Two Consecutive Negative Electrocaloric Peaks in <001>-Oriented PMN-30PT Single Crystals
Abstract
1. Introduction
2. Experimental Procedure
2.1. Experimental Methods
2.2. Phenomenological Theoretical Calculations
3. Results and Discussion
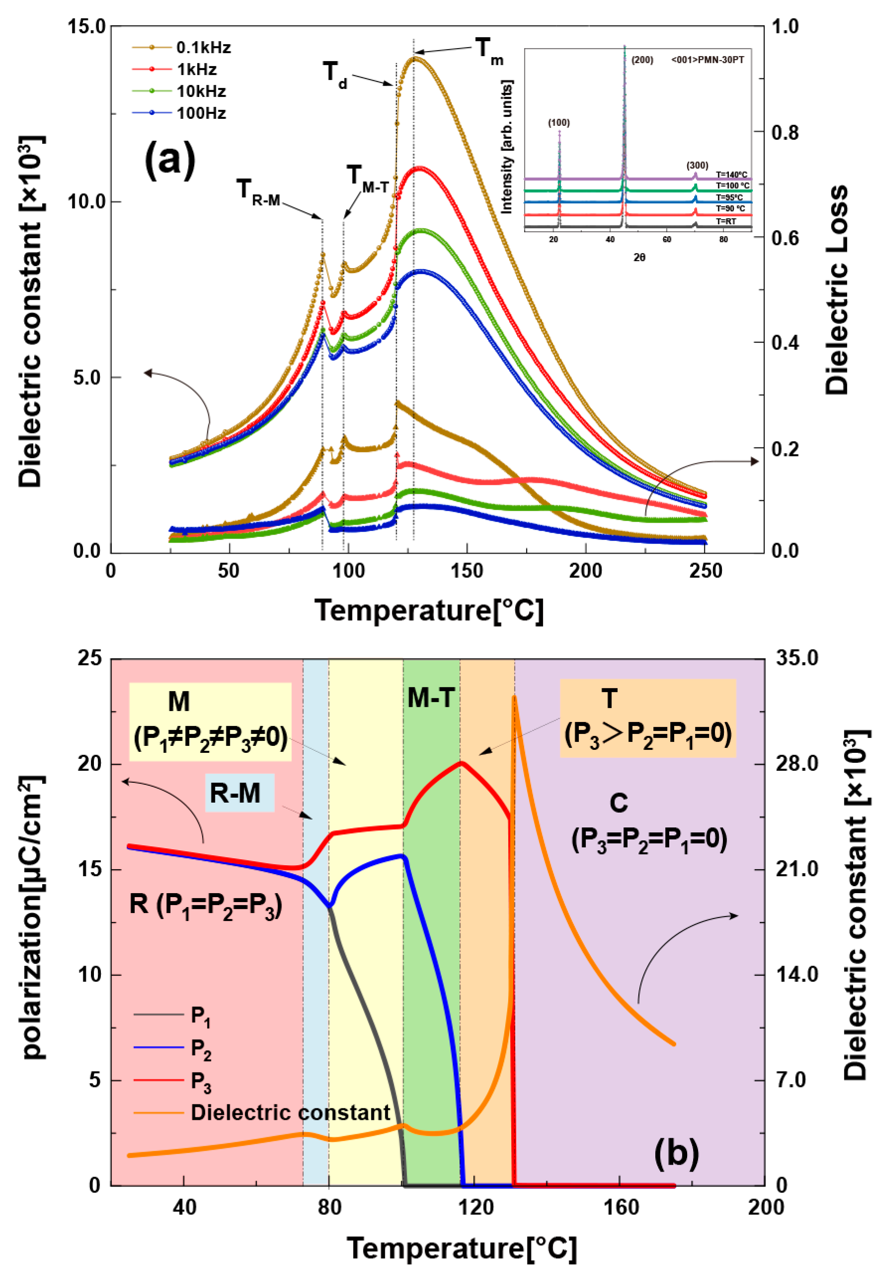
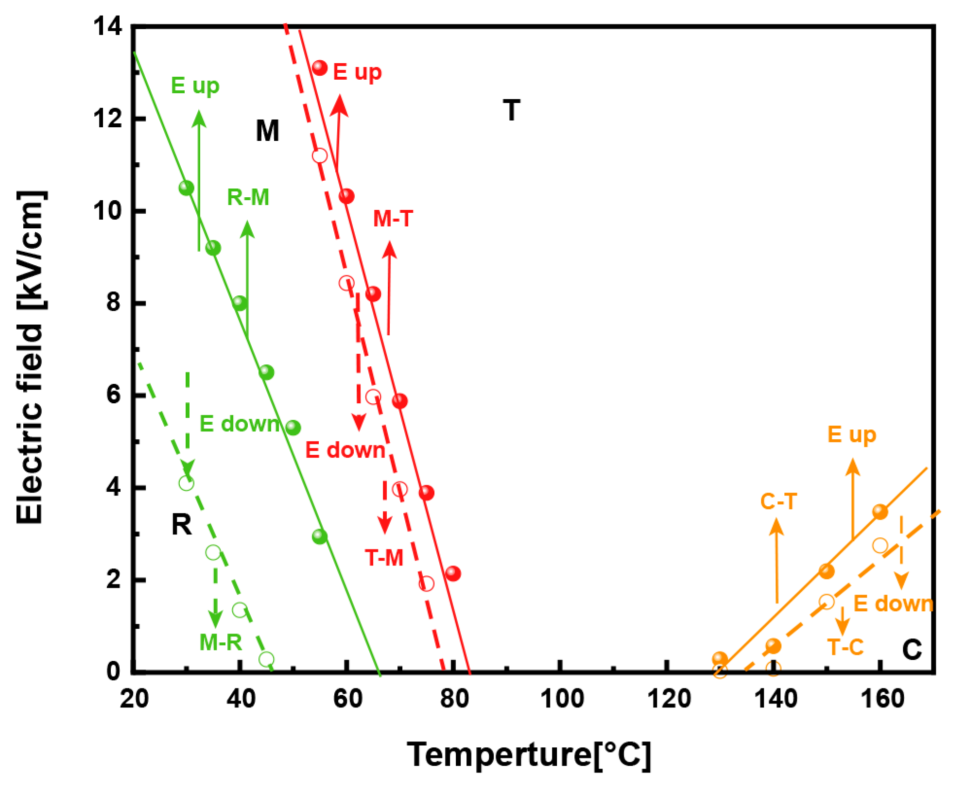
3.1. Effect of the Electric Field and the Temperature on Phase Transition
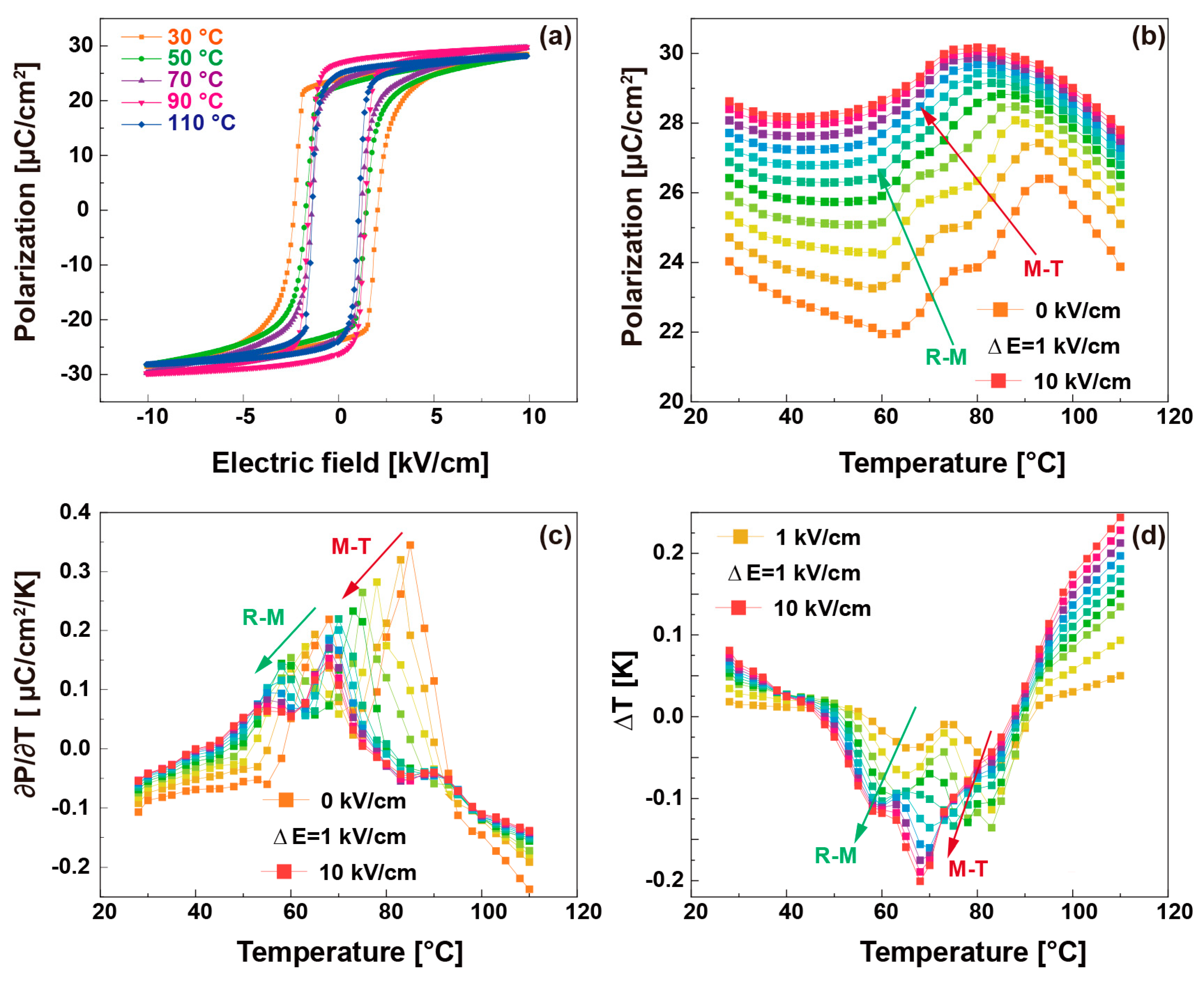
3.2. The Relationship between the EC Behaviors and the Phase Transitions
3.3. EC Behaviors and Physical Mechanisms
4. Conclusions
Author Contributions
Funding
Data Availability Statement
Conflicts of Interest
References
- Grocholski, B. Cooling in a warming world. Science 2020, 370, 776–777. [Google Scholar] [CrossRef] [PubMed]
- Shi, J.; Han, D.; Li, Z.; Yang, L.; Lu, S.-G.; Zhong, Z.; Chen, J.; Zhang, Q.M.; Qian, X. Electrocaloric cooling materials and devices for zero-global-warming-potential, high-efficiency refrigeration. Joule 2019, 3, 1200–1225. [Google Scholar] [CrossRef]
- Kobeko, P.P.; Kurchatov, I.V. Dielectric properties of ferroelectrics. Z. Phys. 1930, 66, 192–205. [Google Scholar] [CrossRef]
- Mischenko, A.S.; Zhang, Q.; Scott, J.F.; Whatmore, R.W.; Mathur, N.D. Giant electrocaloric effect in thin-film PbZr0.95Ti0.05O3. Science 2006, 311, 1270–1271. [Google Scholar] [CrossRef] [PubMed]
- Neese, B.; Chu, B.; Lu, S.-G.; Wang, Y.; Furman, E.; Zhang, Q.M. Large electrocaloric effect in ferroelectric polymers near room temperature. Science 2008, 321, 821–823. [Google Scholar] [CrossRef] [PubMed]
- Zhang, S.; Deliyore-Ramírez, J.; Deng, S.; Nair, B.; Pesquera, D.; Jing, Q.; Vickers, M.E.; Crossley, S.; Ghidini, M.; Guzmán-Verri, G.G.; et al. Highly reversible extrinsic electrocaloric effects over a wide temperature range in epitaxially strained SrTiO3 films. Nat. Mater. 2024, 23, 639–647. [Google Scholar] [CrossRef]
- Zheng, S.; Du, F.; Zheng, L.; Han, D.; Li, Q.; Shi, J.; Chen, J.; Shi, X.; Huang, H.; Luo, Y.J.S. Colossal electrocaloric effect in an interface-augmented ferroelectric polymer. Science 2023, 382, 1020–1026. [Google Scholar] [CrossRef]
- Ma, R.; Zhang, Z.; Tong, K.; Huber, D.; Kornbluh, R.; Ju, Y.S.; Pei, Q. Highly efficient electrocaloric cooling with electrostatic actuation. Science 2017, 357, 1130–1134. [Google Scholar] [CrossRef]
- Li, J.; Torelló, A.; Kovacova, V.; Prah, U.; Aravindhan, A.; Granzow, T.; Usui, T.; Hirose, S.; Defay, E.J.S. High cooling performance in a double-loop electrocaloric heat pump. Science 2023, 382, 801–805. [Google Scholar] [CrossRef]
- Wang, Z.; Bo, Y.; Bai, P.; Zhang, S.; Li, G.; Wan, X.; Liu, Y.; Ma, R.; Chen, Y. Self-sustaining personal all-day thermoregulatory clothing using only sunlight. Science 2023, 382, 1291–1296. [Google Scholar] [CrossRef]
- Qian, X.; Han, D.; Zheng, L.; Chen, J.; Tyagi, M.; Li, Q.; Du, F.; Zheng, S.; Huang, X.; Zhang, S.; et al. High-entropy polymer produces a giant electrocaloric effect at low fields. Nature 2021, 600, 664–669. [Google Scholar] [CrossRef] [PubMed]
- Bai, Y.; Zheng, G.; Shi, S. Abnormal electrocaloric effect of Na0.5Bi0.5TiO3-BaTiO3 lead-free ferroelectric ceramics above room temperature. Mater. Res. Bull. 2011, 46, 1866–1869. [Google Scholar] [CrossRef]
- Marathe, M.; Renggli, D.; Sanlialp, M.; Karabasov, M.O.; Shvartsman, V.V.; Lupascu, D.C.; Grünebohm, A.; Ederer, C. Electrocaloric effect in BaTiO3 at all three ferroelectric transitions: Anisotropy and inverse caloric effects. Phys. Rev. B 2017, 96, 14102. [Google Scholar] [CrossRef]
- Geng, W.; Liu, Y.; Meng, X.; Bellaiche, L.; Scott, J.F.; Dkhil, B.; Jiang, A. Giant negative electrocaloric effect in antiferroelectric la-doped Pb(ZrTi)O3 thin films near room temperature. Adv. Mater. 2015, 27, 3165–3169. [Google Scholar] [CrossRef] [PubMed]
- Vales-Castro, P.; Faye, R.; Vellvehi, M.; Nouchokgwe, Y.; Perpiñà, X.; Caicedo, J.M.; Jordà, X.; Roleder, K.; Kajewski, D.; Perez-Tomas, A.; et al. Origin of large negative electrocaloric effect in antiferroelectric PbZrO3. Phys. Rev. B 2021, 103, 054112. [Google Scholar] [CrossRef]
- Peräntie, J.; Hagberg, J.; Uusimäki, A.; Jantunen, H. Electric-field-induced dielectric and temperature changes in a 011-oriented Pb(Mg1/3Nb2/3)O3-PbTiO3 single crystal. Phys. Rev. B 2010, 82, 134119. [Google Scholar] [CrossRef]
- Ma, Y.-B.; Novak, N.; Koruza, J.; Yang, T.; Albe, K.; Xu, B.-X. Enhanced electrocaloric cooling in ferroelectric single crystals by electric field reversal. Phys. Rev. B 2016, 94, 100104. [Google Scholar] [CrossRef]
- Lu, B.; Jian, X.; Lin, X.; Yao, Y.; Tao, T.; Liang, B.; Luo, H.; Lu, S.G. Enhanced electrocaloric effect in 0.73Pb(Mg1/3Nb2/3)O3-0.27PbTiO3 single crystals via direct measurement. Crystals 2020, 10, 451. [Google Scholar] [CrossRef]
- Wu, H.-H.; Zhu, J.; Zhang, T.-Y. Pseudo-first-order phase transition for ultrahigh positive/negative electrocaloric effects in perovskite ferroelectrics. Nano Energy 2015, 16, 419–427. [Google Scholar] [CrossRef]
- Ponomareva, I.; Lisenkov, S. Bridging the macroscopic and atomistic descriptions of the electrocaloric effect. Phys. Rev. Lett. 2012, 108, 167604. [Google Scholar] [CrossRef]
- Ma, X.; Chen, M.; Liu, J.M.; Wu, D.; Yang, Y. Universal inverse electrocaloric effect in perovskites. Phys. Rev. B 2023, 107, 184105. [Google Scholar] [CrossRef]
- Li, J.; Qin, S.; Bai, Y.; Li, J.; Qiao, L. Flexible control of positive and negative electrocaloric effects under multiple fields for a giant improvement of cooling capacity. Appl. Phys. Lett. 2017, 111, 93901. [Google Scholar] [CrossRef]
- Shan, D.; Cai, Y.; Lei, C.; Peng, J.; He, N.; Pan, K.; Liu, Y.; Li, J. Electric-field-driven coexistence of positive and negative electrocaloric effects near room temperature for high-efficiency two-stage cooling. Appl. Phys. Lett. 2021, 118, 122905. [Google Scholar] [CrossRef]
- Dou, J.; Li, J.; Li, J.; Zhang, H.; Yang, Y.; Bai, Y.; Rao, W.-F. Simultaneous enhancement of the electrocaloric effect and electrostrain via exploiting the reversible polarization rotation. Ceram. Int. 2023, 49, 7094–7098. [Google Scholar] [CrossRef]
- Goupil, F.L.; Berenov, A.; Axelsson, A.-K.; Valant, M.; Alford, N.M. Direct and indirect electrocaloric measurements on <001>-PbMg1/3Nb2/3O3-30PbTiO3 single crystals. J Appl. Phys. 2012, 111, 124109. [Google Scholar]
- Fu, H.; Cohen, R.E.J.N. Polarization rotation mechanism for ultrahigh electromechanical response in single-crystal piezoelectrics. Nature 2000, 403, 281–283. [Google Scholar] [CrossRef]
- Katzke, H.; Dietze, M.; Lahmar, A.; Es-Souni, M.; Neumann, N.; Lee, S.G. Dielectric, ultraviolet/visible, and Raman spectroscopic investigations of the phase transition sequence in 0.71Pb(Mg1/3Nb2/3)O3-0.29PbTiO3crystals. Phys. Rev. B 2011, 83, 174115. [Google Scholar] [CrossRef]
- Cui, A.; Ye, Y.; Dai, K.; Li, Y.; Zhu, L.; Jiang, K.; Shang, L.; Xu, G.; Hu, Z.; Zhang, S.; et al. Designing monoclinic heterophase coexistence for the enhanced piezoelectric performance in ternary lead-based relaxor ferroelectrics. Acs. Appl. Mater. Inter. 2022, 14, 10535–10545. [Google Scholar] [CrossRef]
- Li, J.; Li, J.; Wu, H.-H.; Zhou, O.; Chen, J.; Lookman, T.; Su, Y.; Qiao, L.; Bai, Y. Influence of phase transitions on electrostrictive and piezoelectric characteristics in PMN–30PT single crystals. Acs. Appl. Mater. Inter. 2021, 13, 38467–38476. [Google Scholar] [CrossRef]
- Wu, H.H.; Cohen, R.E. Electric-field-induced phase transition and electrocaloric effect in PMN-PT. Phys. Rev. B 2017, 96, 54116. [Google Scholar] [CrossRef]
- Li, J.; Yin, R.; Su, X.; Wu, H.-H.; Li, J.; Qin, S.; Sun, S.; Chen, J.; Su, Y.; Qiao, L.; et al. Complex phase transitions and associated electrocaloric effects in different oriented PMN-30PT single crystals under multi-fields of electric field and temperature. Acta Mater. 2020, 182, 250–256. [Google Scholar] [CrossRef]
- Kim, I.H.; Kim, I.H.; Im, S.G.; Jang, K.O. A phenomenological study on temperature-concentration-electric field phase diagram of relaxor ferroelectrics PMN-PT single crystals. Physica B 2022, 639, 413961. [Google Scholar] [CrossRef]






| Coefficients | Numerical Values | Units |
|---|---|---|
| α1 | 8.5602 × 104 × (T-359) − 5.1361 × 107 × (x − 0.255) | C−2m2N |
| α2 | 3.6692 × 105 × (T-359) + 1.8205 × 109 × (x − 0.255) | C−4m6N |
| α11 | −7.5298 × 107 | C−4m6N |
| α111 | 9.7853 × 108 | C−6m10N |
| α12 | −2.3065 × 109 | C−6m10N |
| α3 | 1 × 106 | C−6m10N |
| α1111 | 3.7752 × 109 | C−8m14N |
| α22 | 2.5 × 1010 | C−8m14N |
| α13 | 4 × 108 | C−8m14N |
| α122 | 1 × 109 | C−10m18N |
Disclaimer/Publisher’s Note: The statements, opinions and data contained in all publications are solely those of the individual author(s) and contributor(s) and not of MDPI and/or the editor(s). MDPI and/or the editor(s) disclaim responsibility for any injury to people or property resulting from any ideas, methods, instructions or products referred to in the content. |
© 2024 by the authors. Licensee MDPI, Basel, Switzerland. This article is an open access article distributed under the terms and conditions of the Creative Commons Attribution (CC BY) license (https://creativecommons.org/licenses/by/4.0/).
Share and Cite
Zhang, Y.; Gong, W.; Li, Z.; Li, J.; Li, C.; Chen, J.; Yang, Y.; Bai, Y.; Rao, W.-F. Two Consecutive Negative Electrocaloric Peaks in <001>-Oriented PMN-30PT Single Crystals. Crystals 2024, 14, 458. https://doi.org/10.3390/cryst14050458
Zhang Y, Gong W, Li Z, Li J, Li C, Chen J, Yang Y, Bai Y, Rao W-F. Two Consecutive Negative Electrocaloric Peaks in <001>-Oriented PMN-30PT Single Crystals. Crystals. 2024; 14(5):458. https://doi.org/10.3390/cryst14050458
Chicago/Turabian StyleZhang, Yu, Weiping Gong, Zhen Li, Jianting Li, Changyu Li, Jun Chen, Yaodong Yang, Yang Bai, and Wei-Feng Rao. 2024. "Two Consecutive Negative Electrocaloric Peaks in <001>-Oriented PMN-30PT Single Crystals" Crystals 14, no. 5: 458. https://doi.org/10.3390/cryst14050458
APA StyleZhang, Y., Gong, W., Li, Z., Li, J., Li, C., Chen, J., Yang, Y., Bai, Y., & Rao, W.-F. (2024). Two Consecutive Negative Electrocaloric Peaks in <001>-Oriented PMN-30PT Single Crystals. Crystals, 14(5), 458. https://doi.org/10.3390/cryst14050458

