Effect of Mo on the Corrosion Resistance of Cr-Containing Steel in a Simulated Tropical Marine Atmospheric Environment
Abstract
1. Introduction
2. Materials and Methods
2.1. Materials Preparation and Microstructural Characterization
2.2. Simulation of Tropical Marine Atmospheric Corrosion Testing
2.3. Corrosion Performance Testing
2.3.1. Corrosion Rate Testing
2.3.2. Electrochemical Impedance Spectroscopy Measurements
2.3.3. Corrosion Product Analysis
3. Results
3.1. Corrosion Rate
3.2. Corrosion Product Layer Morphology
3.3. Corrosion Product Analysis
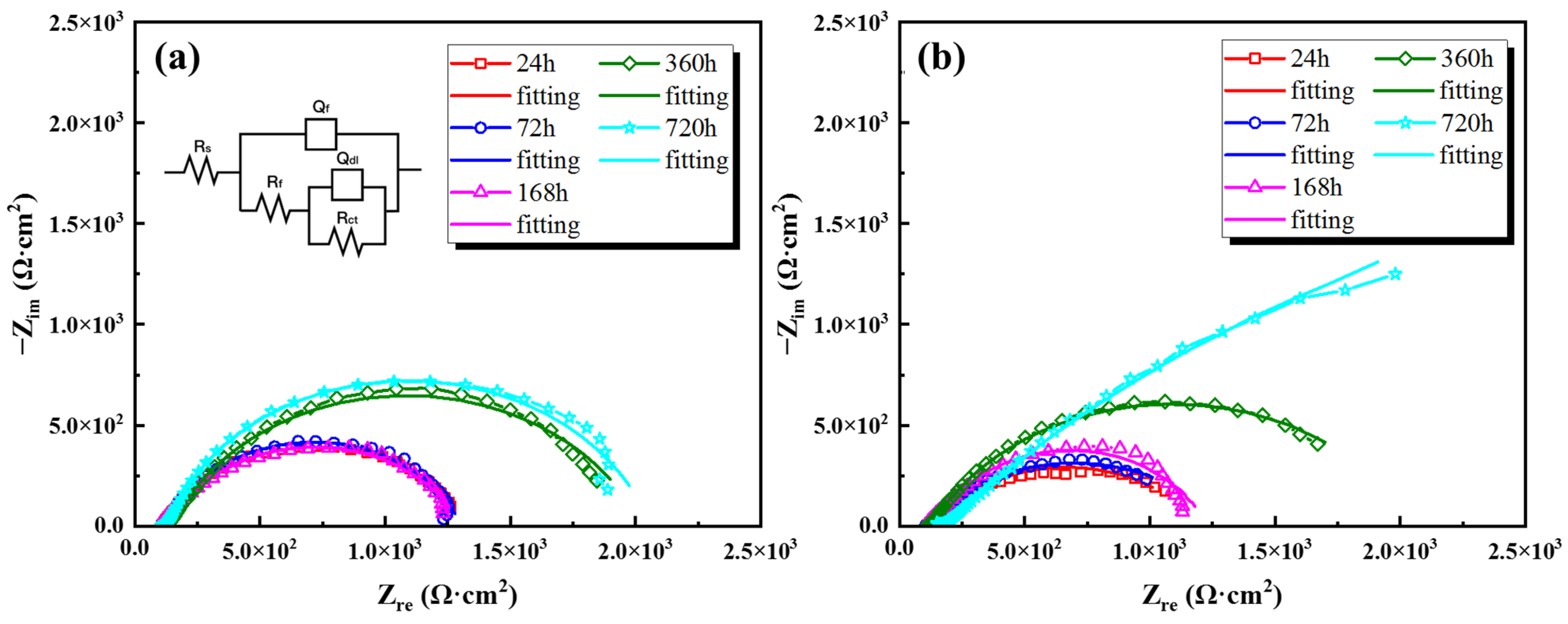
3.4. Immersion Electrochemical Analysis
3.5. The Corrosion Morphology Analysis
4. Discussion
5. Conclusions
- The addition of Mo reduces the corrosion rate of Cr-containing steel in a simulated tropical marine atmospheric environment, and this effect becomes more pronounced with longer exposure times.
- Mo and Cr simultaneously accumulate in the inner corrosion product layer. The synergistic effect of these elements promotes the formation of α-FeOOH, which exhibits excellent thermodynamic stability. This leads to enhanced compactness and protectiveness of the corrosion product layer.
- MoO42−, a product of Mo, acts as a slow-release ion and accumulates on the inner side of the corrosion product layer. It effectively mitigates the acidification effects at the interface between the corrosion product layer and the substrate, resulting from the diffusion challenges of a dense corrosion product layer. Consequently, localized corrosion in Cr-containing steel is significantly inhibited.
Author Contributions
Funding
Data Availability Statement
Conflicts of Interest
References
- Kamimura, T.; Stratmann, M. The influence of chromium on the atmospheric corrosion of steel. Corros. Sci. 2001, 43, 429–447. [Google Scholar] [CrossRef]
- Sun, B.Z.; Zuo, X.M.; Cheng, X.Q.; Li, X.G. The role of chromium content in the long-term atmospheric corrosion process. NPJ Mater. Degrad. 2020, 4, 37. [Google Scholar] [CrossRef]
- Qian, Y.H.; Ma, C.H.; Niu, D.; Xu, J.J.; Li, M.S. Influence of alloyed chromium on the atmospheric corrosion resistance of weathering steels. Corros. Sci. 2013, 74, 424–429. [Google Scholar] [CrossRef]
- Dong, B.; Liu, W.; Chen, L.; Zhang, T.; Fan, Y.; Zhao, Y.; Li, S.; Yang, W.; Banthukul, W. Optimize Ni, Cu, Mo element of low Cr-steel rebars in tropical marine atmosphere environment through two years of corrosion monitoring. Cem. Concr. Compos. 2022, 125, 104317. [Google Scholar] [CrossRef]
- Abdel-Fatah, H.T.; Hassan, A.A.; Shetify, M.M.; El-Sehiety, H.E.; Abdel-Samad, H.S.; Zohdy, K.M. Effect of Cr and Mo on the corrosion behavior of some low alloy steels in acidic media. Chem. Sci. Rev. Lett. 2012, 1, 45–52. [Google Scholar]
- Zhang, T.Y.; Xu, X.X.; Li, Y.; Lv, X.W. The function of Cr on the rust formed on weathering steel performed in a simulated tropical marine atmosphere environment. Constr. Build. Mater. 2021, 277, 122298. [Google Scholar] [CrossRef]
- Dong, B.J.; Liu, W.; Zhang, Y.; Banthukul, W.; Zhao, Y.G.; Zhang, T.Y.; Fan, Y.M.; Li, X.G. Comparison of the characteristics of corrosion scales covering 3Cr steel and X60 steel in CO2-H2S coexistence environment. J. Nat. Gas Sci. Eng. 2020, 80, 103371. [Google Scholar] [CrossRef]
- Diaz, I.; Cano, H.; Lopesino, P.; de la Fuente, D.; Chico, B.; Jimenez, J.A.; Medina, S.F.; Morcillo, M. Five-year atmospheric corrosion of Cu, Cr and Ni weathering steels in a wide range of environments. Corros. Sci. 2018, 141, 146–157. [Google Scholar] [CrossRef]
- Łukaszczyk, A.; Banaś, J.; Pisarek, M.; Seyeux, A.; Marcus, P.; Światowska, J. Effect of Cr Content on Corrosion Resistance of Low-Cr Alloy Steels Studied by Surface and Electrochemical Techniques. Electrochem 2021, 2, 546–562. [Google Scholar] [CrossRef]
- Zhou, Y.; Chen, J.; Xu, Y.; Liu, Z. Effects of Cr, Ni and Cu on the corrosion behavior of low carbon microalloying steel in a Cl− containing environment. J. Mater. Sci. Technol. 2013, 29, 168–174. [Google Scholar] [CrossRef]
- Kashima, K.; Sugae, K.; Kamimura, T.; Miyuki, H.; Kudo, T. Effect of Chromium Contents on Atmospheric Corrosion of Steel in Chloride Environment. J. Jpn. Inst. Met. Mater. 2013, 77, 107–113. [Google Scholar] [CrossRef][Green Version]
- Indira, K.; Nishimura, T. SECM Study of Effect of Chromium Content on the Localized Corrosion Behavior of Low-Alloy Steels in Chloride Environment. J. Mater. Eng. Perform. 2016, 25, 4157–4170. [Google Scholar] [CrossRef]
- Cano, H.; Diaz, I.; de la Fuente, D.; Chico, B.; Morcillo, M. Effect of Cu, Cr and Ni alloying elements on mechanical properties and atmospheric corrosion resistance of weathering steels in marine atmospheres of different aggressivities. Mater. Corros. Werkst. Und Korros. 2018, 69, 8–19. [Google Scholar] [CrossRef]
- Hao, L.; Zhang, S.X.; Dong, J.H.; Ke, W. A study of the evolution of rust on Mo-Cu-bearing fire-resistant steel submitted to simulated atmospheric corrosion. Corros. Sci. 2012, 54, 244–250. [Google Scholar] [CrossRef]
- Pardo, A.; Merino, M.C.; Coy, A.E.; Viejo, F.; Arrabal, R.; Matykina, E. Effect of Mo and Mn additions on the corrosion behaviour of AISI 304 and 316 stainless steels in H2SO4. Corros. Sci. 2008, 50, 780–794. [Google Scholar] [CrossRef]
- Moon, J.; Ha, H.-Y.; Park, S.-J.; Lee, T.-H.; Jang, J.H.; Lee, C.-H.; Han, H.N.; Hong, H.-U. Effect of Mo and Cr additions on the microstructure, mechanical properties and pitting corrosion resistance of austenitic Fe-30Mn-10.5 Al-1.1 C lightweight steels. J. Alloys Compd. 2019, 775, 1136–1146. [Google Scholar] [CrossRef]
- Song, D.; Hao, J.; Yang, F.L.; Chen, H.D.; Liang, N.N.; Wu, Y.Y.; Zhang, J.C.; Ma, H.; Klu, E.E.; Gao, B.; et al. Corrosion behavior and mechanism of Cr-Mo alloyed steel: Role of ferrite/bainite duplex microstructure. J. Alloys Compd. 2019, 809, 151787. [Google Scholar] [CrossRef]
- Rezayat, M.; Morales, M.; Moradi, M.; Mateo, A. Laser wobbling surface texturing of AISI 301LN steel for enhancement of the corrosion resistance at high temperature. Opt. Laser Technol. 2024, 171, 110375. [Google Scholar] [CrossRef]
- Fargas, G.; Zapata, A.; Roa, J.J.; Sapezanskaia, I.; Mateo, A. Correlation Between Microstructure and Mechanical Properties Before and After Reversion of Metastable Austenitic Stainless Steels. Met. Mater. Trans. A 2015, 46, 5697–5707. [Google Scholar] [CrossRef]
- Sakashita, M.; Sato, N. The effect of molybdate anion on the ion-selectivity of hydrous ferric oxide films in chloride solutions. Corros. Sci. 1977, 17, 473–486. [Google Scholar] [CrossRef]
- Xiao, X.M.; Peng, Y.; Ma, C.Y.; Tian, Z.L. Effects of Alloy Element and Microstructure on Corrosion Resistant Property of Deposited Metals of Weathering Steel. J. Iron Steel Res. Int. 2016, 23, 171–177. [Google Scholar] [CrossRef]
- Sun, M.H.; Du, C.W.; Liu, Z.Y.; Liu, C.; Li, X.G.; Wu, Y.M. Fundamental understanding on the effect of Cr on corrosion resistance of weathering steel in simulated tropical marine atmosphere. Corros. Sci. 2021, 186, 109427. [Google Scholar] [CrossRef]
- Xu, X.X.; Wu, W.; Li, N.N.; Zhang, L.L.; Wang, Y.; Liu, Z.Y.; Li, X.G. Effect of 0.1 wt% Nb on the microstructure and corrosion fatigue performance of high strength steels. Corros. Sci. 2023, 219, 111242. [Google Scholar] [CrossRef]
- Wu, W.; Liu, Z.Y.; Wang, Q.Y.; Li, X.G. Improving the resistance of high-strength steel to SCC in a SO2-polluted marine atmosphere through Nb and Sb microalloying. Corros. Sci. 2020, 170, 108693. [Google Scholar] [CrossRef]
- Xu, X.X.; Liu, Z.Y.; Zhao, T.L.; Cui, Q.Q.; Zhang, T.Y.; Li, X.G. Corrosion fatigue behavior of Fe-16Mn-0.6C-1.68Al twinning-induced plasticity steel in simulated seawater. Corros. Sci. 2021, 182, 109282. [Google Scholar] [CrossRef]
- Xu, X.X.; Cheng, H.L.; Wu, W.; Liu, Z.Y.; Li, X.G. Stress corrosion cracking behavior and mechanism of Fe-Mn-Al-C-Ni high specific strength steel in the marine atmospheric environment. Corros. Sci. 2021, 191, 109760. [Google Scholar] [CrossRef]
- Kostryzhev, A.; Singh, N.; Chen, L.; Killmore, C.; Pereloma, E. Comparative Effect of Mo and Cr on Microstructure and Mechanical Properties in NbV-Microalloyed Bainitic Steels. Metals 2018, 8, 134. [Google Scholar] [CrossRef]
- Hu, H.J.; Xu, G.; Zhou, M.X.; Yuan, Q. Effect of Mo Content on Microstructure and Property of Low-Carbon Bainitic Steels. Metals 2016, 6, 173. [Google Scholar] [CrossRef]
- Sung, H.K.; Lee, D.H.; Shin, S.Y.; Lee, S.; Yoo, J.Y.; Hwang, B. Effect of finish cooling temperature on microstructure and mechanical properties of high-strength bainitic steels containing Cr, Mo, and B. Mater. Sci. Eng. A-Struct 2015, 624, 14–22. [Google Scholar] [CrossRef]
- Tian, H.Y.; Xin, J.C.; Li, Y.; Wang, X.; Cui, Z. Combined effect of cathodic potential and sulfur species on calcareous deposition, hydrogen permeation, and hydrogen embrittlement of a low carbon bainite steel in artificial seawater. Corros. Sci. 2019, 158, 108089. [Google Scholar] [CrossRef]
- Sun, M.H.; Pang, Y.J.; Du, C.W.; Li, X.G.; Wu, Y.M. Optimization of Mo on the corrosion resistance of Cr-advanced weathering steel designed for tropical marine atmosphere. Constr. Build. Mater. 2021, 302, 124346. [Google Scholar] [CrossRef]
- Wu, W.; Cheng, X.Q.; Zhao, J.B.; Li, X.G. Benefit of the corrosion product film formed on a new weathering steel containing 3% nickel under marine atmosphere in Maldives. Corros. Sci. 2020, 165, 108416. [Google Scholar] [CrossRef]
- Zhang, T.Y.; Liu, W.; Chen, L.J.; Dong, B.J.; Yang, W.J.; Fan, Y.M.; Zhao, Y.G. On how the corrosion behavior and the functions of Cu, Ni and Mo of the weathering steel in environments with different NaCl concentrations. Corros. Sci. 2021, 192, 109851. [Google Scholar] [CrossRef]
- Zhang, T.Y.; Liu, W.; Chowwanonthapunya, T.; Dong, B.J.; Zhao, Y.G.; Yang, Y.M. Corrosion Evolution and Analysis of Welded Joints of Structural Steel Performed in a Tropical Marine Atmospheric Environment. J. Mater. Eng. Perform. 2020, 29, 5057–5068. [Google Scholar] [CrossRef]
- Xu, X.X.; Zhang, T.Y.; Wu, W.; Jiang, S.; Yang, J.W.; Liu, Z.Y. Optimizing the resistance of Ni-advanced weathering steel to marine atmospheric corrosion with the addition of Al or Mo. Constr. Build. Mater. 2021, 279, 122341. [Google Scholar] [CrossRef]
- Jiang, C.; Yang, Y.; Cheng, X.Q.; Zhao, J.B.; Li, X.G. Effect of Sn on the corrosion behavior of weathering steel in a simulated tropical marine atmosphere. Anti-Corros. Methods Mater. 2020, 67, 129–139. [Google Scholar] [CrossRef]
- Zhang, X.; Wei, W.Z.; Cheng, L.; Liu, J.; Wu, K.M.; Liu, M. Effects of niobium and rare earth elements on microstructure and initial marine corrosion behavior of low-alloy steels. Appl. Surf. Sci. 2019, 475, 83–93. [Google Scholar] [CrossRef]
- Yang, W.; Ni, R.-C.; Hua, H.-Z.; Pourbaix, A. The behavior of chromium and molybdenum in the propagation process of localized corrosion of steels. Corros. Sci. 1984, 24, 691–707. [Google Scholar] [CrossRef]
- Belfrouh, A.; Masson, C.; Vouagner, D.; De Becdelievre, A.; Prakash, N.; Audouard, J. The cumulative effect of alloying elements N, W, Mo and Cu on the corrosion behaviour of 17Cr-13Ni stainless steel in 2 N H2SO4. Corros. Sci. 1996, 38, 1639–1648. [Google Scholar] [CrossRef]
- Hashimoto, K.; Asami, K.; Kawashima, A.; Habazaki, H.; Akiyama, E. The role of corrosion-resistant alloying elements in passivity. Corros. Sci. 2007, 49, 42–52. [Google Scholar] [CrossRef]
- Kodama, T.; Ambrose, J. Effect of molybdate ion on the repassivation kinetics of iron in solutions containing chloride ions. Corrosion 1977, 33, 155–161. [Google Scholar] [CrossRef]











| Steel | C | Si | Mn | P | S | Ni | Cu | Cr | Mo |
|---|---|---|---|---|---|---|---|---|---|
| 0 Mo | 0.035 | 0.25 | 1.12 | 0.0085 | 0.0020 | 0.32 | 0.21 | 1.98 | 0 |
| 1 Mo | 0.033 | 0.30 | 1.15 | 0.0085 | 0.0019 | 0.29 | 0.23 | 2.04 | 0.11 |
| Rs (Ω·cm2) | Qf × 10−4 (Ω cm−2sn1) | n1 | Rf (Ω·cm2) | Qdl × 10−4 (Ω cm−2sn2) | n2 | Rct (Ω·cm2) | |
|---|---|---|---|---|---|---|---|
| 0 Mo—24 h | 76.51 | 26.5 | 0.85 | 15.6 | 18.8 | 0.77 | 154.5 |
| 0 Mo—72 h | 79.14 | 25.3 | 0.79 | 14.3 | 17.9 | 0.75 | 148.1 |
| 0 Mo—168 h | 71.55 | 26.1 | 0.88 | 15.8 | 18.5 | 0.79 | 146.9 |
| 0 Mo—360 h | 113.43 | 15.4 | 0.76 | 22.4 | 9.1 | 0.84 | 220.3 |
| 0 Mo—720 h | 104.12 | 13.6 | 0.81 | 26.7 | 8.6 | 0.92 | 243.7 |
| 1 Mo—24 h | 84.2 | 25.4 | 0.84 | 35.8 | 16.4 | 0.86 | 320.1 |
| 1 Mo—72 h | 84.3 | 24.7 | 0.86 | 33.9 | 15.5 | 0.76 | 326.4 |
| 1 Mo—168 h | 80.5 | 24.1 | 0.78 | 37.6 | 15.6 | 0.83 | 330.6 |
| 1 Mo—360 h | 100.2 | 14.3 | 0.81 | 70.5 | 7.7 | 0.94 | 513.5 |
| 1 Mo—720 h | 104.7 | 5.2 | 0.77 | 92.3 | 4.5 | 0.88 | 799.4 |
Disclaimer/Publisher’s Note: The statements, opinions and data contained in all publications are solely those of the individual author(s) and contributor(s) and not of MDPI and/or the editor(s). MDPI and/or the editor(s) disclaim responsibility for any injury to people or property resulting from any ideas, methods, instructions or products referred to in the content. |
© 2024 by the authors. Licensee MDPI, Basel, Switzerland. This article is an open access article distributed under the terms and conditions of the Creative Commons Attribution (CC BY) license (https://creativecommons.org/licenses/by/4.0/).
Share and Cite
Wang, N.; Gao, J.; Xu, X. Effect of Mo on the Corrosion Resistance of Cr-Containing Steel in a Simulated Tropical Marine Atmospheric Environment. Crystals 2024, 14, 113. https://doi.org/10.3390/cryst14020113
Wang N, Gao J, Xu X. Effect of Mo on the Corrosion Resistance of Cr-Containing Steel in a Simulated Tropical Marine Atmospheric Environment. Crystals. 2024; 14(2):113. https://doi.org/10.3390/cryst14020113
Chicago/Turabian StyleWang, Ningxi, Jianzhuo Gao, and Xuexu Xu. 2024. "Effect of Mo on the Corrosion Resistance of Cr-Containing Steel in a Simulated Tropical Marine Atmospheric Environment" Crystals 14, no. 2: 113. https://doi.org/10.3390/cryst14020113
APA StyleWang, N., Gao, J., & Xu, X. (2024). Effect of Mo on the Corrosion Resistance of Cr-Containing Steel in a Simulated Tropical Marine Atmospheric Environment. Crystals, 14(2), 113. https://doi.org/10.3390/cryst14020113

