholar] [CrossRef] [PubMed]
  15. Cai, J.; Chen, H.; Ding, S.; Xie, Q. Promoting photocarrier separation for photoelectrochemical water splitting in α-Fe2O3@C. J. Nanopart. Res. 2019, 21, 153. [Google Scholar] [CrossRef]
  16. Zhang, R.; Zhao, G.; Hu, J.; Lu, P.; Liu, S.; Li, X. Enhanced photoelectrochemical performance of ZnO/α-Fe2O3 heterojunction photoelectrode fabricated by facile hydrothermal and spin-coating method. Int. J. Hydrog. Ener. 2024, 51, 633–642. [Google Scholar] [CrossRef]
  17. Ho-Kimura, S.; Luo, W. Reinforcement of a BiVO4 anode with an Fe2O3 underlayer for photoelectrochemical water splitting. Sustain. Energy Fuels 2021, 5, 3102–3114. [Google Scholar] [CrossRef]
  18. Zhang, L.; Zhang, X.; Wei, C.; Wang, F.; Wang, H.; Bian, Z. Interface engineering of Z-scheme α-Fe2O3/g-C3N4 photoanode: Simultaneous enhancement of charge separation and hole transportation for photoelectrocatalytic organic pollutant degradation. Chem. Eng. J. 2022, 435, 134873. [Google Scholar] [CrossRef]
  19. Rahman, G.; Rahim, A.; Khan, N.A.; Shah, A.H.A.; Khan, B.; Chae, S.Y. Effect of SnO2 incorporation on the photoelectrochemical properties of α-Fe2O3–SnO2 nanocomposites prepared by hydrothermal method. Mater. Chem. Phys. 2022, 286, 126201. [Google Scholar] [CrossRef]
  20. Dieguez, A.; Rodriguez, A.R.; Vila, A.; Morante, J.R. The complete Raman spectrum of nanometric SnO2 particles. J. Appl. Phys. 2001, 90, 1550. [Google Scholar] [CrossRef]
  21. Zheng, Y.; Wang, P.; Zhu, S.; Wu, M.; Zhang, L.; Feng, C.; Li, D.; Chang, Z.; Chong, R. Rational Design of CoOOH/α-Fe2O3/SnO2 for Boosted photoelectrochemical Water Oxidation: The Roles of Underneath SnO2 and Surface CoOOH. Inorg. Chem. 2024, 63, 2745–2755. [Google Scholar] [CrossRef]
  22. Han, H.; Riboni, F.; Karlicky, F.; Kment, S.; Goswami, A.; Sudhagar, P.; Yoo, J.; Wang, L.; Tomanec, O.; Petr, M.; et al. α-Fe2O3/TiO2 3D hierarchical nanostructures for enhanced photoelectrochemical water splitting. Nanoscale 2017, 9, 134–142. [Google Scholar] [CrossRef]
  23. Kumar, I.; Nayak, R.; Chaudhary, L.B.; Pandey, V.N.; Mishra, S.K.; Singh, N.K.; Srivastava, A.; Prasad, S.; Naik, R.M. Fabrication of α-Fe2O3 nanostructures: Synthesis, characterization, and their promising application in the treatment of carcinoma A549 lung cancer cells. ACS Omega 2022, 7, 21882–21890. [Google Scholar] [CrossRef]
  24. Youssef, R.M.; Salem, A.M.S.; Shawky, A.; Ebrahim, S.; Soliman, M.; Mottaleb, M.S.A.; Sheikh, S.M. Solution-processed quantum dot SnO2 as an interfacial electron transporter for stable fully-air-fabricated metal-free perovskite solar cells. J. Mater. 2022, 8, 172–1183. [Google Scholar] [CrossRef]
  25. Zan, F.; Jabeen, N.; Xiong, W.; Hussain, A.; Wang, Y.; Xia, H. SnO2/Fe2O3 hybrid nanofibers as high performance anodes for lithium-ion batteries. Nanotechnology 2020, 31, 185402. [Google Scholar] [CrossRef]
  26. Liu, X.; Zhang, J.; Guo, X.; Wang, S.; Wu, S. Core–shell α–Fe2O3@SnO2/Au hybrid structures and their enhanced gas sensing properties. RSC Adv. 2012, 2, 1650–1655. [Google Scholar] [CrossRef]
  27. Zhang, X.; Xie, Y.; Chen, H.; Guo, J.; Meng, A.; Li, C. One-dimensional mesoporous Fe2O3@TiO2 core–shell nanocomposites: Rational design, synthesis and application as high-performance photocatalyst in visible and UV light region. Appl. Surf. Sci. 2014, 317, 43–48. [Google Scholar] [CrossRef]
  28. Li, Y.; Liu, Z.; Wang, Y.; Liu, Z.; Han, J.; Ya, J. ZnO/CuInS2 core/shell heterojunction nanoarray for photoelectrochemical water splitting. Int. J. Hydrog. Energy 2012, 37, 15029–15037. [Google Scholar] [CrossRef]
  29. Subha, N.; Mahalakshmi, M.; Myilsamy, M.; Neppolian, B.; Murugesan, V. Direct Z- scheme heterojunction nanocomposite for the enhanced solar H2 production. Appl. Catal. A Gen. 2018, 553, 43–51. [Google Scholar] [CrossRef]
Figure 1. Structural analysis of α-Fe2O3, SnO2, and α-Fe2O3-SnO2 electrodes.
Figure 1. Structural analysis of α-Fe2O3, SnO2, and α-Fe2O3-SnO2 electrodes.
Crystals 14 00734 g001
Figure 2. Morphology analysis of (a) α-Fe2O3, (b) SnO2, and (c) α-Fe2O3-SnO2 electrodes.
Figure 2. Morphology analysis of (a) α-Fe2O3, (b) SnO2, and (c) α-Fe2O3-SnO2 electrodes.
Crystals 14 00734 g002
Figure 3. Optical analysis of (a) α-Fe2O3, (b) SnO2 and (c) α-Fe2O3-SnO2 electrodes and (df) (αhν)2 vs. hν for estimating the optical bandgap of α-Fe2O3, SnO2 and α-Fe2O3-SnO2 nanostructures.
Figure 3. Optical analysis of (a) α-Fe2O3, (b) SnO2 and (c) α-Fe2O3-SnO2 electrodes and (df) (αhν)2 vs. hν for estimating the optical bandgap of α-Fe2O3, SnO2 and α-Fe2O3-SnO2 nanostructures.
Crystals 14 00734 g003
Figure 4. (a,b) Infrared and Raman analysis of α-Fe2O3, SnO2 and α-Fe2O3-SnO2 electrodes.
Figure 4. (a,b) Infrared and Raman analysis of α-Fe2O3, SnO2 and α-Fe2O3-SnO2 electrodes.
Crystals 14 00734 g004
Figure 5. XPS analysis of (a) survey spectra of α-Fe2O3, SnO2 and α-Fe2O3-SnO2 electrodes, (b,c) Fe2p spectra of α-Fe2O3 and α-Fe2O3-SnO2 electrodes, (d,e) Sn3d spectra of α-Fe2O3 and α-Fe2O3-SnO2 electrodes, and (fh) O1s spectra of α-Fe2O3, SnO2 and α-Fe2O3-SnO2 electrodes.
Figure 5. XPS analysis of (a) survey spectra of α-Fe2O3, SnO2 and α-Fe2O3-SnO2 electrodes, (b,c) Fe2p spectra of α-Fe2O3 and α-Fe2O3-SnO2 electrodes, (d,e) Sn3d spectra of α-Fe2O3 and α-Fe2O3-SnO2 electrodes, and (fh) O1s spectra of α-Fe2O3, SnO2 and α-Fe2O3-SnO2 electrodes.
Crystals 14 00734 g005
Figure 6. (ac) Valance band analysis of α-Fe2O3, SnO2, and α-Fe2O3-SnO2 electrodes, and (d) The conduction band and valence band positions of α-Fe2O3, SnO2 and α-Fe2O3-SnO2 electrodes.
Figure 6. (ac) Valance band analysis of α-Fe2O3, SnO2, and α-Fe2O3-SnO2 electrodes, and (d) The conduction band and valence band positions of α-Fe2O3, SnO2 and α-Fe2O3-SnO2 electrodes.
Crystals 14 00734 g006
Figure 7. Impedance analysis of α-Fe2O3, SnO2, and α-Fe2O3-SnO2 electrodes under ON/OFF state in 0.1 M NaOH electrolyte (a) Nyquist plots, (b) physical fitted circuit, (c) bode plots, and (d) phase plots.
Figure 7. Impedance analysis of α-Fe2O3, SnO2, and α-Fe2O3-SnO2 electrodes under ON/OFF state in 0.1 M NaOH electrolyte (a) Nyquist plots, (b) physical fitted circuit, (c) bode plots, and (d) phase plots.
Crystals 14 00734 g007
Figure 8. (ac) Tafel and sweep analysis of α-Fe2O3, SnO2, and α-Fe2O3-SnO2 electrodes under ON/OFF state in 0.1 M NaOH electrolyte.
Figure 8. (ac) Tafel and sweep analysis of α-Fe2O3, SnO2, and α-Fe2O3-SnO2 electrodes under ON/OFF state in 0.1 M NaOH electrolyte.
Crystals 14 00734 g008
Figure 9. (ac) I-t analysis of α-Fe2O3, SnO2, and α-Fe2O3-SnO2 electrodes in the ON/OFF state under 0.1 M NaOH electrolyte.
Figure 9. (ac) I-t analysis of α-Fe2O3, SnO2, and α-Fe2O3-SnO2 electrodes in the ON/OFF state under 0.1 M NaOH electrolyte.
Crystals 14 00734 g009
Table 1. Impedance fitted parameters for α-Fe2O3, SnO2, and α-Fe2O3-SnO2 electrodes.
Table 1. Impedance fitted parameters for α-Fe2O3, SnO2, and α-Fe2O3-SnO2 electrodes.
AnodeStateRs
(Ω)
Ri
(Ω)
Rc
(Ω)
Ci
(μF)
Cc
(μF)
α-Fe2O3 (F)Dark10.5320.338024.280.3510.01
Light9.9420.234800.020.379.99
SnO2 (S)Dark11.8928.151227.611.537.98
Light11.8627.881144.301.547.93
α-Fe2O3-SnO2 (FS)Dark9.8020.213741.740.3313.03
Light9.7120.193212.380.3113.01
Table 2. Tafel fitted parameters for α-Fe2O3, SnO2 and α-Fe2O3-SnO2 electrodes.
Table 2. Tafel fitted parameters for α-Fe2O3, SnO2 and α-Fe2O3-SnO2 electrodes.
AnodeStateTafel Slope
(mVdec−1)
JLt
(mAcm−2)
Jee
(mAcm−2)
α-Fe2O3 (F)Dark69.2−0.68−3.95
Light60.9−0.67−3.86
SnO2 (S)Dark63.6−1.21−4.59
Light54.3−1.18−4.33
α-Fe2O3-SnO2 (FS)Dark50.8−2.60−3.75
Light45.5−2.09−3.68
Table 3. Comparative data of α-Fe2O3 and SnO2-based photoanodes.
Table 3. Comparative data of α-Fe2O3 and SnO2-based photoanodes.
StructureCurrent Density (mA cm−2)Reference
α-Fe2O3/TiO20.3[12]
α-Fe2O3/CdS0.6[13]
ZnO/α-Fe2O31.82[16]
Fe2O3/BiVO41.6[17]
α-Fe2O3/SnO20.32[20]
CoOOH/α-Fe2O3/SnO22.05[21]
α-Fe2O3/TiO2 0.2[22]
α-Fe2O3/SnO212.01Present study
Disclaimer/Publisher’s Note: The statements, opinions and data contained in all publications are solely those of the individual author(s) and contributor(s) and not of MDPI and/or the editor(s). MDPI and/or the editor(s) disclaim responsibility for any injury to people or property resulting from any ideas, methods, instructions or products referred to in the content.

Share and Cite

MDPI and ACS Style

Reddy, I.N.; Akkinepally, B.; Shim, J.; Bai, C. Boosted Electrochemical Activity with SnO2 Nanostructures Anchored on α-Fe2O3 for Improved Charge Transfer and Current Density. Crystals 2024, 14, 734. https://doi.org/10.3390/cryst14080734

AMA Style

Reddy IN, Akkinepally B, Shim J, Bai C. Boosted Electrochemical Activity with SnO2 Nanostructures Anchored on α-Fe2O3 for Improved Charge Transfer and Current Density. Crystals. 2024; 14(8):734. https://doi.org/10.3390/cryst14080734

Chicago/Turabian Style

Reddy, Itheereddi Neelakanta, Bhargav Akkinepally, Jaesool Shim, and Cheolho Bai. 2024. "Boosted Electrochemical Activity with SnO2 Nanostructures Anchored on α-Fe2O3 for Improved Charge Transfer and Current Density" Crystals 14, no. 8: 734. https://doi.org/10.3390/cryst14080734

APA Style

Reddy, I. N., Akkinepally, B., Shim, J., & Bai, C. (2024). Boosted Electrochemical Activity with SnO2 Nanostructures Anchored on α-Fe2O3 for Improved Charge Transfer and Current Density. Crystals, 14(8), 734. https://doi.org/10.3390/cryst14080734

Note that from the first issue of 2016, this journal uses article numbers instead of page numbers. See further details here.

Article Metrics

Back to TopTop