Coexistence of Large In-Plane and Out-of-Plane Piezoelectric Response in Group III–VI XMAY2 (X = I; M = Ti, Zr; A = Al, Ga; Y = S, Se) Monolayers
Abstract
1. Introduction
2. Methods
3. Results and Discussions
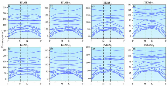
3.1. Crystal Lattice and Stability
3.2. Piezoelectric Properties
3.3. Electronic Properties
3.4. Transport Properties
4. Conclusions
Supplementary Materials
Author Contributions
Funding
Data Availability Statement
Acknowledgments
Conflicts of Interest
References
- Yi, Z.; Liu, Z.; Li, W.; Ruan, T.; Chen, X.; Liu, J.; Yang, B.; Zhang, W. Piezoelectric Dynamics of Arterial Pulse for Wearable Continuous Blood Pressure Monitoring. Adv. Mater. 2022, 34, 2110291. [Google Scholar] [CrossRef] [PubMed]
- Wang, Z.L.; Song, J.H. Piezoelectric nanogenerators based on zinc oxide nanowire arrays. Science 2006, 312, 242–246. [Google Scholar] [CrossRef]
- Yin, H.B.; Zheng, G.P.; Wang, Y.X.; Yao, B.J. New monolayer ternary In-containing sesquichalcogenides BiInSe3, SbInSe3, BiInTe3, and SbInTe3 with high stability and extraordinary piezoelectric properties. Phys. Chem. Chem. Phys. 2018, 20, 19177–19187. [Google Scholar] [CrossRef] [PubMed]
- Hinchet, R.; Khan, U.; Falconi, C.; Kim, S.-W. Piezoelectric properties in two-dimensional materials: Simulations and experiments. Mater. Today 2018, 21, 611–630. [Google Scholar] [CrossRef]
- Duerloo, K.-A.N.; Ong, M.T.; Reed, E.J. Intrinsic Piezoelectricity in Two-Dimensional Materials. J. Phys. Chem. Lett. 2012, 3, 2871–2876. [Google Scholar] [CrossRef]
- Novoselov, K.S.; Geim, A.K.; Morozov, S.V.; Jiang, D.; Zhang, Y.; Dubonos, S.V.; Grigorieva, I.V.; Firsov, A.A. Electric field effect in atomically thin carbon films. Science 2004, 306, 666–669. [Google Scholar] [CrossRef] [PubMed]
- Koskinen, P.; Malola, S.; Häkkinen, H. Self-passivating edge reconstructions of graphene. Phys. Rev. Lett. 2008, 101, 115502. [Google Scholar] [CrossRef] [PubMed]
- Zhang, Y.B.; Tan, Y.W.; Stormer, H.L.; Kim, P. Experimental observation of the quantum Hall effect and Berry’s phase in graphene. Nature 2005, 438, 201–204. [Google Scholar] [CrossRef]
- Li, L.; Yu, Y.; Ye, G.J.; Ge, Q.; Ou, X.; Wu, H.; Feng, D.; Chen, X.H.; Zhang, Y. Black phosphorus field-effect transistors. Nat. Nanotechnol. 2014, 9, 372–377. [Google Scholar] [CrossRef]
- Liu, H.; Neal, A.T.; Zhu, Z.; Luo, Z.; Xu, X.; Tomanek, D.; Ye, P.D. Phosphorene: An Unexplored 2D Semiconductor with a High Hole Mobility. ACS Nano 2014, 8, 4033–4041. [Google Scholar] [CrossRef]
- Carvalho, A.; Wang, M.; Zhu, X.; Rodin, A.S.; Su, H.B.; Neto, A.H.C. Phosphorene: From theory to applications. Nat. Rev. Mater. 2016, 1, 16061. [Google Scholar] [CrossRef]
- Li, L.F.; Lu, S.Z.; Pan, J.B.; Qin, Z.H.; Wang, Y.Q.; Wang, Y.L.; Cao, G.Y.; Du, S.X.; Gao, H.J. Buckled Germanene Formation on Pt(111). Adv. Mater. 2014, 26, 4820–4824. [Google Scholar] [CrossRef] [PubMed]
- Dávila, M.E.; Xian, L.; Cahangirov, S.; Rubio, A.; Le Lay, G. Germanene: A novel two-dimensional germanium allotrope akin to graphene and silicene. New J. Phys. 2014, 16, 095002. [Google Scholar] [CrossRef]
- Chegel, R.; Behzad, S. Tunable Electronic, Optical, and Thermal Properties of two- dimensional Germanene via an external electric field. Sci. Rep. 2020, 10, 704. [Google Scholar] [CrossRef]
- Manzeli, S.; Ovchinnikov, D.; Pasquier, D.; Yazyev, O.V.; Kis, A. 2D transition metal dichalcogenides. Nat. Rev. Mater. 2017, 2, 17033. [Google Scholar] [CrossRef]
- Castro Neto, A.H. Charge density wave, superconductivity, and anomalous metallic behavior in 2D transition metal dichalcogenides. Phys. Rev. Lett. 2001, 86, 4382–4385. [Google Scholar] [CrossRef]
- Wang, Q.H.; Kalantar-Zadeh, K.; Kis, A.; Coleman, J.N.; Strano, M.S. Electronics and optoelectronics of two-dimensional transition metal dichalcogenides. Nat. Nanotechnol. 2012, 7, 699–712. [Google Scholar] [CrossRef]
- Hofmann, M.; Shin, Y.C.; Hsieh, Y.P.; Dresselhaus, M.S.; Kong, J. A facile tool for the characterization of two-dimensional materials grown by chemical vapor deposition. Nano Res. 2012, 5, 504–511. [Google Scholar] [CrossRef]
- Song, L.; Ci, L.J.; Lu, H.; Sorokin, P.B.; Jin, C.H.; Ni, J.; Kvashnin, A.G.; Kvashnin, D.G.; Lou, J.; Yakobson, B.I.; et al. Large Scale Growth and Characterization of Atomic Hexagonal Boron Nitride Layers. NANO Lett. 2010, 10, 3209–3215. [Google Scholar] [CrossRef]
- Gomes, L.C.; Carvalho, A.; Neto, A.H.C. Enhanced piezoelectricity and modified dielectric screening of two-dimensional group-IV monochalcogenides. Phys. Rev. B 2015, 92, 214103. [Google Scholar] [CrossRef]
- Gomes, L.C.; Carvalho, A. Phosphorene analogues: Isoelectronic two-dimensional group-IV monochalcogenides with orthorhombic structure. Phys. Rev. B 2015, 92, 085406. [Google Scholar] [CrossRef]
- Gomes, L.C.; Carvalho, A. Electronic and optical properties of low-dimensional group-IV monochalcogenides. J. Appl. Phys. 2020, 128, 121101. [Google Scholar] [CrossRef]
- Michel, K.H.; Çakir, D.; Sevik, C.; Peeters, F.M. Piezoelectricity in two-dimensional materials: Comparative study between lattice dynamics and ab initio calculations. Phys. Rev. B 2017, 95, 125415. [Google Scholar] [CrossRef]
- Haastrup, S.; Strange, M.; Pandey, M.; Deilmann, T.; Schmidt, P.S.; Hinsche, N.F.; Gjerding, M.N.; Torelli, D.; Larsen, P.M.; Riis-Jensen, A.C.; et al. The Computational 2D Materials Database: High-throughput modeling and discovery of atomically thin crystals. 2D Mater. 2018, 5, 042002. [Google Scholar] [CrossRef]
- Riis-Jensen, A.C.; Deilmann, T.; Olsen, T.; Thygesen, K.S. Classifying the Electronic and Optical Properties of Janus Monolayers. ACS Nano 2019, 13, 13354–13364. [Google Scholar] [CrossRef] [PubMed]
- Vo, D.D.; Vu, T.V.; Al-Qaisi, S.; Tong, H.D.; Le, T.S.; Nguyen, C.V.; Phuc, H.V.; Luong, H.L.; Jappor, H.R.; Obeid, M.M.; et al. Janus monolayer PtSSe under external electric field and strain: A first principles study on electronic structure and optical properties. Superlattices Microstruct. 2020, 147, 106683. [Google Scholar] [CrossRef]
- Almayyali, A.O.M.; Muhsen, H.O.; Merdan, M.; Obeid, M.M.; Jappor, H.R. Two-dimensional ZnI2 monolayer as a photocatalyst for water splitting and improvement its electronic and optical properties by strains. Phys. E Low-Dimens. Syst. Nanostruct. 2021, 126, 114487. [Google Scholar] [CrossRef]
- Abdulameer, M.J.; Al-Abbas, S.S.A.; Jappor, H.R. Tuning optical and electronic properties of 2D ZnI2/CdS heterostructure by biaxial strains for optical nanodevices: A first-principles study. J. Appl. Phys. 2021, 129, 225104. [Google Scholar] [CrossRef]
- Xue, F.; Zhang, J.; Hu, W.; Hsu, W.-T.; Han, A.; Leung, S.-F.; Huang, J.-K.; Wan, Y.; Liu, S.; Zhang, J.; et al. Multidirection Piezoelectricity in Mono- and Multilayered Hexagonal α-In2Se3. ACS Nano 2018, 12, 4976–4983. [Google Scholar] [CrossRef]
- Liu, S.; Chen, W.; Liu, C.; Wang, B.; Yin, H. Coexistence of large out-of-plane and in-plane piezoelectricity in 2D monolayer Li-based ternary chalcogenides LiMX2. Results Phys. 2021, 26, 104398. [Google Scholar] [CrossRef]
- Zhang, J.; Jia, S.; Kholmanov, I.; Dong, L.; Er, D.; Chen, W.; Guo, H.; Jin, Z.; Shenoy, V.B.; Shi, L.; et al. Janus Monolayer Transition-Metal Dichalcogenides. ACS Nano 2017, 11, 8192–8198. [Google Scholar] [CrossRef]
- Liu, S.; Cohen, R.E. Origin of Negative Longitudinal Piezoelectric Effect. Phys. Rev. Lett. 2017, 119, 207601. [Google Scholar] [CrossRef] [PubMed]
- You, L.; Zhang, Y.; Zhou, S.; Chaturvedi, A.; Morris, S.A.; Liu, F.; Chang, L.; Ichinose, D.; Funakubo, H.; Hu, W.; et al. Origin of giant negative piezoelectricity in a layered van der Waals ferroelectric. Sci. Adv. 2019, 5, eaav3780. [Google Scholar] [CrossRef]
- Wang, Z.; Dong, S. Large in-plane negative piezoelectricity and giant nonlinear optical susceptibility in elementary ferroelectric monolayers. Phys. Rev. B 2023, 108, 235423. [Google Scholar] [CrossRef]
- Zhong, S.; Zhang, X.; Liu, S.; Yang, S.A.; Lu, Y. Giant and Nonanalytic Negative Piezoelectric Response in Elemental Group-Va Ferroelectric Monolayers. Phys. Rev. Lett. 2023, 131, 236801. [Google Scholar] [CrossRef] [PubMed]
- Gao, Z.; He, X.; Li, W.; He, Y.; Xiong, K. First principles prediction of two-dimensional Janus STiXY2 (X = Si, Ge; Y = N, P, As) materials. Dalton Trans. 2023, 52, 8322–8331. [Google Scholar] [CrossRef]
- Ding, C.-H.; Duan, Z.-F.; Ding, Z.-K.; Pan, H.; Wang, J.; Xiao, W.-H.; Liu, W.-P.; Li, Q.-Q.; Luo, N.-N.; Zeng, J.; et al. XMoSiN2 (X = S, Se, Te): A novel 2D Janus semiconductor with ultra-high carrier mobility and excellent thermoelectric performance. Europhys. Lett. 2023, 143, 16002. [Google Scholar] [CrossRef]
- Sibatov, R.T.; Meftakhutdinov, R.M.; Kochaev, A.I. Asymmetric XMoSiN2 (X=S, Se, Te) monolayers as novel promising 2D materials for nanoelectronics and photovoltaics. Appl. Surf. Sci. 2022, 585, 152465. [Google Scholar] [CrossRef]
- Li, Z.; Luo, J.; Zhou, Y.; Chen, J.; Ling, H.; Zeng, J.; Yang, Y.; Dong, H. Asymmetric XMoGeY2 (X = S, Se, Te; Y = N, P, As) monolayers as potential flexible materials for nano piezoelectric devices and nanomedical sensors. Phys. Chem. Chem. Phys. 2024, 26, 12133–12141. [Google Scholar] [CrossRef]
- Hong, Y.L.; Liu, Z.B.; Wang, L.; Zhou, T.Y.; Ma, W.; Xu, C.; Feng, S.; Chen, L.; Chen, M.L.; Sun, D.M.; et al. Chemical vapor deposition of layered two-dimensional MoSi2N4 materials. Science 2020, 369, 670–674. [Google Scholar] [CrossRef]
- Wang, X.; Ju, W.; Wang, D.; Li, X.; Wan, J. Flexible MA2Z4 (M = Mo, W.; A = Si, Ge and Z = N, P, As) monolayers with outstanding mechanical, dynamical, electronic, and piezoelectric properties and anomalous dynamic polarization. Phys. Chem. Chem. Phys. 2023, 25, 18247–18258. [Google Scholar] [CrossRef] [PubMed]
- Vi, V.T.T.; Linh, T.P.T.; Nguyen, C.Q.; Hieu, N.N. Tunable Electronic Properties of Novel 2D Janus MSiGeN4 (M = Ti, Zr, Hf) Monolayers by Strain and External Electric Field. Adv. Theory Simul. 2022, 5, 2200499. [Google Scholar] [CrossRef]
- Liao, J.; Ma, X.; Yuan, G.; Xu, P.; Yuan, Z. Coexistence of in- and out-of-plane piezoelectricity in Janus XSSiN2 (X = Cr, Mo, W) monolayers. Appl. Surf. Sci. 2023, 610, 155586. [Google Scholar] [CrossRef]
- Kresse, G.; Joubert, D. From ultrasoft pseudopotentials to the projector augmented-wave method. Phys. Rev. B 1999, 59, 1758–1775. [Google Scholar] [CrossRef]
- Perdew, J.P.; Burke, K.; Ernzerhof, M. Generalized Gradient Approximation Made Simple. Phys. Rev. Lett. 1996, 77, 3865–3868. [Google Scholar] [CrossRef]
- Blöchl, P.E. Projector augmented-wave method. Phys. Rev. B Condens. Matter 1994, 50, 17953–17979. [Google Scholar] [CrossRef]
- Kresse, G.; Furthmüller, J. Efficient iterative schemes for ab initio total-energy calculations using a plane-wave basis set. Phys. Rev. B Condens. Matter 1996, 54, 11169–11186. [Google Scholar] [CrossRef]
- Grimme, S. Semiempirical GGA-type density functional constructed with a long-range dispersion correction. J. Comput. Chem. 2006, 27, 1787–1799. [Google Scholar] [CrossRef]
- Giannozzi, P.; de Gironcoli, S.; Pavone, P.; Baroni, S. Ab initio calculation of phonon dispersions in semiconductors. Phys. Rev. B Condens. Matter 1991, 43, 7231–7242. [Google Scholar] [CrossRef]
- Baroni, S.; Giannozzi, P.; Testa, A. Green’s-function approach to linear response in solids. Phys. Rev. Lett. 1987, 58, 1861–1864. [Google Scholar] [CrossRef]
- Vanderbilt; King, S. Electric polarization as a bulk quantity and its relation to surface charge. Phys. Rev. B Condens. Matter 1993, 48, 4442–4455. [Google Scholar] [CrossRef] [PubMed]
- Heyd, J.; Scuseria, G.E.; Ernzerhof, M. Hybrid functionals based on a screened Coulomb potential. J. Chem. Phys. 2003, 118, 8207–8215. [Google Scholar] [CrossRef]
- Wu, X.; Vanderbilt, D.; Hamann, D.R. Systematic treatment of displacements, strains, and electric fields in density-functional perturbation theory. Phys. Rev. B 2005, 72, 035105. [Google Scholar] [CrossRef]
- Qi, C.; Yan, C.; Li, Q.; Yang, T.; Qiu, S.; Cai, J. Two-dimensional Janus monolayers Al2XYZ (X/Y/Z = S, Se, Te, X ≠ Y ≠ Z): First-principles insight into the photocatalytic and highly adjustable piezoelectric properties. J. Mater. Chem. C 2023, 11, 3262–3274. [Google Scholar] [CrossRef]
- Yang, L.-M.; Bačić, V.; Popov, I.A.; Boldyrev, A.I.; Heine, T.; Frauenheim, T.; Ganz, E. Two-Dimensional Cu2Si Monolayer with Planar Hexacoordinate Copper and Silicon Bonding. J. Am. Chem. Soc. 2015, 137, 2757–2762. [Google Scholar] [CrossRef] [PubMed]
- Luo, W.; Xiang, H. Two-Dimensional Phosphorus Oxides as Energy and Information Materials. Angew. Chem. Int. Ed. 2016, 55, 8575–8580. [Google Scholar] [CrossRef] [PubMed]
- Hieu, N.N.; Phuc, H.V.; Kartamyshev, A.I.; Vu, T.V. Structural, electronic, and transport properties of quintuple atomic Janus monolayers Ga2XS2 (X= O, S, Se, Te): First-principles predictions. Phys. Rev. B 2022, 105, 075402. [Google Scholar] [CrossRef]
- Bernardini, F.; Fiorentini, V.; Vanderbilt, D. Spontaneous polarization and piezoelectric constants of III-V nitrides. Phys. Rev. B 1997, 56, R10024. [Google Scholar] [CrossRef]
- Andrew, R.C.; Mapasha, R.E.; Ukpong, A.M.; Chetty, N. Mechanical properties of graphene and boronitrene. Phys. Rev. B 2012, 85, 125428. [Google Scholar] [CrossRef]
- Leenaerts, O.; Peelaers, H.; Hernández-Nieves, A.D.; Partoens, B.; Peeters, F.M. First-principles investigation of graphene fluoride and graphane. Phys. Rev. B 2010, 82, 195436. [Google Scholar] [CrossRef]
- Lee, C.; Wei, X.; Kysar, J.W.; Hone, J. Measurement of the Elastic Properties and Intrinsic Strength of Monolayer Graphene. Science 2008, 321, 385–388. [Google Scholar] [CrossRef] [PubMed]
- Hiep, N.T.; Nguyen, C.Q.; Poklonski, N.A.; Duque, C.A.; Phuc, H.V.; Lu, D.V.; Hieu, N.N. Structural, electronic, and transport properties of Janus XMoSiP2 (X = S, Se, Te) monolayers: A first-principles study. J. Phys. D Appl. Phys. 2023, 56, 385306. [Google Scholar] [CrossRef]
- Dimple; Jena, N.; Rawat, A.; Ahammed, R.; Mohanta, M.K.; De Sarkar, A. Emergence of high piezoelectricity along with robust electron mobility in Janus structures in semiconducting Group IVB dichalcogenide monolayers. J. Mater. Chem. A 2018, 6, 24885–24898. [Google Scholar] [CrossRef]
- Noor-A-Alam, M.; Kim, H.J.; Shin, Y.-H. Dipolar polarization and piezoelectricity of a hexagonal boron nitride sheet decorated with hydrogen and fluorine. Phys. Chem. Chem. Phys. 2014, 16, 6575–6582. [Google Scholar] [CrossRef] [PubMed]
- Guo, Y.; Zhou, S.; Bai, Y.; Zhao, J. Enhanced piezoelectric effect in Janus group-III chalcogenide monolayers. Appl. Phys. Lett. 2017, 110, 163102. [Google Scholar] [CrossRef]
- Fu, C.-F.; Sun, J.; Luo, Q.; Li, X.; Hu, W.; Yang, J. Intrinsic Electric Fields in Two-dimensional Materials Boost the Solar-to-Hydrogen Efficiency for Photocatalytic Water Splitting. Nano Lett. 2018, 18, 6312–6317. [Google Scholar] [CrossRef] [PubMed]
- Bengtsson, L. Dipole correction for surface supercell calculations. Phys. Rev. B 1999, 59, 12301–12304. [Google Scholar] [CrossRef]
- Bardeen, J.; Shockley, W. Deformation Potentials and Mobilities in Non-Polar Crystals. Phys. Rev. 1950, 80, 72–80. [Google Scholar] [CrossRef]
- Kaasbjerg, K.; Thygesen, K.S.; Jacobsen, K.W. Phonon-limited mobility in n-type single-layer MoS2 from first principles. Phys. Rev. B 2012, 85, 115317. [Google Scholar] [CrossRef]




| Phase | a | h | dI-M | dM-Y | dA-Y(1) | dA-Y(2) | Ecoh | Eform |
|---|---|---|---|---|---|---|---|---|
| ITiAlS2 | 3.64 | 6.32 | 2.82 | 2.50 | 2.20 | 2.32 | −4.43 | −0.97 |
| ITiAlSe2 | 3.77 | 6.78 | 2.85 | 2.63 | 2.35 | 2.45 | −3.95 | −0.81 |
| ITiGaS2 | 3.69 | 6.49 | 2.83 | 2.50 | 2.26 | 2.34 | −3.98 | −0.79 |
| ITiGaSe2 | 3.79 | 6.84 | 2.86 | 2.62 | 2.41 | 2.47 | −3.67 | −0.69 |
| IZrAlS2 | 3.70 | 6.57 | 2.93 | 2.61 | 2.20 | 2.33 | −4.61 | −1.09 |
| IZrAlSe2 | 3.73 | 6.70 | 2.96 | 2.73 | 2.35 | 2.46 | −4.31 | −1.00 |
| IZrGaS2 | 3.73 | 6.71 | 2.95 | 2.61 | 2.27 | 2.36 | −4.27 | −0.92 |
| IZrGaSe2 | 3.84 | 7.06 | 2.97 | 2.72 | 2.42 | 2.48 | −3.96 | −0.82 |
| Phase | C11 | C12 | C11 − C12 | C11 + C12 | Y2D | v2D | e11 | d11 | e31 | d31 |
|---|---|---|---|---|---|---|---|---|---|---|
| ITiAlS2 | 106.58 | 26.49 | 80.09 | 133.07 | 104.63 | 0.23 | 4.16 | 5.20 | −0.03 | −0.02 |
| ITiAlSe2 | 89.56 | 22.77 | 66.79 | 112.33 | 85.64 | 0.25 | 3.97 | 5.95 | −0.22 | −0.19 |
| ITiGaS2 | 98.79 | 23.81 | 74.98 | 122.60 | 95.49 | 0.23 | 4.40 | 5.86 | 0.16 | 0.13 |
| ITiGaSe2 | 79.42 | 18.50 | 60.92 | 97.92 | 80.00 | 0.24 | 4.17 | 6.84 | −0.23 | −0.23 |
| IZrAlS2 | 96.71 | 26.92 | 69.79 | 123.63 | 98.44 | 0.21 | 3.73 | 5.35 | 0.33 | 0.26 |
| IZrAlSe2 | 78.06 | 24.36 | 53.7 | 102.42 | 97.81 | 0.20 | 3.01 | 5.62 | 0.20 | 0.19 |
| IZrGaS2 | 81.57 | 26.72 | 54.85 | 108.29 | 86.59 | 0.21 | 3.86 | 7.04 | 0.52 | 0.48 |
| IZrGaSe2 | 73.51 | 21.01 | 52.50 | 94.52 | 74.88 | 0.19 | 2.91 | 5.54 | 0.19 | 0.20 |
| EF | Φ1 | Φ2 | ΔΦ | |||
|---|---|---|---|---|---|---|
| ITiAlS2 | 0.48 | 0.67 | −0.42 | 2.94 | 3.17 | −0.23 |
| ITiAlSe2 | 0.38 | 0.48 | −0.70 | 2.52 | 2.99 | −0.47 |
| ITiGaS2 | 0.33 | 0.65 | −0.80 | 3.07 | 2.86 | 0.21 |
| ITiGaSe2 | 0.60 | 0.44 | −1.03 | 2.70 | 2.63 | 0.07 |
| IZrAlS2 | 0.23 | 0.48 | −1.42 | 2.95 | 3.18 | −0.23 |
| IZrAlSe2 | 0.15 | 0.38 | −0.42 | 2.59 | 2.99 | −0.40 |
| IZrGaS2 | 0.34 | 0.50 | −0.34 | 3.13 | 2.82 | 0.31 |
| IZrGaSe2 | 0.16 | 0.34 | −0.74 | 2.78 | 2.66 | 0.12 |
| Phase | Type | mx | my | C2Dx | C2Dy | Edx | Edy | μx | μy |
|---|---|---|---|---|---|---|---|---|---|
| ITiAlS2 | Electron | 0.99 | 0.24 | 108.5 | 107.22 | 9.42 | 1.43 | 53.97 | 9546.23 |
| Hole | 0.51 | 0.52 | 108.5 | 107.22 | 5.07 | 5.30 | 331.77 | 313.24 | |
| ITiAlSe2 | Electron | 1.17 | 0.22 | 90.07 | 90.30 | 8.49 | 1.32 | 44.84 | 9889.53 |
| Hole | 0.50 | 0.51 | 90.07 | 90.30 | 5.12 | 5.37 | 284.89 | 263.48 | |
| ITiGaS2 | Electron | 1.03 | 0.41 | 98.42 | 98.25 | 8.11 | 8.08 | 47.61 | 120.30 |
| Hole | 0.60 | 0.63 | 98.42 | 98.25 | 5.69 | 5.88 | 166.87 | 164.36 | |
| ITiGaSe2 | Electron | 2.92 | 1.90 | 87.07 | 87.26 | 6.87 | 1.14 | 8.78 | 207.93 |
| Hole | 0.60 | 0.60 | 87.07 | 87.26 | 5.03 | 5.29 | 204.05 | 184.08 | |
| IZrAlS2 | Electron | 1.06 | 0.22 | 102.42 | 102.52 | 9.21 | 2.17 | 50.24 | 4364.81 |
| Hole | 0.37 | 0.40 | 102.42 | 102.52 | 4.93 | 5.24 | 583.83 | 558.15 | |
| IZrAlSe2 | Electron | 1.32 | 0.19 | 85.96 | 86.64 | 9.65 | 1.84 | 29.74 | 5728.33 |
| Hole | 0.35 | 0.37 | 85.96 | 86.64 | 4.94 | 4.98 | 567.92 | 586.13 | |
| IZrGaS2 | Electron | 1.32 | 0.31 | 92.23 | 91.24 | 4.92 | 4.98 | 46.75 | 45.49 |
| Hole | 0.41 | 0.45 | 92.23 | 91.24 | 5.76 | 5.85 | 303.03 | 325.94 | |
| IZrGaSe2 | Electron | 2.44 | 1.78 | 75.67 | 75.24 | 6.39 | 1.45 | 45.49 | 46.79 |
| Hole | 0.35 | 0.42 | 75.67 | 75.24 | 5.00 | 4.80 | 7.76 | 1241.03 |
Disclaimer/Publisher’s Note: The statements, opinions and data contained in all publications are solely those of the individual author(s) and contributor(s) and not of MDPI and/or the editor(s). MDPI and/or the editor(s) disclaim responsibility for any injury to people or property resulting from any ideas, methods, instructions or products referred to in the content. |
© 2024 by the authors. Licensee MDPI, Basel, Switzerland. This article is an open access article distributed under the terms and conditions of the Creative Commons Attribution (CC BY) license (https://creativecommons.org/licenses/by/4.0/).
Share and Cite
Li, Z.; Zhou, Y.; Guo, X.; Peng, J.; Dong, H. Coexistence of Large In-Plane and Out-of-Plane Piezoelectric Response in Group III–VI XMAY2 (X = I; M = Ti, Zr; A = Al, Ga; Y = S, Se) Monolayers. Crystals 2024, 14, 708. https://doi.org/10.3390/cryst14080708
Li Z, Zhou Y, Guo X, Peng J, Dong H. Coexistence of Large In-Plane and Out-of-Plane Piezoelectric Response in Group III–VI XMAY2 (X = I; M = Ti, Zr; A = Al, Ga; Y = S, Se) Monolayers. Crystals. 2024; 14(8):708. https://doi.org/10.3390/cryst14080708
Chicago/Turabian StyleLi, Zujun, Yushan Zhou, Xiuping Guo, Junhao Peng, and Huafeng Dong. 2024. "Coexistence of Large In-Plane and Out-of-Plane Piezoelectric Response in Group III–VI XMAY2 (X = I; M = Ti, Zr; A = Al, Ga; Y = S, Se) Monolayers" Crystals 14, no. 8: 708. https://doi.org/10.3390/cryst14080708
APA StyleLi, Z., Zhou, Y., Guo, X., Peng, J., & Dong, H. (2024). Coexistence of Large In-Plane and Out-of-Plane Piezoelectric Response in Group III–VI XMAY2 (X = I; M = Ti, Zr; A = Al, Ga; Y = S, Se) Monolayers. Crystals, 14(8), 708. https://doi.org/10.3390/cryst14080708

