Next Article in Journal
Preparation and Study of Poly(Vinylidene Fluoride-Co-Hexafluoropropylene)-Based Composite Solid Electrolytes
Previous Article in Journal
Micro-Computed Tomographic Evaluation of the Shaping Ability of Vortex Blue and TruNatomyTM Ni-Ti Rotary Systems
 
 
Font Type:
Arial Georgia Verdana
Font Size:
Aa Aa Aa
Line Spacing:
Column Width:
Background:
Article

Structural, Optical, Magnetic, and Dielectric Investigations of Pure and Co-Doped La0.67Sr0.33Mn1-x-yZnxCoyO3 Manganites with (0.00 < x + y < 0.20)

1
Department of Physics, College of Science, University of Hail, Hail P.O. Box 2440, Saudi Arabia
2
Department of Physics, Faculty of Science, Assiut University, Assiut 71516, Egypt
3
Laboratoire de Recherche sur les Hétéro-Epitaxies et Applications (LRHEA), Faculté des Sciences, Université de Monastir, Monastir 5000, Tunisia
4
The National Center for Nanotechnology and Semiconductors, KACST, Riyadh P.O Box 6086, Saudi Arabia
*
Authors to whom correspondence should be addressed.
Crystals 2024, 14(11), 981; https://doi.org/10.3390/cryst14110981
Submission received: 23 September 2024 / Revised: 3 November 2024 / Accepted: 5 November 2024 / Published: 14 November 2024
(This article belongs to the Special Issue Crystal Structures and Magnetic Interactions of Magnetic Materials)

Abstract

Here, we report the structural, optical, magnetic, and dielectric properties of La0.67Sr0.33Mn1-x-yZnxCoyO3 manganite with various x and y values (0.025 < x + y < 0.20). The pure and co-doped samples are called S1, S2, S3, S4, and S5, with (x + y) = 0.00, 0.025, 0.05, 0.10, and 0.20, respectively. The XRD confirmed a monoclinic structure for all the samples, such that the unit cell volume and the size of the crystallite and grain were generally decreased by increasing the co-doping content (x + y). The opposite was true for the behaviors of the porosity, the Debye temperature, and the elastic modulus. The energy gap Eg was 3.85 eV for S1, but it decreased to 3.82, 3.75, and 3.65 eV for S2, S5, and S3. Meanwhile, it increased and went to its maximum value of 3.95 eV for S4. The values of the single and dispersion energies (Eo, Ed) were 9.55 and 41.88 eV for S1, but they were decreased by co-doping. The samples exhibited paramagnetic behaviors at 300 K, but they showed ferromagnetic behaviors at 10 K. For both temperatures, the saturated magnetizations (Ms) were increased by increasing the co-doping content and they reached their maximum values of 1.27 and 15.08 (emu/g) for S4. At 300 K, the co-doping changed the magnetic material from hard to soft, but it changed from soft to hard at 10 K. In field cooling (FC), the samples showed diamagnetic regime behavior (M < 0) below 80 K, but this behavior was completely absent for zero field cooling (ZFC). In parallel, co-doping of up to 0.10 (S4) decreased the dielectric constant, AC conductivity, and effective capacitance, whereas the electric modulus, impedance, and bulk resistance were increased. The analysis of the electric modulus showed the presence of relaxation peaks for all the samples. These outcomes show a good correlation between the different properties and indicate that co-doping of up to 0.10 of Zn and Co in place of Mn in La:113 compounds is beneficial for elastic deformation, optoelectronics, Li-batteries, and spintronic devices.

1. Introduction

LaMnO3 perovskite (ABO3) structures are more stable when the lattice distortion (LD) is 0.85 < LD < 0.90, and any deviation beyond that reduces the Mn–O–Mn bond angle by 180°. The substitution of Sr2+ for La3+ leads to a distortion in the local crystal lattice, shifting it away from its ideal cubic structure. The variation in ionic radii further contributes to this distortion, driving the structure toward different configurations, such as orthorhombic or monoclinic configurations [1,2,3]. When x = 0.33 (La0.67Sr0.33MnO3), the Mn3+/Mn4+ ratio becomes 67/33, and then the Mn–O–Mn-bound angle, the lattice distortion, and the ionic size mismatch play a considerable role in the colossal magneto-resistance (CMR) behavior under smaller applied magnetic fields [4,5,6]. The partial replacement of 0.33 of La by Sr with an optimized stoichiometry produces some changes at the A site and generates a mixed M3+/M4+ valence that causes RT ferromagnetic ordering (RTFM) at the Curie temperature (TC) [6,7]. In addition, it may also show an antiferromagnetic insulator (AFMI) with a Neel temperature (TN) of 141 K [8]. Moreover, giant negative magneto-resistances close to RT have been obtained in these manganites, making them very attractive for a lot of potential applications, like spintronics, magnetic memory, disk-driven read heads, and magnetic sensors [9,10].
The Mn ion in LaMnO3 perovskite is encircled by the oxygen octahedron MnO6. However, the Jahn–Teller (JT) coupling of the eg electron with the surrounding oxygen displacement also causes the deformation of the MnO6. The partial splitting of the degeneracy into higher-energy eg states and lower-energy t2g states is associated with the 3D orbitals of the Mn atoms situated within the MnO6 octahedra [11,12]. So, the Mn site exhibits an electronic configuration of t32ge1g with a spin of (S = 2) in Mn3+ [11,12]. The t2g electrons, which exhibit less hybridization with O-2P states, remain localized when the hopping interaction is relatively weak, forming local spins (S = 3/2) even in metallic states, where the eg electrons act as charge carriers. This causes two-fold eg electron localization states that strongly hybridize with the O-2P states, which eventually leads to the Mott insulating state. The hybridization between them usually depends on the local spin orientation and carrier density.
The presence of RTFM in the LaMnO3 compound has been explained by the double exchange (DE) interactions resulting from the hopping of electrons (eg) between the Mn3+(t22ge1g) and Mn4+(t22ge0g) in the [Mn3+-O2-Mn4+] network [13,14]. In addition, antiferromagnetic super-exchange and electron–phonon interactions have been taken into account to explain their advancement in high-temperature fields, such as the solid oxide fuel cell (SOFC) of cathode electrode devices and magnetic fluid hyperthermia [15,16,17].
The dielectric mechanism in solids can be characterized by complex dielectric parameters (ϵ\ and ϵ\\) over a wide range of frequencies (f) up to 10 GHz [18,19]. However, materials with a high ϵ\ can be used in mobile phones and microwave-integrated circuits, whereas materials with a low ϵ\ are convenient for devices with nonlinear optical and high-frequency antennas [20,21,22]. Koop’s theory indicates that solid materials consist of conducting grains that are dominant at high f values separated by boundaries of poor conductivity at low f values, such that the current is assumed to flow along parallel alignments of the grains [23,24]. In addition, the f-dependent AC conductivity follows Jonscher’s power law, indicating a hopping mechanism and the non-Debye relaxation process [21,25].
In this regard, studying Mn, including the remarkable coupling among the degrees of freedom, is of great significance. For example, mixed-valence manganites (La3+1−xSrx2+Mn3+1−xMnx4+O3) can be harnessed by changing the bond angle, the Mn3+/Mn4+ ratio, the Mn-O bond length, and cation sizes A and B [26,27,28,29]. Changing the Mn+3/Mn+4 ratios is essentially achieved by doping in Mn sites for tuning its effective valence. This is caused by either aliovalent ions or a change in the overall oxygen content. Among them is the doping of 3D-transition metal (TMs) like Co, Ni, Fe, and Zn [30,31,32,33]. However, in most of them, TC decreases as the TM content increases, and it usually disappears at higher doping contents above 0.20. In addition, some external factors, such as the synthesis method and the sintering temperature, can affect the grain boundaries necessary for the extrinsic CMR effect [34,35,36,37,38].
Even at RT, co-doping ions up to the concentration limit may reduce the RTFM magnetization, and it also shifts the Tc further than RT, which is not ideal for spintronic devices. Moreover, cooling to 10 K is necessary for investigating the magnetic behavior of the material in field cooling and zero field cooling (FC and ZFC). Likewise, tuning the material band gap (Eg) is necessary for most optoelectronic devices [39,40]. Lowering the Eg of semiconducting materials is required for light-emitting diodes (LED), solar cells, and optical filters. The opposite is true for higher Eg materials with uses in devices with higher breakdown fields, lower electronic noise, and high-power operation [40,41]. However, the energy gap (Eg) of such compounds is mainly influenced by the variations in the insulating states within the forbidden gap, carrier concentration, and oxygen incorporation during material synthesis, which collectively impact the charge transfer interactions between O2− and Mn3+ [42,43].
With this purpose in mind, La0.67Sr0.33Mn1-x-yZnxCoyO3 manganites with equal amounts of x and y in the range (0.025 < x + y < 0.20) were synthesized by a conventional reaction method. The samples were characterized by XRD, SEM, and FTIR techniques. Additionally, the optical and magnetic measurements of the samples were performed. For simplicity, the samples are called S1, S2, S3, S4, and S5 for x + y = 0.00, 0.025, 0.05, 0.10, and 0.20, respectively. The co-doping by Zn and Co ions was utilized to adjust the carrier density through the different valences between these ions and Mn, especially as one is magnetic (Co) and the other is nonmagnetic (Zn). To the extent of our understanding, we could not find any reported data on Mn-site co-doping by Zn + Co in CMR materials and, therefore the current study will provide important insight into the properties of co-doped CMR materials.

2. Materials and Methods

La0.67Sr0.33Mn1-x-yZnxCoyO3 samples with (0.025 ≤ x + y ≤ 0.20) were synthesized by a solid-state reaction method. We weighted 4 g from La2O3, SrCo3, Mn2O3, ZnO, and CoO powders with stoichiometric proportions according to the molecular weights ratio of each compound using a digital balance with up to 4 digits, as listed in Table 1. After that, they were mixed, ground, and calcined for 24 h three successive times at 950 °C, 1000 °C, and 1050 °C, with an intermediate grinding between these calcination stages. After that, the powders were pressed into pellets and sintered in air at 1100 °C for 48 h. The samples were cooled to 600 °C and kept at this temperature for 24 h and then were left to cool slowly to RT. The synthesized samples were examined using X-ray diffraction (XRD) with Cu-Kα radiation (wavelength of 1.5418 Å), operating at 40 kV and 30 mA. The lattice parameters were determined, using Celref software, based on the XRD data and standard reference cards. The water displacement method was used for determining the experimental density, where a mass of 5 mL of water is mw and the density of water is ρw = (mw/5). The complementary mass and volume of water added to the 0.5 g of the sample mw can be calculated as mw = mt − ms, and its volume as Vw = (mww). The volume of the sample then becomes Vs = (5 − Vw) and its density ρs = (ms/Vs), where ms is the mass of the sample (0.5 g).
FEI Quanta 250 scanning electron microscope (SEM, Eindhoven, The Netherland) was utilized to acquire the structural morphology of the samples. Furthermore, the compositional weight percentage of the elements in the prepared samples was determined by an energy dispersive X-ray spectroscopy (EDS) attached to the SEM. An area scan was applied to determine the composition of the prepared samples. With a Spectrum 400-FT-IR/FT-NIR spectrometer (Perkin Elmer, Waltham, MA, USA), the FTIR absorption of the synthesized compositions was recorded. The optical measurements were carried out by a double-beam spectrophotometer (a Jasco V-570, Tokyo, Japan) in the range (200–900 nm). DC magnetization measurements were conducted as a function of the applied magnetic field, up to 20 kOe, using a Quantum Design MPMS SQUID magnetometer (Pfungstadt, Germany). Additionally, magnetization as a function of temperature was measured under both field-cooled (FC) and zero-field-cooled (ZFC) conditions, using a field of 100 Oe and a temperature range between 10 and 300 K. On the other hand, the samples were initially cooled to 10 K with no magnetic field applied ZFC), and data were recorded as the temperature rose (up to 300 K). The samples were then cooled once more, and the magnetization was measured under the influence of the magnetic field (FC). Dielectric properties were investigated using broadband dielectric spectroscopy (BDS) and a high-resolution Alpha analyzer equipped with an active sample head (Novo Control GmbH, Montabaur, Germany), operating over a frequency range of 0.10 to 20 MHz.

3. Results and Discussion

3.1. XRD and SEM Analysis

The XRD patterns shown in Figure 1 indicate that all samples (S1–S5) exhibit good crystallization and the presence of the main diffraction peaks of LSMO monoclinic structure with the space group P21/n, which is consistent with the monoclinic structure of a similar compound [30,40,44]. Additionally, a comparison with the reported orthorhombic structures with a Sr content above 0.30 or with changes in the oxygen content revealed that the obtained diffraction peaks are inconsistent with the orthorhombic structure [14]. Moreover, we could not find any noteworthy secondary lines that might indicate the presence of impurities in the samples S1, S2, and S3. However, a secondary line close to 2θ = 45° of a lower intensity can bee observed in the case of the samples S4 and S5, which implies the solubility limit of Zn and Co co-doping at Mn sites is reached in these samples. This behavior indicates that co-doping of Zn+Co up to 0.20 substitutes Mn sites well. The unusual change in structure is due to the deviation of β and γ angles from 120° to between (90.54–90.92°) and (90.43–90.62°), respectively, although the Mn3+–O–Mn4+ bonds are close to 180° for optimal double exchange [45].
The angles β and γ are slightly decreased as the co-doping content increases, but the structure remains monoclinic over the range of co-doping concentrations. It has been reported that the degree of long-range order in the perovskite lattice increases, as indicated by the lower peak intensity in the pure LSMO phase compared to the doped LSMO [46]. According to the data shown in Table 2, it is observed that when co-doping is increased, the lattice parameters (a, b, and c) varied, which resulted in a slight rise in unit cell volume (V). This can be related to the differences in the ionic radii of the dopants compared to Mn (La3+ = 1.18 Å, Sr2+ = 1.32 Å, Mn3+ = 0.65 Å, Mn4+ = 0.54 Å, Zn2+ = 0.74 Å, and Co2+ = 0.71 Å). The values of ρth and ρexp were used to determine the porosity; PS = [1 − (ρexpth)], as given in Table 2. The PS of co-doped samples is higher than that of S1 and reaches its maximum value for S4, indicating that the co-doping process helps generate larger pores and, as a result, higher adsorption of the dye molecules from waste water. The crystallite size D, as calculated by the Scherrer formula [47,48], is also decreased as co-doping increases, followed by an increase at a 0.20 co-doping concentration.
No noticeable secondary phases or additional contaminants were detected at the grain boundaries in the SEM images presented in Figure 2, and the grains are well uniformly distributed over the matrix structure, but with a mixture of large and small sizes, such that smaller grains are connected with larger grains. Most of the formed grains have a spherical-like shape, and some of them are agglomerated, indicating a strong magnetic interaction moment of the perovskite. A higher concentration of co-doping (0.20) may create a few points of defects in the matrix structure via the oxidization of Mn3+/Mn4+, leading to a more conductive nature. The average grain size distribution (DSEM) shown in Table 2 was generally decreased by co-doping from 956 nm for S1 to its minimum value (788 nm) for S3. The biggest and smallest sizes formed for S1 and S3, respectively, indicate the great effect of adding co-doped ions to the crystal lattice of the host perovskite. According to the values of the ionic radii between the host and dopants, the co-doping could cause the shrinkage of the unit cell, in turn decreasing the size of the grains, which would be beneficial in many electronic storage devices. The EDS graphs shown in Figure 3 indicate that although the weight percentages of Zn, Co, and O are generally increased by co-doping, the Mn was decreased. Interestingly, the amount of oxygen is generally increased by the co-doping and reaches its maximum value for S3 and S4, but it decreases to its minimum for S5.

3.2. FTIR Analysis

The samples’ FTIR spectra are displayed in Figure 4. Although MnO6 is known to have six vibrational modes and an octahedral symmetry, only two of these modes are visible in the infrared spectra [1]. Bending and stretching vibrations can result from changes in bond angles, internal motion, or alterations in the length of the Mn–O–Mn molecule. The absorption bands observed between 3416.96 and 3442.99 cm−1 correspond to the stretching and bending modes of H-O-H in adsorbed water molecules [49]. The absorption peak at 2923.38 cm−1 is present only in the pure sample and is attributed to the stretching vibrations of C–H groups. Meanwhile, the bands between 1633.29 and 1647.59 cm−1 are associated with the C=C stretching and the carbonyl group (C=O) resulting from the bending vibrational modes of hydroxyl radical groups [2]. However, the bands near 3400 and 1600 cm−1 are absent in sample S3. The bands between 1384.46 and 1426.72 cm−1 are attributed to the bending vibrations of C–H groups [50]. The absorption bands ranging from 924.76 to 1084.92 cm−1 are attributed to the symmetric and asymmetric stretching modes of oxygen, which are likely to influence the adsorption process. The broad peak at 605.28 cm−1 indicates the presence of a metal–oxygen bond, which subsequently forms a MnO6 octahedral structure [9,50]. These findings suggest that small amounts of water molecules and carbon dioxide may have been absorbed from the surrounding environment [51]. The bands in the range of 541.71 to 619.59 cm−1 are associated with the stretching mode (νs) of the Mn-O or Mn–O–Mn bonds, while the bands between 406.09 and 497.83 cm−1 correspond to the bending mode (νb) of the Mn–O–Mn bonds [52]. However, the variation in the wave number indicates a change in the energy needed to modify the Mn-O bond within the more distorted octahedron, where a geometric transition has taken place to alleviate or alter the induced strain.
The elastic properties can be related to the thermodynamic properties through the Debye temperature (θD), which is calculated using the following equation [44];
θ D ( K ) = h c Δ ν ¯ K B = 1.439 Δ ν ¯
where Δ ν ¯ is the wave numbers against the absorption bands of the oxide structure. As shown in Figure 5a, the θD of S1 was decreased for S2, increased for S3 and S4, and then decreased for S5. In addition, the force constant Kt can be obtained using; Kt = 0.0076W Δ ν ¯ 2 [53]. Also, the stiffness constants S11 and S12 are easily determined in terms of the c-parameter and Poisson’s ratio γ as S11 = (Kt/c), S12 = (S11γ/1 − γ) and γ = 0.324 (1-1.043PS) [54]. Table 3 shows that γ > 0.26, indicating a brittle nature for all samples [55]. The Young Y, bulk modulus β, and rigidity modulus G are determined by [56,57];
Y = ( S 11 S 22 ( S 11 + 2 S 12 ) ( S 11 + S 12 ) ; β = S 11 + 2 S 12 3 ; G = Y 2 ( γ + 1 )
The behaviors of the elastic modulus shown in Table 2 are typically similar to θD and D, which subsequently control the bond strength of the structure [58]. The increase in the elastic modulus values of S3 and S4 compared to S1 implies the hard strengthening of the different ions’ interatomic bond, and they demonstrate a strong tendency to revert to their equilibrium state, which is attributed to the higher stiffness or bond strength necessary for plastic deformation [59]. The effective mass (m*) and bond length (L) of the metal-oxide bond are given by [60,61]:
m g = m 1 m 2 m 1 + m 2 = K t 4 π c 2 Δ υ ¯ 2 = 2.82 × 10 23 K t Δ υ ¯ 2 L n m = 0.1 × 17 × 10 5 K t 0.33
m1 and m2 represent the atomic masses of the bonded metal and oxygen atoms, respectively. However, the values of m* and L shown in Table 3 indicate that no change occurred in either of them. Additionally, a shift in λmax towards lower values was obtained, indicating a blue shift as co-doping content increases [62].

3.3. Optical Behavior

Figure 5a illustrates the absorbance (A) as a function of the wavelength (λ), where A increases as λ decreases. All samples exhibited a distinct absorption edge in the UV range, which is attributed to the inorganic nature of the LSMO compound. Typically, direct transitions account for the weak absorption peaks observed around 260 nm [63]. A notable shift in this behavior is linked to the variation in the excitation energy necessary for electron transition. Below 250 nm, the absorbance (A) increases, suggesting a shift in carrier concentration states within the band structure. Compared to S1, the co-doped samples S2, S3, and S4 show higher absorbance values; however, for S5, the absorbance decreases at lower wavelengths, falling below the absorbance of S1. This behavior supports the notion that co-doped samples up to 0.10 are suitable for optoelectronic applications such as solar cells. The Eg can be determined using Tauc’s equation [64,65]:
α h ν = β ( h ν E g ) r
Here, α represents the absorption coefficient calculated using the formula α = 2.303 (A/d), where d = 0.85 cm, and r is equal to 1/2 for a direct allowed transition. The linear plots between (αhυ)2 and hυ shown in Figure 5b give the values of Eg (see Table 4). The Eg was 3.85 eV for S1, but it decreased to 3.82, 3.75, and 3.65 eV for S2, S5, and S3. However, it increased and went reached maximum value of 3.95 eV for S4. Reducing Eg by co-doping up to 0.05 can be correlated with the decrease in the grain size, and it is usually due to a change in the number of polarons in the co-doped samples [66]. Increasing the Eg for S4 more than that of S1 can be explained by the hooping mechanism involved in the La113 system through a change in the Mn3+/Mn4+ ratio as a result of d-d transitions varying the composition stoichiometric ratio, which consequently affects the conductive nature [67]. However, these values of Eg close to 4 eV are comparable with those obtained for a similar compound [68,69,70]. The smaller band gap energy (Eg), which governs the materials’ sensitivity to light exposure, is a key characteristic for determining the potential applications of photocatalytic activity. [69]. Therefore, a higher Eg would not be suitable to enable electron hopping from the CB to the VB. For photocatalysis, the S3 of 3.65 eV can then be employed more effectively than the other samples. The empirical formula relating electron band width (W) with Mn–O–Mn bond length (L) and angle (Φ) is given by [71] as W α cos Φ/L3.5, where Φ is ½ [π-(Mn–O–Mn)]. The band gap energy (Eg) is related to W by the equation Eg = Δ−W, where Δ represents the charge transfer energy. Additionally, the 3D conduction band edge (Ecb) of Mn4+ is positioned at (−5.83) eV, which is lower than that of Zn or Co. This leads to the introduction of holes into the d-band, thereby reducing the effective band gap between O2p in the valence band (VB) and Mn3d in the conduction band (CB). Consequently, the optical Eg decreases, as observed for samples S2, S3, and S5 [14].
The reflective index (n) is related to λ as [72,73]
( n 2 k 2 ) = L e 2 4 π 2 c 2 ε 0 N m λ 2
where c, e, εo, m*, N, and ϵL denote light speed, electron charge, free space permittivity, effective mass of an electron, free carrier concentration, and lattice dielectric constant, respectively. The values of ϵL and (N/m*) were obtained from the linear fit of (n2 − k2) against λ2, as shown in Figure 6 and Table 4. The 0.025 of co-doping enhanced the (N/m*) from 3.69 × 1046 to 6.77 × 1046 (g·cm3)−1, but it decreased with increasing co-doping content up to 2.46 × 1046 (g·cm3)−1 for S4, and then increased for S5 to 4.92 × 1046 (g·cm3)−1. So, the (N/m*) was increased for S2 and S5 to values more than that of S1. However, similar behavior was observed by co-doping, and it reached the highest value of 6.77 × 1046 for S2. The Wemple-DiDomenico (WDD) single oscillator model, employed for obtaining the single and dispersion oscillator energies (Eo and Ed), is given by [74,75]
( n 2 1 ) 1 = ( h υ ) 2 E o E d + E o E d
The linear plots between (n2 − 1)−1 and (hυ)2 shown in Figure 7 give the Eo and Ed values as summarized in Table 4. It is clear that the trends of the Eo and Ed values against co-dopant content are similar since they are both decreased by co-doping, and Eo is greater than Ed. The Eo values range from 5.93 to 9.55 eV, while the Ed values range from 4.26 to 41.88 eV, with S1 yielding the highest values among the prepared samples. The odd point of the S1 sample is the Ed reaching to 41.88 eV. Decreased particle diffusion leads to reduced scattering centers, which explains why co-doping depressed the Eo and Ed. The unusually higher value of Ed of 41.88 eV for S1 agrees with 33.72 and 51.93 eV for 10 kGy γ-irradiated In2Se3 films and Cr2O3-doped PVC reported in [76,77]. These studies attribute this behavior to some type of oxygen disorder. However, there is no previous data reported for the parameters (N/m*), ϵL, Eo, and Ed, and the present study may be considered the first to report them.

3.4. Magnetic Behaviors

The samples’ magnetic hysteresis loops at 300 and 10 K are displayed in Figure 8a,b, respectively. The samples S1–S5 show a mixture of paramagnetic and ferromagnetic behaviors at 300 K. The bulk of M-H curves’ domains are ferromagnetic despite their positive slopes and extremely small hysteresis area at low field. They exhibit a distinct blend of ferromagnetic and paramagnetic behavior when T decreases to 10 K. On the other hand, the M-H curve at 10 K exhibits the opposite behavior, suggesting that LSMO samples have several magnetic phases. Moreover, the bigger observed pinning centers generated at lower temperatures are the reason for the significantly greater magnetization values at 10 K compared to 300 K [78].
The total magnetization (Mt) values at 2000 Oe, as shown in Table 4, are increased by co-doping and reach their maximum values for S3 and S4, such that the Ms at 10 K is at least 10-times greater than that obtained at 300 K. But, Mt was decreased with the increase in co-doping concentration to 0.20 (S5), as a result of improving Jahn–Teller active Mn3+ for non-Jahn–Teller active Mn4+ [79]. For example, Mt was increased at 300 K from 0.70 (emu/g) for S1 to 1.27 (emu/g) for S3, which is consistent with the higher w% value of (O) for S3 (14.10), indicating a lower oxygen vacancy (Ov). Likewise, it increased at 10 K from 7.66 (emu/g) for S1 to 15.08 (emu/g) for S4, which indicates that Mt α w% (O) at 300 K. In contrast, the w% of O was increased by co-doping from 5.11 to 14.10, indicating a lower Ov, i.e., Mt α (1/Ov). Therefore, the observed increase in M originated from Zn and Co co-doping as a result of grain size and Ov variations.
This behavior suggests that while Co is a ferromagnetic ion (4.9 μB), it may also be viewed as a source of nonmagnetic Zn and paramagnetic domains at 300 K. Additionally, Zn can be regarded as a source of ferromagnetic domains. Thus, the paramagnetic behavior observed at 300 K can be attributed to the well-known ferromagnetic impurity phases or clusters of Co and Mn (3.6 μB). This serves as clear evidence of the lack of strong ferromagnetic domains at 300 K in the co-doped samples, likely due to the changes in D and Ov, which weaken ferromagnetic ordering and lead to super-exchange paramagnetic interactions instead [2,80].
For further clarification, the paramagnetic contributions were subtracted from the M-H curves to isolate the effective ferromagnetic parameters, as illustrated in Figure 9a,b. The behavior was characterized by parameters such as saturated magnetization (Ms), remnant magnetization (Mr), coercive field (Hc), anisotropy (γ = HcMs/0.98), squarness Sq = Mr/Ms, and magnetic moment (μ = WMs/5585) [81,82,83], as shown in Table 5. It is seen that Ms, and Mr have similar behaviors at both temperatures (300 and 10 K). In contrast, at 300 K, the co-doping shifts the S1 from a hard to a soft magnetic material, since the coercive field decreases from 103 Oe for S1 to 54, 12, 44, and 60 Oe for S2, S3, S4, and S5, respectively [84]. In contrast, Hc increased at 10 K from 870 Oe to 1170, 1055, 2216, and 2095 Oe, indicating a hard magnetic-type material [85]. However, Hc increases with decreasing DSEM, as estimated using Hc = Hc,o + (KM/DSEM), where Hc,o reflects the Hc due other effects, such as internal stresses and impurities, and KM is a constant. Therefore, the difference between Hc at 300 and 10 K can also be attributed to Hc,o, indicating that some of the grains of co-doping domains remain blocked at 300 K. Likewise, the behaviors of γ and μ are typically similar to those obtained for Ms. Sq is found to be less than 0.50, and has a similar trend in Hc, indicating strong magneto-static interactions (see Table 4) [86,87]. However, the large Sq value obtained by co-doping at 10 K indicates the homogeneity of the grains and confirms the presence of ferromagnetic domains [88].
The magnetization as a function of temperature for S3 measured in the field-cooled (FC) and zero-field-cooled (ZFC) configurations at an applied magnetic field of 100 Oe is shown in Figure 10. The FC and ZFC curves for S3 show an obvious bifurcation, which indicates the existence of magnetic nanoparticles with a blocking temperature of Tb = 60 K, smaller than that of S1 where the magnetic nanoparticles blocking temperature of Tb = 80 K. The FC and ZFC in the whole temperature range of 10–300 K suggest that there is no existence of an order–disorder phase transition, which reveals that the Curie temperature (TC) is higher than 300 K. However, the ZFC curve shows the phenomenon of a negative magnetization (or magnetization sign reversal) at low temperature due to the dominance of diamagnetic contribution at low temperature. Such behavior has been reported elsewhere [3,89,90,91,92,93], and it is mainly explained by the coexistence in LSMO of ferromagnetic order and magnetically inhomogeneous regions made up of spin clusters with a lower oxidation state. Similar behavior was observed in the other samples as well.

3.5. Dielectric Analysis

The real part of the dielectric constant (ε′), the loss factor (tan δ), and the quality factor (q-factor) are expressed as follows [94,95]:
ε \ = C d ε A ; tan = ε \ \ ε \
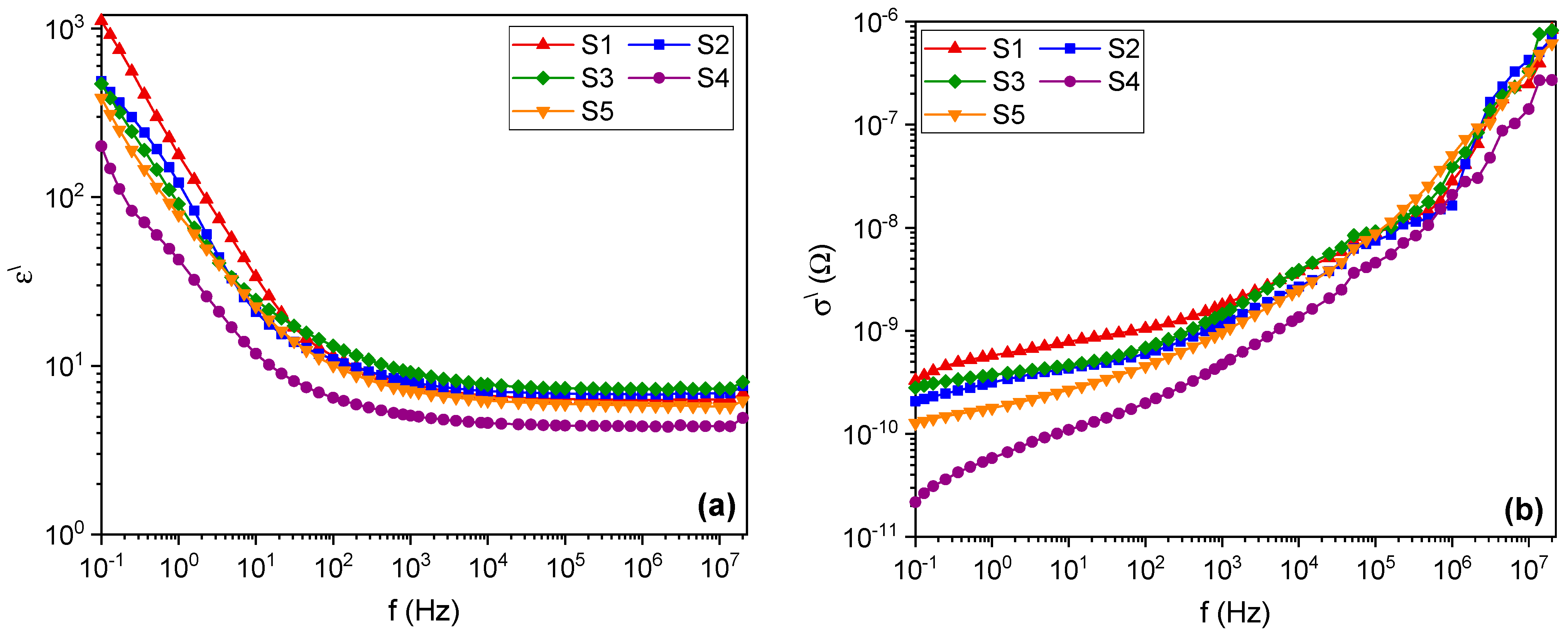
where C and C0 are the capacitances of the sample and the empty cell (C0 = ε0A/d), respectively. ε’’ is the imaginary part of ε. Figure 11a plots the relationship between ε′ and frequency (f) and shows that ε\ steadily declined as f is decreased up to 1 MHz, the point at which ε\ saturated. The higher values of ε\ at lower f clearly indicate the presence of interfacial polarization caused by the polarization of the space charge. Elevating f beyond 1 MHz may result in a dipolar polarization, where the carriers are unable to track the field reversal [96]. However, the addition of co-doping helps to decrease the ε\ of the samples S1 to S4, followed by a slight increase in the case of S5 to be higher than those of S4, inconsistent with the space charge polarization explanation provided by Maxwell–Wagner [97]. However, the co-doped samples can be used in the devices of nonlinear optics and high-frequency antennas [98,99].
The total electrical conductivity (σt) is determined by following equation [100]:
σ t ( ω ) = σ d c + σ a c = σ d c + B ω s
where s represents the frequency exponent, ac denotes the ac conductivity, B is constant, and dc denotes the dc conductivity. The plot of σac against f in Figure 11b illustrates how σac increases progressively as f increases up to 20 MHz. Furthermore, σac behavior against co-doping is comparable to that of ε\. The decrease in both ε\ and σac by the co-doping might be because of the rapid movement of charge carriers from the grains, which accumulate at the grain boundaries and impede the tunneling of these carriers, leading to a reduction in polarization, as previously reported [101,102,103].
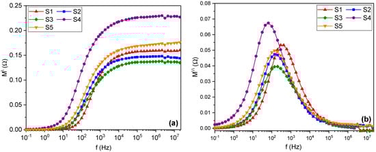
The real and imaginary components of the electric modulus (M\, M\\) for the samples are plotted against f in Figure 12a,b. It is seen that M\ increased with increasing f for all samples and then saturated above 10 kHz. As compared to S1, M\ was decreased for S2 and S3, followed by a significant increase for S4, and then decreased to be lower than that of S4. The same behavior is observed for the curves of M\\, but with different relaxation peaks (RPs). For example, M\\ shows RP at 353 Hz for S1, but is shifted to a low f of 168, 199, and 65.2 Hz for S2, S3, and S4, followed by a shift to 137 Hz for S5. However, the RP values of the samples indicate a non-Debye relaxation type and have substantially shorter spin-relaxation periods than expected between 100 and 150 ns, which is highly advantageous for spintronic devices [69].
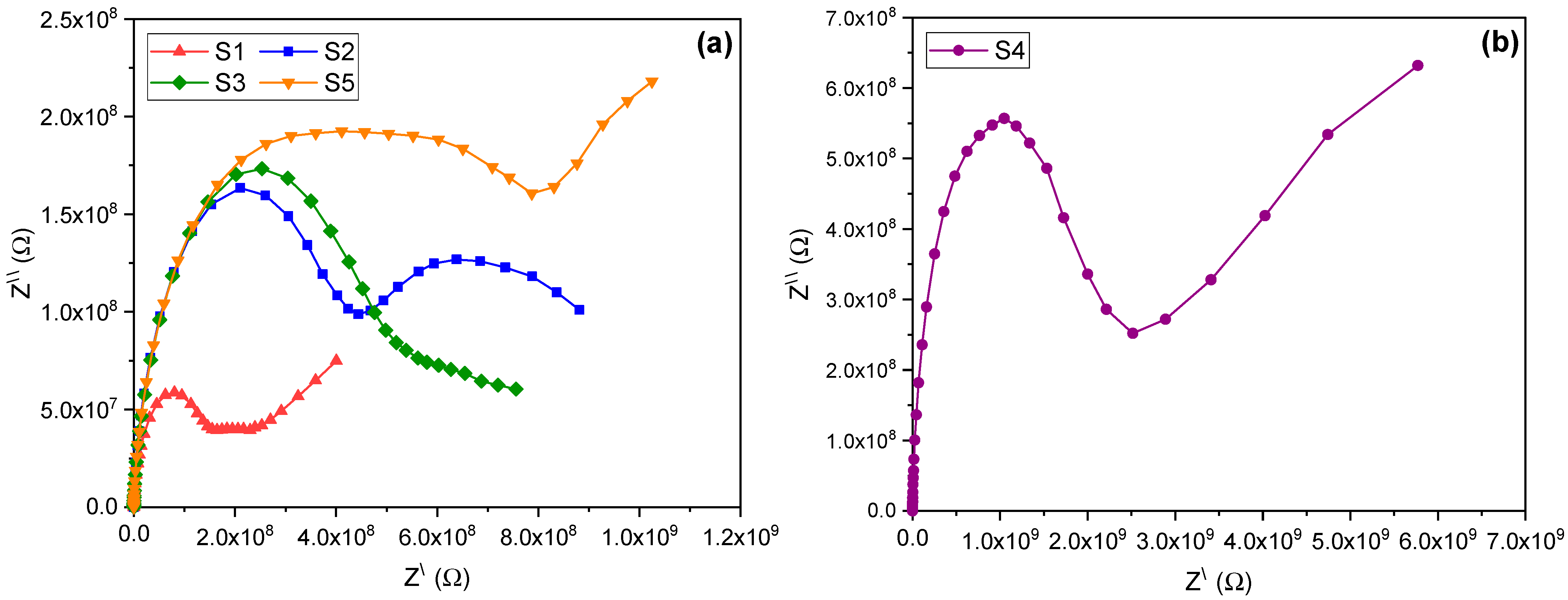
Figure 13a,b presents the Cole–Cole (Nyquist) plots of Z\\ as a function of Z\ for all samples. The plots are single semicircles followed by straight lines or arcs of positive or negative slopes at the tail of the curve for S1, S3, S4, and S5. In this case, the frequency (f) is unable to distinguish the impedance of the grains from their boundaries. Therefore, it can be modeled using a parallel combination of a resistor (R) and a capacitor (C), as shown in Figure 14. In contrast, for sample S2, two successive semicircles spanning the frequency range are observed, indicating that the applied frequency range is sufficient to separate the conductivity of the grains from that of their boundaries. This behavior can be further represented by a series combination of two parallel RC circuits, as depicted in Figure 14. The radius/diameter of each plot is employed to obtain the impedances of grains and their boundaries as Z\(g), Z\(gb), as summarized in Table 6. It was found that the values of Z for S1 gradually increased until they reached their maximum values for S4, and then decreased for S5, which is in direct correlation with those obtained for Ms. However, the opposite is true for the example. The parallel combination’s series resistance (RB) and effective capacitance (Ceff) are given by [104,105];
Z \ ( ω ) = R B 1 + ( ω C e f f R B ) 2 1 Z \ = 1 R B + ω 2 C e f f 2 R B
The slope and intercepts of the linear plot between [1/Z\(ω)] and (ω2) were used to determine the values of RB and Ceff (see Table 6). The behavior of RB is comparable to that of Z\ of grains and grain borders; however, Ceff exhibits the opposite behavior, meaning that [(Z\ or RB α (1/Ceff)] [106]. It is interesting to note that lower RB and Ceff values are indicative of good Li-ion batteries for oxidation and reduction reactions [107]. On the other hand, to restrict the amount of energy lost in the RB, a supercapacitor ought to have a smaller RB and a greater Ceff [108]. These results strongly suggest the use of S1 as a supercapacitor, whereas S4 can be used in Li-ion batteries.
It can be concluded that an increase in oxygen deficiency led to a reduction in the relative concentration of Mn4+/Mn3+, which weakened the ferromagnetic interaction and resulted in a decreased magnetization. However, the data reported for individual doping of transition metals (TMs) such as Co, Ni, Fe, and Zn in place of Mn in the La:113 system showed a monotonically decreasing trend as magnetization increased to approximately 0.20. This behavior may be attributed to the antiferromagnetic alignments induced by the dopants in the sample. Therefore, co-doping with two different ions—one magnetic and the other nonmagnetic—can be recommended to diminish the antiferromagnetic domains while maintaining the ferromagnetic characteristics of the sample, albeit with slightly reduced magnetization. Based on the above, it is found that co-doping up to 0.10 (S4) generally decreased V, D, DSEM, Eg, Eo, Ed, ε\, σac, and Ceff, whereas the opposite is true for the behaviors of PS, ϴD, Y, Ms, Wm, M, Z, and RB. In addition, it changed the magnetic material from hard to soft at 300 K and from soft to hard at 10 K. These results show a universal relationship between the internal structural and optical parameters and those obtained from the other current measurements. In addition, they indicate that co-doping up to 0.10 by two different ions (Zn and Co) in place of Mn in the La:113 compounds is beneficial for elastic deformation, optoelectronics, Li-batteries, and spintronic devices.

4. Conclusions

The structural, optical, and magnetic properties of La0.67Sr0.33Mn1-x-yZnxCoyO3 manganite with various x and y were investigated. We show evidence for MnO6 octahedral and electronic conduction in all samples. The co-doping up to 0.10 (S4) generally decreased V, D, DSEM, Eg, Eo, Ed, ε\, σac, and Ceff, whereas the opposite is true for the behaviors of PS, ϴD, Y, Ms, M, Z, and RB. At 300 K, the samples (S1–S5) exhibited paramagnetic behaviors as observed at a high magnetic field range, but they showed ferromagnetic behavior at low temperature, such that Ms values at 10 K were 10-times greater than those at 300 K. However, the magnetization sign reversal (negative magnetization) phenomena was observed in the samples due to the dominance of the diamagnetic contribution at the low-temperature region. Additionally, most of the dielectric parameters were investigated, and it was found that the dielectric constant and ac conductivity were reduced with the increasing concentration of the co-dopants in the samples. These outcomes indicate that the co-doping up to 0.10 by two different ions (Zn and Co) in place of Mn in the La:113 compounds is beneficial for elastic deformation, optoelectronics, Li-batteries, and spintronic devices.

Author Contributions

M.M. Conceptualization, methodology, validation, formal analysis, investigation, writing—original draft preparation; A.S. methodology, validation, formal analysis, investigation, writing—original draft preparation; A.S.A. methodology, validation, formal analysis, investigation, writing—review and editing; Z.R.K. methodology, formal analysis, writing—review; M.B. methodology, formal analysis, writing—review; M.S.A. methodology, investigation, formal analysis, writing—review. All authors have read and agreed to the published version of the manuscript.

Funding

This research has been funded by the Scientific Research Deanship at the University of Ha’il, Saudi Arabia, through project number RG-23 175.

Data Availability Statement

The datasets generated during and/or analyzed during the current study are available from the corresponding authors on reasonable request.

Conflicts of Interest

The authors declare no conflicts of interest.

References

  1. Londoño-Calderón, V.; Rave-Osorio, L.C.; Restrepo, J.; Játiva, J.; Jurado, J.F.; Arnache, O.; Restrepo-Parra, E. Structural and magnetic properties of La1−x(Ca,Sr)xMnO3 powders produced by the hydro-thermal method. J. Supercond. Nov. Magn. 2018, 31, 4153–4162. [Google Scholar] [CrossRef]
  2. McBride, K.; Cook, J.; Gray, S.; Felton, S.; Stellaab, L.; Poulidi, S. Evaluation of La1−xSrxMnO3 (0 ≤ x < 0.4) synthesised via a modified sol–gel method as mediators for magnetic fluid hyperthermia. CrystEngComm 2016, 18, 407. [Google Scholar]
  3. Kumari, S.; Mottaghi, N.; Huang, C.-Y.; Trappen, R.; Bhandari, G.; Yousefi, S.; Cabrera, G.; Seehra, M.S.; Holcomb, M.B. Effects of Oxygen Modification on the Structural and Magnetic Properties of Highly Epitaxial La0.7Sr0.3MnO3 (LSMO) thin films. Sci. Rep. 2020, 10, 3659. [Google Scholar] [CrossRef]
  4. Jayakumar, G.; Poomagal, D.S.; Irudayaraj, A.A.; Raj, A.D.; Thresa, S.K.; Akshadha, P. Study on structural, magnetic and electrical properties of perovskite lanthanum strontium manganite nanoparticles. J. Mater. Sci. Mater. Electron. 2020, 31, 20945–20953. [Google Scholar] [CrossRef]
  5. Lloyd-Hughes, J.; Mosley, C.D.; Jones, S.P.; Lees, M.R.; Chen, A.; Jia, Q.X.; Choi, E.M.; MacManus-Driscoll, J.L. Colossal terahertz magnetoresistance at room temperature in epitaxial La0.7Sr0.3MnO3 nanocomposites and single-phase thin films. Nano Lett. 2017, 17, 2506–2511. [Google Scholar] [CrossRef]
  6. Trappen, R.; Mosley, C.D.; Jones, S.P.; Lees, M.R.; Chen, A.; Jia, Q.X.; Choi, E.M.; MacManus-Driscoll, J.L. Electrostatic potential and valence modulation in La0.7Sr0.3MnO3 thin flms. Sci. Rep. 2018, 8, 14313. [Google Scholar] [CrossRef]
  7. Li, Y.; Zhang, H.; Liu, X.; Chen, Q.; Chen, Q. Electrical and magnetic properties of La1−xSrxMnO3 (0.1 ≤ x ≤ 0.25) ceramics prepared by sol–gel technique. Ceram. Int. 2019, 45, 16323–16330. [Google Scholar] [CrossRef]
  8. Soleymani, M.; Edrissi, M.; Alizadeh, A.M. Thermosensitive polymer-coated La0.73Sr0.27MnO3 nanoparticles: Potential applications in cancer hyperthermia therapy and magnetically activated drug delivery systems. Polym. J. 2015, 47, 797–801. [Google Scholar] [CrossRef]
  9. Schlottmann, P. Spin, charge, orbital and lattice degrees of freedom in quasi-cubic manganites: A brief review. Phys. B Condens. Matter 2009, 404, 2699–2704. [Google Scholar] [CrossRef]
  10. Loy, A.C.M.; Quitain, A.T.; Lam, M.K.; Yusup, S.; Sasaki, M.; Kida, T. Development of high microwave-absorptive bifunctional graphene oxide-based catalyst for biodiesel production. Energy Convers. Manag. 2019, 180, 1013–1025. [Google Scholar] [CrossRef]
  11. Lang, X.; Sun, X.; Liu, Z.; Nan, H.; Li, C.; Hu, X.; Tian, H. Ag nanoparticles decorated perovskite La0.85Sr0.15MnO3 as electrode materials for supercapacitors. Mater. Lett. 2019, 243, 34–37. [Google Scholar] [CrossRef]
  12. Afje, F.R.; Ehsani, M.H. Size-dependent photocatalytic activity of La0.8Sr0.2MnO3 nanoparticles prepared by hydrothermal synthesis. Mater. Res. Express 2018, 5, 045012. [Google Scholar] [CrossRef]
  13. Fkhar, L.; Lamouri, R.; Mahmoud, A.; Boschini, F.; Hamedoun, M.; Ez-Zahraouy, H.; Benyoussef, A.; Hlil, E.-K.; Ali, M.A.; Mounkachi, O. Enhanced Magnetic and Magnetocaloric Properties of La0.45Nd0.25Sr0.3MnO3/CuO Composite. J. Supercond. Nov. Magn. 2020, 33, 2543–2549. [Google Scholar] [CrossRef]
  14. Kumar, R.D.; Thangappan, R.; Jayavel, R. Enhanced visible light photocatalytic activity of LaMnO3 nanostructures for water purifcation. Res. Chem. Intermed. 2018, 44, 4323–4337. [Google Scholar] [CrossRef]
  15. Jain, M.; Li, Y.; Hundley, M.F.; Hawley, M.; Maiorov, B.; Campbell, I.H.; Civale, L.; Jia, Q.X.; Shukla, P.; Burrell, A.K.; et al. Magnetoresistance in polymer-assisted deposited Sr- and Ca-doped lanthanum manganite films. Appl. Phys. Lett. 2006, 88, 232510. [Google Scholar] [CrossRef]
  16. Ma, J.; Hu, J.; Li, Z.; Nan, C. Recent Progress in Multiferroic Magnetoelectric Composites: From Bulk to Thin Films. Adv. Mater. 2011, 23, 1062–1087. [Google Scholar] [CrossRef]
  17. Asín, L.; Ibarra, M.R.; Tres, A.; Goya, G.F. Controlled Cell Death by Magnetic Hyperthermia: Effects of Exposure Time, Field Amplitude, and Nanoparticle Concentration. Pharm. Res. 2012, 29, 1319–1327. [Google Scholar] [CrossRef]
  18. Sedky, A.; Ali, A.M.; Algarni, H. Structural, FTIR, optical and dielectric properties of Zn1−xAlxO ceramics for advanced applications. Opt. Quantum Electron. 2022, 54, 376. [Google Scholar] [CrossRef]
  19. Sedky, A.; Afify, N.; Almohammedi, A.; Sayed, M.; Ali, A.M.; Abd-Elnaiem, A.M. Structural, optical, and dielectric properties of M/SnO2 (M = Al2O3, NiO, Mn3O4) nanocomposites. Ceram. Int. 2023, 50, 3409–3421. [Google Scholar] [CrossRef]
  20. Sedky, A.; Afify, N.; Ali, A.M.; Algarni, H. On the dielectric behaviors of Zn1−x−yFexMyO ceramics for nonlinear optical and solar cell devices. Appl. Phys. A 2022, 128, 102. [Google Scholar] [CrossRef]
  21. Singh, J.; Singh, R.C. Structural, optical, dielectric and transport properties of ball mill synthesized ZnO–V2O5 nano-composites. J. Mol. Struct. 2020, 1215, 128261. [Google Scholar] [CrossRef]
  22. Acharya, A.D.; Sarwan, B. Tunability of Electronic Properties and Magnetic Behaviour of Nickel Oxide: A Review. Curr. Nanosci. 2019, 15, 354–370. [Google Scholar] [CrossRef]
  23. Sedky, A.; Afify, N.; Hakamy, A.; Abd-Elnaiem, A.M. Structural, optical, and dielectric properties of hydrothermally synthesized SnO2 nanoparticles, Cu/SnO2, and Fe/SnO2 nanocomposites. Phys. Scr. 2023, 98, 125929. [Google Scholar] [CrossRef]
  24. Parveen, A.; Ahmad, S.A.; Agrawal, S.; Azam, A. Room temperature variation in dielectric and electrical properties of Mn doped SnO2 nanoparticles. Mater. Today Proc. 2017, 4, 9429–9433. [Google Scholar] [CrossRef]
  25. Gupta, R.; Kumar, A.; Biswas, A.; Singh, R.; Gehlot, A.; Akram, S.V.; Verma, A.S. Advances in micro and nano-engineered materials for high-value capacitors for miniaturized electronics. J. Energy Storage 2022, 55, 105591. [Google Scholar] [CrossRef]
  26. Belkhaoui, C.; Mzabi, N.; Smaoui, H.; Daniel, P. Enhancing the structural, optical and electrical properties of ZnO nanopowders through (Al + Mn) doping. Results Phys. 2019, 12, 1686–1696. [Google Scholar] [CrossRef]
  27. Ehsani, M.; Kameli, P.; Razavi, F.; Ghazi, M.; Aslibeiki, B. Infuence of Sm-doping on the structural, magnetic, and electrical properties of La0.8−xSmxSr0.2MnO3. J. Alloys Compd. 2013, 579, 406–414. [Google Scholar] [CrossRef]
  28. Ehsani, M.H.; Kameli, P.; Ghazi, M.E.; Razavi, F.S.; Taheri, M. Tunable magnetic and magnetocaloric properties of La0.6Sr0.4MnO3 nanoparticles. J. Appl. Phys. 2013, 114, 223907. [Google Scholar] [CrossRef]
  29. Ehsani, M.; Raouf, T.; Razavi, F. Impact of Gd ion substitution on the magneto-caloric efect of La0.6-xGdxSr0.4MnO3 (x = 0, 0.0125, 0.05, 0.10) manganites. J. Magn. Magn. Mater. 2019, 475, 484–492. [Google Scholar] [CrossRef]
  30. Samoshkina, Y.E.; Edelman, I.; Rautskii, M.; Molokeev, M. Correlation between magneto-optical and transport properties of Sr-doped manganite flms. J. Alloys Compd. 2019, 782, 334–342. [Google Scholar] [CrossRef]
  31. Awana, V.P.; Schmitt, E.; Gmelin, E.; Gupta, A.; Sedky, A.; Narlikar, A.V.; de Lima, O.F.; Cardoso, C.A.; Malik, S.K.; Yelon, W.B. Effect of Zn substitution on para-to ferromagnetic transition temperature in La0.67Ca0.33Mn1−xZnxO3 colossal magnetoresistance material. J. Appl. Phys. 2000, 87, 5034. [Google Scholar] [CrossRef]
  32. El-Maghraby, E.M.; Sedky, A.; Yehia, A. The Effect of Zn-Substitution on the Anomalous Resistance Behavior of La1−x Ca x Mn1−y Zn y O3 Compounds. J. Low Temp. Phys. 2003, 133, 387–389. [Google Scholar] [CrossRef]
  33. Das, A.; De, S.; Bandyopadhyay, S.; Chatterjee, S.; Das, D. Modifed dielectric and magnetic properties of Fe and Co-substituted TbMnO3 nanoparticles. J. Alloys Compd. 2019, 778, 839–847. [Google Scholar] [CrossRef]
  34. Razi, Z.J.; Sebt, S.A.; Khajehnezhad, A. Magnetoresistance temperature dependence of LSMO and LBMO perovskite manganites. J. Theor. Appl. Phys. 2018, 12, 243–248. [Google Scholar] [CrossRef]
  35. Lim, K.P.; Ng, S.W.; Halim, S.A.; Chen, S.K.; Wong, J.K. Effect of Divalent Ions (A = Ca, Ba and Sr) Substitution in La-A-Mn-O Manganite on Structural, Magnetic and Electrical Transport Properties. Am. J. Appl. Sci. 2009, 6, 1153–1157. [Google Scholar] [CrossRef]
  36. Kurniawan, B.; Winarsih, S.; Ramadhan, M.R.; Naomi, A.; Laksmi, W. The effect of Ca-doping on structure and microstructure of La0.7(Ba1−xCax)0.3MnO3. AIP Conf. Proc. 2017, 1862, 030054. [Google Scholar]
  37. Gaur, A.; Gaur, U.K.; Yadav, K.; Varma, G.D. Study of structural, magnetic and magneto-transport properties of nanocrystalline La2/3Ca1/3MnO3 manganite. J. Optoelectron. Adv. Mater. 2010, 4, 989–994. [Google Scholar]
  38. Kameli, P.; Salamati, H.; Aezami, A. Infuence of grain size on magnetic and transport properties of polycrystalline La0.8Sr0.2MnO3 manganites. J. Alloys Comp. 2008, 450, 7–11. [Google Scholar] [CrossRef]
  39. Zhao, L.F.; Chen, W.; Shang, J.L.; Wang, Y.Q.; Yu, G.Q.; Xiao, X.; Miao, J.H.; Xia, Z.C.; Yuan, S.L. Low feld magnetoresistance observed in polycrystalline La0.67Ca0.33Mn1−xO3 sintered at low temperature. Mater. Sci. Eng. B 2006, 127, 193–197. [Google Scholar] [CrossRef]
  40. Chandrasekhar, K.D.; Das, A.K.; Mitra, C.; Venimadhav, A. The extrinsic origin of the magnetodielectric effect in the double perovskite La2NiMnO6. J. Phys. Condens. Matter. 2012, 24, 495901. [Google Scholar] [CrossRef]
  41. Turky, A.O.; Rashad, M.M.; Hassan, A.M.; Elnaggar, E.M.; Bechelany, M. Optical, electrical and magnetic properties of lanthanum strontium manganite La1−xSrxMnO3 synthesized through the citrate combustion method. Phys. Chem. Chem. Phys. 2017, 19, 6878–6886. [Google Scholar] [CrossRef] [PubMed]
  42. Nassar, K.I.; Rammeh, N.; Teixeira, S.S.; Graça, M.P.F. Effect of Pr substitution in the A site on the structural, dielectric and magnetic properties of double perovskite La2NiMnO6. Appl. Phys. A 2022, 128, 373. [Google Scholar] [CrossRef]
  43. Sayagues, M.J.; Cordoba, J.M.; Gotor, F.J. Room temperature mechanosynthesis of the La1−xSrxMnOδ (0 ≤ x ≤ 1) system and microstructural study. J. Solid State Chem. 2012, 188, 11–16. [Google Scholar] [CrossRef]
  44. Gupta, M.; Khan, W.; Yadav, P.; Kotnala, R.K.; Azam, A.; Naqvi, A.H. Synthesis and evolution of magnetic properties of Ni doped La2/3Sr1/3Mn1−xNixO3 nanoparticles. J. Appl. Phys. 2012, 111, 093706. [Google Scholar] [CrossRef]
  45. Afify, M.S.; El Faham, M.M.; Eldemerdash, U.; El Rouby, W.M.; El-Dek, S. Room temperature ferromagnetism in Ag doped LaMnO3 nanoparticles. J. Alloy. Compd. 2020, 861, 158570. [Google Scholar] [CrossRef]
  46. Ali, A.; Shah, W.H.; Safeen, A.; Ali, L.; Tufail, M.; Ullah, Z.; Safeen, K.; Eldin, S.M.; Ali, M.R.; Sohail, M.; et al. Effect of Ca doping on the arbitrary canting of magnetic exchange interactions in La1−xCaxMnO3 nanoparticles. Front. Mater. 2023, 10, 1117793. [Google Scholar] [CrossRef]
  47. Flores-Lasluisa, J.; Huerta, F.; Cazorla-Amorós, D.; Morallón, E. Manganese oxides/LaMnO3 perovskite materials and their application in the oxygen reduction reaction. Energy 2022, 247, 123456. [Google Scholar] [CrossRef]
  48. Sedky, A.; Hakamy, A.; Afify, N.; Bouhmaidi, S.; Setti, L.; Hamad, D.; AbdElnaiem, A.M. Comparative investigation of structural, photoluminescence, and magnetic characteristics of MxSn1−xOy nanocomposites. Appl. Phys. A 2023, 129, 669. [Google Scholar] [CrossRef]
  49. Li, X.; Cao, X.; Xu, L.; Liu, L.; Wang, Y.; Meng, C.; Wang, Z. High dielectric constant in Al-doped ZnO ceramics using high-pressure treated powders. J. Alloys Compd. 2016, 675, 90–94. [Google Scholar] [CrossRef]
  50. Hassan, A.A.S.; Khan, W.; Husain, S.; Dhiman, P.; Singh, M. Investigation of structural, optical, electrical, and magnetic properties of Fe-doped La0.7Sr0.3MnO3 manganites. Int. J. Appl. Ceram. Technol. 2020, 17, 2430–2438. [Google Scholar] [CrossRef]
  51. Karthik, K.; Dhanuskodi, S.; Gobinath, C.; Prabukumar, S.; Sivaramakrishnan, S. Nanostructured CdO-NiO composite for multifunctional applications. J. Phys. Chem. Solids 2018, 112, 106–118. [Google Scholar] [CrossRef]
  52. Soleymani, M.; Moheb, A.; Joudaki, E. High surface area nano-sized La0.6Ca0.4MnO3 perovskite powder prepared by low temperature pyrolysis of a modified citrate gel. Open Chem. 2009, 7, 809–817. [Google Scholar] [CrossRef]
  53. Wang, X.; Cui, Q.; Pan, Y.; Zou, G. X-Ray photoelectron and infrared transmission spectra of manganite system La0.5−xBixCa0.5MnO3 (0 ≤ x ≤ 0.25). J. Alloy. Compd. 2003, 354, 91–94. [Google Scholar] [CrossRef]
  54. Kumar, P.S.; Selvakumar, M.; Bhagabati, P.; Bharathi, B.; Karuthapandian, S.; Balakumar, S. CdO/ZnO nanohybrids: Facile synthesis and morphologically enhanced photocatalytic performance. RSC Adv. 2014, 4, 32977–32986. [Google Scholar] [CrossRef]
  55. Haase, M.; Weller, H.; Henglein, A. Photochemistry and radiation chemistry of colloidal semiconductors. 23. Electron storage on zinc oxide particles and size quantization. J. Phys. Chem. 1988, 92, 482–487. [Google Scholar] [CrossRef]
  56. Mitra, P.; Mondal, S. Structural and morphological characterization of ZnO thin films synthesized by successive ion layer adsorption and reaction. Prog. Theor. Appl. Phys. 2013, 1, 17–31. [Google Scholar]
  57. Mazen, S.A.; Zaki, H.M.; Mansour, S.F. Infrared Absorption and Dielectric Properties of Mg-Zn Ferrite. Int. J. Pure Appl. Phys. 2007, 3, 40–48. [Google Scholar]
  58. Bakeer, D.E.-S. Elastic study and optical dispersion characterization of Fe-substituted cobalt aluminate nanoparticles. Appl. Phys. A 2020, 126, 443. [Google Scholar] [CrossRef]
  59. Anupama, A.V.; Rathod, V.; Jali, V.M.; Sahoo, B. Composition dependent elastic and thermal properties of LiZn ferrites. J. Alloys Compd. 2017, 728, 1091–1100. [Google Scholar] [CrossRef]
  60. Babu, B.R.; Tatarchuk, T. Elastic properties and antistructural modeling for nickel-zinc ferrite-aluminates. Mater. Chem. Phys. 2018, 207, 534–541. [Google Scholar] [CrossRef]
  61. Varalaxmi, N.; Sivakumar, K.V. Elastic behavior of NiMgCuZn Ferrites in order to study the Phase Transitions. Ind. J. Appl. Res. 2014, 4, 537. [Google Scholar] [CrossRef]
  62. Senol, S.D.; Yalcin, B.; Ozugurlu, E.; Arda, L. Structure, microstructure, optical and photocatalytic properties of Mn-doped ZnO nanoparticles. Mater. Res. Express 2020, 7, 015079. [Google Scholar] [CrossRef]
  63. Siddique, M.N.; Ahmed, A.; Tripathi, P. Enhanced optical properties of pure and Sr doped NiO nanostructures: A comprehensive study. Optik 2019, 185, 599–608. [Google Scholar] [CrossRef]
  64. Trabelsi, A.B.G.; Chandekar, K.V.; Alkallas, F.; Ashraf, I.; Hakami, J.; Shkir, M.; Kaushik, A.; AlFaify, S. A comprehensive study on Co-doped CdS nanostructured films fit for optoelectronic applications. J. Mater. Res. Technol. 2022, 21, 3982–4001. [Google Scholar] [CrossRef]
  65. Muthreja, I.L.; Agarwal, A.K.; Kadu, M.S.; Pandhurnekar, C.P. Adsorption and kinetic behavior of fly ash used for the removal of lead from an aqueous solution. J. Chem. Technol. Metall. 2017, 52, 505–512. [Google Scholar]
  66. George, M.; Ajeesha, T.; Manikandan, A.; Anantharaman, A.; Jansi, R.; Kumar, E.R.; Slimani, Y.; Almessiere, M.; Baykal, A. Evaluation of Cu–MgFe2O4 spinel nanoparticles for photocatalytic and antimicrobial activates. J. Phys. Chem. Solids 2021, 153, 110010. [Google Scholar] [CrossRef]
  67. Chandekar, K.V.; Shkir, M.; Khan, A.; AlFaify, S. An in-depth study on physical properties of facilely synthesized Dy@CdS NPs through microwave route for optoelectronic technology. Mater. Sci. Semicond. Process. 2020, 118, 105184. [Google Scholar] [CrossRef]
  68. Turky, A.O.; Rashad, M.M.; Hassan, A.M.; Elnaggar, E.M.; Bechelany, M. Tailoring optical, magnetic and electric behavior of lanthanum strontium manganite La1−xSrxMnO3 (LSM) nanopowders prepared via a co-precipitation method with different Sr2+ ion contents. RSC Adv. 2016, 6, 17980–17986. [Google Scholar] [CrossRef]
  69. Suresh, S.; Vindhya, P.S.; Devika, S.; Kavitha, V.T. Structural, optical and dielectric properties of nanostructured La1−xSrxMnO3 perovskites. Mater. Today Commun. 2023, 36, 106657. [Google Scholar] [CrossRef]
  70. Ali, A.; Shah, W.H.; Ullah, Z.; Malik, S.; Rauf, M.; Askar, S.; Imran, N.; Ahmad, H. Narrowing of band gap and decrease in dielectric loss in La1−xSrxMnO3 for x = 0.0, 0.1, and 0.2 manganite nanoparticles. Front. Mater. 2024, 11, 1369122. [Google Scholar] [CrossRef]
  71. Ghozza, M.H.; Yahia, I.S.; Hussien, M.S.A. Structure, magnetic, and photocatalysis of La0.7Sr0.3MO3 (M = Mn, Co, and Fe) perovskite nanoparticles: Novel photocatalytic materials. Environ. Sci. Pollut. Res. 2023, 30, 61106–61122. [Google Scholar] [CrossRef] [PubMed]
  72. Hasan, M.; Basith, M.A.; Zubair, M.A.; Hossain, M.D.S.; Rubayyat, M.; Hakim, M.A.; Islam, M.D.F. Saturation magnetization and band gap tuning in BiFeO3 nanoparticles via co-substitution of Gd and Mn. J. Alloys Compd. 2016, 687, 701–706. [Google Scholar] [CrossRef]
  73. El Mesoudy, A.; Machon, D.; Ruediger, A.; Jaouad, A.; Alibart, F.; Ecoffey, S.; Drouin, D. Band gap narrowing induced by oxygen vacancies in reactively sputtered TiO2 thin films. Thin Solid Films 2023, 769, 139737. [Google Scholar] [CrossRef]
  74. Khan, R.; Tirth, V.; Ali, A.; Irshad, K.; Rahman, N.; Algahtani, A.; Sohail, M.; Isalm, S. Effect of Sn-doping on the structural, optical, dielectric and magnetic properties of ZnO nanoparticles for spintronics applications. J. Mater. Sci. Mater. Electron. 2021, 32, 21631–21642. [Google Scholar] [CrossRef]
  75. Sedky, A.; Ali, A.M.; Somaily, H.H.; Algarni, H. Electrical, photoluminescence and optical investigation of ZnO nanoparticles sintered at different temperatures. Opt. Quantum Electron. 2021, 55, 243. [Google Scholar] [CrossRef]
  76. Singh, P.; Kumar, R. Investigation of refractive index dispersion parameters of Er doped ZnO thin films by WDD model. Optik 2021, 246, 167829. [Google Scholar] [CrossRef]
  77. Ebraheem, B.; Farag, A.; Ashour, A.; Roushdy, N.; El-Nahass, M. Enhancement of optical absorption and dispersion characteristics of nanocrystalline In2Se3 films: Impact of γ-ray irradiation. J. Mater. Sci. Mater. Electron. 2023, 34, 382. [Google Scholar] [CrossRef]
  78. Hassen, A.; El-Sayed, S.; Morsi, W.; El Sayed, A. Preparation, dielectric and optical properties of Cr2O3/PVC nanocomposite films. J. Adv. Phys. 2014, 4, 571–584. [Google Scholar] [CrossRef]
  79. Zhang, J.; Shi, P.; Zhu, M.; Liu, M.; Ren, W.; Ye, Z. Structural and magnetic properties of La0.7Sr0.3MnO3 ferromagnetic thin film grown on PMN-PT by sol–gel method. J. Adv. Dielectr. 2017, 7, 1750029. [Google Scholar] [CrossRef]
  80. Mottaghi, N.; Trappen, R.B.; Kumari, S.; Huang, C.Y.; Yousefi, S.; Cabrera, G.B.; Aziziha, M.; Haertter, A.; Johnson, M.B.; Seehra, M.S. Observation and interpretation of negative remanent magnetization and inverted hysteresis loops in a thin film of La0.7Sr0.3MnO3. J. Phys. Condens. Matter. 2018, 30, 405804. [Google Scholar] [CrossRef]
  81. Mottaghi, N.; Seehra, M.S.; Trappen, R.; Kumari, S.; Huang, C.Y.; Yousefi, S.; Cabrera, G.B.; Romero, A.H.; Holcomb, M.B. Insights into the magnetic dead layer in La0.7Sr0.3MnO3 thin films from temperature, magnetic field and thickness dependence of their magnetization. AIP Adv. 2018, 8, 056319. [Google Scholar] [CrossRef]
  82. Sedky, A.; Ali, A.M.; Algarni, H. Structural, FTIR, optical and magnetic investigation of Zn1−xMxO ceramics with M=Cu, Mn: Comparative study. J. Alloy. Compd. 2022, 912, 165139. [Google Scholar] [CrossRef]
  83. Sedky, A.; Amin, S.A.; Mohamed, M. Electrical, photoluminescence and ferromagnetic characterization of pure and doped ZnO nanostructures. Appl. Phys. A 2019, 125, 308. [Google Scholar] [CrossRef]
  84. Amin, S.; Sedky, A. On the correlation between electrical, optical and magnetic properties of Zn1−xPrxO nanoparticles. Mater. Res. Express 2019, 6, 065903. [Google Scholar] [CrossRef]
  85. Rai, B.; Wang, L.; Mishra, S.R.; Nguyen, V.; Liu, J. Synthesis and magnetic properties of hard-soft SrFe10Al2O19/NiZnFe2O4 ferrite nanocomposites. J. Nanosci. Nanotechnol. 2014, 14, 5272–5277. [Google Scholar] [CrossRef]
  86. Mohamed, M.; Sedky, A.; Alshammari, A.S.; Alshammari, M.S.; Khan, Z.R.; Bouzidi, M.; Aly, K.A.; Lemine, O.M. On the correlation between mechanical, optical, and magnetic properties of co-substituted Sn1-x-yZnxMyOz metal-oxide ceramics with M=Fe, Co, Ni, and Mn. Ceram. Int. 2024, 50, 17311–17322. [Google Scholar] [CrossRef]
  87. Sedky, A.; Afify, N.; Omer, M.; Sayed, M.A.; Ali, A.M.; Almohammedi, A. Annealing temperature effect on structural, mechanical, and magnetic properties of Cd0.40M0.60ZnO2 (M = Mn, Ni) nanocomposites. Mater. Chem. Phys. 2023, 309, 128326. [Google Scholar] [CrossRef]
  88. Abbady, G.; Afify, N.; Sedky, A.; Hamad, D. Effect of annealing temperature on structural, optical and magnetic properties of Cd1−xMnxZnO2 nanocomposites: An investigation for ferromagnetic. Ceram. Int. 2023, 49, 18042–18054. [Google Scholar] [CrossRef]
  89. Nguyen, T.T.; LeMinh, D. Size effect on the structural andmagnetic properties of nanosized perovskite LaFeO3 prepared by different methods. Adv. Mater. Sci. Eng. 2012, 2012, 380306. [Google Scholar] [CrossRef]
  90. Obaidat, I.M.; Issa, B.; A Albiss, B.; Haik, Y. Investigating Negative Magnetization and Blocking Temperature in Aggregates of Ferrite Nanoparticles. IOP Conf. Ser. Mater. Sci. Eng. 2015, 92, 012011. [Google Scholar] [CrossRef]
  91. Dönni, A.; Pomjakushin, V.Y.; Zhang, L.; Yamaura, K.; Belik, A.A. Origin of negative magnetization phenomena in (Tm1−xMnx)MnO3: A neutron diffraction study. Phys. Rev. B 2020, 101, 054442. [Google Scholar] [CrossRef]
  92. Ghara, S.; Barts, E.; Vasin, K.; Kamenskyi, D.; Prodan, L.; Tsurkan, V.; Kézsmárki, I.; Mostovoy, M.; Deisenhofer, J. Magnetization reversal through an antiferromagnetic state. Nat. Commun. 2023, 14, 5174. [Google Scholar] [CrossRef] [PubMed]
  93. Kumar, A.; Yusuf, S.M. The phenomenon of negative magnetization and its implications. Phys. Rep. 2015, 556, 1–34. [Google Scholar] [CrossRef]
  94. Yousefi, M.; Ranjbar, M. Ultrasound and Microwave-Assisted Co-precipitation Synthesis of La0.75Sr0.25MnO3 Perovskite Nanoparticles from a New Lanthanum(III) Coordination Polymer Precursor. J. Inorg. Organomet. Polym. Mater. 2017, 27, 633–640. [Google Scholar] [CrossRef]
  95. Yang, W.; Hsu, C.; Liu, Y.; Hsu, R.; Lu, T.; Hu, C. The structure and photocatalytic activity of TiO2 thin films deposited by dc magnetron sputtering. Superlattices Microstruct. 2012, 52, 1131–1142. [Google Scholar] [CrossRef]
  96. Fu, Y.; Xu, Y.; Mao, Y.; Tan, M.; He, Q.; Mao, H.; Du, H.; Hao, D.; Wang, Q. Multi-functional Ag/Ag3PO4/AgPMo with S-scheme heterojunction for boosted photocatalytic performance. Sep. Purif. Technol. 2023, 317, 123922. [Google Scholar] [CrossRef]
  97. Zamiri, R.; Singh, B.; Bdikin, I.; Rebelo, A.; Belsley, M.S.; Ferreira, J. Influence of Mg doping on dielectric and optical properties of ZnO nano-plates prepared by wet chemical method. Solid State Commun. 2014, 195, 74–79. [Google Scholar] [CrossRef]
  98. Ojha, S.K.; Purkait, P.; Chatterjee, B.; Chakravorti, S. Application of Cole–Cole model to transformer oil-paper insulation considering distributed dielectric relaxation. High Volt. 2019, 4, 72–79. [Google Scholar] [CrossRef]
  99. Reddy, G.K.; Reddy, A.J.; Krishna, R.H.; Nagabhushana, B.; Gopal, G.R. Luminescence and spectroscopic investigations on Gd3+ doped ZnO nanophosphor. J. Asian Ceram. Soc. 2017, 5, 350–356. [Google Scholar] [CrossRef]
  100. van Dijken, A.; Meulenkamp, E.A.; Vanmaekelbergh, D.; Meijerink, A. The Kinetics of the Radiative and Nonradiative Processes in Nanocrystalline ZnO Particles upon Photoexcitation. J. Phys. Chem. B 2000, 104, 1715–1723. [Google Scholar] [CrossRef]
  101. Hassan, M.M.; Khan, W.; Azam, A.; Naqvi, A. Influence of Cr incorporation on structural, dielectric and optical properties of ZnO nanoparticles. J. Ind. Eng. Chem. 2015, 21, 283–291. [Google Scholar] [CrossRef]
  102. Hizi, W.; Gassoumi, M.; Rahmouni, H.; Guesmi, A.; Ben Hamadi, N.; Dhahri, E. Effect of Sintering Temperature and Polarization on the Dielectric and Electrical Properties of La0.9Sr0.1MnO3 Manganite in Alternating Current. Materials 2022, 15, 3683. [Google Scholar] [CrossRef] [PubMed]
  103. Manohar, A.; Krishnamoorthi, C.; Naidu, K.C.B.; Pavithra, C. Dielectric, magnetic hyperthermia, and photocatalytic properties of ZnFe2O4 nanoparticles synthesized by solvothermal reflux method. Appl. Phys. A 2019, 125, 477. [Google Scholar] [CrossRef]
  104. Ojha, S.K.; Purkait, P.; Chakravorti, S. Modeling of relaxation phenomena in transformer oil-paper insulation for understanding dielectric response measurements. IEEE Trans. Dielectr. Electr. Insul. 2016, 23, 3190–3198. [Google Scholar] [CrossRef]
  105. Babu, N.R.; Valente, M.; Rao, N.N.; Graça, M.; Raju, G.N.; Piasecki, M.; Kityk, I.; Veeraiah, N. Low temperature dielectric dispersion and electrical conductivity studies on Fe2O3 mixed lithium yttrium silicate glasses. J. Non-Crystalline Solids 2012, 358, 3175–3186. [Google Scholar] [CrossRef]
  106. Sedky, A.; Afify, N.; Almohammedi, A.; Ibrahim, E.M.M.; Ali, A.M. Structural, optical, photoluminescence and magnetic investigation of doped and Co-doped ZnO nanoparticles. Opt. Quantum Electron. 2023, 55, 456. [Google Scholar] [CrossRef]
  107. Mahapatra, T.; Halder, S.; Bhuyan, S.; Choudhary, R.N.P. Dielectric and electrical characterization of lead-free complex electronic ceramic: (Bi1/2Li1/2)(Zn1/2W1/2)O3. J. Mater. Sci. Mater. Electron. 2018, 29, 18742–18750. [Google Scholar] [CrossRef]
  108. Nasrallah, D.A.; El-Metwally, E.G.; Ismail, A.M. Structural, thermal, and dielectric properties of porous PVDF/Li4Ti5O12 nanocomposite membranes for high-power lithium-polymer batteries. Polym. Adv. Technol. 2020, 32, 1214–1229. [Google Scholar] [CrossRef]
Figure 1. XRD patterns of the La0.67Sr0.33Mn1-x-yZnxCoyO3 samples.
Figure 1. XRD patterns of the La0.67Sr0.33Mn1-x-yZnxCoyO3 samples.
Crystals 14 00981 g001
Figure 2. SEM micrographs and grain size distribution of the La0.67Sr0.33M samples.
Figure 2. SEM micrographs and grain size distribution of the La0.67Sr0.33M samples.
Crystals 14 00981 g002aCrystals 14 00981 g002b
Figure 3. EDS compositional analysis of the La0.67Sr0.33Mn1-x-yZnxCoyO3 samples.
Figure 3. EDS compositional analysis of the La0.67Sr0.33Mn1-x-yZnxCoyO3 samples.
Crystals 14 00981 g003aCrystals 14 00981 g003b
Figure 4. FTIR spectra of La0.67Sr0.33Mn1-x-yZnxCoyO3 samples.
Figure 4. FTIR spectra of La0.67Sr0.33Mn1-x-yZnxCoyO3 samples.
Crystals 14 00981 g004
Figure 5. (a) Optical absorbance versus wavelength of the La0.67Sr0.33Mn1-x-yZnxCoyO3 samples. (b) (αhυ)2 against hυ plots of the La0.67Sr0.33Mn1-x-yZnxCoyO3 samples.
Figure 5. (a) Optical absorbance versus wavelength of the La0.67Sr0.33Mn1-x-yZnxCoyO3 samples. (b) (αhυ)2 against hυ plots of the La0.67Sr0.33Mn1-x-yZnxCoyO3 samples.
Crystals 14 00981 g005
Figure 6. The linear plots between (n2 − k2) and (λ)2 for La0.67Sr0.33Mn1-x-yZnxCoyO3 samples.
Figure 6. The linear plots between (n2 − k2) and (λ)2 for La0.67Sr0.33Mn1-x-yZnxCoyO3 samples.
Crystals 14 00981 g006
Figure 7. The linear plots between (n2 − 1)−1 and (hυ)2 for La0.67Sr0.33Mn1-x-yZnxCoyO3 samples.
Figure 7. The linear plots between (n2 − 1)−1 and (hυ)2 for La0.67Sr0.33Mn1-x-yZnxCoyO3 samples.
Crystals 14 00981 g007
Figure 8. (a). Magnetization against applied field at 300 K for La0.67Sr0.33Mn1-x-yZnxCoyO3 samples. (b). The dependance of Magnetization on the applied field at 10 K for La0.67Sr0.33Mn1-x-yZnxCoyO3 samples.
Figure 8. (a). Magnetization against applied field at 300 K for La0.67Sr0.33Mn1-x-yZnxCoyO3 samples. (b). The dependance of Magnetization on the applied field at 10 K for La0.67Sr0.33Mn1-x-yZnxCoyO3 samples.
Crystals 14 00981 g008
Figure 9. (a,b). Magnetic hysteresis loops of La0.67Sr0.33Mn1-x-yZnxCoyO3 samples.
Figure 9. (a,b). Magnetic hysteresis loops of La0.67Sr0.33Mn1-x-yZnxCoyO3 samples.
Crystals 14 00981 g009
Figure 10. The zero-field-cooled (ZFC) field-cooled (FC) measurements at an applied magnetic field of 100 Oe for S3 where the blocking temperature Tb = 60 K.
Figure 10. The zero-field-cooled (ZFC) field-cooled (FC) measurements at an applied magnetic field of 100 Oe for S3 where the blocking temperature Tb = 60 K.
Crystals 14 00981 g010
Figure 11. (a). The dependance of a real part of dialectic constant on the frequency (f) for La0.67Sr0.33Mn1-x-yZnxCoyO3 samples. (b). Ac conductivity versus frequency for La0.67Sr0.33Mn1-x-yZnxCoyO3 samples.
Figure 11. (a). The dependance of a real part of dialectic constant on the frequency (f) for La0.67Sr0.33Mn1-x-yZnxCoyO3 samples. (b). Ac conductivity versus frequency for La0.67Sr0.33Mn1-x-yZnxCoyO3 samples.
Crystals 14 00981 g011
Figure 12. (a,b). Real and imaginary parts of electric modulus (M\, M\\) versus frequency for La0.67Sr0.33Mn1-x-yZnxCoyO3 samples.
Figure 12. (a,b). Real and imaginary parts of electric modulus (M\, M\\) versus frequency for La0.67Sr0.33Mn1-x-yZnxCoyO3 samples.
Crystals 14 00981 g012
Figure 13. (a,b). Cole-Cole plot of La0.67Sr0.33Mn1-x-yZnxCoyO3 samples.
Figure 13. (a,b). Cole-Cole plot of La0.67Sr0.33Mn1-x-yZnxCoyO3 samples.
Crystals 14 00981 g013
Figure 14. Equivalent circuit of RC circuit for single and two successive semicircles.
Figure 14. Equivalent circuit of RC circuit for single and two successive semicircles.
Crystals 14 00981 g014
Table 1. Chemical formulas, molecular weights, and masses of the La0.67Sr0.33Mn(1-x-y)ZnxCoyO3 samples.
Table 1. Chemical formulas, molecular weights, and masses of the La0.67Sr0.33Mn(1-x-y)ZnxCoyO3 samples.
CompoundLa0.67Sr0.33Mn(1-x-y)ZnxCoyO3La2O3SrCo3Mn2O3ZnOCoOMw (g) (Total)M (g)
(Total)
Mw (g)328.81147.63157.8881.3874.93
Samplexym (g)m (g)m (g)m (g)m (g)
S10.000.002.0550.4591.486---------------424.894
S20.01250.01252.0660.4611.4570.0440.009422.594
S30.0250.0252.0740.4641.4250.0190.018420.924
S40.050.052.0950.4671.3630.0390.036416.924
S50.100.102.1350.4771.2350.0800.073408.954
Table 2. Lattice parameters, unit cell volume, porosity, crystallite and grain sizes, and element weight percent of La0.67Sr0.33Mn1-x-yZnxCoyO3 samples.
Table 2. Lattice parameters, unit cell volume, porosity, crystallite and grain sizes, and element weight percent of La0.67Sr0.33Mn1-x-yZnxCoyO3 samples.
Sa (Ẳ)b (Ẳ)c (Ẳ)V (Ẳ)3β (°)γ (°)PSD (nm)
S15.4807.7735.493238.9890.9290.620.11723.50
S25.4817.7765.496234.2390.5490.500.11421.67
S35.4697.7745.501233.8990.6890.430.13820.97
S45.4727.7585.487232.9190.8490.610.17317.36
S55.4687.7765.494233.6190.7190.530.15920.19
SDSEM
(nm)
w%
(La)
w%
(Sr)
w%
(Mn)
w%
(O)
w%
(Zn)
w%
(Co)
S195663.034.3232.205.110.000.00
S278857.911.7627.545.210.902.01
S372053.982.5625.1114.101.942.32
S484159.501.9022.859.402.494.05
S573761.921.4622.714.094.255.56
Table 3. Debye temperature, Poisson’s ratio, elastic modulus, bond length, and effective mass of La0.67Sr0.33Mn1-x-yZnxCoyO3 samples.
Table 3. Debye temperature, Poisson’s ratio, elastic modulus, bond length, and effective mass of La0.67Sr0.33Mn1-x-yZnxCoyO3 samples.
SθD (K)γY × 1012 (D/cm2)β × 1012 (D/cm2)G × 1011 (D/cm2)L (M-O) nmm* × 10−23 (g)
S1720.540.2855.274.072.050.5495.07
S2720.540.2856.354.932.470.5505.07
S3747.600.2776.965.212.720.5505.07
S4782.900.2667.855.583.100.5495.07
S5665.490.2705.614.072.210.5495.07
Table 4. The energy gap, residual dielectric constant, carrier density, and single and dispersion oscillator energies of La0.67Sr0.33Mn1-x-yZnxCoyO3 samples.
Table 4. The energy gap, residual dielectric constant, carrier density, and single and dispersion oscillator energies of La0.67Sr0.33Mn1-x-yZnxCoyO3 samples.
SEg (eV)ϵL(N/m*) × 1046 (cm3·g)−1Eo (eV)Ed (eV)
S13.855.073.699.5541.88
S23.826.876.776.988.79
S33.651.882.465.934.26
S43.951.992.466.285.19
S53.752.784.927.7110.63
Table 5. Total, saturated, and remnant magnetizations, coercive fields, anisotropy, squareness, and magnetic moment of La0.67Sr0.33Mn1-x-yZnxCoyO3 samples.
Table 5. Total, saturated, and remnant magnetizations, coercive fields, anisotropy, squareness, and magnetic moment of La0.67Sr0.33Mn1-x-yZnxCoyO3 samples.
SMt (300 K)
(emu/g)
Mt (10 K) (emu/g)Ms (300 K) (emu/g)Ms (10 K) (emu/g)Hc (300 K) (Oe)Hc (10 K) (Oe)Mr (300 K) (emu/g)Mr (10 K) (emu/g)
S10.707.660.0534.301038700.00451.23
S20.838.640.0985.195411700.00361.60
S31.2713.780.1917.761210550.00722.45
S41.2115.080.0608.444422160.00283.22
S50.9310.110.1285.186020950.00592.08
Sγ (300 K) (emu·Oe/g)γ (10 K) (emu·Oe/g)Sq (300 K)Sq (10 K)μ (300 K) (μB)μ (10 K) (μB)
S15.5703817.350.0850.2860.0020.182
S25.4006196.220.0370.3080.0040.220
S32.3398353.880.0380.3160.0080.329
S42.69419084.740.0470.3820.0030.358
S57.83711073.570.0460.4020.0050.219
Table 6. Frequency exponent, binding energy, impedance of gains and their boundaries, bulk resistance, and effective capacitance of La0.67Sr0.33Mn1-x-yZnxCoyO3 samples.
Table 6. Frequency exponent, binding energy, impedance of gains and their boundaries, bulk resistance, and effective capacitance of La0.67Sr0.33Mn1-x-yZnxCoyO3 samples.
Sf (M\\) (Hz)Z\(g) (MΩ)Z\(gb) (MΩ)RB (MΩ)Ceff (nF)
S135380.3057.403330.424
S21682116389520.145
S319925417310000.134
S465105065750000.045
S51374111929090.105
Disclaimer/Publisher’s Note: The statements, opinions and data contained in all publications are solely those of the individual author(s) and contributor(s) and not of MDPI and/or the editor(s). MDPI and/or the editor(s) disclaim responsibility for any injury to people or property resulting from any ideas, methods, instructions or products referred to in the content.

Share and Cite

MDPI and ACS Style

Mohamed, M.; Sedky, A.; Alshammari, A.S.; Khan, Z.R.; Bouzidi, M.; Alshammari, M.S. Structural, Optical, Magnetic, and Dielectric Investigations of Pure and Co-Doped La0.67Sr0.33Mn1-x-yZnxCoyO3 Manganites with (0.00 < x + y < 0.20). Crystals 2024, 14, 981. https://doi.org/10.3390/cryst14110981

AMA Style

Mohamed M, Sedky A, Alshammari AS, Khan ZR, Bouzidi M, Alshammari MS. Structural, Optical, Magnetic, and Dielectric Investigations of Pure and Co-Doped La0.67Sr0.33Mn1-x-yZnxCoyO3 Manganites with (0.00 < x + y < 0.20). Crystals. 2024; 14(11):981. https://doi.org/10.3390/cryst14110981

Chicago/Turabian Style

Mohamed, Mansour, A. Sedky, Abdullah S. Alshammari, Z. R. Khan, M. Bouzidi, and Marzook S. Alshammari. 2024. "Structural, Optical, Magnetic, and Dielectric Investigations of Pure and Co-Doped La0.67Sr0.33Mn1-x-yZnxCoyO3 Manganites with (0.00 < x + y < 0.20)" Crystals 14, no. 11: 981. https://doi.org/10.3390/cryst14110981

APA Style

Mohamed, M., Sedky, A., Alshammari, A. S., Khan, Z. R., Bouzidi, M., & Alshammari, M. S. (2024). Structural, Optical, Magnetic, and Dielectric Investigations of Pure and Co-Doped La0.67Sr0.33Mn1-x-yZnxCoyO3 Manganites with (0.00 < x + y < 0.20). Crystals, 14(11), 981. https://doi.org/10.3390/cryst14110981

Note that from the first issue of 2016, this journal uses article numbers instead of page numbers. See further details here.

Article Metrics

Back to TopTop