Next Article in Journal
Crystal Structures of Sulfobetaine-8 Solvates: Bend Hydrophobic Chains and Doubly Charge-Assisted Hydrogen Bonds N+CH⋯O3S
Previous Article in Journal
Structure and Mechanical Properties of a Titanium–8 wt.% Gallium Alloy
 
 
Font Type:
Arial Georgia Verdana
Font Size:
Aa Aa Aa
Line Spacing:
Column Width:
Background:
Article

Research on the Elastic Properties of Deep Rock Composites Under High Pressure

1
School of Intelligent Manufacturing, Hunan University of Science and Engineering, Yongzhou 425199, China
2
School of Civil Engineering and Architecture, Nanchang Hangkong University, Nanchang 332005, China
3
School of Mechanical and Intelligent Manufacturing, Jiujiang University, Jiujiang 332005, China
4
School of Mathematics and Physics, Jinggangshan University, Ji’an 343009, China
*
Author to whom correspondence should be addressed.
Crystals 2024, 14(12), 1059; https://doi.org/10.3390/cryst14121059
Submission received: 15 November 2024 / Revised: 2 December 2024 / Accepted: 4 December 2024 / Published: 8 December 2024
(This article belongs to the Section Mineralogical Crystallography and Biomineralization)

Abstract

This paper presents a three-dimensional model of the definitive structure of gypsum, calcite and quartz crystals, which are the primary components of deep rock mass. The optimization of the primary components of deep rock mass material was performed under pressures ranging from 0 to 120 MPa using the first principles method. This led to the determination of the structural constants of the primary component crystals within the deep rock material. Furthermore, the variation rule of mechanical parameters, including elastic constants, for the primary components of deep-seated rock materials under different pressures was also investigated. The findings indicate a clear downward trend in the partial crystal structure parameters of deep-seated rock materials with increasing pressure. The primary components of each rock mass material display disparate compressibility properties in distinct directions when subjected to uniaxial compression. In conclusion, the anisotropic elastic properties of gypsum crystals, calcite crystals and quartz crystals under different pressures were investigated. The anisotropic cloud diagrams of bulk modulus, elastic modulus and shear modulus were presented for the three types of rock material at 0 MPa, 60 MPa and 120 MPa, respectively. In conclusion, we derived the theoretical equations for the elastic tensor matrix of composite materials using the principle of superposition. Furthermore, we studied and obtained the elastic tensor matrix for composite materials within the deep rock mass. These results provide essential theoretical guidance for the development of underground space and the analysis of deep rock dynamics.

1. Introduction

Deep tunneling is required to develop underground resources. In order to avoid geological disasters such as collapses in deep underground resource development, it is necessary to carry out research on rock dynamics modeling of the deep tunnel. The elastic properties of deep rock composites are the basis of rock dynamics modeling. It is also the key to developing rock mass engineering and structural stability research. Hao Jiawang studied the mechanical properties of slurry-filled rocks with granite as the object. The results clearly demonstrate that the strength of slurry-filled rocks is significantly higher than that of unfilled fissure rocks and lower than that of intact rocks. The modulus of elasticity of the slurry-filled rocks is a function of time [1].
The deep rock mass is mainly composed of calcite, gypsum and quartz. Therefore, the elastic properties of the rock mass are significantly influenced by the elastic properties of calcite, gypsum and quartz. Albert proposed a new analytical method, the Maxwell homogenization method, to study the multiphase composites of the calcite matrix. The effective volume and shear modulus of such multiphase composites were calculated and expressed as a function of the total porosity. His results demonstrated a high degree of correlation with the experimental data [2].
In addition to experimental tests, other theoretical calculation methods, such as the first principle of calculation method, molecular dynamics method and Monte Carlo method can also be utilized to study the elastic properties of rock masses. The advent of quantum mechanics has prompted numerous scholars to employ the first principles in their theoretical investigations into the physicochemical properties of materials. Choah Kwon used first principles-based phonon calculations to study the energy transport problem of SnO2 xNx. By comparing the contributions of small group velocity and phonon energy under different vibration modes, the comprehensive results explained the energy transport changes in SnO2 xNx with an increasing N concentration [3]. Etienne Balan used the first principles method to study the mechanical and thermodynamic properties of different CaCO3 materials and to calculate the physical properties of the materials [4]. As a consequence of the exponential growth in computing power, a number of software companies have developed first principles calculation software, which has the potential to accelerate materials research at a hitherto unparalleled pace. At present, the more popular first principles calculation programs on the market are VASP and CASTEP software packages. Weck used VASP software to study the free energy, entropy and specific heat capacity of gypsum stone and other materials, such as the physical properties of the parameters [5]. Myvizhi and Ghaleb studied the optical properties and other physical properties of MgO nanocrystals and sphalerite using the CASTEP calculation program [6,7]. In the initial stages of research, the majority of scholars have employed fundamental principles to examine the physicochemical characteristics of materials, including free energy, entropy and enthalpy. With the deepening of the research, some scholars have begun to use the first principles to study the mechanical properties of materials such as elastic constants, etc. Liu et al. employed first principles to investigate the elastic constants and thermodynamic properties of AgY and CuY, obtaining the trends of thermodynamic parameters under varying pressures [8]. D.V. Korabel’nikov used the first principles method to study the structure, elastic constants, vibrational energy states and other physical properties of gypsum [9]. However, the research paper did not set out any particular conditions for the study, nor did it provide any specific matrix elements of the elastic constants.
As a consequence of the elevated pressure, the distance between the molecules and atoms of an object undergoes a modification. Furthermore, the spatial orbital distribution of electrons and other factors give rise to a transformation in the crystal structure, which, in turn, affects the physical and chemical properties of the crystal. A large number of studies have shown that the physical property parameters of materials are different under different pressures [10,11]. Zeng [12] used first principles to study the elastic constants of γ1-Ti4Nb3Al9 under different pressures. Wang [13] used first principles to study the elastic constants of Ti3AlC2 under different pressures. Romero [14] studied the elastic constants of Nb2SnC under different pressures using the first principles too. The deep rock mass is in a high-pressure environment, so its elastic property is different from that of rock mass material under normal pressure.
There also are many theoretical and experimental studies about elastic constants of composite materials. Venetis established an approximate equation model for the elastic constants of fiber-reinforced composites by assuming that the fibers are transverse-isotropic [15]. In a study conducted by HAO and Deng et al., the variations in the elastic constants of braided structural elements were examined with regards to the angle of braiding and other braided parameters. The investigation employed cylindrical three-dimensional multi-directional braided bodies as the primary subject matter [16,17]. In order to evaluate the elastic properties of laminated metal composites, Cui et al. employed ultrasonic waveguide propagation characteristics [18]. However, these works are based on the macrostructure of composite materials, and most of them are isotropic [19,20]. There is a certain deviation from the actual composite materials.
In this paper, the crystal structure, elastic constants and other mechanical properties of gypsum, calcite and quartz, which are the primary components of deep rock materials, are investigated by the first principles method. The variation patterns of the mechanical parameters are also examined for the primary components of deep rock materials across various pressure conditions. Finally, the theoretical formula for calculating the elastic tensor of composite materials is derived from a microscopic analysis of the crystal structure by utilizing the superposition principle. This provides a valuable reference point for the advancement of underground space and the study of deep rock dynamics.

2. Theory and Methodology

The determination of the mechanical property parameters for a substance primarily relies on the constitutive equation of the elastic mechanics and the theory of elastic deformation energy, assuming a small strain in the microelement of the object. On the basis of this deformation, the deformation energy of the microelement is calculated through the deformation, so as to obtain the elastic constant of the substance. From the generalized Hooke’s law for any substance, we have
σ i j = C i j k l ε k l
where σij is the stress tensor, Cijkl is the elasticity tensor and εkl is the strain tensor.
Based on the symmetry of the stress and strain tensors, Equation (1) can be simplified as follows:
σ i = C i j ε j ( i , j = 1 ,   2 ,   3 ,   4 ,   5 ,   6 )
where Cij is a 6 × 6 square matrix. Due to the symmetry of the elastic tensor, it has 21 independent elastic constants.
In accordance with the theory of elasticity, the strain energy derived from the deformation of an object is
U = V 2 σ i ε i
From this, by substituting Equation (2) into Equation (3) for differentiation, the elastic constants of the substances can be obtained as follows:
C i j = 1 V U ε i ε j
The three-dimensional spatial modeling of the crystals, comprising the primary components of the rock composites, was established by analyzing its structure. The number of independent elastic constants in the elastic tensor of a single crystal cell can be determined on the basis of the symmetry of the crystal structure of the primary components of the deep rock mass composite material. The deformation energies of the crystals were obtained by applying different strain modes to the crystal model. The elasticity tensor matrix of the crystal can be solved by establishing a system of equations that describes the relationship between strain energy and strain for different modes. The first principles is used to calculate the crystal deformation energy. The Hamiltonian within the Schrödinger equation is derived from the summation of electronic energies inherent to the crystalline structure. The electron energy is calculated using a Kohn–Sham equation, with the exchange–correlation energy determined by the PW91 method, which employs a generalized gradient approximation. An initial potential energy is given to the electronic state first. The wave function of the electronic state is determined in accordance with the principles of density functional theory. Thereafter, the Kohn–Sham equation is solved further in order to obtain the new potential function. It is possible to define the iteration error for each parameter, thereby enabling the iterative calculation to be terminated in accordance with the desired level of precision for the self-consistent field function. Finally, the deformation energy of the crystal is obtained.
CASTEP is a software package that employs first principles computation with quantum mechanics and is grounded in density functional theory for Materials Studio (MS). It features a simple interface that enables rapid model construction, parameter configuration and results analysis. The software package is mainly used for the research and design of materials such as metals, semiconductors, ceramics and low-dimensional materials. By understanding the crystal structure, atom type and atomic count in the material, one can analyze its properties using the pseudopotential plane wave method.
In the present study, the electron potential energy is approximated by an ultrasoft pseudopotential, while the exchange–correlation energy is approximated by the PW91 approximation of the generalized gradient approximation (GGA). The truncation energy of the plane wave function is set at 400 eV, and the convergence criterion of the self-consistent interruption of the electrons is 10−6 eV/atom. The k-point sampling cell in the Brillouin zone is 4 × 4 × 4. The hydrostatic pressures are taken from 0 to 120 MPa, and six points are taken separately, each of which is optimized by the optimization of the structure. The threshold value of the structure optimization for the atomic force is 0.01 eV/Å. The convergence parameters are presented in Table 1, which can be found below.

3. Results and Discussion

3.1. Study of the Elastic Properties of Gypsum Stones

A three-dimensional spatial model of gypsum crystals is established by taking the independent crystals of gypsum as objects (Figure 1). Since gypsum crystals are orthorhombic, there are nine independent elastic constants in the elasticity tensor matrix. The deformation energy of the crystal was obtained by applying nine different strain modes to the crystal model. The elasticity tensor matrix of the crystal can be solved by means of a set of equations that relate the strain energy and strain of the nine modes. The first principles is used to determine the deformation energy of the crystal. Other parameters are determined according to the methods described in Section 2, such as the value of the Hamiltonian in a Schrödinger equation, the electron energy, the wave function of the electronic state, the convergence criterion in numerical calculation, etc.
Zeng [21] et al. employed the first principles method and utilized Castep program to deeply explore the variation laws of the physical properties of gypsum crystal with pressure, such as structure parameters and elastic constants. The research results indicate that, as the pressure increases, the lattice constants demonstrate a decreasing trend. Meanwhile, the bulk modulus and Poisson’s ratio of gypsum crystals increase slowly with the increasing pressure.
To express the elastic properties of gypsum crystal anisotropy more directly, the elastic modulus, bulk modulus and shear modulus are represented in the form of vector r. The length of vector r indicates the value of the modulus. The ends of the vector r in all directions of the entire spatial position are connected to form a modulus surface. The modulus values are colored at the corresponding positions, thereby forming a modulus space surface diagram. Subsequently, the surface diagram of the modulus space is projected onto three coordinate planes. Then, the corresponding projection diagram is obtained. Figure 2 shows the distribution of the bulk, elastic and shear moduli of gypsum crystals at 0 MPa, 60 MPa and 120 MPa in all directions.
It can be observed from Figure 2 that the volume modulus, elastic modulus and shear modulus of gypsum crystal exhibit little variance in each direction, ranging from 140 GPa to 190 GPa. The minimum color values are observed at the poles of the sphere, specifically at the top and bottom, which correspond to the negative and positive z-directions, respectively. The maximum value emerges in the plane z = 0. It is indicated by analyzing the three projections that the horizontal projection is approximately circular, which suggests that the gypsum crystal exhibits isotropy in the plane perpendicular to the z-axis. The projections on the other two sides tend to be more elliptical. It is suggested that gypsum crystal has distinct compressible properties in the z-direction compared to the other two directions.
To further elaborate on its anisotropic characteristics, the position of the boundary point of color change is identified in the YOZ plane projection map, namely the position where the modulus value amounts to 65% of the maximum value. This position can reveal the distribution of the proportion of the large modulus area in the entire region. The results indicate that the boundary point is at z = 0.164Zmax in the volume modulus maps under 0 MPa and 60 MPa, while the boundary point is at z = 0.199Zmax in the other modulus cloud maps. It is suggested that the compressibility of the gypsum crystal in the z-direction is relatively poor at 0 MPa and 60 MPa. The modulus surface plot was sectioned along the XOZ plane, and the modulus distribution along the profile circumference was examined. It was found that the maximum modulus points were all on the horizontal plane, and the maximum volume modulus values at 0 MPa and 60 MPa were 179.9 GPa and 182.97 GPa, respectively. The maximum value of the elastic modulus and bulk modulus was approximately 182.7 GPa. The modulus values exhibit minor variations among different directions. It is indicated that the compressibility of gypsum crystals is generally consistent across all directions.

3.2. Study of the Elastic Properties of Calcite

Using the same method as Zeng [21], the mechanical properties of calcite can be obtained. Firstly, a spatial structure model of calcite single crystal is established, and the geometrical structure is optimized. Finally, the same convergence parameters are set, and the elastic constants of the calcite structure are calculated to study the relevant elastic property parameters.

3.2.1. Cell Properties of Calcite Crystal at 0 MPa Pressure

Figure 3 shows the spatial distribution of atoms in calcite crystals at 0 MPa pressure, with a total of 30 atoms in one crystal package. Table 2 shows the lattice parameters of calcite.
Calculating the elasticity tensor, we obtain the following results (GPa).
145.523455.5778251.23735016.704480
55.57782143.939251.019690−16.79660
51.2373551.0196981.96195000
00033.077550−17.1516
16.70448−16.79660032.66950
000−17.1516044.40095
According to the free energy criterion of thermodynamic equilibrium criterion in the thermodynamic system, the free energy of the equilibrium state is minimized for all possible variations of the system at the constant temperature, volume and number of particles. Therefore, upon application of a small positive strain, the system’s free energy increases. It is stable. Conversely, when the system’s free energy decreases with any small positive strain, it is unstable. The increase in free energy of the system at any small strain is equivalent to the strain energy, as dictated by the law of conservation of energy.
When the elasticity tensor matrix is positive, the system exhibits positive strain energy and a positive increment in free energy at any small strain, indicating its stability. On the contrary, when the elasticity tensor matrix is not positive, the system is unstable. Because the six eigenvalues are 20.677, 24.049, 47.702, 56.8, 97.77 and 234.573 of the elasticity tensor matrix of calcite crystals at 0 MPa, it can be determined that the elastic tensor matrix is positively definite, as confirmed by the positive definiteness conditions for real symmetric matrices. It can be obtained that the calcite is stable at 0 MPa.

3.2.2. Study of the Structure Parameters of Calcite Crystal Under Varying Pressure Conditions

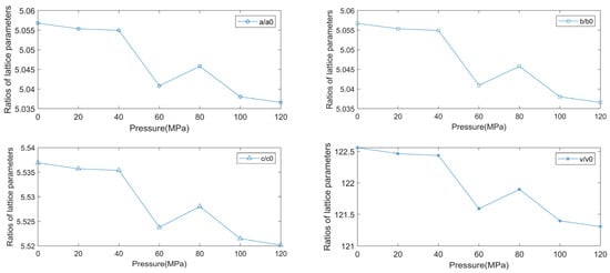
Table 3 gives the relationship of changes of the lattice parameters of calcite crystals under different pressures. From the table, it can be seen that the lattice constant c shows a decreasing tendency with increasing pressure, while the lattice constants a and b tend to be basically stabilized. That is the change rule of the compressibility of calcite crystals. Among them, there is a difference in the variation trend of parameters b/a and c/a. The b/a tends to be stable, while c/a shows a decreasing trend with the increasing pressure. It shows that the calcite crystals have better compressibility in the c direction than in the other directions. The density of the crystals decreases and then increases as the pressure increases, and it changes after 80 MPa. To illustrate the rule of variation of the lattice constant under pressure, the lattice parameters and the ratio of volume change of the crystal lattice under pressure are shown (Figure 4). As we see from the graph, the ratios of the lattice constants decrease with the increasing pressure, peaking at 60 MPa. The overall change is not very obvious. It shows incompressibility between 0 MPa and 80 MPa.

3.2.3. Study of Elastic Constants and Mechanical Properties of Calcite Crystals Under Varying Pressure Conditions

Table 4 shows the elasticity constants of calcite crystals at different pressures. It is possible that there is a certain deviation in the software iterative calculation, so the elastic constant does not change significantly under little changed loading. Zhao [22] calculated the elastic constant C11 of calcite to be 146.82 GPa using first principles. Thanh [23] experimentally tested the elastic constant of calcite and found that the elastic constant of calcite increased linearly with the increase of pressure below 1000 Mpa, and the experimental value was about 145.7 GPa under the pressure of 120 MPa. The calculated result of CASTEP software in this paper is 145.5 GPa, which is roughly similar to the result of Zhao and Thanh. Therefore, the calculation results of CASTEP software can be considered to be reliable.
From Table 4, it can be seen that all the elastic constants are different as the pressure varies. It is obvious that the constants C22 and C11 are much larger in comparison to C33. This indicates that calcite crystals are more easily compressed in the [001] direction than in the [100] and [010] directions. Similarly, the constants C44 and C55 are much smaller in comparison to C66. This shows that the shear deformation of calcite crystal in the [010] direction on the [100] plane is much smaller than that in the [100] and [010] directions on the [001] plane under the same pressure conditions. According to the mechanical stability criterion of the crystal, it can be seen that the calcite crystal satisfies the stability condition under the condition of 0~120 MPa.
A material’s physical properties depend on the orientation. Most materials exhibit a behavior of elastic anisotropy. The bulk modulus, elastic modulus, shear modulus and Poisson’s ratio are all directionally dependent. The uniaxial compressive bulk modulus along the b and c directions is.
B b = b d P d b = Δ σ Δ b / b = σ 2 ε 2 ,   B c = c d P d c = Δ σ Δ c / c = σ 3 ε 3
For the case of uniaxial compression, the crystal is subjected to a positive stress in one direction only, and the rest of the stress is 0. Then, a set of equations for the stress–strain relationship of the crystal can be obtained according to Hooke’s law as follows:
b   Direction .   { 0 = C 11 ε 1 + C 12 ε 2 + C 13 ε 3 + C 14 ε 4 + C 15 ε 5 + C 16 ε 6 σ 2 = C 12 ε 1 + C 22 ε 2 + C 23 ε 3 + C 24 ε 4 + C 25 ε 5 + C 26 ε 6 0 = C 13 ε 1 + C 23 ε 2 + C 33 ε 3 + C 34 ε 4 + C 35 ε 5 + C 36 ε 6 0 = C 14 ε 1 + C 24 ε 2 + C 34 ε 3 + C 44 ε 4 + C 45 ε 5 + C 46 ε 6 0 = C 15 ε 1 + C 25 ε 2 + C 35 ε 3 + C 45 ε 4 + C 55 ε 5 + C 56 ε 6 0 = C 16 ε 1 + C 26 ε 2 + C 36 ε 3 + C 46 ε 4 + C 56 ε 5 + C 66 ε 6
c   Direction .   { 0 = C 11 ε 1 + C 12 ε 2 + C 13 ε 3 + C 14 ε 4 + C 15 ε 5 + C 16 ε 6 0 = C 12 ε 1 + C 22 ε 2 + C 23 ε 3 + C 24 ε 4 + C 25 ε 5 + C 26 ε 6 σ 3 = C 13 ε 1 + C 23 ε 2 + C 33 ε 3 + C 34 ε 4 + C 35 ε 5 + C 36 ε 6 0 = C 14 ε 1 + C 24 ε 2 + C 34 ε 3 + C 44 ε 4 + C 45 ε 5 + C 46 ε 6 0 = C 15 ε 1 + C 23 ε 2 + C 35 ε 3 + C 45 ε 4 + C 55 ε 5 + C 56 ε 6 0 = C 16 ε 1 + C 26 ε 2 + C 36 ε 3 + C 46 ε 4 + C 56 ε 5 + C 66 ε 6
By solving Equations (6) and (7), the bulk modulus for uniaxial compression along the b and c directions is obtained.
Figure 5 shows the variation of the bulk modulus Bb and Bc with the pressure along the b and c directions of calcite crystals. As can be seen from the figure, the variation trends of Bb and Bc with pressure are consistent, and there is a weak upward trend with the increase of pressure. On the whole, the bulk modulus tends to stabilize.
Equations (8)–(10) are the calculation formula of the elastic modulus, shear modulus and bulk modulus in the direction [l1, l2, l3], where, [l1, l2, l3] is the cosine of the direction of vector diameter r. In order to visualize the anisotropic properties of the material, the elastic modulus, shear modulus and bulk modulus of the material in each direction are represented by cloud diagrams. The same methodology is utilized to construct the distribution of the modulus surface and the projection plane diagram, as shown in Figure 2. Figure 6 shows the distribution of the bulk modulus, elastic modulus and shear modulus of calcite crystals at 0 MPa, 60 MPa and 120 MPa in all the directions.
B 1 = ( S 11 + S 12 + S 13 ) l 1 2 + ( S 12 + S 22 + S 23 ) l 2 2 + ( S 13 + S 23 + S 33 ) l 3 2 + ( S 16 + S 26 + S 36 ) l 1 l 2 + ( S 15 + S 25 + S 35 ) l 1 l 3 + ( S 14 + S 24 + S 34 ) l 3 l 2
G 1 = 4 ( S 11 l 1 2 M 1 2 + S 22 l 2 2 M 2 2 + S 33 l 3 2 M 3 2 ) + S 44 ( l 2 M 3 + l 3 M 2 ) 2 + S 55 ( l 1 M 3 + l 3 M 1 ) 2 + S 66 ( l 1 M 2 + l 2 M 1 ) 2 + 8 ( S 12 l 1 l 2 M 1 M 2 + S 13 l 1 l 3 M 1 M 3 + S 23 l 3 l 2 M 3 M 2 ) + 4 l 1 M 1 [ S 14 ( l 2 M 3 + l 3 M 2 ) + S 15 ( l 1 M 3 + l 3 M 1 ) + S 16 ( l 1 M 2 + l 2 M 1 ) ] + 4 l 2 M 2 [ S 24 ( l 2 M 3 + l 3 M 2 ) + S 25 ( l 1 M 3 + l 3 M 1 ) + S 26 ( l 1 M 2 + l 2 M 1 ) ] + 4 l 3 M 3 [ S 34 ( l 2 M 3 + l 3 M 2 ) + S 35 ( l 1 M 3 + l 3 M 1 ) + S 36 ( l 1 M 2 + l 2 M 1 ) ] + 2 S 45 ( l 2 M 3 + l 3 M 2 ) ( l 1 M 3 + l 3 M 1 ) + 2 S 46 ( l 2 M 3 + l 3 M 2 ) ( l 1 M 2 + l 2 M 1 ) + 2 S 56 ( l 1 M 3 + l 3 M 1 ) ( l 1 M 2 + l 2 M 1 )
where { M 1 = cos θ cos ϕ cos ( 1 ) sin ϕ sin ( 1 ) M 2 = cos θ sin ϕ cos ( 1 ) + cos ϕ sin ( 1 ) M 3 = sin θ cos ( 1 ) , { l 1 = sin θ cos ϕ l 2 = sin θ sin ϕ l 3 = cos θ .
E 1 = S 11 l 1 4 + S 22 l 2 4 + S 33 l 3 4 + ( S 66 + 2 S 12 ) l 1 2 l 2 2 + ( S 44 + 2 S 23 ) l 3 2 l 2 2 + ( S 55 + 2 S 13 ) l 1 2 l 3 2 + 2 ( ( S 14 + S 56 ) l 1 2 + S 24 l 2 2 + S 34 l 3 2 ) l 2 l 3 + 2 ( S 15 l 1 2 + ( S 25 + S 46 ) l 2 2 + S 35 l 3 2 ) l 1 l 3 + 2 ( S 16 l 1 2 + S 26 l 2 2 + ( S 36 + S 45 ) l 3 2 ) l 2 l 3
In the above equation, B represents the bulk modulus, G represents the shear modulus, E represents the modulus of elasticity and S represents the flexibility tensor.
Figure 6 demonstrates significant variations in the volume modulus, elastic modulus and shear modulus of calcite crystals across different directions, with values ranging from 140 GPa to 360 GPa. The minimum color values are observed at the poles of the sphere, specifically at the top and bottom, which correspond to the negative and positive z-directions, respectively. The maximum value emerges in the plane z = 0. It is indicated by analyzing the three projections that the horizontal projection is approximately circular, which suggests that the calcite crystal exhibits isotropy in the plane perpendicular to the z-axis. The projections on the other two sides tend to be more elliptical. It is suggested that the calcite crystal has distinct compressible properties in the z-direction compared to the other two directions.
To further elaborate on its anisotropic characteristics, the position of the boundary point of color change is identified in the YOZ plane projection map, namely the position where the modulus value amounts to 65% of the maximum value. This position can reveal the distribution of the proportion of the large modulus area in the entire region. The results indicate that the boundary point is at z = 0.192Zmax in all the modulus cloud maps. This suggests that the anisotropy exhibited by calcite crystals is particularly notable. The modulus surface plot was sectioned along the XOZ plane, and the distribution of the modulus along the circumference of the profile was analyzed. It was found that the maximum modulus points were all on the horizontal plane, and the maximum volume modulus values at 0 MPa and 60 MPa were 368.4 GPa and 358.8 GPa, respectively. The maximum values of the elastic modulus and bulk modulus were approximately 361.9 GPa. The modulus values exhibited significant variations among different directions. It is suggested that the compressibility of calcite crystals exhibits significant anisotropy, and the z-direction is the easiest to compress.

3.3. Study of the Elastic Properties of Quartz Crystals

The elastic properties of quartz can be obtained by the same method. Firstly, the spatial structure model of quartz single crystal is established, and the geometrical structure is optimized. Ultimately, identical convergence parameters were utilized to compute the elastic constants of the quartz structure and to investigate pertinent elastic property parameters.

3.3.1. Cell Properties of Quartz Crystal at 0 MPa Pressure

Figure 7 shows the spatial distribution of atoms in quartz crystals at 0 MPa pressure, with a total of nine atoms in one crystal package. Table 5 shows the quartz lattice parameters.
By means of a calculation, we obtain the elasticity tensor matrix of the quartz crystal as follows (GPa):
108.2473−3.1033320.98944−14.5101−6.670024.87195
−3.1033399.2301715.91346−11.803321.373364.97065
20.9894415.9134699.10938−13.83657.826855.54064
−14.5101−11.8033−13.836553.4771−6.4027512.95256
−6.6700221.373367.82685−6.4027546.233881.35581
4.871954.970655.5406412.952561.3558153.02412
Similarly, the elasticity tensor matrix of quartz crystals at 0 MPa is found to be positive-definite by the positive characterization of the elasticity tensor matrix. It can be concluded that the quartz crystal is stable at 0 MPa.

3.3.2. Study of the Structure Parameters of Quartz Crystal Under Varying Pressure Conditions

Table 6 gives the relationship of the changes of the lattice parameters of quartz crystals under different pressures. From the table, it can be seen that the lattice constant shows a decreasing trend with the increase in pressure, which indicates the change rule of compressibility of quartz crystal. Among them, the parameters b/a and c/a basically tend to be stable at 1. It is indicated that the compressibility of quartz crystals is basically consistent in all directions. As the pressure increases, the density of the crystals gradually increases. For a more detailed description of the lattice constants under pressure, the lattice parameters and the volume change ratio of the crystal lattice under pressure are shown (Figure 8). From the figure, it can be seen that the ratio of the lattice constant in each direction shows a downward trend with the increase in pressure.

3.3.3. Study of the Elastic Constants and Mechanical Properties of Quartz Crystals Under Varying Pressure Conditions

Table 7 shows the elasticity constants of quartz crystals at different pressures. The elastic constants show a tendency to increase and then decrease with increasing pressure. From Table 7, it can be seen that all the elasticity constants are different as the pressure varies. It is obvious that the constants C33 and C22 are much smaller in comparison to C11. This indicates that the quartz crystal is more difficult to compress in the [100] direction than in the [010] and [001] directions. Similarly, the constants C44 and C66 are much greater in comparison to C55. This shows that the shear deformation of quartz crystal in the [001] direction on the [100] plane is much greater than that in the [100] and [001] directions on the [010] plane under the same pressure condition. According to the mechanical stability criterion, it can be seen that the quartz crystals satisfy the stability condition under 0–120 MPa.
Similarly, the bulk moduli Bb and Bc of the quartz crystal in the b and c directions can be solved. Figure 9 shows the variation of the bulk modulus of the quartz crystal along the b and c directions with the pressure. As can be seen from the figure, Bb and Bc have the same trend with the pressure. The bulk modulus tends to decrease gradually with the increase of the pressure, and the bulk modulus tends to stabilize after 40 MPa.
Similarly, the elasticity modulus, shear modulus and bulk modulus of the quartz crystal can be obtained according to Equations (8)–(10). In order to visualize the anisotropic properties of the material, the elastic modulus, shear modulus and bulk modulus of the material in each direction are represented by cloud diagrams. The same methodology is utilized to construct the distribution of the modulus surface and the projection plane diagram, as shown in Figure 2. Figure 10 shows the distribution of the bulk modulus, elastic modulus and shear modulus of quartz crystals at 0 MPa, 60 MPa and 120 MPa in all directions.
Figure 10 illustrates significant variations in the volume modulus with respect to pressure. The volume modulus varies between approximately 80 GPa and 180 GPa in all directions at 0 Mpa, and the bulk modulus ranges from approximately 10 GPa to 50 GPa at 60 MPa and 120 MPa. The elastic and shear moduli in all the directions exhibit a variation in values ranging from 10 GPa to 50 GPa under various pressures. The direction of the maximum compressibility is not aligned with the z-direction but rather at a specific tilt angle relative to it. Consequently, the maximum modulus value occurs in the plane perpendicular to the direction of maximum compressibility. Therefore, the quartz crystal exhibits isotropic properties.
To further elaborate on its anisotropic characteristics, the modulus surface plot was sectioned along the YOZ plane, and the distribution of the modulus along the circumference of the profile was analyzed. It was found that the maximum modulus point was located in the lower right corner, and the maximum volume modulus values at 0 MPa and 60 MPa were 182.4 GPa and 38.9 GPa, respectively. The maximum value of the elastic modulus and bulk modulus was approximately 48.5 GPa. The modulus values exhibited significant variations among different directions. It is suggested that the compressibility of quartz crystals exhibits significant anisotropy, and the compressibility is best in the direction of a certain inclination angle to the z-direction.

3.4. Comprehensive Elastic Properties of the Rock Mass at Depth

The elastic properties of a deep rock mass can be obtained by superimposing the elastic properties of each major component of the rock mass. To take one-dimensional uniaxial stretching as an example, as shown in Figure 11, the specimen consists of components A and B. The length of component A is l1, and the modulus of elasticity is C1. The amount of elongation is ∆l1 under the action of tensile stress σ. The length of component B is l2, and the modulus of elasticity is C2. The amount of elongation is ∆l2 under the action of tensile stress σ. The two components were separated by Hooke’s law as follows:
{ ε 1 = Δ l 1 l 1 = σ C 1 ε 2 = Δ l 2 l 2 = σ C 2
The total deformation of the specimen is
Δ l = Δ l 1 + Δ l 2
Substituting Equation (12) into Equation (11), the total modulus of elasticity of the specimen can be obtained according to Hooke’s law as follows:
C 1 = ε σ = Δ l / l σ = Δ l l σ = Δ l 1 + Δ l 2 l σ = Δ l 1 l σ + Δ l 2 l σ = l 1 l ε 1 σ + l 2 l ε 2 σ = l 1 l C 1 1 + l 2 l C 2 1
Supposing that n1 and n2 are the volume fractions of components A and B in the specimen, respectively, the above equations are simplified to follows the style
C 1 = n 1 C 1 1 + n 2 C 2 1
Similarly, generalizing to the three-dimensional case, if the elasticity tensor of the two component substances are C(1) and C(2), respectively, then the elasticity tensor of their synthetic material satisfies the following formula:
C 1 = n 1 [ C ( 1 ) ] 1 + n 2 [ C ( 2 ) ] 1
If the principal coordinates directions of C(1) and C(2) are different, they must be converted to the same principal direction before the superposition calculation.
Set the principal directions of the coordinates of C(1) as xi (i = 1, 2, 3), the principal directions of the coordinates of C(2) as xj (j = 1, 2, 3), aij as the coordinate transformation matrix from coordinates xj to xi, then
x i = a i j x j
From this, the transformation relation for the elasticity tensor is obtained.
C i j k l = a i p a j q a k r a l s C p q r s
As a result, Equation (15) can be transformed as follows:
C i j k l 1 = n 1 [ C i j k l ( 1 ) ] 1 + n 2 [ a i p a j q a k r a l s C p q r s ( 2 ) ] 1
The above is the elasticity tensor of two substances’ composite. Similarly, it can be generalized to obtain the elasticity tensor of the composite material composed of N substances. Assuming that the C p q r s ( x ) is the elastic tensor of a substance x, a i j ( x ) is the coordinate transformation matrix from local coordinate to world coordinate and nx is the volume fraction in the composite substance, then the elasticity tensor of this composite is as follows:
C i j k l 1 = x = 1 N n x [ a i p ( x ) a j q ( x ) a k r ( x ) a l s ( x ) C p q r s ( x ) ] 1
The primary components of the deep rock are calcite, calcite and quartz. Assuming that the composition ratio is 1:1:1 and that the crystal coordinate system is the same as shown in Figure 1, Figure 3 and Figure 7, respectively, and that they are combined in the same direction to form a composite material, the combined elasticity tensor of the deep rock mass can be obtained as follows:
C 1 = 1 3 [ C ( 1 ) ] 1 + 1 3 [ C ( 2 ) ] 1 + 1 3 [ C ( 3 ) ] 1
The elastic tensor of calcite stone crystal C(1) at 120 MPa was theoretically calculated as follows:
110.87532.2239433.48041000(21)
32.22394140.375911.53078000
33.4804111.53078105.7645000
00014.6805300
000031.295380
0000034.89729
The elastic tensor of calcite crystal C(2) at 120 MPa was theoretically calculated to be
145.504355.1605250.85573016.862450(22)
55.16052145.964250.883690−16.55670
50.8557350.8836981.74269000
00032.831790−16.8716
16.86245−16.55670032.94560
000−16.8716044.27905
Similarly, the elastic tensor of a quartz crystal C(3) at 120 MPa can be obtained as follows:
78.41411−23.6173−5.87029−9.08873−8.412452.42937(23)
−23.617374.29796−9.90877−14.018422.5144.65557
−5.87029−9.9087771.57711−15.71449.613235.61782
−9.08873−14.0184−15.714443.4652110.2560719.81891
−8.4124522.5149.6132310.2560753.23236−3.99364
2.429374.655575.6178219.81891−3.9936448.07821
Since the hydrostatic pressure of the deep rock mass is about 120 MPa, the elasticity tensor of the deep rock mass can be obtained by substituting Equations (21)–(23) into (20) as follows:
83.26343−6.803796.278942−6.477519.6596196.570235(24)
−6.8037969.8005−8.55438−10.83124.65427411.28969
6.278942−8.5543863.37317−7.963836.9385138.342635
−6.47751−10.8312−7.9638320.967962.9903560.710111
9.6596194.6542746.9385132.99035632.29515−3.21527
6.57023511.289698.3426350.710111−3.2152734.91624

4. Conclusions

This paper analyzes the structure of a deep rock mass, which is mainly composed of calcite, calcite and quartz. The spatial three-dimensional structure of calcite crystals is determined by analyzing the crystal structure of calcite. The first principles method was used to study the variation rules of the lattice parameters, elastic modulus, bulk modulus, shear modulus and anisotropic characteristics of calcite under different pressures. The same method was used to study the mechanical properties of calcite and quartz, such as elastic constants. The results show that the crystal structure parameters of the deep rock materials show an overall decreasing trend with the increase in pressure. Under uniaxial compression, the bulk modulus of calcite crystal along the directions of [100] and [001] tends to increase gradually with the increase in pressure; the bulk modulus of calcite crystal along the directions of [010] and [001] tends to be stabilized with the increase in pressure and the bulk modulus of quartz crystal along the directions of [010] and [001] tends to decrease with the increase in pressure. This reflects that different crystalline materials have different compressible properties. Finally, the anisotropic mechanical properties of calcite crystals and quartz crystals under different pressures were investigated, and the anisotropic cloud diagrams of the bulk modulus, elastic modulus and shear modulus were presented for the three kinds of rock materials at 0 MPa, 60 MPa and 120 MPa, respectively. Gypsum displays weak isotropy, while calcite exhibits optimal compressibility along the z-axis. Quartz, however, demonstrates superior compressibility along the z-axis at a specific angle. Finally, the theoretical calculation formula of the elastic tensor of composite materials is derived from a microscopic perspective on crystal structure, in conjunction with the superposition principles method. The elasticity tensor matrix of deep rock composites was studied and obtained as Formula (24).

Author Contributions

Conceptualization, X.Z. and L.L.; methodology, X.Z.; software, S.L.; data curation, L.L.; writing—original draft preparation, L.L.; writing—review and editing, X.Z.; supervision, Y.T.; project administration, X.Z.; formal analysis, Q.X. All authors have read and agreed to the published version of the manuscript.

Funding

This research received no external funding.

Data Availability Statement

The original contributions presented in this study are included in the article. Further inquiries can be directed to the corresponding authors.

Conflicts of Interest

The authors declare no conflicts of interest.

References

  1. Hao, J.; Li, Z.; Yang, M.; Chen, H. Experimental study on effect of consolidation process of filling slurry on mechanical properties of fractured rock. Ind. Miner. Process. 2019, 48, 10–14. [Google Scholar]
  2. Giraud, A.; Sevostianov, I. Micromechanical modeling of the effective elastic properties of oolitic limeston. Int. J. Rock Mech. Min. Sci. 2013, 62, 23–27. [Google Scholar] [CrossRef]
  3. Kwon, C.; Kim, H.; Lee, H.; Kim, S. First-principles study of energy transport in tin oxynitride lattice. J. Korean Phys. Soc. 2023, 82, 267–273. [Google Scholar] [CrossRef]
  4. Balan, E.; Blanchard, M.; Pinilla, C.; Lazzeri, M. First-principles modeling of sulfate incorporation and 34S/32S isotopic fractionation in different calcium carbonates. Chem. Geol. 2014, 374, 84–91. [Google Scholar] [CrossRef]
  5. Weck, P.F.; Kim, E.; Jové-Colón, C.F.; Sassani, D.C. First-principles study of anhydrite, polyhalite and carnallite. Chem. Phys. Lett. 2014, 594, 1–5. [Google Scholar] [CrossRef]
  6. Myvizhi, M.; Kumar, K.S.; Kavitha, P.R.; Selvakumar, P. Structure and opto-electronic properties of MgO nanocrystals calculated by GGA approximation. J. Ovonic Res. 2023, 19, 265–273. [Google Scholar] [CrossRef]
  7. Ghaleb, A.M.; Ahmed, A.Q. Structural, electronic, and optical properties of sphalerite ZnS compounds calculated using density functional theory (DFT). Chalcogenide Lett. 2022, 19, 309–318. [Google Scholar] [CrossRef]
  8. Liu, L.; Chen, C.; Xu, G.; Jiang, Y.; Wen, Y.; Zeng, X. Elastic constants and thermodynamic properties of AgY and CuY compounds under pressure and temperature effects. High Temp.-High Press. 2021, 50, 185–195. [Google Scholar] [CrossRef]
  9. Korabel’nikov, D.V.; Zhuravlev, Y.N. Structural, elastic, electronic and vibrational properties of a series of sulfates from first principles calculations. J. Phys. Chem. Solids 2018, 119, 114–121. [Google Scholar] [CrossRef]
  10. Argaman, U.; Makov, G. First-principles study of the temperature dependence of the elastic constants of titanium. Comput. Mater. Sci. 2020, 184, 109917. [Google Scholar] [CrossRef]
  11. Bootchanont, A.; Phacheerak, K.; Fongkaew, I.; Limpijumnong, S.; Sailuam, W. The pressure effect on the structural, elastic, and mechanical properties of orthorhombic MgSiN2 from first-principles calculations. Solid State Commun. 2021, 336, 114318. [Google Scholar] [CrossRef]
  12. Zeng, X.; Peng, R.; Yu, Y.; Hu, Z.; Wen, Y.; Song, L. First-Principles Calculations on Structural Property and Anisotropic Elasticity of γ1-Ti4Nb3Al9 under Pressure. Materials 2018, 11, 2025. [Google Scholar] [CrossRef] [PubMed]
  13. Wang, M.; Li, B. First-principles prediction of structural, elastic, and mechanical properties of Ti3AlC2 under pressure. Russ. J. Phys. Chem. A 2023, 97, 2470–2476. [Google Scholar] [CrossRef]
  14. Romero, M.; Escamilla, R. First-principles calculations of structural, elastic and electronic properties of nb2snc under pressure. Comput. Mater. Sci. 2012, 55, 142–146. [Google Scholar] [CrossRef]
  15. Venetis, J.; Sideridis, E. Elastic constants of fibrous polymer composite materials reinforced with transversely isotropic fibers. AIP Adv. 2015, 5, 037118. [Google Scholar] [CrossRef]
  16. Hao, W.; Liu, Y.; Huang, X.; Liu, Y.; Zhu, J. A unit-cell model for predicting the elastic constants of 3d four directional cylindrical braided composite shafts. Appl. Compos. Mater. 2018, 25, 619–633. [Google Scholar] [CrossRef]
  17. Dong, A.; Li, S.; Zhu, W. Investigation of elastic parameters of three-dimensional full five-directional braided composite materials. Iran. J. Sci. Technol. Trans. Mech. Eng. 2020, 44, 119–128. [Google Scholar] [CrossRef]
  18. Cui, R.; Lanza di Scalea, F. Identification of elastic properties of composites by inversion of ultrasonic guided wave data. Exp. Mech. 2021, 61, 803–816. [Google Scholar] [CrossRef]
  19. Wu, Y.; Li, L.; Li, L. Study on the effective elastic performance of composites containing decagonal symmetric two-dimensional quasicrystal coatings. Appl. Math. Mech. 2024, 45, 1655–1664. [Google Scholar] [CrossRef]
  20. Sun, W. Determination of elastic moduli of composite medium containing bimaterial matrix and non-uniform inclusion concentrations. Appl. Math. Mech. (Engl. Ed.) 2017, 38, 15–28. [Google Scholar] [CrossRef]
  21. Zeng, X.; You, S.; Li, L.; Lai, Z.; Hu, G.; Zhang, W.; Xie, Y. Research on Mechanical Properties of High-Pressure Anhydrite Based on First Principles. Crystals 2020, 10, 240. [Google Scholar] [CrossRef]
  22. Zhao, J.; Zhou, B.; Liu, B.; Guo, W. Elasticity of Single-Crystal Calcite by First-Principles Calculations. J. Comput. Theor. Nanosci. 2009, 6, 1181–1188. [Google Scholar] [CrossRef]
  23. DThanh, D.V.; Lacam, A. Experimental study of the elasticity of single crystalline calcite under high pressure (the calcite I-calcite II transition at 14.6 kbar). Phys. Earth Planet. Inter. 1984, 34, 195–203. [Google Scholar]
Figure 1. Spatial distribution of atoms in gypsum single crystal packages (the A, B, C and O represent the vectors of lattice parameters).
Figure 1. Spatial distribution of atoms in gypsum single crystal packages (the A, B, C and O represent the vectors of lattice parameters).
Crystals 14 01059 g001
Figure 2. Plots of the bulk modulus, elastic modulus and shear modulus of gypsum crystals at 0 MPa, 60 MPa and 120 MPa, respectively.
Figure 2. Plots of the bulk modulus, elastic modulus and shear modulus of gypsum crystals at 0 MPa, 60 MPa and 120 MPa, respectively.
Crystals 14 01059 g002
Figure 3. Spatial distribution of atoms in calcite single crystal packages.
Figure 3. Spatial distribution of atoms in calcite single crystal packages.
Crystals 14 01059 g003
Figure 4. Calcite crystal lattice constants and volume ratios as a function of pressure.
Figure 4. Calcite crystal lattice constants and volume ratios as a function of pressure.
Crystals 14 01059 g004
Figure 5. Variation of the bulk modulus with pressure along the main axis direction of b and c under uniaxial compression.
Figure 5. Variation of the bulk modulus with pressure along the main axis direction of b and c under uniaxial compression.
Crystals 14 01059 g005
Figure 6. Cloud chart of the bulk modulus, elastic modulus and shear modulus of calcite crystals at 0 MPa, 60 Mpa and 120 Mpa, respectively.
Figure 6. Cloud chart of the bulk modulus, elastic modulus and shear modulus of calcite crystals at 0 MPa, 60 Mpa and 120 Mpa, respectively.
Crystals 14 01059 g006
Figure 7. Spatial distribution of atoms in quartz single-crystal packages (the A, B, C and O represent the vectors of lattice parameters).
Figure 7. Spatial distribution of atoms in quartz single-crystal packages (the A, B, C and O represent the vectors of lattice parameters).
Crystals 14 01059 g007
Figure 8. Quartz crystal lattice constants and volume ratios as a function of pressure.
Figure 8. Quartz crystal lattice constants and volume ratios as a function of pressure.
Crystals 14 01059 g008
Figure 9. Variation of the bulk modulus with pressure various along the b and c axis direction under uniaxial compression.
Figure 9. Variation of the bulk modulus with pressure various along the b and c axis direction under uniaxial compression.
Crystals 14 01059 g009
Figure 10. Nephogram of the bulk modulus, elastic modulus and shear modulus of quartz crystals at 0 MPa, 60 Mpa and 120 Mpa, respectively.
Figure 10. Nephogram of the bulk modulus, elastic modulus and shear modulus of quartz crystals at 0 MPa, 60 Mpa and 120 Mpa, respectively.
Crystals 14 01059 g010
Figure 11. Schematic diagram of uniaxial stretching of composite A and B.
Figure 11. Schematic diagram of uniaxial stretching of composite A and B.
Crystals 14 01059 g011
Table 1. Values of the convergence thresholds for each parameter.
Table 1. Values of the convergence thresholds for each parameter.
TaskGeometry OptimizationElastic Constants
Energy (eV/atom)1 × 10−52 × 10−7
Max. force (eV/Å)0.030.004
Max. stress (GPa)0.0008
Max. displacement (Å)0.00010.00003
Table 2. Calcite cell lattice parameters.
Table 2. Calcite cell lattice parameters.
Lattice Para.Value (Å)Cell AngleValue (°)
a5.048α90
b5.048β90
c17.224γ120
Table 3. Lattice parameters and density of calcite crystals at various pressures.
Table 3. Lattice parameters and density of calcite crystals at various pressures.
P (Mpa)a (Å)b (Å)c (Å)b/ac/aV3)ρ (g/cm3)
05.0481445.04814417.22440113.41202648380.1353432.623276303
205.0492925.04929217.22177613.41073085380.2127022.622742565
405.0489225.04892217.21824613.41028164380.0768852.623679778
605.0532895.05328917.26073913.41574349381.6880462.612604843
805.0483985.04839917.21243313.40948416379.8680572.625122115
1005.0479895.04798917.21057113.40939154379.767462.625817487
1205.0476895.04768817.20777313.40903986379.6577852.626576029
Table 4. Partial elastic constants of calcite crystals at various pressures (GPa).
Table 4. Partial elastic constants of calcite crystals at various pressures (GPa).
P (MPa)C11C12C13C22C23C33C44C55C66
0145.523455.577851.2374143.939251.019781.962033.077632.669544.4010
20145.049554.949551.5679144.301251.501581.646433.118433.065245.0893
40145.821555.297351.2995145.120051.331681.448033.277433.260144.9725
60143.940554.444150.0984144.410350.034380.684732.646432.772145.0630
80145.588455.721550.9896144.984251.295481.962032.804033.009344.4084
100145.445855.717650.8724145.005750.894981.811632.688632.908144.5532
120145.504355.160550.8557145.964250.883781.742732.831832.945644.2791
Table 5. Quartz cell lattice parameters.
Table 5. Quartz cell lattice parameters.
Lattice Para.Value (Å)Cell AngleValue (°)
a4.91α90
b4.91β90
c5.4γ120
Table 6. Lattice parameters and density of quartz crystals at various pressures.
Table 6. Lattice parameters and density of quartz crystals at various pressures.
P (Mpa)a (Å)b (Å)c (Å)b/ac/aV3)ρ (g/cm3)
05.0567675.0567115.536920.999989 1.094953 122.5584 2.44218729
205.0553555.0553555.5357171.000000 1.095020 122.46402.44406826
405.0549325.0549185.5353880.999997 1.095047 122.43552.44463718
605.0408095.0409335.5237881.000025 1.095814 121.59032.46162924
805.04585.04585.5280291.000000 1.095570 121.89682.45544124
1005.0380165.0380085.5214770.999998 1.095963 121.39842.46552105
1205.0365875.0365955.5201611.000002 1.096012 121.30652.46738869
Table 7. Partial elastic constants of quartz crystals at various pressures (GPa).
Table 7. Partial elastic constants of quartz crystals at various pressures (GPa).
PC11C12C13C22C23C33C44C55C66
0108.2473 −3.1033 20.9894 99.2302 15.9135 99.1094 53.4771 46.2339 53.0241
20102.2081 −9.5032 14.5291 89.8944 7.7041 91.5902 52.6934 44.2810 52.7735
4099.3867 −12.1882 11.8432 86.4910 4.7761 88.9090 52.4302 43.5750 52.5668
6076.6776 −26.5915 −8.0736 69.0963 −13.7242 67.9756 50.8822 53.2566 50.9597
8076.9491 −30.2481 −9.0747 64.9254 −16.0575 67.7226 51.7771 44.8860 50.9910
10077.3414 −24.7765 −6.6315 72.9774 −10.6333 71.0770 46.4459 54.1734 49.6983
12078.4141 −23.6173 −5.8703 74.2980 −9.9088 71.5771 43.4652 53.2324 48.0782
Disclaimer/Publisher’s Note: The statements, opinions and data contained in all publications are solely those of the individual author(s) and contributor(s) and not of MDPI and/or the editor(s). MDPI and/or the editor(s) disclaim responsibility for any injury to people or property resulting from any ideas, methods, instructions or products referred to in the content.

Share and Cite

MDPI and ACS Style

Li, L.; Zeng, X.; Tan, Y.; Xu, Q.; Liu, S. Research on the Elastic Properties of Deep Rock Composites Under High Pressure. Crystals 2024, 14, 1059. https://doi.org/10.3390/cryst14121059

AMA Style

Li L, Zeng X, Tan Y, Xu Q, Liu S. Research on the Elastic Properties of Deep Rock Composites Under High Pressure. Crystals. 2024; 14(12):1059. https://doi.org/10.3390/cryst14121059

Chicago/Turabian Style

Li, Linmei, Xianren Zeng, Yonghong Tan, Qiyuan Xu, and Shihuan Liu. 2024. "Research on the Elastic Properties of Deep Rock Composites Under High Pressure" Crystals 14, no. 12: 1059. https://doi.org/10.3390/cryst14121059

APA Style

Li, L., Zeng, X., Tan, Y., Xu, Q., & Liu, S. (2024). Research on the Elastic Properties of Deep Rock Composites Under High Pressure. Crystals, 14(12), 1059. https://doi.org/10.3390/cryst14121059

Note that from the first issue of 2016, this journal uses article numbers instead of page numbers. See further details here.

Article Metrics

Back to TopTop