Unexpected Formation of 6-(1H-Benzo[d]imidazol-2-yl)-1-phenyl-hexan-1-one and Its Structure in Solution and Solid State Analyzed in the Context of Tautomerism
Abstract
1. Introduction
2. Materials and Methods
2.1. Instrumentation and Chemicals
2.2. Synthesis and Spectral Data for 6-(1H-Benzo[d]imidazol-2-yl)-1-phenyl-hexan-1-one (4d)
2.3. Molecular Modeling and Vibrational Frequency Analysis in Solution
2.4. Prediction of NMR Spectra in Solution
2.5. X-ray Diffraction Analysis for the Crystal
2.6. Theoretical Calculation for Hydrogen Bonds
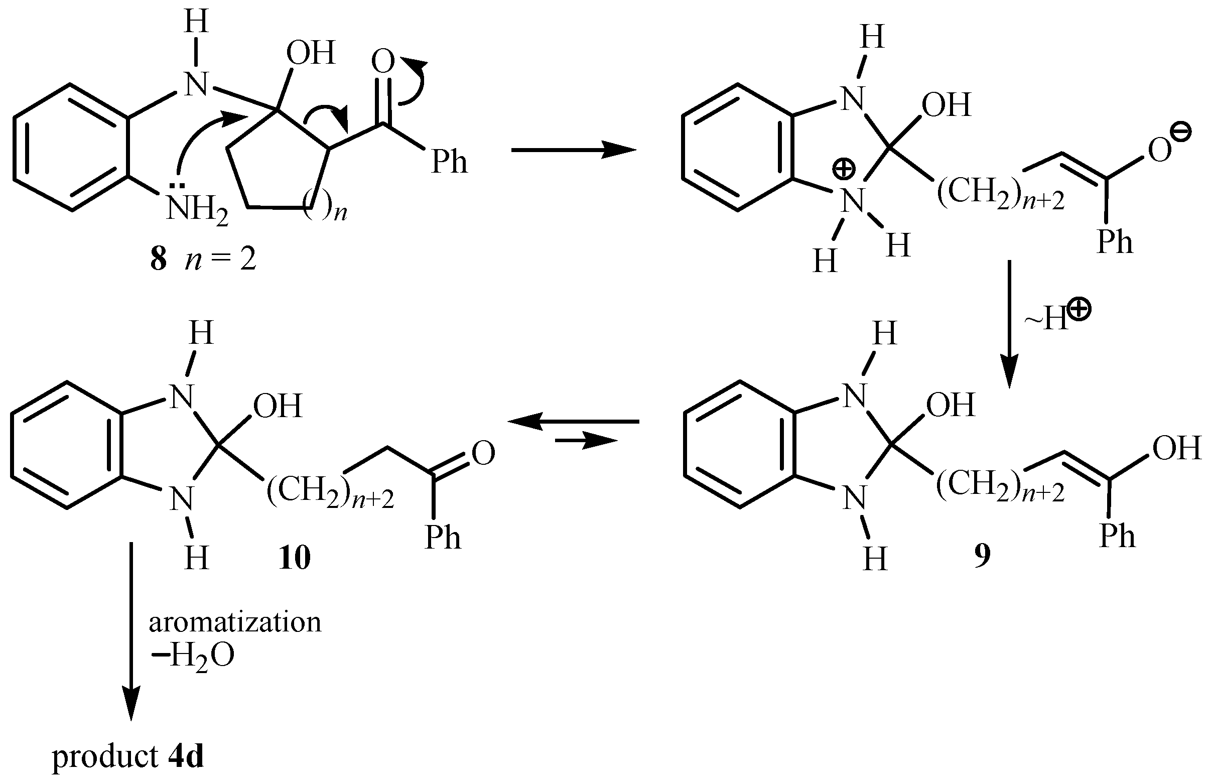
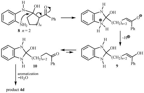
3. Results and Discussion
3.1. Considerations for Solutions
3.2. Considerations for the Solid Phase
3.2.1. XRD Analysis
3.2.2. Tautomerism in a Solid State
4. Conclusions
Supplementary Materials
Author Contributions
Funding
Data Availability Statement
Acknowledgments
Conflicts of Interest
References
- Nicholson, A.N. Differential effects of the 1,4 and 1,5 benzodiazepines on performance in healthy man. Br. J. Clin. Pharmacol. 1979, 7, 83S–84S. [Google Scholar] [CrossRef] [PubMed][Green Version]
- Baur, R.; Sigel, E. Benzodiazepines Affect Channel Opening of GABAA Receptors Induced by Either Agonist Binding Site. Mol. Pharmacol. 2005, 67, 1005–1008. [Google Scholar] [CrossRef] [PubMed]
- Baburin, I.; Khom, S.; Timin, E.; Hohaus, A.; Sieghart, W.; Hering, S. Estimating the efficiency of benzodiazepines on GABAA receptors comprising γ1 or γ2 subunits. Br. J. Pharmacol. 2008, 155, 424–433. [Google Scholar] [CrossRef] [PubMed]
- Beltrán González, A.N.; Pomata, P.E.; Goutman, J.D.; Gasulla, J.; Chebib, M.; Calvo, D.J. Benzodiazepine modulation of homomeric GABAAρ1 receptors: Differential effects of diazepam and 4′-chlorodiazepam. Eur. J. Pharmacol. 2014, 743, 24–30. [Google Scholar] [CrossRef] [PubMed]
- Sigel, E.; Ernst, M. The Benzodiazepine Binding Sites of GABAA Receptors. Trends Pharmacol. Sci. 2018, 39, 659–671. [Google Scholar] [CrossRef] [PubMed]
- Goldschen-Ohm, M.P. Benzodiazepine Modulation of GABAA Receptors: A Mechanistic Perspective. Biomolecules 2022, 12, 1784. [Google Scholar] [CrossRef] [PubMed]
- Sanabria, E.; Cuenca, R.E.; Esteso, M.Á.; Maldonado, M. Benzodiazepines: Their Use either as Essential Medicines or as Toxics Substances. Toxics 2021, 9, 25. [Google Scholar] [CrossRef] [PubMed]
- Available online: http://en.wikipedia.org/wiki/Benzodiazepine (accessed on 14 July 2024).
- Lessel, J. Untersuchungen zum Cyclisierungsverhalten von 1,2-Diamines gegenüber Aldehyden und Ketonen. Pharmazie 1994, 49, 649–653. [Google Scholar]
- Chuang, T.-H.; Sharpless, K.B. Applications of Aziridinium Ions. Selective Syntheses of α,β-Diamino Esters, α-Sulfanyl-β-amino Esters, β-Lactams, and 1,5-Benzodiazepin-2-one. Org. Lett. 2000, 2, 3555–3557. [Google Scholar] [CrossRef]
- Kidwai, M.; Ruby; Venkataramanan, R. A Facile Synthesis of Substituted Benzodiazepines Using Solid Support. Chem. Heterocycl. Compd. (Engl. Transl.) 2004, 40, 631–634. [Google Scholar] [CrossRef]
- Kumar, R.; Joshi, Y.C. Synthesis, spectral studies and biological activity of 3H-1,5-benzodiazepine derivatives. Arkivoc 2007, 13, 142–149. [Google Scholar] [CrossRef]
- Sharma, S.; Jain, R.; Chawla, C. Synthesis and Biological Activities of Some Benzodiazepine Derivatives. J. Chem. Pharm. Res. 2013, 5, 46–55. [Google Scholar]
- Haq, F.U.; Shoaib, M.; Ali Shah, S.W.; Hussain, H.; Zahoor, M.; Ullah, R.; Bari, A.; Alotaibi, A.; Hayat, M.F. Antidepressant Activities of Synthesized Benzodiazepine Analogues in Mice. Brain Sci. 2023, 13, 523. [Google Scholar] [CrossRef]
- Wang, Z.-X.; Qin, H.-L. Reaction of 1,3-Dicarbonyl Compounds with o-Phenylenediamine or 3,3′-Diaminobenzidine in Water or under Solvent-free Conditions via Microwave Irradiation. J. Heterocyclic Chem. 2005, 42, 1001–1005. [Google Scholar] [CrossRef]
- Armarego, W.L.F.; Chai, C.L.L. Purification of Laboratory Chemicals, 7th ed.; Elsevier Inc.: Amsterdam, The Netherlands, 2013. [Google Scholar]
- Fos, E.; Borràs, L.; Gasull, M.; Mauleón, D.; Carganico, G. Synthesis of Isomeric Series of Aryltetrahydrobenzisoxazoles and Arylcyclopentisoxazoles. J. Heterocycl. Chem. 1992, 29, 203–208. [Google Scholar] [CrossRef]
- Hermanson, J.R.; Gunther, M.L.; Belletire, J.L.; Pinhas, A.R. Synthetic Explorations Involving Nickel Acylate Complexes and Electrophilic Alkenes. J. Org. Chem. 1995, 60, 1900–1903. [Google Scholar] [CrossRef]
- Nazarski, R.B.; Leśniak, S. Physical Image vs. Structure Relation, 4. Configuration and Conformation Determination of Some Bicyclic Lactams by 1H NMR an Theoretical Methods. Bull. Pol. Acad. Sci. Chem. 2000, 48, 19–25. [Google Scholar]
- Nazarski, R.B.; Lewkowski, J.A.; Skowroński, R. Rationalization of the Stereochemistry of an Addition of Dialkyl Phosphites to Certain Chiral Aldimines: The Experimental and Theoretical Approach. Heteroatom Chem. 2002, 13, 120–125. [Google Scholar] [CrossRef]
- Molecular Modeling Software for Windows Operating System, Apple Macintosh OS, Linux and Unix, PCMODEL Version 8.5; Serena Software: Bloomington, IN, USA, 2003.
- Gajewski, J.J.; Gillbert, K.E.; McKelvey, J. MMX: An enhanced version of MM2. In Advances in Molecular Modeling; Liotta, D.D., Ed.; JAI Press, Inc.: London, UK, 1990; Volume 2, pp. 65–92. [Google Scholar]
- Frisch, M.J.; Trucks, G.W.; Schlegel, H.B.; Scuseria, G.E.; Robb, M.A.; Cheeseman, J.R.; Scalmani, G.; Barone, V.; Petersson, G.A.; Nakatsuji, H.; et al. Gaussian 16; Revision C.01; Gaussian, Inc.: Wallingford, CT, USA, 2019. [Google Scholar]
- Weigend, F.; Ahlrichs, R. Balanced basis sets of split valence, triple zeta valence and quadruple zeta valence quality for H to Rn: Design and assessment of accuracy. Phys. Chem. Chem. Phys. 2005, 7, 3297–3305. [Google Scholar] [CrossRef]
- Tomasi, J.; Mennucci, B.; Cancés, E. The IEF version of the PCM solvation method: An overview of a new method addressed to study molecular solutes at the QM ab initio level. J. Mol. Struct. Theochem 1999, 464, 211–226. [Google Scholar] [CrossRef]
- Grimme, S.; Antony, J.; Ehrlich, S.; Krieg, H. A consistent and accurate ab initio parametrization of density functional dispersion correction (DFT-D) for the 94 elements H-Pu. J. Chem. Phys. 2010, 132, 154104. [Google Scholar] [CrossRef]
- Grimme, S.; Ehrlich, S.; Goerigk, L. Effect of the Damping Function in Dispersion Corrected Density Functional Theory. J. Comput. Chem. 2011, 32, 1456–1465. [Google Scholar] [CrossRef] [PubMed]
- Nazarski, R.B.; Wałejko, P.; Witkowski, S. Multi-conformer molecules in solutions: An NMR-based DFT/MP2 conformational study of two glucopyranosides of a vitamin E model compound. Org. Biomol. Chem. 2016, 14, 3142–3158. [Google Scholar] [CrossRef] [PubMed]
- Chai, J.-D.; Head-Gordon, M. Long-range corrected hybrid density functionals with damped atom-atom dispersion corrections. Phys. Chem. Chem. Phys. 2008, 10, 6615–6620. [Google Scholar] [CrossRef] [PubMed]
- Grimme, S. Semiempirical GGA-Type Density Functional Constructed with a Long-Range Dispersion Correction. J. Comput. Chem. 2006, 27, 1787–1799. [Google Scholar] [CrossRef] [PubMed]
- Chemcraft—Graphical Software for Visualization of Quantum Chemistry Computations, Version 1.8, built 523b. 2017. Available online: http://www.chemcraftprog.com (accessed on 29 July 2024).
- Barone, G.; Duca, D.; Silvestri, A.; Gomez-Paloma, L.; Riccio, R.; Bifulco, G. Determination of the Relative Stereochemistry of Flexible Organic Compounds by Ab Initio Methods: Conformational Analysis and Boltzmann-Averaged GIAO 13C NMR Chemical Shifts. Chem. Eur. J. 2002, 8, 3240–3245. [Google Scholar] [CrossRef] [PubMed]
- Adamson, J.; Nazarski, R.B.; Jarvet, J.; Pehk, T.; Aav, R. Shortfall of B3LYP in Reproducing NMR JCH Couplings in Some Isomeric Epoxy Structures with Strong Stereoelectronic Effects: A Benchmark Study on DFT Functionals. ChemPhysChem 2018, 19, 631–642. [Google Scholar] [CrossRef] [PubMed]
- Nazarski, R.B. Summary of DFT calculations coupled with current statistical and/or artificial neural network (ANN) methods to assist experimental NMR data in identifying diastereomeric structures. Tetrahedron Lett. 2021, 71, 152548. [Google Scholar] [CrossRef]
- Wolinski, K.; Hilton, J.F.; Pulay, P. Efficient Implementation of the Gauge-Independent Atomic Orbital Method for NMR Chemical Shift Calculations. J. Am. Chem. Soc. 1990, 112, 8251–8260. [Google Scholar] [CrossRef]
- Adamo, C.; Barone, V. Exchange functionals with improved long-range behavior and adiabatic connection methods without adjustable parameters: The mPW and mPW1PW models. J. Chem. Phys. 1998, 108, 664–675. [Google Scholar] [CrossRef]
- Jensen, F. Segmented Contracted Basis Sets Optimized for Nuclear Magnetic Shielding. J. Chem. Theory Comput. 2015, 11, 132–138. [Google Scholar] [CrossRef] [PubMed]
- Feller, D. The Role of Databases in Support of Computational Chemistry Calculations. J. Comput. Chem. 1996, 17, 1571–1586. [Google Scholar] [CrossRef]
- Schuchardt, K.L.; Didier, B.T.; Elsethagen, T.; Sun, L.; Gurumoorthi, V.; Chase, J.; Li, J.; Windus, T.L. Basis Set Exchange: A Community Database for Computational Sciences. J. Chem. Inf. Model. 2007, 47, 1045–1052. [Google Scholar] [CrossRef] [PubMed]
- Pritchard, B.P.; Altarawy, D.; Didier, B.; Gibson, T.D.; Windus, T.L. New Basis Set Exchange: An Open, Up-to-Date Resource for the Molecular Sciences Community. J. Chem. Inf. Model. 2019, 59, 4814–4820. [Google Scholar] [CrossRef] [PubMed]
- Nazarski, R.B. Ambient temperature 1H/13C NMR spectra of sodium 3-(trimethylsilyl)propane-1-sulfonate (DSS) in D2O referenced to external TMS: A discussion of these and closely related results. Corrections for the bulk magnetic susceptibility effect for aqueous NMR samples. Magn. Reson. Chem. 2024, 62, 535–543. [Google Scholar] [CrossRef] [PubMed]
- Michalik, E.; Nazarski, R.B. Synthesis, complete NMR assignments, and NOE versus GIAO data assisted ab initio modelling the overall conformations of amide 3,4′-diquinolinyl sulfides in solution. Another approach to analysis of flexible systems. Tetrahedron 2004, 60, 9213–9222. [Google Scholar] [CrossRef]
- Molecular Structure Corporation. MSC/AFC Diffractometer Control Software, MSC: The Woodlands, TX, USA, 1989.
- Molecular Structure Corporation. TEXSAN, Version 5.0; MSC: The Woodlands, TX, USA, 1989.
- Sheldrick, G.M. A short history of SHELX. Acta Cryst. A 2008, 64, 112–122. [Google Scholar] [CrossRef]
- Sheldrick, G.M. Crystal structure refinement with SHELXL. Acta Cryst. C 2015, 71, 3–8. [Google Scholar] [CrossRef] [PubMed]
- Spek, A.L. Structure validation in chemical crystallography. Acta Cryst. D 2009, 65, 148–155. [Google Scholar] [CrossRef]
- Macrae, C.F.; Sovago, I.; Cottrell, S.J.; Galek, P.T.A.; McCabe, P.; Pidcock, E.; Platings, M.; Shields, G.P.; Stevens, J.S.; Towler, M.; et al. Mercury 4.0: From visualization to analysis, design and prediction. J. Appl. Cryst. 2020, 53, 226–235. [Google Scholar] [CrossRef]
- Domagała, M.; Lutyńska, A.; Palusiak, M. Extremely Strong Halogen Bond. The Case of a Double-Charge-Assisted Halogen Bridge. J. Phys. Chem. A 2018, 122, 5484–5492. [Google Scholar] [CrossRef]
- Domagała, M.; Matczak, P.; Palusiak, M. Halogen bond, hydrogen bond and N⋯C interaction—On interrelation among these three noncovalent interactions. Comput. Theor. Chem. 2012, 998, 26–33. [Google Scholar] [CrossRef]
- Domagała, M.; Simon, S. Resonance-Assisted Hydrogen Bond—Revisiting the Original Concept in the Context of Its Criticism in the Literature. Int. J. Mol. Sci. 2022, 23, 233. [Google Scholar] [CrossRef]
- Allen, F.H.; Bruno, I.J. Bond lengths in organic and metal-organic compounds revisited: X–H bond lengths from neutron diffraction data. Acta Crystallogr. B 2010, 66, 380–386. [Google Scholar] [CrossRef] [PubMed]
- Boys, S.F.; Bernardi, F. The calculation of small molecular interactions by the differences of separate total energies. Some procedures with reduced errors. Mol. Phys. 1970, 19, 553–566. [Google Scholar] [CrossRef]
- Letton, J.C.; Maher, E.; Gearien, J.E. Synthesis of Some cis- and trans-2-(Substituted amino)cyclohexyl Phenyl Ketones. J. Med. Chem. 1972, 15, 1328–1330. [Google Scholar] [CrossRef]
- Csomós, P.; Bernáth, G.; Sohár, P.; Csámpai, A.; De Kimpe, N.; Fülöp, F. Synthesis and transformations of 2-(phenylhydroxymethyl)cyclohexylamines. Tetrahedron 2001, 57, 3175–3183. [Google Scholar] [CrossRef]
- Morsey, M.A.; Al-Khaldi, M.A.; Suwaiyan, A. Normal Vibrational Mode Analysis and Assignment of Benzimidazole by ab Initio and Density Functional Calculations and Polarized Infrared and Raman Spectroscopy. J. Phys. Chem. A 2002, 106, 9196–9203. [Google Scholar] [CrossRef]
- Cheeseman, J.R.; Trucks, G.W.; Keith, T.A.; Frisch, M.J. A comparison of models for calculating nuclear magnetic resonance shielding tensors. J. Chem. Phys. 1996, 104, 5497–5509. [Google Scholar] [CrossRef]
- Nieto, C.I.; Cabildo, P.; García, M.Á.; Claramunt, R.M.; Alkorta, I.; Elguero, J. An experimental and theoretical NMR study of NH-benzimidazoles in solution and in the solid state: Proton transfer and tautomerism. Beilstein J. Org. Chem. 2014, 10, 1620–1629. [Google Scholar] [CrossRef]
- Teipel, J.; Gottstein, V.; Hölzle, E.; Kaltenbach, K.; Lachenmeier, D.W.; Kuballa, T. An Easy and Reliable Method for the Mitigation of Deuterated Chloroform Decomposition to Stabilise Susceptible NMR Samples. Chemistry 2022, 4, 776–785. [Google Scholar] [CrossRef]
- Nazarski, R.B. On the Use of Deuterated Organic Solvents without TMS to Report 1H/13C NMR Spectral Data of Organic Compounds: Current State of the Method, Its Pitfalls and Benefits, and Related Issues. Molecules 2023, 28, 4369. [Google Scholar] [CrossRef] [PubMed]
- Nazarski, R.B.; Justyna, K.; Leśniak, S.; Chrostowska, A. A Benefit of Using the IDSCRF- over UFF-Radii Cavities and Why Joint Correlations of NMR Chemical Shifts Can Be Advantageous: Condensed Pyridines as an IEF-PCM/GIAO/DFT Case Study. J. Phys. Chem. A 2016, 120, 9519–9528. [Google Scholar] [CrossRef] [PubMed]
- Zhang, C.; Zhang, L.; Jiao, N. Catalyst free approach to benzimidazoles using air as the oxidant at room temperature. Green Chem. 2012, 14, 3273–3276. [Google Scholar] [CrossRef]
- Mahajabeen, P.; Chadha, A. A novel green route for the synthesis of N-phenylacetamides, benzimidazoles and acridinediones using Candida parapsilosis ATCC 7330. RSC Adv. 2013, 3, 21972–21980. [Google Scholar] [CrossRef]
- Phaenok, S.; Nguyen, L.A.; Soorukram, D.; Nguyen, T.T.T.; Retailleau, P.; Nguyen, T.B. Sulfur- and Amine- Promoted Multielectron Autoredox Transformation of Nitromethane: Multicomponent Access to Thiourea Derivatives. Chem. Eur. J. 2024, 30, e202303703. [Google Scholar] [CrossRef] [PubMed]
- Boquet, V.; Sauber, C.; Beltran, R.; Ferey, V.; Rodier, F.; Hansjacob, P.; Theunissen, C.; Evano, G. Copper-Catalyzed Coupling between ortho-Haloanilines and Lactams/Amides: Synthesis of Benzimidazoles and Telmisartan. J. Org. Chem. 2024, 89, 5469–5479. [Google Scholar] [CrossRef] [PubMed]
- García-Báez, E.V.; Padilla-Martínez, I.I.; Cruz, A.; Rosales-Hernández, M. 13C-NMR Chemical Shifts in 1,3-Benzazoles as a Tautomeric Ratio Criterion. Molecules 2022, 27, 6268. [Google Scholar] [CrossRef] [PubMed]
- Tian, W.; Grivas, S. A Useful Methodology for the Synthesis of 2-Methyl-4-nitrobenzimidazoles. Synthesis 1992, 1283–1286. [Google Scholar] [CrossRef]
- Allen, F.H.; Kennard, O.; Watson, D.G.; Brammer, L.; Orpen, A.G.; Taylor, R. Tables of Bond lengths determined by X-ray and Neutron Diffraction. Part 1. Bond Lengths in Organic Compounds. J. Chem. Soc. Perkin Trans. 2 1987, S1–S19. [Google Scholar] [CrossRef]
- Desiraju, G.; Steiner, T. The Weak Hydrogen Bond: In Structural Chemistry and Biology; Oxford University Press, Inc.: New York, NY, USA, 1999. [Google Scholar] [CrossRef]
- Desiraju, G.R. Crystal Engineering: The Design of Organic Solids; Elsevier: Amsterdam, The Netherlands, 1989. [Google Scholar]
- Scheiner, S. Weak H-bonds. Comparisons of CH⋯O to NH⋯O in proteins and PH⋯N to direct P⋯N interactions. Phys. Chem. Chem. Phys. 2011, 13, 13860–13872. [Google Scholar] [CrossRef]
- Dubis, A.T.; Domagała, M.; Grabowski, S.J. Spectroscopic and theoretical studies on some new pyrrol-2-yl-chloromethyl ketones. New J. Chem. 2010, 34, 556–566. [Google Scholar] [CrossRef]
- Domagała, M.; Dubis, A.T.; Wojtulewski, S.; Zabel, M.; Pfitzner, A. Hydrogen Bonding in Crystals of Pyrrol-2-yl Chloromethyl Ketone Derivatives and Methyl Pyrrole-2-Carboxylate. Crystals 2022, 12, 1523. [Google Scholar] [CrossRef]
- Spackman, M.A.; Jayatilaka, D. Hirshfeld surface analysis. CrystEngComm 2009, 11, 19–32. [Google Scholar] [CrossRef]
- Spackman, P.R.; Turner, M.J.; McKinnon, J.J.; Wolff, S.K.; Grimwood, D.J.; Jayatilaka, D.; Spackman, M.A. CrystalExplorer: A program for Hirshfeld surface analysis, visualization and quantitative analysis of molecular crystals. J. Appl. Cryst. 2021, 54, 1006–1011. [Google Scholar] [CrossRef] [PubMed]
- Spackman, M.A.; McKinnon, J.J. Fingerprinting intermolecular interactions in molecular crystals. CrystEngComm 2002, 4, 378–392. [Google Scholar] [CrossRef]
- McKinnon, J.J.; Jayatilaka, D.; Spackman, M.A. Towards quantitative analysis of intermolecular interactions with Hirshfeld surfaces. Chem Commun. 2007, 3814–3816. [Google Scholar] [CrossRef] [PubMed]
- Gotoh, K.; Asaji, T.; Ishida, H. Two solid phases of pyrimidin-1-ium hydrogen chloranilate monohydrate determined at 225 and 120 K. Acta Crystallogr. C 2010, 66, o114–o118. [Google Scholar] [CrossRef] [PubMed]
- Alkorta, I.; Sánchez-Sanz, G.; Trujillo, C.; Elguero, J.; Claramunt, R.M. A theoretical study of the parent NH-benzazoles (benzimidazoles, indazoles and benzotriazoles): Geometries, energies, acidity and basicity, NMR properties and molecular electrostatic potentials. Arkivoc 2012, 2, 85–107. [Google Scholar] [CrossRef]
- Cabildo, P.; Claramunt, R.M.; Zuñiga, F.J.; Alkorta, I.; Elguero, J. Crystal and molecular structures of two 1H-2-substituted benzimidazoles. Z. Kristallogr. 2015, 230, 427–438. [Google Scholar] [CrossRef]










| D–H [Å] | H…A [Å] | D…A [Å] | D–H…A [°] | Eint [kcal/mol] | |
|---|---|---|---|---|---|
| O23–H23A…O22 | 0.82(2) | 2.28(2) | 3.063(3) | 160(3) | −5.40 |
| N1–H1…O23 I | 0.93(3) | 1.98(3) | 2.867(3) | 161(2) | −5.64 |
| O23–H23B…N3 II | 0.84(2) | 2.07(2) | 2.882(3) | 162(3) | −7.82 |
| C8–H8…O22 II | 0.93 | 2.54 | 3.217 | 130 | −4.5 |
Disclaimer/Publisher’s Note: The statements, opinions and data contained in all publications are solely those of the individual author(s) and contributor(s) and not of MDPI and/or the editor(s). MDPI and/or the editor(s) disclaim responsibility for any injury to people or property resulting from any ideas, methods, instructions or products referred to in the content. |
© 2024 by the authors. Licensee MDPI, Basel, Switzerland. This article is an open access article distributed under the terms and conditions of the Creative Commons Attribution (CC BY) license (https://creativecommons.org/licenses/by/4.0/).
Share and Cite
Nazarski, R.B.; Domagała, M. Unexpected Formation of 6-(1H-Benzo[d]imidazol-2-yl)-1-phenyl-hexan-1-one and Its Structure in Solution and Solid State Analyzed in the Context of Tautomerism. Crystals 2024, 14, 704. https://doi.org/10.3390/cryst14080704
Nazarski RB, Domagała M. Unexpected Formation of 6-(1H-Benzo[d]imidazol-2-yl)-1-phenyl-hexan-1-one and Its Structure in Solution and Solid State Analyzed in the Context of Tautomerism. Crystals. 2024; 14(8):704. https://doi.org/10.3390/cryst14080704
Chicago/Turabian StyleNazarski, Ryszard B., and Małgorzata Domagała. 2024. "Unexpected Formation of 6-(1H-Benzo[d]imidazol-2-yl)-1-phenyl-hexan-1-one and Its Structure in Solution and Solid State Analyzed in the Context of Tautomerism" Crystals 14, no. 8: 704. https://doi.org/10.3390/cryst14080704
APA StyleNazarski, R. B., & Domagała, M. (2024). Unexpected Formation of 6-(1H-Benzo[d]imidazol-2-yl)-1-phenyl-hexan-1-one and Its Structure in Solution and Solid State Analyzed in the Context of Tautomerism. Crystals, 14(8), 704. https://doi.org/10.3390/cryst14080704

