α-Halogenated Curcumins
Abstract
1. Introduction
2. Materials and Methods
2.1. Synthesis of (1E,6E)-1,7-Bis(4-Hydroxy-3-Methoxyphenyl) Hepta-4-Bromo-1,6-Diene-5-Hydroxy-3-One (1)
2.2. Synthesis of (1E,6E)-1,7-Bis(4-Hydroxy-3-Methoxyphenyl) Hepta-4-Chloro-1,6-Diene-5-Hydroxy-3-One (2)
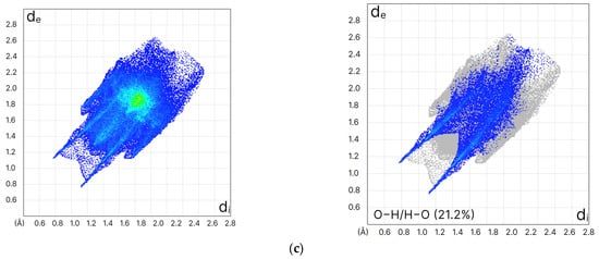
3. Results and Discussion


| Structural Feature | 1 | 2 | Curc Form I  | Curc Form II  | Curc Form III  | 
|---|---|---|---|---|---|
| Closest O…O inter- | 2.842 | 2.840 | 2.666 | 2.625; 2.834 | 2.666; 2.975 | 
| Closest O…O intra- | 2.460 | 2.451 | 2.441 | 2.498; 2.527 | 2.490 | 
| π-stack distances | 3.367 | 3.362 | NA | 3.306 | 3.817 | 
| intra- O-H…O=C | 1.714 | 1.703 | 1.724 | 1.616; 1.676 | 1.724 | 
| C-H..p interactions | 2.880 | 2.984 | 2.864 | 3.306; 3.365 | 4.387 | 
| Closest Br…Br | 5.772 | - | - | - | - | 
| Closest Cl…Cl | - | 5.926 | - | - | - | 

| 1 | 2 | Curcumin Form I P21/n  | Curcumin Form II Pca21  | Curcumin  Form III P b c a  | |
|---|---|---|---|---|---|
| O…O intra (R11) | 2.460 | 2.451 | 2.441 | 2.498 | 2.490 | 
| Φ1 | 0.54 | 1.16 | 16.01 | 16.51 | 47.07 | 
| Φ2 | 4.63 | 4.14 | 0.85 | 5.07 | 39.87 | 
| Φ3 | 4.71 | 4.17 | 12.42 | 8.44 | 0.23 | 
| R1 | 1.455 | 1.456 | 1.447 | 1.462 | 1.463 | 
| R2 | 1.315 | 1.332 | 1.325 | 1.330 | 1.333 | 
| R3 | 1.459 | 1.459 | 1.454 | 1.448 | 1.455 | 
| R4 | 1.416 | 1.416 | 1.432 | 1.372 | 1.403 | 
| R5 | 1.415 | 1.403 | 1.356 | 1.415 | 1.397 | 
| R6 | 1.456 | 1.455 | 1.466 | 1.465 | 1.456 | 
| R7 | 1.328 | 1.334 | 1.330 | 1.330 | 1.339 | 
| R8 | 1.455 | 1.462 | 1.457 | 1.462 | 1.454 | 
| R9 | 1.295 | 1.300 | 1.334 | 1.312 | 1.298 | 
| R10 | 1.283 | 1.288 | 1.277 | 1.273 | 1.303 | 
| O-H…O angle a | 150.24 | 150.63 | 152.20 | 155.04 | 154.36 | 
| C-X | 1.898 | 1.736 | na | na | na | 
| Methoxy groups configuration | syn | syn | syn | syn | anti | 
| CCDC numbers | 2,258,982 | 2,324,288 | 807,904 | 807,905 | 807,906 | 
4. Conclusions
Supplementary Materials
Author Contributions
Funding
Data Availability Statement
Acknowledgments
Conflicts of Interest
References
- Dairam, A.; Fogel, R.; Santy, D.; Limson, J.L. Antioxidant and Iron-Binding Properties of Curcumin, Capsaicin, and S-Allylcysteine Reduce Oxidative Stress in Rat Brain Homogenate. J. Agric. Food Chem. 2008, 56, 3350–3356. [Google Scholar] [CrossRef] [PubMed]
 - Epstein, J.A. Currying favor for the heart. J. Clin. Investig. 2008, 118, 850–852. [Google Scholar] [CrossRef] [PubMed]
 - Kotian, V.; Koland, M.; Mutalik, S. Nanocrystal-Based Topical Gels for Improving Wound Healing Efficacy of Curcumin. Crystals 2022, 12, 1565. [Google Scholar] [CrossRef]
 - Jurenka, J.S. Anti-inflammatory properties of curcumin, a major constituent of Curcuma longa: A review of preclinical and clinical research. Altern. Med. Rev. 2009, 14, 141–153. [Google Scholar]
 - Shishodia, S.S.; Chaturvedi, M.M.; Aggarwal, B.B. Role of curcumin in cancer therapy. Curr. Prob. Cancer 2007, 31, 243–305. [Google Scholar] [CrossRef]
 - Liu, D.; Chen, Z. The Effect of Curcumin on Breast Cancer Cells. J. Breast Cancer 2013, 16, 133–137. [Google Scholar] [CrossRef]
 - Priyadarsini, K.I. Chemical and structural features influencing the biological activity of curcumin. Curr. Pharm. Des. 2013, 19, 2093–2100. [Google Scholar]
 - Huang, M.T.; Lysz, T.; Ferraro, T.; Abidl, T.F.; Laskin, J.D.; Conney, A.H. Inhibitory Effects of Curcumin on in Vitro Lipoxygenase and Cyclooxygenase Activities in Mouse Epidermis. Cancer Res. 1991, 51, 813–819. [Google Scholar]
 - Dutta, S.; Padhye, S.; Priyadarsini, K.I.; Newton, C. Antioxidant and antiproliferative activity of curcumin semicarbazone derivative. Bioorg. Med. Chem. 2005, 15, 2738–2744. [Google Scholar] [CrossRef]
 - Simoni, D.; Rizzi, M.; Rondanin, R.; Baruchello, R.; Marchetti, P.; Invidiata, F.P.; Labbozzetta, M.; Poma, P.; Carina, V.; Notarbartolo, M. Antitumor effects of curcumin and structurally modified b-diketone analogs on multidrug resistant cancer cells. Bioorg. Med. Chem. Lett. 2008, 18, 845–849. [Google Scholar] [CrossRef]
 - Raduly, F.; Rădițoiu, V.; Fierăscu, R.; Rădițoiu, A.; Nicolae, C.; Purcar, V. Influence of Organic-Modified Inorganic Matrices on the Optical Properties of Palygorskite–Curcumin-Type Hybrid Materials. Crystals 2022, 12, 1005. [Google Scholar] [CrossRef]
 - Pavel, O.; Şerban, A.; Zăvoianu, R.; Bacalum, E.; Bîrjega, R. Curcumin Incorporation into Zn3Al Layered Double Hydroxides—Preparation, Characterization and Curcumin Release. Crystals 2020, 10, 244. [Google Scholar] [CrossRef]
 - Taguchi, H.; Yanagisawa, D.; Morikawa, S.; Hirao, K.; Shirai, N.; Tooyama, I. Synthesis and Tautomerism of Curcumin Derivatives and Related Compounds. Aust. J. Chem. 2015, 68, 224–229. [Google Scholar] [CrossRef]
 - Lin, L.; Shi, Q.; Su, C.Y.; Shih, C.C.Y.; Lee, K.H. Antitumor agents 247 New 4-ethoxycarbonylethyl curcumin analogs as potential antiandrogenic agents. Bioorg. Med. Chem. 2006, 14, 2527–2534. [Google Scholar] [CrossRef]
 - Lin, L.; Shi, Q.; Nyarko, A.K.; Bastow, K.F.; Wu, C.C.; Su, C.Y.; Shih, C.C.Y.; Lee, K.H. Antitumor agents. 250. Design and synthesis of new curcumin analogues as potential anti-prostate cancer agents. J. Med. Chem. 2006, 49, 3963–3972. [Google Scholar] [CrossRef]
 - Pedersen, U.; Rasmussen, P.B.; Lawesson, S.O. Synthesis of Naturally Occurring Curcuminoids and Related-Compounds. Liebigs Ann. Chem. 1985, 1985, 1557–1569. [Google Scholar] [CrossRef]
 - Osifová, Z.; Reiberger, R.; Cisarova, I.; Machara, A.; Dracinsky, M. Diketo−Ketoenol Tautomers in Curcuminoids: Synthesis, Separation of Tautomers, and Kinetic and Structural Studies. J. Org. Chem. 2022, 87, 10309–10318. [Google Scholar] [CrossRef]
 - Ziaee, A.; Raei, M.; Poorghorban, M.; Salehi, E.; Soltanmohammadi, F.; Fathi, Z. Enhancing Curcumin Bioavailability via Co-Amorphous Systems: Characterization and In Vitro Performance. LWT 2022, 161, 114091. [Google Scholar] [CrossRef]
 - Roy, S.; Priya, S.; Panda, A.; Dasgupta, S.; Ghosh, D.; Pathak, D.; Haldar, S. Curcumin Co-Crystals as Enhanced Bioavailability and Dissolution Rate Forms: Crystal Engineering and Solid-State Characterization. J. Supercrit. Fluids 2021, 167, 105190. [Google Scholar] [CrossRef]
 - Caro Garrido, C.; Vandooren, M.; Robeyns, K.; Debecker, D.; Luis, P.; Leyssens, T. Combining a Drug and a Nutraceutical: A New Cocrystal of Praziquantel and Curcumin. Crystals 2024, 14, 181. [Google Scholar] [CrossRef]
 - Tylik, E.; Szymańska, I.; Kasprzyk, A.; Tyszczuk-Rotko, K.; Lis, T.; Paneth, P.; Szafran, W.; Borowicz, P. Engineering Curcumin Co-Crystals to Improve Physicochemical Properties: Comparative Studies on Bioavailability Enhancement. Cryst. Growth Des. 2023, 23, 3925–3933. [Google Scholar] [CrossRef]
 - Görbitz, C.H.; Haaland, A.; Jørgensen, K.A.; Krane, J.; Seip, R. Crystal Structure and α-Functionalization of Curcumin Derivatives: A Structural Analysis. Acta Chem. Scand. 1986, 40, 420–429. [Google Scholar] [CrossRef][Green Version]
 - Tonnesen, H.H.; Karlsen, J.; Mostad, A. Structural Studies of Curcuminoids. 1. The Crystal Structure of Curcumin. Acta Chem. Scand. B 1982, 36, 475–479. [Google Scholar] [CrossRef]
 - Parimita, S.P.; Ramshankar, Y.V.; Suresh, S.; Row, T.N.G. Redetermination of curcumin: (1E,4Z,6E)-5-hydroxy-1,7-bis (4-hy droxy-3-methoxyphenyl)hepta-1,4,6-trien-3-one. Acta Crystallogr. E 2007, 63, O860–O862. [Google Scholar] [CrossRef]
 - Sanphui, P.; Goud, N.R.; Khandavilli, U.B.R.; Bhanoth, S.; Nangia, A. New polymorphs of curcumin. Chem. Commun. 2011, 47, 5013–5015. [Google Scholar] [CrossRef]
 - Matlinska, M.A.; Wasylishen, R.E.; Bernard, G.M.; Terskikh, V.V.; Brinkmann, A.; Michaelis, V.K. Capturing Elusive Polymorphs of Curcumin: A Structural Characterization and Computational Study. Cryst. Growth Des. 2018, 18, 5556–5563. [Google Scholar] [CrossRef]
 - Liu, J.; Svard, M.; Hippen, P.; Rasmuson, A.C. Solubility and Crystal Nucleation in Organic Solvents of Two Polymorphs of Curcumin. J. Pharm. Sci. 2015, 104, 2183–2189. [Google Scholar] [CrossRef]
 - Yuan, L.; Lorenz, H. Solvate Formation of Bis(demethoxy)curcumin: Screening and Characterization. Crystals 2018, 8, 407. [Google Scholar] [CrossRef]
 - Ishtiaq, M.; Asghar, S.; Khan, I.; Iqbal, M.; Khalid, S. Development of the Amorphous Solid Dispersion of Curcumin: A Rational Selection of Polymers for Enhanced Solubility and Dissolution. Crystals 2022, 12, 1606. [Google Scholar] [CrossRef]
 - Halevas, E.; Arvanitidou, M.; Mavroidi, B.; Hatzidimitriou, A.G.; Politopoulos, K.; Alexandratou, E.; Pelecanou, M.; Sagnou, M. A novel curcumin gallium complex as photosensitizer in photodynamic therapy: Synthesis, structural and physicochemical characterization, photophysical properties and in vitro studies against breast cancer cells. J. Mol. Struct. 2021, 1240, 130485. [Google Scholar] [CrossRef]
 - Kazantzis, K.T.; Koutsonikoli, K.; Mavroidi, B.; Zachariadis, M.; Alexiou, P.; Pelecanou, M.; Politopoulos, K.; Alexandratou, E.; Sagnou, M. Curcumin derivatives as photosensitizers in photo dynamic therapy: Photophysical properties and in vitro studies with prostate cancer cells. Photochem. Photobiol. Sci. 2020, 19, 193–206. [Google Scholar] [CrossRef] [PubMed]
 - Bhattacharyya, U.; Kumar, B.; Garai, A.; Bhattacharyya, A.; Kumar, A.; Banerjee, S.; Kondaiah, P.; Chakravarty, A.R. Curcumin “Drug” Stabilized in Oxidovanadium(IV)-BODIPY Conjugates for Mitochondria-Targeted Photocytotoxicity. Inorg. Chem. 2017, 56, 12457–12468. [Google Scholar] [CrossRef] [PubMed]
 - Sandusky, P.; Alworth, W.L. NMR Study of the Solution Structure of Curcumin, Payton, Florastina. J. Nat. Prod. 2007, 70, 143–146. [Google Scholar]
 - Dai, Y.; Terskikh, V.; Brinmkmann, A.; Wu, G. Solid-State 1H, 13C, and 17O NMR Characterization of the Two Uncommon Polymorphs of Curcumin. Cryst. Growth Des. 2020, 20, 7484–7491. [Google Scholar] [CrossRef]
 - Barry, J.; Fritz, M.; Brender, J.R.; Smith, P.E.S.; Lee, D.-K.; Ramamoorthy, A. Determining the Effects of Lipophilic Drugs on Membrane Structure by Solid-State NMR Spectroscopy: The Case of the Antioxidant Curcumin. J. Am. Chem. Soc. 2009, 131, 4490–4498. [Google Scholar] [CrossRef]
 - Heffernan, C.; Ukrainczyk, M.; Zeglinski, J.; Hodnett, B.K.; Rasmuson, A.C. Influence of Structurally Related Impurities on the Crystal Nucleation of Curcumin. Cryst. Growth Des. 2018, 18, 4715–4723. [Google Scholar] [CrossRef]
 - Sathisaran, I.; Dalvi, S.V. Crystal Engineering of Curcumin with Salicylic Acid and Hydroxyquinol as Coformers. Cryst. Growth Des. 2017, 17, 3974–3988. [Google Scholar] [CrossRef]
 - Su, H.M.; He, H.M.; Tian, Y.Y.; Zhao, N.; Sun, F.X.; Zhang, X.M.; Jiang, Q.; Zhu, G.S. Syntheses and characterizations of two curcumin-based cocrystals. Inorg. Chem. Commun. 2015, 55, 92–95. [Google Scholar] [CrossRef]
 - Sanphui, P.; Bolla, G. Curcumin, a Biological Wonder Molecule: A Crystal Engineering Point of View. Cryst. Growth Des. 2018, 18, 5690–5711. [Google Scholar] [CrossRef]
 - SMART v5.625: Bruker. SMART (Control and Integration Software), Version 5.625; Bruker AXS Inc.: Madison, WI, USA, 2001.
 - SAINT V6.36A: Bruker. SAINT (Data Integration and Reduction Software), Version 6.36A; Bruker AXS Inc.: Madison, WI, USA, 2001.
 - Sheldrick, G.M. A short history of SHELX. Acta Crystallogr. Sect. A 2008, 64, 112–122. [Google Scholar] [CrossRef]
 - Sheldrick, G.M. Crystal structure refinement with SHELXL. Acta Crystallogr. Sect. C 2015, 71, 3–8. [Google Scholar] [CrossRef] [PubMed]
 - Dolomanov, O.V.; Bourhis, L.J.; Gildea, R.J.; Howard, J.A.K.; Puschmann, H. OLEX2: A complete structure solution, refinement, and analysis program. J. Appl. Crystallogr. 2009, 42, 339–341. [Google Scholar] [CrossRef]
 - Turner, M.J.; McKinnon, J.J.; Wolff, S.K.; Grimwood, D.J.; Spackman, P.R.; Jayatilaka, D.; Spackman, M.A. CrystalExplorer17: A program for Hirshfeld surface analysis, visualization, and quantitative analysis of molecular crystals. J. Appl. Crystallogr. 2017, 50, 1260–1274. [Google Scholar]
 - Spackman, M.A.; Jayatilaka, D. Hirshfeld surface analysis. CrystEngComm 2009, 11, 19–32. [Google Scholar] [CrossRef]
 - Shao, Y.; Molnar, L.F.; Jung, Y.; Kussmann, J.; Ochsenfeld, C.; Brown, S.T.; Gilbert, A.T.; Slipchenko, L.V.; Levchenko, S.V.; O’Neill, D.P.; et al. Advances in Methods and Algorithms in a Modern Quantum Chemistry Program Package. Phys. Chem. Chem. Phys. 2006, 8, 3172–3191. [Google Scholar] [CrossRef]
 - Yao, Z.; Wang, J.-Y.; Pei, J. Control of π–π Stacking via Crystal Engineering in Organic Conjugated Small Molecule Crystals. Cryst. Growth Des. 2018, 18, 7–15. [Google Scholar] [CrossRef]
 - Bader, M.M. 2,5-Bis(5-bromo-2-thienyl) thiophene. Acta Cryst. 2009, E65, o2119. [Google Scholar] [CrossRef]
 - Pham, P.; Bader, M.M. Structural Studies on Some Oligothiophenes and Ethylenedioxy-thiophenes. MRS Online Proc. Libr. 2015, 1799, 19–28. [Google Scholar] [CrossRef]
 - Pham, P.; Bader, M.M. Inter- and Intramolecular Interactions in Some Bromo- and Tricyanovinyl-Substituted Thiophenes and Ethylene dioxythiophenes. Cryst. Growth Des. 2014, 14, 916–922. [Google Scholar] [CrossRef]
 - Pham, P.; Bader, M.M. Thiophenes Endowed with Electron-Accepting Groups: A Structural Study. Cryst. Growth Des. 2024, 24, 906–912. [Google Scholar] [CrossRef]
 - Pham, P.; Young, V.G., Jr.; Bader, M.M. The impact of vinylene bridges and side chain alkyl groups on the solid-state structures of tricyanovinyl-substituted thiophenes. CrystEngComm 2018, 20, 128–132. [Google Scholar] [CrossRef]
 - Tønnesen, H.H.; Karlsen, J. Studies on Curcumin and Curcuminoids: X. Spectral Properties of Curcumin. Spectrochim. Acta A 1985, 41, 1069–1074. [Google Scholar]
 - Wang, Y.J.; Pan, M.H.; Cheng, A.L.; Lin, L.I.; Ho, Y.S.; Hsieh, C.Y.; Lin, J.K. Stability of Curcumin in Buffer Solutions and Characterization of its Degradation Products. J. Pharm. Biomed. Anal. 1997, 15, 1867–1876. [Google Scholar] [CrossRef] [PubMed]
 - Balasubramanian, K. Solvent Effects on the UV-Visible Absorption Spectra of Curcumin and its Derivatives. J. Mol. Struct. 2006, 834–836, 140–145. [Google Scholar]
 




| Empirical Formula | C21H19BrO6 (1)  | C21H19ClO6 (2)  | 
|---|---|---|
| Formula weight | 447.27 | 447.27 | 
| Temperature/K | 298 (2) K | 298 (2) K | 
| Crystal system | monoclinic | monoclinic | 
| Space group | P21/c | P21/c | 
| a/Å | 16.837 (5) | 16.7520 | 
| b/Å | 7.323 (2) | 7.27831 (16) | 
| c/Å | 15.939 (5) | 15.9369 (3) | 
| α/° | 90.00 | 90.00 | 
| β/° | 99.396 (5) | 90.00 | 
| γ/° | 90.00 | 100.0131 (17) | 
| Volume/Å3 | 1938.9 (10) | 1913.53 | 
| Z | 4 | 4 | 
| density calc g/cm3 | 1.532 | 1.398 | 
| Reflections collected | 17651 | 5300 | 
| Goodness-of-fit on F2 | 1.070 | 1.051 | 
| Final R indexes [I ≥ 2σ (I)] | R1 = 0.0670, wR2 = 0.1733  | R1 = 0.0362,  wR2 = 0.1075  | 
| CCDC number | 2,258,982 | 2,324,288 | 
| Compound | Melting Point (DSC) | λmax (CH2Cl2) | 
|---|---|---|
| curcumin | 184.89 | 401, 421, 442 | 
| (1) Curcumin-Br | 162.76 | 425, 449, 475 | 
| (2) Curcumin-Cl | 196.71 | 427, 450, 477 | 
| Compound | E HOMO (eV) | E LUMO (eV) | Band Gap (eV) | Dipole Moment (Debye) | 
|---|---|---|---|---|
| Curcumin-H | −5.31 | −1.98 | 3.33 | 4.13 | 
| Curcumin-Cl- | −5.38 | −2.25 | 3.13 | 1.35 | 
| Curcumin-Br | −5.39 | −2.26 | 3.13 | 1.21 | 
Disclaimer/Publisher’s Note: The statements, opinions and data contained in all publications are solely those of the individual author(s) and contributor(s) and not of MDPI and/or the editor(s). MDPI and/or the editor(s) disclaim responsibility for any injury to people or property resulting from any ideas, methods, instructions or products referred to in the content.  | 
© 2024 by the authors. Licensee MDPI, Basel, Switzerland. This article is an open access article distributed under the terms and conditions of the Creative Commons Attribution (CC BY) license (https://creativecommons.org/licenses/by/4.0/).
Share and Cite
Pham, P.-T.T.; Bader, M.M. α-Halogenated Curcumins. Crystals 2024, 14, 1041. https://doi.org/10.3390/cryst14121041
Pham P-TT, Bader MM. α-Halogenated Curcumins. Crystals. 2024; 14(12):1041. https://doi.org/10.3390/cryst14121041
Chicago/Turabian StylePham, Phuong-Truc T., and Mamoun M. Bader. 2024. "α-Halogenated Curcumins" Crystals 14, no. 12: 1041. https://doi.org/10.3390/cryst14121041
APA StylePham, P.-T. T., & Bader, M. M. (2024). α-Halogenated Curcumins. Crystals, 14(12), 1041. https://doi.org/10.3390/cryst14121041
        
