Structural Characterization and Pharmaceutical Evaluation of Telmisartan Hydrochloride Salts
Abstract
1. Introduction
2. Material and Methods
2.1. Materials
2.2. Preparation of Telmisartan Hydrochloride Salts (TELHCl)
2.3. Single-Crystal X-ray Diffraction (SCXRD)
2.4. Simultaneous Thermogravimetric and Differential Thermal Analysis (TG/DTA)
2.5. Powder X-ray Diffraction
2.6. Solubility and Intrinsic Dissolution Study
2.7. Powder Characterization
2.8. Tabletability Study
3. Results and Discussion
3.1. Crystal Structure of Telmisartan HCl Salts
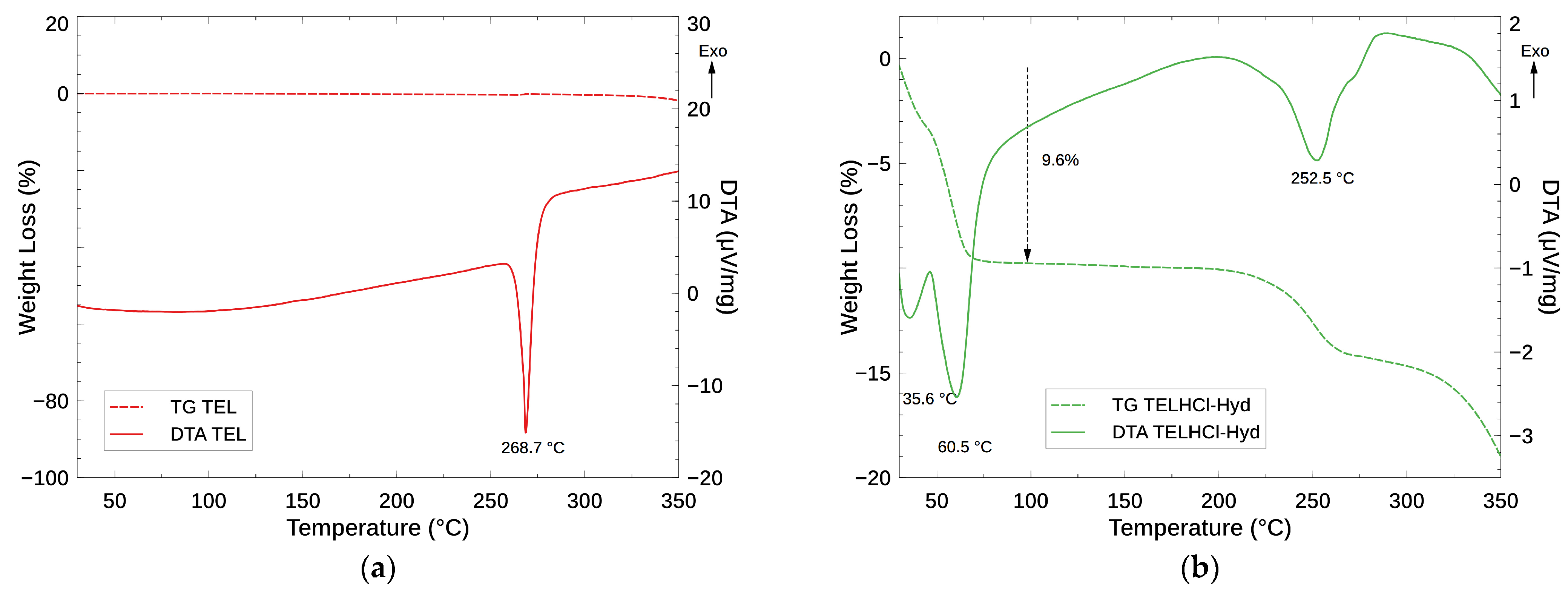
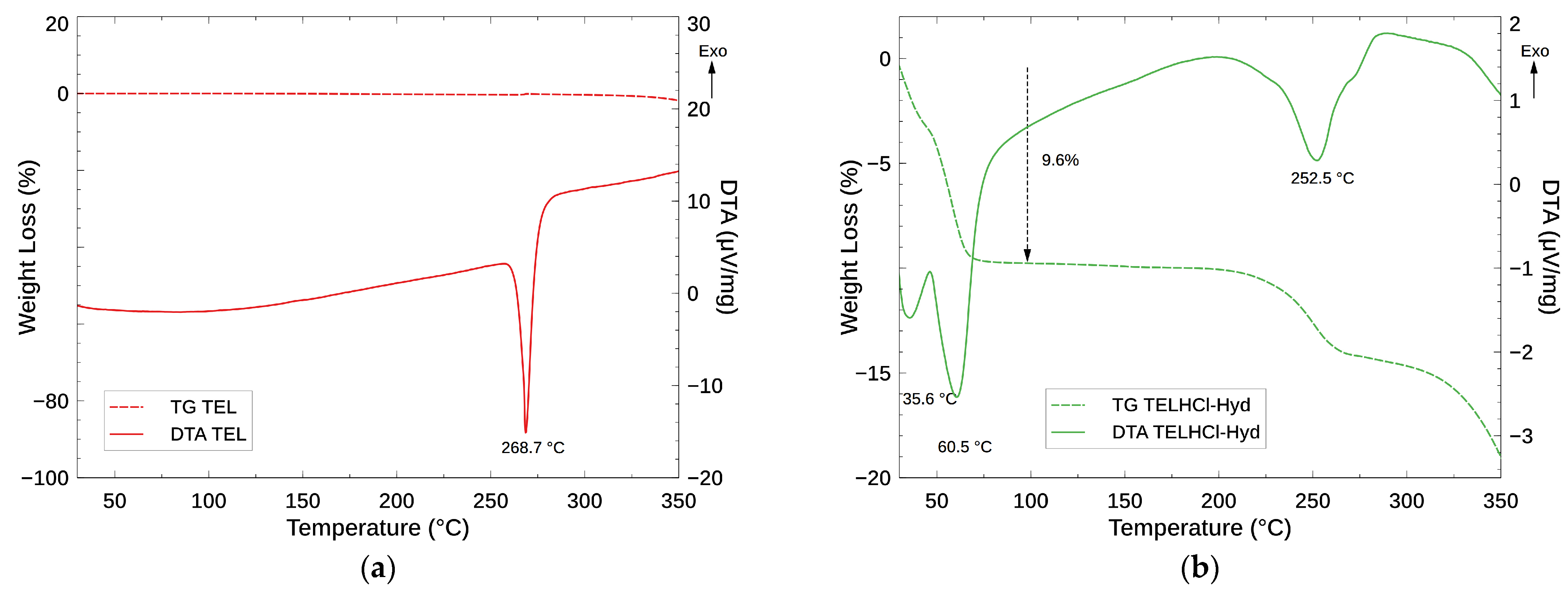
3.2. Thermal Analysis and Dehydration Behavior of Telmisartan HCl Salts
3.3. Solubility and Intrinsic Dissolution Study
3.4. Powder Characterization and Tabletability
4. Conclusions
Supplementary Materials
Author Contributions
Funding
Data Availability Statement
Acknowledgments
Conflicts of Interest
References
- Bhalani, D.V.; Nutan, B.; Kumar, A.; Singh Chandel, A.K. Bioavailability Enhancement Techniques for Poorly Aqueous Soluble Drugs and Therapeutics. Biomedicines 2022, 10, 2055. [Google Scholar] [CrossRef] [PubMed]
- Alatas, F.; Ratih, H.; Soewandhi, S.N. Enhancement of Solubility and Dissolution Rate of Telmisartan by Telmisartan-Oxalic Acid Co-Crystal Formation. Int. J. Pharm. Pharm. Sci. 2015, 7, 423–426. [Google Scholar]
- Ratih, H.; Pamudji, J.S.; Alatas, F.; Soewandhi, S.N. Improving Telmisartan Mechanical Properties through the Formation of Telmisartan and Oxalic Acid Co-Crystal by Slow Evaporation and Ultrasound Assisted Co-Crystallization from Solution Methods. Songklanakarin J. Sci. Technol. 2020, 42, 188–195. [Google Scholar] [CrossRef]
- Kundu, S.; Kumari, N.; Soni, S.R.; Ranjan, S.; Kumar, R.; Sharon, A.; Ghosh, A. Enhanced Solubility of Telmisartan Phthalic Acid Cocrystals within the pH Range of a Systemic Absorption Site. ACS Omega 2018, 3, 15380–15388. [Google Scholar] [CrossRef] [PubMed]
- Dukeck, R.; Sieger, P.; Karmwar, P. Investigation and Correlation of Physical Stability, Dissolution Behaviour and Interaction Parameter of Amorphous Solid Dispersions of Telmisartan: A Drug Development Perspective. Eur. J. Pharm. Sci. 2013, 49, 723–731. [Google Scholar] [CrossRef] [PubMed]
- Jamadar, S.; Pore, Y.; Sayyad, F. Formation of Amorphous Telmisartan Polymeric Microparticles for Improvement of Physicochemical Characteristics. Part. Sci. Technol. 2014, 32, 512–519. [Google Scholar] [CrossRef]
- Park, J.; Cho, W.; Cha, K.-H.; Ahn, J.; Han, K.; Hwang, S.-J. Solubilization of the Poorly Water Soluble Drug, Telmisartan, Using Supercritical Anti-Solvent (SAS) Process. Int. J. Pharm. 2013, 441, 50–55. [Google Scholar] [CrossRef]
- Isaac, J.; Ganguly, S.; Ghosh, A. Co-Milling of Telmisartan with Poly(Vinyl Alcohol)—An Alkalinizer Free Green Approach to Ensure Its Bioavailability. Eur. J. Pharm. Biopharm. 2016, 101, 43–52. [Google Scholar] [CrossRef]
- Lepek, P.; Sawicki, W.; Wlodarski, K.; Wojnarowska, Z.; Paluch, M.; Guzik, L. Effect of Amorphization Method on Telmisartan Solubility and the Tableting Process. Eur. J. Pharm. Biopharm. 2013, 83, 114–121. [Google Scholar] [CrossRef]
- Yu, G.; Chen, X.; He, L.; Li, X.; Zhou, Z.; Ren, Z. Study on the Solubilization of Telmisartan by Forming Cocrystals with Aromatic Carboxylic Acids. CrystEngComm 2021, 23, 4871–4878. [Google Scholar] [CrossRef]
- Chadha, R.; Bhandari, S.; Haneef, J.; Khullar, S.; Mandal, S. Cocrystals of Telmisartan: Characterization, Structure Elucidation, in Vivo and Toxicity Studies. CrystEngComm 2014, 16, 8375–8389. [Google Scholar] [CrossRef]
- Haneef, J.; Chadha, R. Drug-Drug Multicomponent Solid Forms: Cocrystal, Coamorphous and Eutectic of Three Poorly Soluble Antihypertensive Drugs Using Mechanochemical Approach. AAPS PharmSciTech 2017, 18, 2279–2290. [Google Scholar] [CrossRef]
- Ganesan, T.; Muthudoss, P.; Voguri, R.S.; Ghosal, S.; Ann, E.Y.C.; Kwok, J.; Shahnawaz, S.S.; Omar, M.F.; Allada, R.; See, H.H. A New Febuxostat-Telmisartan Drug-Drug Cocrystal for Gout-Hypertension Combination Therapy. J. Pharm. Sci. 2022, 111, 3318–3326. [Google Scholar] [CrossRef]
- Turek, M.; Różycka-Sokołowska, E.; Owsianik, K.; Bałczewski, P. New Perspectives for Antihypertensive Sartans as Components of Co-Crystals and Co-Amorphous Solids with Improved Properties and Multipurpose Activity. Mol. Pharm. 2024, 21, 18–37. [Google Scholar] [CrossRef]
- Morissette, S.L.; Almarsson, Ö.; Peterson, M.L.; Remenar, J.F.; Read, M.J.; Lemmo, A.V.; Ellis, S.; Cima, M.J.; Gardner, C.R. High-Throughput Crystallization: Polymorphs, Salts, Co-Crystals and Solvates of Pharmaceutical Solids. Adv. Drug Deliv. Rev. 2004, 56, 275–300. [Google Scholar] [CrossRef] [PubMed]
- Donsbach, K.; Hof, I. Crystalline Form of Telmisartan Sodium. U.S. Patent US6737432B2, 18 May 2004. [Google Scholar]
- Zupancic, S.; Smrkolj, M.; Stropnik, T.; Vrbinc, M.; Osolnik, R.; Sedmak, G. Preparation of Telmisartan Salts. WO Patent WO2007147889A2, 12 December 2007. [Google Scholar]
- Hatanaka, Y.; Uchiyama, H.; Kaneko, S.; Ueda, K.; Higashi, K.; Moribe, K.; Furukawa, S.; Takase, M.; Yamanaka, S.; Kadota, K.; et al. Designing a Novel Coamorphous Salt Formulation of Telmisartan with Amlodipine to Enhance Permeability and Oral Absorption. Mol. Pharm. 2023, 20, 4071–4085. [Google Scholar] [CrossRef]
- Park, C.; Meghani, N.; Shin, Y.; Oh, E.; Park, J.-B.; Cui, J.-H.; Cao, Q.-R.; Tran, T.; Tran, P.; Lee, B.-J. Investigation of Crystallization and Salt Formation of Poorly Water-Soluble Telmisartan for Enhanced Solubility. Pharmaceutics 2019, 11, 102. [Google Scholar] [CrossRef] [PubMed]
- Higashi, T. ABSCOR; Rigaku Corporation: Tokyo, Japan, 1995. [Google Scholar]
- Rigaku Corporation. RAPID-AUTO; Rigaku Corporation: Tokyo, Japan, 1999. [Google Scholar]
- Sheldrick, G.M. SHELXT—Integrated Space-Group and Crystal-Structure Determination. Acta Crystallogr. Sect. A Found. Crystallogr. 2015, 71, 3–8. [Google Scholar] [CrossRef]
- Sheldrick, G.M. Crystal Structure Refinement with SHELXL. Acta Crystallogr. Sect. C Struct. Chem. 2015, 71, 3–8. [Google Scholar] [CrossRef] [PubMed]
- Hübschle, C.B.; Sheldrick, G.M.; Dittrich, B. ShelXle: A Qt Graphical User Interface for SHELXL. J. Appl. Crystallogr. 2011, 44, 1281–1284. [Google Scholar] [CrossRef] [PubMed]
- Macrae, C.F.; Sovago, I.; Cottrell, S.J.; Galek, P.T.A.; McCabe, P.; Pidcock, E.; Platings, M.; Shields, G.P.; Stevens, J.S.; Towler, M.; et al. Mercury 4.0: From Visualization to Analysis, Design and Prediction. J. Appl. Crystallogr. 2020, 53, 226–235. [Google Scholar] [CrossRef] [PubMed]
- Mackenzie, C.F.; Spackman, P.R.; Jayatilaka, D.; Spackman, M.A. CrystalExplorer Model Energies and Energy Frameworks: Extension to Metal Coordination Compounds, Organic Salts, Solvates and Open-Shell Systems. IUCrJ 2017, 4, 575–587. [Google Scholar] [CrossRef]
- Sanders, J. Veusz: Scientific Plotting Package; ASCL.net Astrophysics Source Code Library, 2023. [Google Scholar]
- Roisnel, T.; Rodríquez-Carvajal, J. WinPLOTR: A Windows Tool for Powder Diffraction Pattern Analysis. Mater. Sci. Forum 2001, 378–381, 118–123. [Google Scholar] [CrossRef]
- United States Pharmacopeial Convention. <1174> Powder Flow. In United States Pharmacopeia and National Formulary (USP 44-NF 39); United States Pharmacopeia: North Bethesda, MD, USA, 2021. [Google Scholar]
- United States Pharmacopeial Convention. <429> Light Diffraction Measurement of Particle Size. In United States Pharmacopeia and National Formulary (USP 44-NF 39); United States Pharmacopeia: North Bethesda, MD, USA, 2021. [Google Scholar]
- Fell, J.T.; Newton, J.M. Determination of Tablet Strength by the Diametral-Compression Test. J. Pharm. Sci. 1970, 59, 688–691. [Google Scholar] [CrossRef]
- Dinnebier, R.E.; Sieger, P.; Nar, H.; Shankland, K.; David, W.I.F. Structural Characterization of Three Crystalline Modifications of Telmisartan by Single Crystal and High-Resolution X-ray Powder Diffraction. J. Pharm. Sci. 2000, 89, 1465–1479. [Google Scholar] [CrossRef]
- Adrjanowicz, K.; Wojnarowska, Z.; Wlodarczyk, P.; Kaminski, K.; Paluch, M.; Mazgalski, J. Molecular Mobility in Liquid and Glassy States of Telmisartan (TEL) Studied by Broadband Dielectric Spectroscopy. Eur. J. Pharm. Sci. 2009, 38, 395–404. [Google Scholar] [CrossRef] [PubMed]
- Saber, R.A.; Attia, A.K.; Salem, W.M. Thermal Analysis Study of Antihypertensive Drugs Telmisartan and Cilazapril. Adv Pharm Bull 2014, 4, 283–287. [Google Scholar] [CrossRef]
- Ramos, J.J.M.; Diogo, H.P. Thermal Behavior and Molecular Mobility in the Glassy State of Three Anti-Hypertensive Pharmaceutical Ingredients. RSC Adv. 2017, 7, 10831–10840. [Google Scholar] [CrossRef]
- Takahashi, M.; Uekusa, H. Dehydration and Rehydration Mechanisms of Pharmaceutical Crystals: Classification Of Hydrates by Activation Energy. J. Pharm. Sci. 2022, 111, 618–627. [Google Scholar] [CrossRef]
- Jurczak, E.; Mazurek, A.H.; Szeleszczuk, Ł.; Pisklak, D.M.; Zielińska-Pisklak, M. Pharmaceutical Hydrates Analysis—Overview of Methods and Recent Advances. Pharmaceutics 2020, 12, 959. [Google Scholar] [CrossRef]
- Spek, A.L. Structure Validation in Chemical Crystallography. Acta Crystallogr. Sect. D Biol. Crystallogr. 2009, 65, 148–155. [Google Scholar] [CrossRef]
- Nugraha, Y.P.; Uekusa, H. Suppressed Hydration in Metoclopramide Hydrochloride by Salt Cocrystallisation. CrystEngComm 2018, 20, 2653–2662. [Google Scholar] [CrossRef]
- United States Pharmacopeial Convention. Telmisartan Tablets. In United States Pharmacopeia and National Formulary (USP 44-NF 39); United States Pharmacopeia: North Bethesda, MD, USA, 2021. [Google Scholar]
- Guzmán, H.R.; Tawa, M.; Zhang, Z.; Ratanabanangkoon, P.; Shaw, P.; Gardner, C.R.; Chen, H.; Moreau, J.; Almarsson, Ö.; Remenar, J.F. Combined Use of Crystalline Salt Forms and Precipitation Inhibitors to Improve Oral Absorption of Celecoxib from Solid Oral Formulations. J. Pharm. Sci. 2007, 96, 2686–2702. [Google Scholar] [CrossRef]
- Babu, N.J.; Nangia, A. Solubility Advantage of Amorphous Drugs and Pharmaceutical Cocrystals. Cryst. Growth Des. 2011, 11, 2662–2679. [Google Scholar] [CrossRef]
- Hawley, M.; Morozowich, W. Modifying the Diffusion Layer of Soluble Salts of Poorly Soluble Basic Drugs To Improve Dissolution Performance. Mol. Pharm. 2010, 7, 1441–1449. [Google Scholar] [CrossRef]
- Yu, L.X.; Carlin, A.S.; Amidon, G.L.; Hussain, A.S. Feasibility Studies of Utilizing Disk Intrinsic Dissolution Rate to Classify Drugs. Int. J. Pharm. 2004, 270, 221–227. [Google Scholar] [CrossRef]
- Braun, D.E.; Koztecki, L.H.; Mcmahon, J.A.; Price, S.L.; Reutzel-Edens, S.M. Navigating the Waters of Unconventional Crystalline Hydrates. Mol. Pharm. 2015, 12, 3069–3088. [Google Scholar] [CrossRef]
- Utama, V.K.; Soewandhi, S.N.; Nugraha, Y.P. Intermolecular Interaction Studies of Telmisartan and Amlodipine Besylate; Bandung Institute of Technology: Bandung, Indonesia, 2021. [Google Scholar]
- Danjo, K.; Kinoshita, K.; Kitagawa, K.; Iida, K.; Sunada, H.; Otsuka, A. Effect of Particle Shape on the Compaction and Flow Properties of Powders. Chem. Pharm. Bull. 1989, 37, 3070–3073. [Google Scholar] [CrossRef]
- Kudo, Y.; Yasuda, M.; Matsusaka, S. Effect of Particle Size Distribution on Flowability of Granulated Lactose. Adv. Powder Technol. 2020, 31, 121–127. [Google Scholar] [CrossRef]
- Joiris, E.; Di Martino, P.; Berneron, C.; Guyot-Hermann, A.M.; Guyot, J.C. Compression Behavior of Orthorhombic Paracetamol. Pharm. Res. 1998, 15, 1122–1130. [Google Scholar] [CrossRef] [PubMed]
- Wang, C.; Paul, S.; Wang, K.; Hu, S.; Sun, C.C. Relationships among Crystal Structures, Mechanical Properties, and Tableting Performance Probed Using Four Salts of Diphenhydramine. Cryst. Growth Des. 2017, 17, 6030–6040. [Google Scholar] [CrossRef]
- Sun, C.; Grant, D.J.W. Influence of Crystal Structure on the Tableting Properties of Sulfamerazine Polymorphs. Pharm. Res. 2001, 18, 274–280. [Google Scholar] [CrossRef] [PubMed]
- Sun, C.; Grant, D.J.W. Improved Tableting Properties of P-Hydroxybenzoic Acid by Water of Crystallization: A Molecular Insight. Pharm. Res. 2004, 21, 382–386. [Google Scholar] [CrossRef] [PubMed]
- Chang, S.Y.; Sun, C.C. Superior Plasticity and Tabletability of Theophylline Monohydrate. Mol. Pharm. 2017, 14, 2047–2055. [Google Scholar] [CrossRef] [PubMed]
- Sun, C.C.; Hou, H. Improving Mechanical Properties of Caffeine and Methyl Gallate Crystals by Cocrystallization. Cryst. Growth Des. 2008, 8, 1575–1579. [Google Scholar] [CrossRef]
- Ainurofiq, A.; Mauludin, R.; Mudhakir, D.; Umeda, D.; Soewandhi, S.N.; Putra, O.D.; Yonemochi, E. Improving Mechanical Properties of Desloratadine via Multicomponent Crystal Formation. Eur. J. Pharm. Sci. 2018, 111, 65–72. [Google Scholar] [CrossRef]
- Khomane, K.S.; More, P.K.; Raghavendra, G.; Bansal, A.K. Molecular Understanding of the Compaction Behavior of Indomethacin Polymorphs. Mol. Pharm. 2013, 10, 631–639. [Google Scholar] [CrossRef]
- Šupuk, E.; Ghori, M.U.; Asare-Addo, K.; Laity, P.R.; Panchmatia, P.M.; Conway, B.R. The Influence of Salt Formation on Electrostatic and Compression Properties of Flurbiprofen Salts. Int. J. Pharm. 2013, 458, 118–127. [Google Scholar] [CrossRef]
- Sun, C.C.; Kiang, Y.-H. On the Identification of Slip Planes in Organic Crystals Based on Attachment Energy Calculation. J. Pharm. Sci. 2008, 97, 3456–3461. [Google Scholar] [CrossRef] [PubMed]
- Keshavarz, L.; Pishnamazi, M.; Rao Khandavilli, U.B.; Shirazian, S.; Collins, M.N.; Walker, G.M.; Frawley, P.J. Tailoring Crystal Size Distributions for Product Performance, Compaction of Paracetamol. Arab. J. Chem. 2021, 14, 103089. [Google Scholar] [CrossRef]
- Wang, Z.; Solomos, M.; Axnanda, S.; Chen, C.; Figus, M.; Schenck, L.; Sun, C.C. Varied Bulk Powder Properties of Micro-Sized API within Size Specifications as a Result of Particle Engineering Methods. Pharmaceutics 2022, 14, 1901. [Google Scholar] [CrossRef] [PubMed]
- Sun, C.C.; Himmelspach, M.W. Reduced Tabletability of Roller Compacted Granules as a Result of Granule Size Enlargement. J. Pharm. Sci. 2006, 95, 200–206. [Google Scholar] [CrossRef] [PubMed]















| Parameter | TEL Form A † | TELHCl-Hyd | TELHCl-A | 
|---|---|---|---|
| Moiety formula | C33H30N4O2 | C33H31ClN4O2·3.5(H2O) | C33H31ClN4O2 | 
| Formula weight | 514.63 | 614.2 | 551.07 | 
| Calc. density (g cm−3) | 1.24 | 1.319 | 1.317 | 
| Crystal system | Monoclinic | Triclinic | Monoclinic | 
| Space group | P21/c | P-1 | P21/c | 
| a (Å) | 18.7798(3) | 12.7169(3) | 13.2201(3) | 
| b (Å) | 18.1043(2) | 16.1019(3) | 16.2647(3) | 
| c (Å) | 8.00578(7) | 16.1871(3) | 25.8530(6) | 
| α (°) | 90 | 95.0040(10) | 90 | 
| β (°) | 97.066(1) | 110.1320(10) | 91.4510(10) | 
| γ (°) | 90 | 91.7840(10) | 90 | 
| Volume (Å3) | 2701.31 | 3093.56(11) | 5557.2(2) | 
| Z, Z’ | 4, 1 | 4, 2 | 8, 2 | 
| T (K) | 295 | 93(2) | 93(2) | 
| Measured ref. | - | 35,576 | 64,180 | 
| Independent ref. | - | 11,114 [R(int) = 0.0779] | 10,171 [R(int) = 0.2060] | 
| Refined parameter | - | 874 | 731 | 
| Goodness-of-fit on F2 | - | 1.048 | 0.989 | 
| Final R indices [I > 2σ(I)] | - | R1 = 0.0805 | R1 = 0.1629 | 
| CCDC deposit number | 209,544 | 2,320,400 | 2,320,398 | 
| D–H···A | D–H (Å) | H···A (Å) | D···A (Å) | D–H···A (°) | 
|---|---|---|---|---|
| N2–H2B···O8 | 0.88 | 1.85 | 2.728(5) | 172.4 | 
| N6–H6···Cl2 | 0.88 | 2.22 | 3.087(3) | 169.0 | 
| O2–H2A···N8 a | 0.95 | 1.71 | 2.646(4) | 169.2 | 
| O3–H3B···N4 | 0.96 | 1.68 | 2.6318(14) | 170.5 | 
| O5–H5A···Cl2 b | 0.9570(11) | 2.265(7) | 3.218(3) | 174(5) | 
| O5–H5B···O6 | 1.017(7) | 1.8435(10) | 2.785(4) | 152.4(13) | 
| O6–H6A···Cl1 | 0.9571(10) | 2.292(7) | 3.238(3) | 170(3) | 
| O6–H6B···O7 | 0.973(6) | 1.7682(10) | 2.738(4) | 174(4) | 
| O7–H7E···O5 c | 0.972(9) | 1.958(8) | 2.868(4) | 155(2) | 
| O7–H7D···Cl1 c | 0.953(10) | 2.241(15) | 3.177(3) | 167(4) | 
| O8–H8A···O6 | 0.955(10) | 1.88(2) | 2.796(4) | 161(5) | 
| O8–H8B···O9 | 0.957(10) | 1.855(19) | 2.782(5) | 162(5) | 
| O9–H9A···Cl2 b | 0.968(10) | 2.247(15) | 3.203(3) | 169(5) | 
| O9–H9B···O10 | 0.955(10) | 2.11(4) | 2.827(5) | 131(4) | 
| O10–H10A···O11 | 0.960(10) | 1.93(3) | 2.831(4) | 156(5) | 
| O10–H10B···O11 d | 0.967(9) | 1.955(9) | 2.911(5) | 169(4) | 
| O11–H11A···Cl2 b | 0.954(10) | 2.226(16) | 3.159(3) | 166(4) | 
| O11–H11B···Cl1 | 0.954(10) | 2.247(13) | 3.192(3) | 171(4) | 
| D–H···A | D–H (Å) | H···A (Å) | D···A (Å) | D–H···A (°) | 
|---|---|---|---|---|
| O2-H2A···N8 a | 0.96 | 1.76 | 2.6912(17) | 164.4 | 
| O3-H3B···N4 c | 0.96 | 1.67 | 2.614(8) | 167.8 | 
| N2-H2B···Cl2 b | 0.88 | 2.14 | 2.998(8) | 163.5 | 
| N6-H6···Cl1 | 0.88 | 2.12 | 2.995(7) | 170.7 | 
| Sample | Average Particle Size a (Dv50, µm) | Powder Flow b (g s−1) | 
|---|---|---|
| TEL | 3.90 ± 0.48% | 1.13 ± 0.01 | 
| TELHCl-Hyd | 31.97 ± 2.79% | 11.40 ± 0.15 | 
| TELHCl-B | 32.42 ± 0.43% | 8.38 ± 0.22 | 
| Disclaimer/Publisher’s Note: The statements, opinions and data contained in all publications are solely those of the individual author(s) and contributor(s) and not of MDPI and/or the editor(s). MDPI and/or the editor(s) disclaim responsibility for any injury to people or property resulting from any ideas, methods, instructions or products referred to in the content. | 
© 2024 by the authors. Licensee MDPI, Basel, Switzerland. This article is an open access article distributed under the terms and conditions of the Creative Commons Attribution (CC BY) license (https://creativecommons.org/licenses/by/4.0/).
Share and Cite
Nugraha, Y.P.; Unique, I.G.A.N.P.; Miyake, T.; Rahmah, R.; Indra, I.; Soewandhi, S.N.; Uekusa, H. Structural Characterization and Pharmaceutical Evaluation of Telmisartan Hydrochloride Salts. Crystals 2024, 14, 151. https://doi.org/10.3390/cryst14020151
Nugraha YP, Unique IGANP, Miyake T, Rahmah R, Indra I, Soewandhi SN, Uekusa H. Structural Characterization and Pharmaceutical Evaluation of Telmisartan Hydrochloride Salts. Crystals. 2024; 14(2):151. https://doi.org/10.3390/cryst14020151
Chicago/Turabian StyleNugraha, Yuda Prasetya, I Gusti Ayu Nadia Prasta Unique, Tatsuki Miyake, Ridha Rahmah, Indra Indra, Sundani Nurono Soewandhi, and Hidehiro Uekusa. 2024. "Structural Characterization and Pharmaceutical Evaluation of Telmisartan Hydrochloride Salts" Crystals 14, no. 2: 151. https://doi.org/10.3390/cryst14020151
APA StyleNugraha, Y. P., Unique, I. G. A. N. P., Miyake, T., Rahmah, R., Indra, I., Soewandhi, S. N., & Uekusa, H. (2024). Structural Characterization and Pharmaceutical Evaluation of Telmisartan Hydrochloride Salts. Crystals, 14(2), 151. https://doi.org/10.3390/cryst14020151
 
        



 
       