Ternary Copper(II) Coordination Compounds with Nonpolar Amino Acids and 2,2′-Bipyridine: Monomers vs. Polymers
Abstract
1. Introduction
2. Materials and Methods
3. Results
3.1. Synthetic Comments
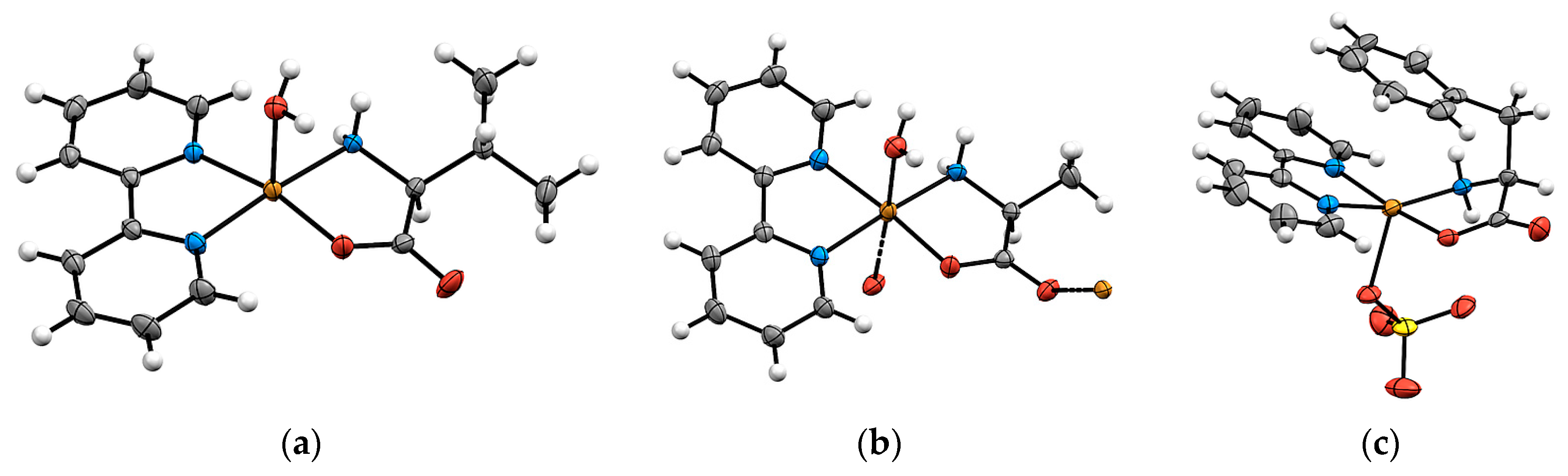
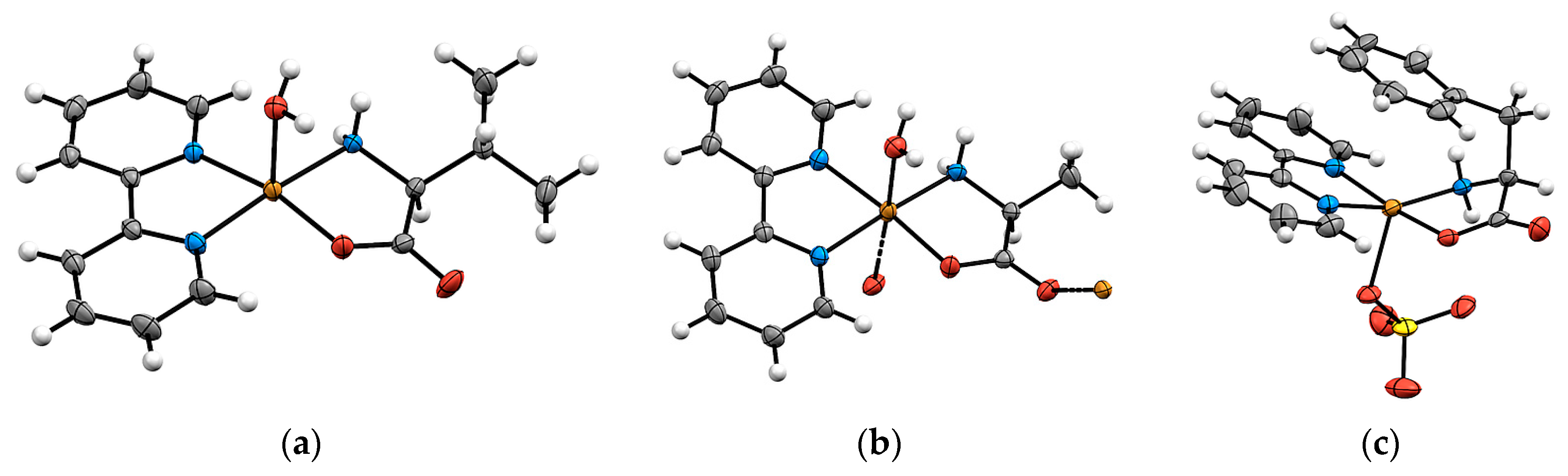
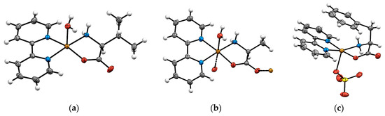
3.2. Crystal Structures
3.3. IR (ATR) Analysis
3.4. Thermogravimetric Analysis
3.5. Cytotoxic Activity
4. Conclusions
Supplementary Materials
Author Contributions
Funding
Data Availability Statement
Conflicts of Interest
References
- Ruiz-Azuara, L.; Bravo-Gomez, M.E. Copper Compounds in Cancer Chemotherapy. Curr. Med. Chem. 2010, 17, 3606–3615. [Google Scholar] [CrossRef] [PubMed]
- Milanino, R.; Buchner, V. Copper: Role of the ‘Endogenous’ and ‘Exogenous’ Metal on the Development and Control of Inflammatory Processes. Rev. Environ. Health 2006, 21, 153–215. [Google Scholar] [CrossRef] [PubMed]
- Rodrigues, T.A.D.; de Arruda, E.J.; Fernandes, M.F.; de Carvalho, C.T.; Lima, A.R.; Cabrini, I. Copper II—Polar amino acid complexes: Toxicity to bacteria and larvae of Aedes aegypti. An. Acad. Bras. Cienc. 2017, 89, 2273–2280. [Google Scholar] [CrossRef] [PubMed]
- Iakovidis, I.; Delimaris, I.; Piperakis, S.M. Copper and Its Complexes in Medicine: A Biochemical Approach. Mol. Biol. Int. 2011, 2011, 594529. [Google Scholar] [CrossRef] [PubMed]
- Bikas, R.; Soltani, B.; Sheykhi, H.; Korabik, M.; Hossaini-Sadr, M. Synthesis, crystal structure and magneto-structural studies of 2D copper(II) coordination polymer containing l-alanine amino acid. J. Mol. Struct. 2018, 1168, 195–201. [Google Scholar] [CrossRef]
- Vušak, D.; Prugovečki, B.; Milić, D.; Marković, M.; Petković, I.; Kralj, M.; Matković-Čalogović, D. Synthesis and Crystal Structure of Solvated Complexes of Copper(II) with Serine and Phenanthroline and Their Solid-State-to-Solid-State Transformation into One Stable Solvate. Cryst. Growth Des. 2017, 17, 6049–6061. [Google Scholar] [CrossRef]
- Smokrović, K.; Muratović, S.; Karadeniz, B.; Užarević, K.; Žilić, D.; Đilović, I. Synthon Robustness and Structural Modularity of Copper(II) Two-Dimensional Coordination Polymers with Isomeric Amino Acids and 4,4′-Bipyridine. Cryst. Growth Des. 2020, 20, 2415–2423. [Google Scholar] [CrossRef]
- Chikira, M.; Ng, C.; Palaniandavar, M. Interaction of DNA with Simple and Mixed Ligand Copper(II) Complexes of 1,10-Phenanthrolines as Studied by DNA-Fiber EPR Spectroscopy. Int. J. Mol. Sci. 2015, 16, 22754–22780. [Google Scholar] [CrossRef] [PubMed]
- Titova, Y. Transition Metal Complexes with Amino Acids, Peptides and Carbohydrates in Catalytic Asymmetric Synthesis: A Short Review. Processes 2024, 12, 214. [Google Scholar] [CrossRef]
- Ma, D.; Cai, Q. Copper/Amino Acid Catalyzed Cross-Couplings of Aryl and Vinyl Halides with Nucleophiles. Acc. Chem. Res. 2008, 41, 1450–1460. [Google Scholar] [CrossRef]
- Rosenberg, B.; VanCamp, L. The successful regression of large solid sarcoma 180 tumors by platinum compounds. Cancer Res. 1970, 30, 1799–1802. [Google Scholar] [PubMed]
- Marín-Hernández, A.; Gallardo-Pérez, J.C.; López-Ramírez, S.Y.; García-García, J.D.; Rodríguez-Zavala, J.S.; Ruiz-Ramírez, L.; Gracia-Mora, I.; Zentella-Dehesa, A.; Sosa-Garrocho, M.; Macías-Silva, M.; et al. Casiopeina II-gly and bromo-pyruvate inhibition of tumor hexokinase, glycolysis, and oxidative phosphorylation. Arch. Toxicol. 2012, 86, 753–766. [Google Scholar] [CrossRef] [PubMed]
- Santini, C.; Pellei, M.; Gandin, V.; Porchia, M.; Tisato, F.; Marzano, C. Advances in Copper Complexes as Anticancer Agents. Chem. Rev. 2014, 114, 815–862. [Google Scholar] [CrossRef] [PubMed]
- Haleel, A.; Mahendiran, D.; Veena, V.; Sakthivel, N.; Rahiman, A.K. Antioxidant, DNA interaction, VEGFR2 kinase, topoisomerase I and in vitro cytotoxic activities of heteroleptic copper(II) complexes of tetrazolo[1,5-a]pyrimidines and diimines. Mater. Sci. Eng. C 2016, 68, 366–382. [Google Scholar] [CrossRef] [PubMed]
- Erxleben, A. Interactions of copper complexes with nucleic acids. Coord. Chem. Rev. 2018, 360, 92–121. [Google Scholar] [CrossRef]
- Garcia, H.C.; Cunha, R.T.; Diniz, R.; de Oliveira, L.F.C. Co-crystal and crystal: Supramolecular arrangement obtained from 4-aminosalicylic acid, bpa ligand and cobalt ion. J. Mol. Struct. 2012, 1010, 104–110. [Google Scholar] [CrossRef]
- Subramanian, P.S.; Suresh, E.; Dastidar, P.; Waghmode, S.; Srinivas, D. Conformational Isomerism and Weak Molecular and Magnetic Interactions in Ternary Copper(II) Complexes of [Cu(AA)L’]ClO4·nH2O, Where AA = l-Phenylalanine and l-Histidine, L’ = 1,10-Phenanthroline and 2,2-Bipyridine, and n = 1 or 1.5: Synthesis, Single-Crystal X-ray Structures, and Magnetic Resonance Investigations. Inorg. Chem. 2001, 40, 4291–4301. [Google Scholar] [CrossRef]
- Solans, X.; Ruíz-Ramírez, L.; Martínez, A.; Gasque, L.; Moreno-Esparza, R. Mixed chelate complexes. III. Structures of (L-alaninato)(aqua)(2,2′-bipyridine)copper(II) nitrate monohydrate and aqua(2,2′-bipyridine)(L-tyrosinato)copper(II) chloride trihydrate. Acta Crystallogr. Sect. C Cryst. Struct. Commun. 1992, 48, 1785–1788. [Google Scholar] [CrossRef]
- Braban, M.; Haiduc, I.; Lönnecke, P. catena-Poly[[[(2,2′-bipyridyl)copper(II)]-μ-L-alaninato] perchlorate monohydrate]. Acta Crystallogr. Sect. E Struct. Rep. Online 2009, 65, m51. [Google Scholar] [CrossRef]
- Zhang, W.C.; Lu, X. Long-lived photoluminescence and high quantum yield of copper(II) complexes with novel nanostructures. RSC Adv. 2015, 5, 101155–101161. [Google Scholar] [CrossRef]
- Hua Zhou, X.; Yi Le, X.; Chen, S. Synthesis, crystal structure and properties of a one-dimensional l-valinate bridged coordination polymer: [Cu2(l-val)2(bpy)2]n·2nClO4·2nH2O. J. Coord. Chem. 2005, 58, 993–1001. [Google Scholar] [CrossRef]
- Subramanian, P.S.; Suresh, E.; Casella, L. Supramolecular Helical Architectures Dictated by Folded and Extended Conformations of the Amino Acid in Ternary Cu II/Diamine/Racemic Amino Acid Complexes. Eur. J. Inorg. Chem. 2007, 2007, 1654–1660. [Google Scholar] [CrossRef]
- Shaban, S.Y.; Ramadan, A.E.-M.M.; Ibrahim, M.M.; Elshami, F.I.; van Eldik, R. Square planar versus square pyramidal copper(II) complexes containing N3O moiety: Synthesis, structural characterization, kinetic and catalytic mimicking activity. Inorganica Chim. Acta 2019, 486, 608–616. [Google Scholar] [CrossRef]
- Sugimori, T.; Masuda, H.; Ohata, N.; Koiwai, K.; Odani, A.; Yamauchi, O. Structural Dependence of Aromatic Ring Stacking and Related Weak Interactions in Ternary Amino Acid−Copper(II) Complexes and Its Biological Implication. Inorg. Chem. 1997, 36, 576–583. [Google Scholar] [CrossRef]
- Haldar, R.; Kumar, A.; Mallick, B.; Ganguly, S.; Mandal, D.; Shanmugam, M. Discrete Molecular Copper(II) Complex for Efficient Piezoelectric Energy Harvesting Above Room-Temperature. Angew. Chemie Int. Ed. 2023, 62, e202216680. [Google Scholar] [CrossRef] [PubMed]
- Haldar, R.; Kumar, A.; Mandal, D.; Shanmugam, M. Deciphering the anisotropic energy harvesting responses of an above room temperature molecular ferroelectric copper(II) complex single crystal. Mater. Horiz. 2024, 11, 454–459. [Google Scholar] [CrossRef] [PubMed]
- Walkowiak, Z.; Gągor, A.; Soliman, S.M.; Jerzykiewicz, M.; Sarewicz, M.; Fitta, M.; Pełka, R.; Wojciechowska, A. New heteroleptic l-argininato copper(II) complex with bromide and N,N–heterocyclic ligands—Synthesis, supramolecular, spectroscopic, magnetic and theoretical investigations. J. Mol. Struct. 2024, 1308, 138094. [Google Scholar] [CrossRef]
- Wojciechowska, A.; de Graaf, C.; Rojek, T.; Jerzykiewicz, M.; Malik, M.; Gągor, A.; Duczmal, M. A rare diiodo-L-tyrosine copper(II) complexes—Crystal and molecular structure of materials stabilized by weak interactions. Polyhedron 2022, 219, 115780. [Google Scholar] [CrossRef]
- Ramírez-Contreras, D.; García-García, A.; Mendoza, A.; Serrano-de la Rosa, L.E.; Sánchez-Gaytán, B.L.; Melendez, F.J.; Castro, M.E.; González-Vergara, E. D,L-Citrullinato-bipyridine Copper Complex: Experimental and Theoretical Characterization. Crystals 2023, 13, 1391. [Google Scholar] [CrossRef]
- Wojciechowska, A.; Rojek, T.; Misiaszek, T.; Gągor, A.; Rytlewski, P. The supramolecular hybrid inorganic–organic l-argininato-based copper(II) materials—Preparation, structural, spectroscopic and thermal properties. Inorganica Chim. Acta 2023, 557, 121698. [Google Scholar] [CrossRef]
- Vušak, D.; Mišković Špoljarić, K.; Jurec, J.; Žilić, D.; Prugovečki, B. Ternary Coordination Compounds of Copper(II) with Glycine and 2,2′-bipyridine: Synthesis, Structural Characterization, Magnetic and Biological Properties. Croat. Chem. Acta 2023, 95, 157–165. [Google Scholar] [CrossRef]
- Vušak, D.; Ležaić, K.; Jurec, J.; Žilić, D.; Prugovečki, B. Solvent effects on the crystallization and structure of ternary copper(II) coordination compounds with L-threonine and 1,10-phenanthroline. Heliyon 2022, 8, e09556. [Google Scholar] [CrossRef]
- Agte, A.N.; Golynko, N.S. Production of chemically-pure Cu(OH)2 and Cu(OAc)2. Determination of the solubility of Cu(OAc)2 in water. Production of technical Cu(OAc)2. Tr. Leningr. Khim. Tekh. Inst. 1940, 8, 140–149. [Google Scholar]
- Glemser, O.; Sauer, H. Copper(II) Hydroxide. In Handbook of Preparative Inorganic Chemistry, 2nd ed.; Brauer, G., Ed.; Academic Press Inc.: New York, NY, USA, 1965; Volume 2, pp. 1013–1014. [Google Scholar]
- Van der Helm, D.; Lawson, M.B.; Enwall, E.L. The crystal structure of bis-(L-phenylalaninato)copper(II). Acta Crystallogr. Sect. B Struct. Crystallogr. Cryst. Chem. 1971, 27, 2411–2418. [Google Scholar] [CrossRef]
- CrysAlisPRO Software System, version 1.171.43.105a; Rigaku Oxford Diffraction: Yarnton, UK, 2024.
- Sheldrick, G.M. A short history of SHELX. Acta Crystallogr. Sect. A Found. Crystallogr. 2008, 64, 112–122. [Google Scholar] [CrossRef] [PubMed]
- Sheldrick, G.M. Crystal structure refinement with SHELXL. Acta Crystallogr. Sect. C Struct. Chem. 2015, 71, 3–8. [Google Scholar] [CrossRef] [PubMed]
- Farrugia, L.J. WinGX and ORTEP for Windows: An update. J. Appl. Crystallogr. 2012, 45, 849–854. [Google Scholar] [CrossRef]
- Macrae, C.F.; Sovago, I.; Cottrell, S.J.; Galek, P.T.A.; McCabe, P.; Pidcock, E.; Platings, M.; Shields, G.P.; Stevens, J.S.; Towler, M.; et al. Mercury 4.0: From visualization to analysis, design and prediction. J. Appl. Crystallogr. 2020, 53, 226–235. [Google Scholar] [CrossRef]
- Spek, A.L. Structure validation in chemical crystallography. Acta Crystallogr. Sect. D Biol. Crystallogr. 2009, 65, 148–155. [Google Scholar] [CrossRef]
- DataViewer, version 1.9a; PANalytical B.V.: Almelo, The Nederlands, 2018.
- Mosmann, T. Rapid colorimetric assay for cellular growth and survival: Application to proliferation and cytotoxicity assays. J. Immunol. Methods 1983, 65, 55–63. [Google Scholar] [CrossRef]
- Groom, C.R.; Bruno, I.J.; Lightfoot, M.P.; Ward, S.C. The Cambridge Structural Database. Acta Crystallogr. Sect. B Struct. Sci. Cryst. Eng. Mater. 2016, 72, 171–179. [Google Scholar] [CrossRef] [PubMed]
- Nakamoto, K. Infrared and Raman Spectra of Inorganic and Coordination Compounds; John Wiley & Sons, Inc.: Hoboken, NJ, USA, 2008; ISBN 9780470405840. [Google Scholar]
- Gorduk, S.; Yilmaz, H.; Andac, O. Cu(II) and Cd(II) coordination polymers derived from pyrazine-2,3-dicarboxylato and 1-vinylimidazole ligands: Synthesis, characterization and hydrogen storage capacities. Maced. J. Chem. Chem. Eng. 2019, 38, 19. [Google Scholar] [CrossRef]
- Rafi, U.M.; Mahendiran, D.; Devi, V.G.; Doble, M.; Rahiman, A.K. Pyridazine-based heteroleptic copper(II) complexes as potent anticancer drugs by inducing apoptosis and S-phase arrest in breast cancer cell. Inorganica Chim. Acta 2018, 482, 160–169. [Google Scholar] [CrossRef]
- Ji, P.; Wang, P.; Chen, H.; Xu, Y.; Ge, J.; Tian, Z.; Yan, Z. Potential of Copper and Copper Compounds for Anticancer Applications. Pharmaceuticals 2023, 16, 234. [Google Scholar] [CrossRef]
- Hussain, A.; AlAjmi, M.F.; Rehman, M.T.; Amir, S.; Husain, F.M.; Alsalme, A.; Siddiqui, M.A.; AlKhedhairy, A.A.; Khan, R.A. Copper(II) complexes as potential anticancer and Nonsteroidal anti-inflammatory agents: In vitro and in vivo studies. Sci. Rep. 2019, 9, 5237. [Google Scholar] [CrossRef]





| Compound | d(Cu–Ocarboxylate)/Å | d(Cu–Naminoacidate)/Å | d(Cu–Nbipyridine)/Å | d(Cu–Owater/sulfate)/Å | d(Cu–Ocarboxylate)/Å |
|---|---|---|---|---|---|
| 1a·2H2O | 1.950(2) | 1.9863(18) | 1.9984(18); 2.012(2) | 2.430(2) | 2.672(2) 2 |
| 1.961(2) | 1.9816(18) | 1.9982(18); 2.008(2) | 2.419(2) | 2.690(2) 3 | |
| 1b·2.5H2O | 1.933(5) | 1.986(5) | 1.994(5); 2.013(5) | 2.457(6) | 2.846(6) 4 |
| 1.955(5) | 1.966(5) | 1.994(5); 2.006(5) | 2.394(6) | 2.930(6) 1 | |
| 2·4H2O | 1.936(2) | 1.992(3) | 2.003(3); 2.004(3) | 2.333(3) | 3.324(4) 1 |
| 1.927(2) | 1.988(2) | 1.999(2); 2.004(3) | 2.462(3) | 3.134(4) 1 | |
| 1.943(2) | 1.982(2) | 1.988(2); 2.005(3) | 2.476(3) | 2.923(3) 1 | |
| 1.940(2) | 1.985(3) | 1.995(2); 1.990(3) | 2.874(4) | 2.573(3) 5 | |
| 3·8H2O | 1.970(7) | 2.000(9) | 2.002(9); 1.983(8) | 2.224(7) | / |
| 1.983(6) | 1.985(9) | 2.005(9); 1.983(8) | 2.274(7) | / | |
| 1.966(7) | 2.010(9) | 1.994(9); 2.016(8) | 2.215(9) | / | |
| 1.964(7) | 1.996(7) | 1.995(7); 1.989(9) | 2.194(7) | / | |
| 1.956(7) | 1.997(9) | 1.995(9); 1.997(8) | 2.281(7) | / | |
| 1.959(9) | 1.994(9) | 2.004(10); 2.010(9) | 2.219(7) | / | |
| 1.945(8) | 2.040(9) | 2.006(9); 1.994(8) | 2.236(9) | / | |
| 1.962(8) | 2.032(9) | 2.009(9); 1.989(10) | 2.186(7) | / | |
| 3·9H2O | 1.953(7) | 1.992(7) | 2.016(8); 2.006(7) | 2.320(6) | / |
| 1.956(6) | 2.015(7) | 2.009(7); 1.988(8) | 2.185(6) | / | |
| 1.966(7) | 1.990(9) | 1.979(8); 2.003(8) | 2.277(10) | / | |
| 1.941(8) | 2.023(9) | 1.991(9); 2.007(9) | 2.181(7) | / |
| IC50/μmol L−1 | ||
|---|---|---|
| HepG2 | THP-1 | |
| 1a·2H2O | 79.4 | 21.86 |
| 2·4H2O | 68.87 | 25.78 |
| staurosporine | 36.38 | 0.39 |
Disclaimer/Publisher’s Note: The statements, opinions and data contained in all publications are solely those of the individual author(s) and contributor(s) and not of MDPI and/or the editor(s). MDPI and/or the editor(s) disclaim responsibility for any injury to people or property resulting from any ideas, methods, instructions or products referred to in the content. |
© 2024 by the authors. Licensee MDPI, Basel, Switzerland. This article is an open access article distributed under the terms and conditions of the Creative Commons Attribution (CC BY) license (https://creativecommons.org/licenses/by/4.0/).
Share and Cite
Vušak, D.; Ležaić, K.; Judaš, N.; Prugovečki, B. Ternary Copper(II) Coordination Compounds with Nonpolar Amino Acids and 2,2′-Bipyridine: Monomers vs. Polymers. Crystals 2024, 14, 656. https://doi.org/10.3390/cryst14070656
Vušak D, Ležaić K, Judaš N, Prugovečki B. Ternary Copper(II) Coordination Compounds with Nonpolar Amino Acids and 2,2′-Bipyridine: Monomers vs. Polymers. Crystals. 2024; 14(7):656. https://doi.org/10.3390/cryst14070656
Chicago/Turabian StyleVušak, Darko, Katarina Ležaić, Nenad Judaš, and Biserka Prugovečki. 2024. "Ternary Copper(II) Coordination Compounds with Nonpolar Amino Acids and 2,2′-Bipyridine: Monomers vs. Polymers" Crystals 14, no. 7: 656. https://doi.org/10.3390/cryst14070656
APA StyleVušak, D., Ležaić, K., Judaš, N., & Prugovečki, B. (2024). Ternary Copper(II) Coordination Compounds with Nonpolar Amino Acids and 2,2′-Bipyridine: Monomers vs. Polymers. Crystals, 14(7), 656. https://doi.org/10.3390/cryst14070656

