Abstract
The energies of an electron in a one-dimensional crystal are studied with both the Schrödinger and Dirac equations using the plane wave expansion method. The crystalline potential sensed by the electron in a cell was calculated by accounting for the Coulombic (electrostatic) interaction between the electron and the surrounding cores (immobile positive ions at the center of the crystal cells). The energies and wave functions of the electron were calculated as a function of four parameters: the period of the lattice, the dimension of the matrix in the momentum space, the partition number in which the unit cell is divided to calculate the potential and the number of cores that affect the electron. It was found that 8000 cores (surrounding the electron) were needed to reach our convergence criterion. An analytical equation that accurately describes the behavior of the energies in function of the cores that affect the electron was also found. As case studies, the energies for pseudo-lithium and pseudo-graphene were obtained as a first approximation for one-dimensional lattices. Subsequently, the energies of an isolated dimer nanoparticle were also calculated using the supercell method.
1. Introduction
The Dirac equation [1,2] has acquired special attention in the last few years, since it governs the unusual behavior of electrons at the Fermi energy in graphene [3], where the valence and conduction bands are different, except at one point. This type of band dispersion where two linear bands appear to cross each other in a forbidden band is known as the Dirac cone. The crossing point is called the Dirac point. This point is where unusual behaviors arise, the Klein tunneling being the most relevant, not just in graphene [4,5,6], but also in photonic [7] and phononic crystals [8].
In addition, the Dirac equation does account for relativistic phenomena and the electron’s spin, compared to the Schrödinger equation, so the first one is more suited to be applied for potentials related to crystals with atoms having really fast electrons. Hence, it can be considered that the Dirac equation is the best option to study actual crystals, although the Schrödinger equation has been predominantly used for crystal studies [9,10,11,12]. Regarding this, recently, both the Dirac and Schrödinger equations were used to study the energies of electrons in 1D-crystals by assuming the Kronig–Penney potential. In that study, an applicability criterion for the Schrödinger equation was proposed regarding the strength of the periodic potential [13].
The Kronig–Penney model is a first approximation for a charged particle in a crystal, in which the potential is one-dimensional and rectangular. This means that the charged particle is affected in a stepwise manner only by one ion. By feeding this potential into a quantum equation, for example, Schrödinger’s equation, and solving for an electron, the energies obtained show bands and gaps, which are exhibited by crystalline solids. This potential has been used to study finite crystals [14,15], quarks [16,17], wave propagation [15], solutions to the Dirac equation for electrons [13,18], massless fermions [19], and relativistic potentials [20].
The simplicity of the Kronig–Penney approximation is its strength, for its easy modeling, but also its weakness, for its lack of physical accurateness. Let us recall that the potential is proportional to the inverse of the distance. For instance, considering the case of an electron, it would not only “feel” the nearest ion, but also the ones in its his neighborhood. Thus, to have a more realistic approximation of the potential and, consequently, to the properties of matter, we used an electrostatic Coulomb-type potential for a one-dimensional lattice, since it is known that some physical properties of matter can be obtained from the electronic band structure, as in the case of semiconductors.
In the present paper, the energies for an electron in a one-dimensional crystal, considering an electrostatic Coulomb-type potential, are obtained by solving the Schrödinger and Dirac equations. The crystal represents an infinite lattice of immobile cores (ions) of charge +e, which can be “sensed” by the electron in its neighborhood. The lattice constant is chosen as that of lithium. (It is important to point out that one-dimensional crystals can be modeled to depict hypothetical graphene sheets).
This work is organized as follows: In the next section, the mathematical formalism for the application of the plane wave expansion method (PWEM), also known as the Bloch method [21,22], is exposed. This method is applied to the Dirac equation to obtain the eigenvalues equation that provides all the energies and the bispinor wave functions for a given propagation wave vector. An important detail in this formalism is that the potential is calculated numerically as a Fourier expansion series, which avoids the infinite value of the Coulomb potential at the center of the unit cell. A consequence of this might be the appearance of a spurious mode. In Section 3, the electronic band structure is presented, showing a comparison between calculations for only one core affecting the electron performed with the Schrödinger and the Dirac equations. The value of the used parameters is then justified. These parameters are the partition number () of the unit cell, the number related to the eigenvalues matrix size (), and the number of nuclei that affect the electron (). After that, the analytical equation that describes the behavior of the energies in function of is presented, showing its results and comparing them with our numerical calculations. Then, as case studies using this methodology, the energies for pseudo-lithium, pseudo-graphene, and for an isolated dimer (two atoms) nanoparticle are obtained. Finally, some conclusions are presented.
2. Theory
The Dirac equation [1,2] for an electron in an internal electromagnetic field, characterized by a scalar and a vector potentials, is given by
where and are the derivative temporal and spatial operators, respectively, is the magnitude of the electron charge, with its rest mass, is the light velocity in a vacuum, (the spin), , , and are 4 × 4 matrices introduced by Dirac, is the unit matrix, is a bispinor (four-component) wave vector, is the internal scalar potential, and is the internal vector potential. The Dirac matrices are given in Appendix A.
If the electrostatic approximation is assumed for the internal electromagnetic field, (therefore, the magnetic field is zero) and , then Equation (1) is
The solution to Equation (2) with a Kronig–Penney–Dirac potential was given in [13]. A summary of this solution is now presented. The solution proposed to Equation (2) is
The stationary equation is obtained when Equation (3) is introduced into Equation (2):
which, in matrix form, is
where is the potential energy and
If the potential is periodic, it can be expanded as a Fourier series:
where is the period and are the Fourier coefficients of the potential. The wave function is expanded using the Bloch–Floquet theorem:
where is the x component of the Bloch wave vector, with .
By substituting Equations (7) and (8) into Equation (5), it is transformed into
where . Equation (9) splits into two matrix equations of reduced dimension:
and
This splitting means that the states are two-fold degenerate. Additionally, with the Dirac equation both positive and negative energies will be obtained, which are separated by about for low magnitude potentials (see Ref. [13]). Recalling that negative energies correspond to the positron, only the positive energies are compared to those of the Schrödinger equation.
A similar procedure is used with the Schrödinger equation to obtain the eigenenergies (see Appendix B).
The matrix in Equation (11) has been truncated to in order to obtain the eigenenergies.
3. Numerical Results
This section is divided into two main parts. The numerical approach applied will be presented first, introducing the physical parameters involved in the calculations, as well as the procedure to obtain their optimal values, and some important mathematical and physical considerations, along with the corresponding results. Then, three application cases will be studied using the parameters previously determined.
3.1. The Numerical Approach
We use a one-dimensional lattice as a first approximation to a body-centered cubic lithium crystal with a period in normal conditions, i.e., (111) direction, assuming that the charge of the nuclei is screened by the two deepest electrons, so the cores produce a Coulomb hydrogen-type potential. Since their potentials are of long range, to calculate the potential, a given number of cores () is assumed to interact with the electron in the unit cell.
Unless otherwise specified, to obtain the eigenvalues, the infinite dimension of the matrix Equation (11) is truncated to . The parameter determines the dimension of the matrix, where . This matrix size guarantees compliance with the convergence criterion, meaning that the differences of energies obtained for the lowest negative band with and is lower than one thousandth of an electron volt.
The Fourier coefficients of the potential are calculated following a numerical procedure, given in Appendix C. The period is divided in pieces, with being the partition number. Within each partition, the potential is assumed constant. This procedure has been used before [23]. The origin is avoided because the potential produces an infinite negative energy at this point. The partition number was fixed at for the final calculations. See Table 1 to consider the value of required for different values of to satisfy the convergence criterion.
Table 1.
Required parameters to achieve convergence. The period is The number of cores affecting the electron in the central cell is . is the energy in eV of the lowest band at the Bloch wavenumber .
The parameters and are used to calculate the coefficients of the Fourier expansion of the potential (see Appendix C). It is clearly demonstrated that the overall obtained energies strongly depend on the parameter .
The calculations of this work were performed with FORTRAN programming in desktop computers and a workstation with Intel i7 processors and at least 16 GB of RAM. We anticipate that calculations for 2D and 3D crystals with larger matrices of eigenvalues will require the use of supercomputing.
3.1.1. Schrödinger and Dirac
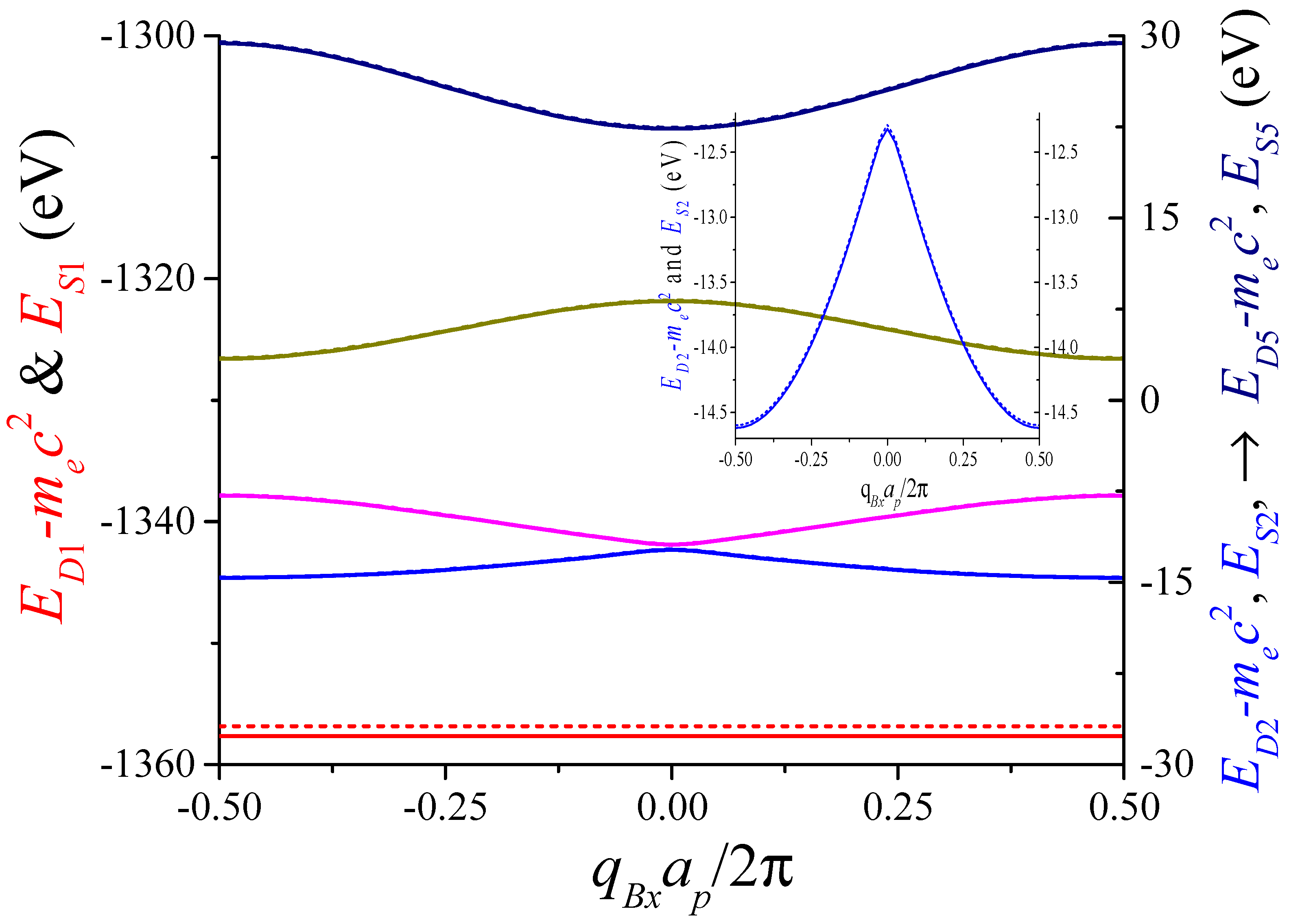
The solution of the Schrödinger equation by the plane wave expansion method is well known, but this is not the case for the Dirac equation. In this section, we validate our calculations using the Dirac equation by comparing them with those of the Schrödinger equation. These equations determine the allowed energies of a charged particle in the presence of a potential. In this section, the obtained band structures for an electron in a one-dimensional lattice will be compared for both equations, with only one core influencing the electron ()”.
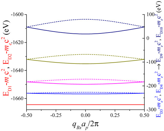
Figure 1 shows the five most negative energies as a function of the Bloch wavenumber for the Schrödinger (S) and Dirac (D) equations. The dashed lines correspond to S and the solid ones to D. The differences between the energies obtained with both equations are less than one hundredth of an eV (see the inset in Figure 1). This is expected, since the potential actuating on the electron is too small to induce relativistic behavior. Only for the most negative band, it is possible to appreciate some differences (in the shown scale) between the results from the S and D equations, which is about 0.1 eV. This band is similar to the known flat bands in solid-state physics (see Ref. [24] and the references therein). For the other bands, the energies are almost equal, except for the second band, where the difference can be seen on the appropriate scale.
Figure 1.
The five lowest bands are shown. The left scale corresponds to the red colored bands and the right scale to the other ones. The solid lines are the solutions given by the D equation, and the dashed ones represent the ones given by the S equation. The red colored bands strongly depend on the partition number, . The second lowest band is plotted in the inset. The period is . The number of cores affecting the electron is . The partition number of the unit cell is . The parameter related to the matrix dimension is . The color of a line indicates correspondence with a specific energy band.
Both equations provide practically the same band structure, since there are no relativistic effects. A small difference is seen in the lower band. It is important to note that , the rest energy of the electron, is subtracted from the energies given by the Dirac equation.
3.1.2. The Unit Cell Partition
The solution of Equation (11) to obtain the energies requires the prior calculation of the coefficients from Equation (7) of the potential. These coefficients are obtained by means of a numerical procedure that consists of dividing the unit cell into number of rectangular sections, where the potential is constant. The larger the parameter , the smaller the sections of the unit cell and the more accurate the representation of the potential. Thus, the coefficients of the potential and the energies depend on . The procedure of the calculation of these coefficients is presented in Appendix C. In the following, the energies are studied in function of .
In Figure 2, the energies of the five lowest bands are shown as a function of the partition number fixing . The wave vector is in the center of the Brillouin zone (). These energies are displayed for three values of : 1024, 2048, and 4096. Due to their behavior, the red-colored energies are considered to correspond to a spurious mode, i.e., a non-physical solution. As increases, this mode becomes more negative. This is not seen in other modes. The blue-, magenta-, dark yellow- and navy-colored energies display a clear tendency to reach convergence.
Figure 2.
Energies of the five lowest bands at , three negatives and two positives, as a function of the partition number . The period is Only one core is affecting the electron (). The modes were calculated for three values of . The energy of the red-colored mode (a spurious one) rapidly decays to negative values as grows. The remaining modes appear to reach convergence even for . The color of a line indicates correspondence with a specific energy band.
We use for the definitive calculations because the energies have a stable behavior at that value, indicating that no further resolution in the potential is needed.
3.1.3. The Convergence
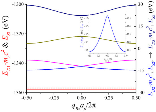
In this section, the convergence of the energies on is studied. The PWEM uses infinite series to define the wave function [Equation (8)] and the potential [Equation (7)], and when substituted into the wave equation [Equation (5)], we obtain the matrix equation of eigenvalues of energies [Equation (11)], which is also infinite. To obtain results for the energies, Equation (11) should be truncated. The larger the size of the eigenvalue matrix, and consequently the size of , the greater the convergence of energies becomes. Let us recall that the relation between the dimension of the matrix and the parameter is .
In Figure 3, five energies are shown as a function of with the parameters and fixed at 4096 and 1, respectively. Only one core (ion) is affecting the electron. The wave vector is taken at the center of the Brillouin zone (). The criterion to reach convergence in the results was that . As increases, the energies related to have an exponential decay behavior. The other energies are almost independent of this parameter, especially the ones related to .
Figure 3.
Five energies (the three most negative and two positive ones near zero) are shown as a function on . The period is The number of cores affecting the electron is . The partition number of the unit cell is . The red-colored energies display an exponential decay behavior as increases; meanwhile, the other ones are less dependent on this parameter. The color of a line indicates correspondence with a specific energy band.
For the required convergence was reached. Convergence may vary depending on the characteristics of the system in which the electron is immersed. As shown below, in the application cases presented in Section 3.2, graphene required , while the dimer required .
3.1.4. The Influence of the Nuclei
In this section, we begin to answer the question about the influence of the neighboring nuclei on the electron due to the Coulomb-type potential. Although the system studied is physically simple, it serves as a precedent for more realistic systems.
If additional cores, belonging to other cells than the central one, are used to calculate the potential affecting the electron in the central cell, the bands become more negative and the number of the negative bands increases. This is noted in the next figure.
In Figure 4, the energies of the five lowest modes as a function of are shown, with the parameters and fixed at 4096 and 840, respectively. All the energy modes display the same exponential decay behavior as is increased. From these curves, we can conclude that cores far away (4100 periods) affect the potential that the electron experiences in the central cell. This is a demonstration of the long-range effects of the Columb potential. In theory, for a crystal, this number, , must be infinite. However, for the sake of our calculations, was stopped until the condition was fulfilled. The blue and magenta energies are practically overlapping. This means that the second and third bands almost touch at
Figure 4.
The five lowest energies as a function of at . The period is . The parameter is set to 840. The partition number of the unit cell is . The red (non-red)- colored energies are related to the left (right) scale. Data from Equation (12) are represented with open circles with the same color as their respective band. The color of a line indicates correspondence with a specific energy band. In the upper energies the numerical results are almost indistinguishable from those coming from Equation (12).
Comparing the Kronig–Penney and the Coulomb potentials for an electron in a one-dimensional lattice, the former is of short-range, since the electron only “feels” one nucleus, while the latter is of long-range, since the electron also “feels” the nuclei in its vicinity, depicting a more realistic situation. According to our calculations for the Coulomb potential, the energies of the electron depend strongly on the parameter . Since the potential that the electron “feels” is directly proportional to the inverse of the distance, the further away the nuclei are, the lesser its influence on the electron, yet it is still present.
3.1.5. The Analytical Equation
Analyzing the results in Figure 4, it was found that the overall energies behave as follows:
where i identifies the respective band (1, 2, 3, 4, 5, etc.), is the energy obtained with our methodology when only one core was considered , and is the corresponding energy to be calculated for any number . The function is given by
The function defines the proportional value of energy that Equation (12) requires for its calculations. The energy must be obtained numerically with our methodology for each band. The parameter indicates that the energy must consider a value of greater than 1, i.e., , or , or , which was our case. Then, specifically, we calculated and used . Thus, having , and , the energies for the band can be calculated analytically for any value of . In Figure 4, the energies associated with to were calculated with Equation (12) and are represented with open circles of the same color as their respective band. The error of the data from Equation (12) versus our numerical calculations is very small, as can be seen in Table 2, where the average error for each band is shown, along with the values of for the five bands.
Table 2.
Values of calculated with Equation (12) for the five bands shown in Figure 4 and the average error between the data from our numerical calculations and the data from Equation (12) for each band. The values for and were obtained with and .
The errors in Table 2 are the averages over 35 values for each band obtained with Equation (12), from to . The fact that the values of are different for each is expected, since each band has its own convergence. We also attribute the discrepancy in errors to the different degrees of convergence in the bands. The average error of the five values is 0.15%. The average value for is . From Equation (12), we conclude that the influence on the energies of the electron by the surrounding nuclei is logarithmic. Further investigation is required to understand this fact and the specific value of .
Equation (12) offers a simple analytical alternative to obtain the energies associated with the electron for the different values of , saving computation time and effort.
So far, we have shown the behavior of the energies with respect to the different parameters involved: the number associated with the matrix dimension, the partition of the period , and the number of atoms or cores that contribute to the potential in the central cell. Next, we are ready to show the results for pseudo-lithium and pseudo-graphene for electrostatic Coulomb-type potentials.
3.2. Application Cases
The results from the previous Section 3.1 allow us to study specific applications. Three cases of interest are shown below: first, simplified lithium; second, pseudo-graphene; and finally, a dimeric nanoparticle. Only the Dirac equation was used for the calculations.
3.2.1. The Lithium Case
The crystalline structure of lithium is bcc (body-centered cubic) with the period under normal conditions. For a pseudo-lithium crystal, we propose a one-dimensional lattice of the same period size with one atom per unit cell. The nucleus and the electrons in orbital 1s in the lithium atom are considered as a compact and immobile ion of charge +e.
The infinite dimension of the matrix Equation (11) is truncated to so . This matrix size guarantees that the differences in energies obtained for the lowest negative band with and are less than a thousandth of an electron volt. As seen before, it is necessary to consider around cores to obtain the approximate response of this type of crystal.
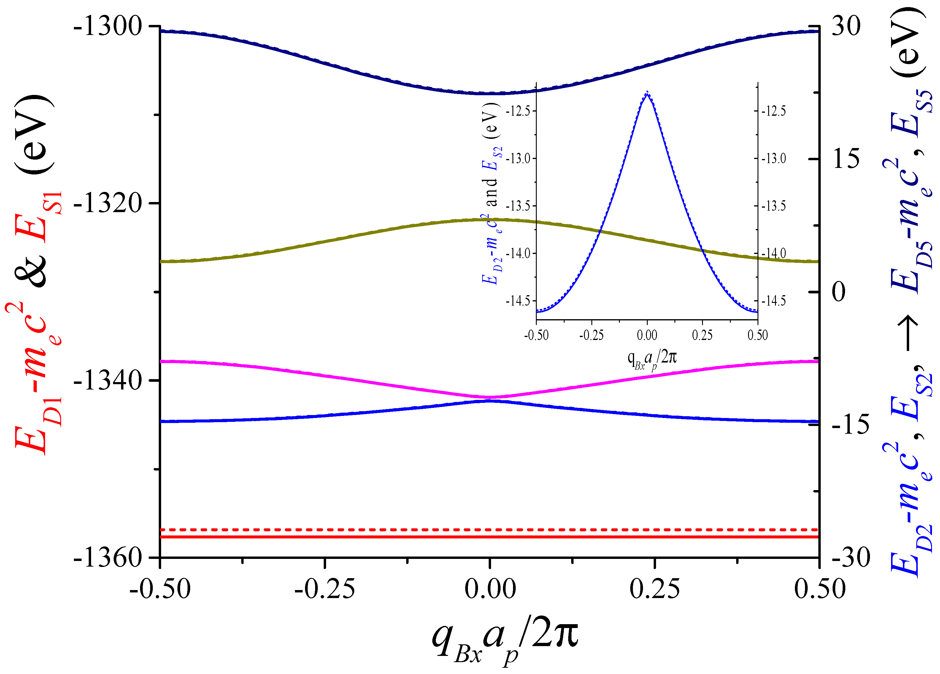
In Figure 5, the band structure for the pseudo-lithium (1-dimensional lithium) is shown. The left scale is devoted to the most negative band energy (red-colored). This state is independent of (the Brillouin wavenumber) and strongly depends on . The remaining bands (non-red-colored) are associated with the right scales and are almost independent of the parameter .
Figure 5.
The eight lowest energy bands are given versus the normalized Bloch wavenumber for the one-dimensional lithium, with the parameters previously determined. The period is The number of cores affecting the electron is . The partition number of the unit cell is . The parameter related to the matrix dimension is . The color of a line indicates correspondence with a specific energy band.
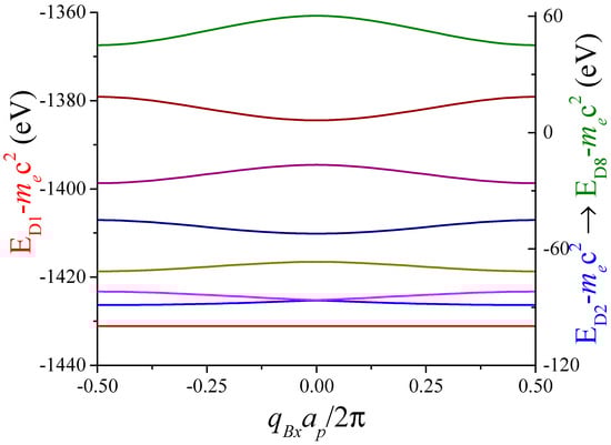
3.2.2. The Graphene Case
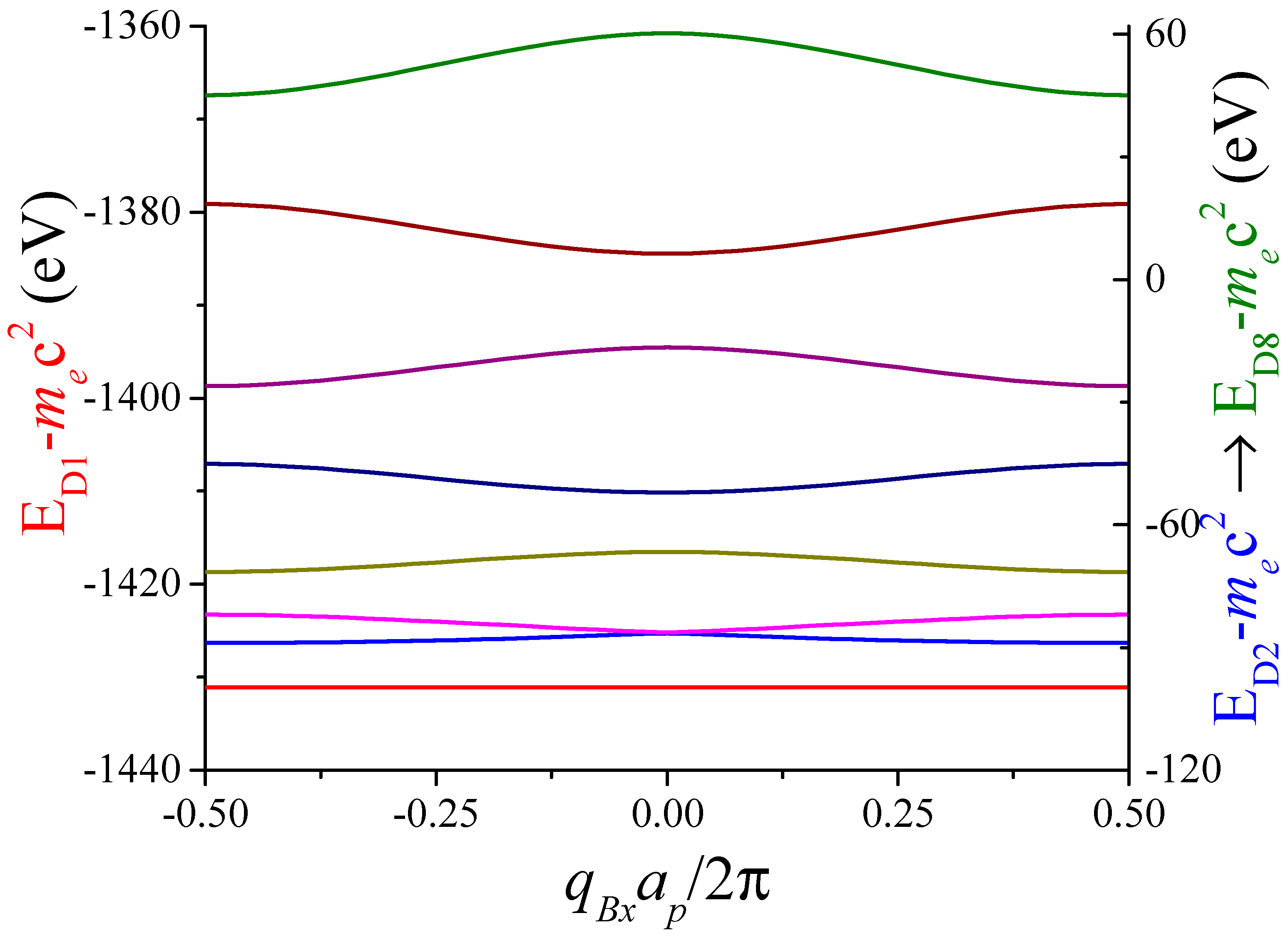
Graphene has a hexagonal two-dimensional crystalline structure. The distance between the carbon atoms in a covalent bond is . For pseudo-graphene, we propose a one-dimensional lattice of period size with two carbon atoms per unit cell separated by the local period . The nucleus, the electrons in orbitals 1s and 2s, and one of the electrons in orbital 2p in carbon atoms are considered compact and immobile ions of charge +e.
For this case, the eigenvalues are obtained with and , with the same convergence criterion as the lithium case. Given the nature of this lattice, the number of ions that influence the electron is .
In Figure 6, the band structure for pseudo-graphene (one-dimensional graphene) is shown. Energies appear in pairs due to the two atoms per period; each pair of bands is given in the same color, with one shown as a solid lines and one as a dashed lines. The most negative (red-colored) band is almost degenerate and, on the scale shown, appears as a single band.
Figure 6.
The lowest energies versus the normalized Brillouin wavenumber for one-dimensional graphene are shown. There are two atoms per period. The local period is . The lattice period is . The number of cores affecting the electron is . The partition number of the unit cell is . The parameter related to the matrix dimension is . The color of a line indicates correspondence with a specific energy band. Solid and dashed lines indicate that the energy appears in pairs due to the two atoms per period.
In future calculations, we expect to obtain the energies of lithium and graphene considering two-dimensional lattices.
While this methodology focuses on infinite crystals for electron energy calculations, it can be readily adapted to treat one or more isolated atoms, with minor modifications. The next section demonstrates this by applying the modified method to a dimer nanoparticle.
3.2.3. The Dimer Nanoparticle
The study of a finite number of atoms from the quantum point of view is relevant. Therefore, it is important to figure out quantum systems that represent this situation. One example of this is a dimer, a nanoparticle formed by two atoms. In this case, the electron is only under the potential of the two cores in the dimer, so . The Bloch method allows us to deal with this kind of problem. The key point is to define a certain number of the atoms that are equally or nonequally spaced in the unit cell and then increase the period to infinite (computationally, to a big period compared with the distance between the atoms in the unit cell). Some numerical problems are inherent, as the size of the dimension of the matrix is increased with the period and the partition number , and, as a consequence, the computational time is also increased.
The physical meaning of the increased period, “infinite” or very large, is to avoid the cross-talk between atoms within adjacent cells.
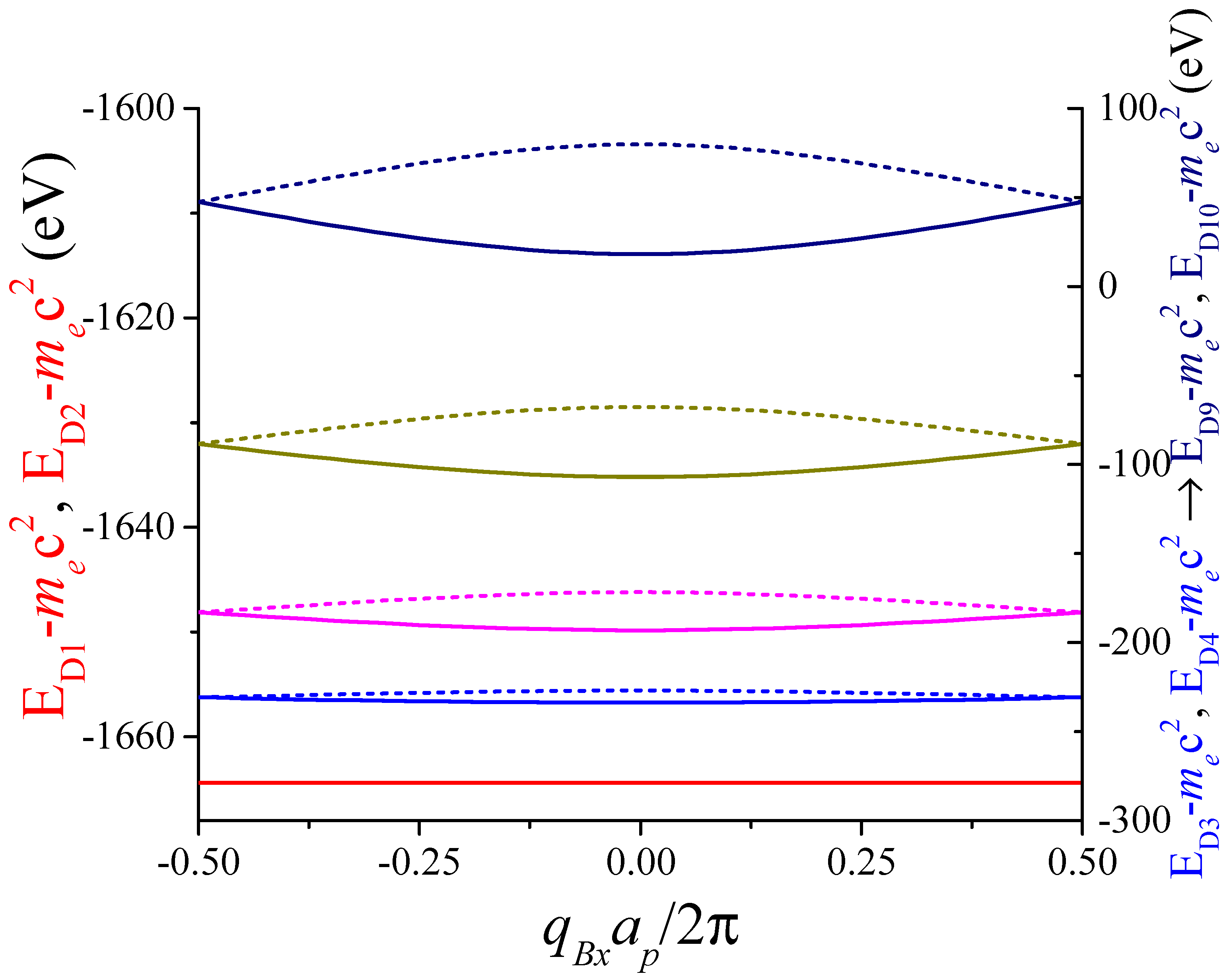
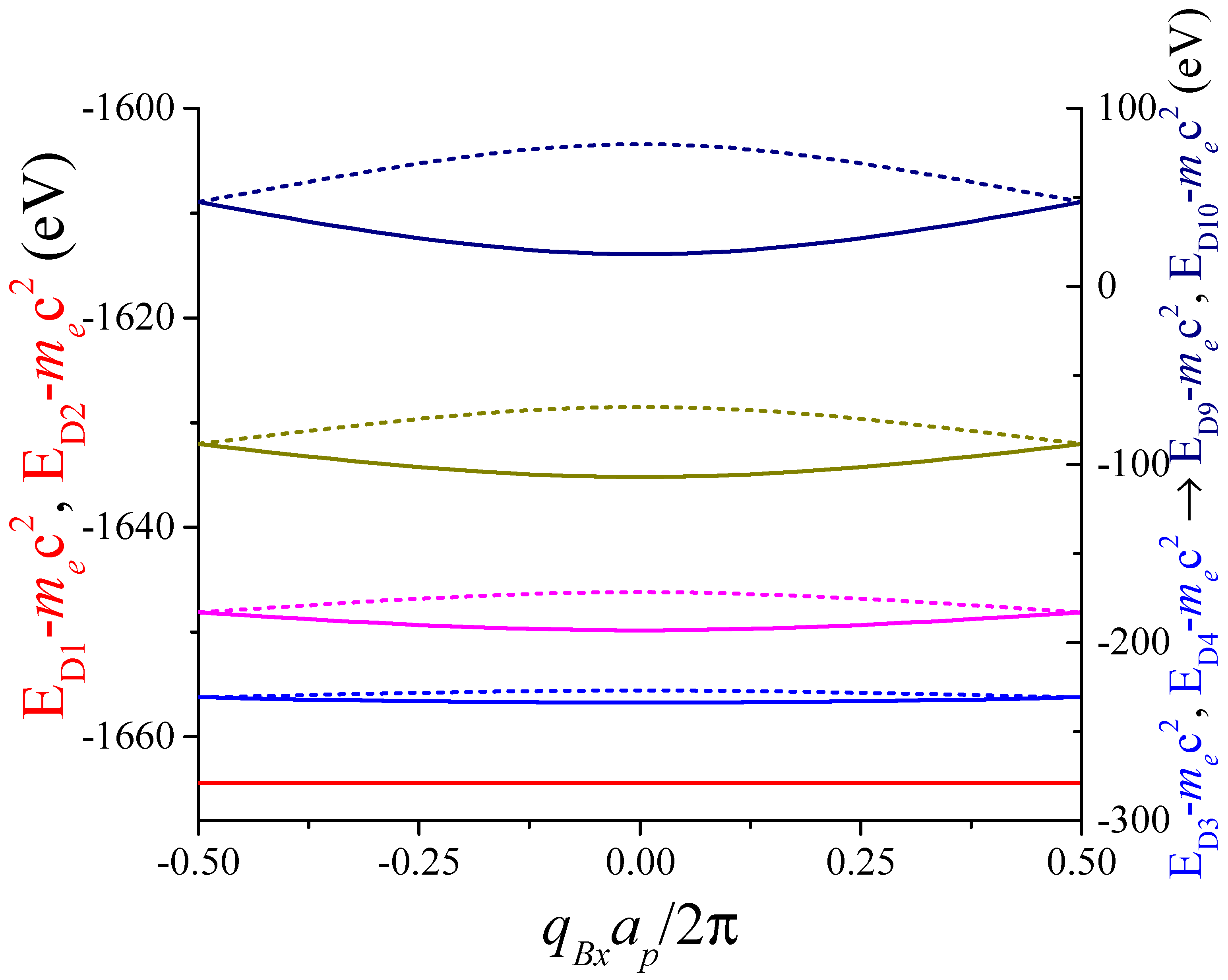
The parameter is set to 2200; then, the dimension of the matrix is . The partition number is fixed at 16384. The distance between the two atoms is , as is their diameter, and the longitude of the dimer structure is , so it constitutes a nanoparticle. The convergence criterion is .
Since the number of cores per unit cell is , two modes are associated with each band. This can be noted in Figure 7. Each two energies are colored equally to distinguish between bands of distinct colors. The two red-colored bands are almost degenerated, since the difference is thousandths of eV. This is seen in the Figure 7, as the left scale is also very small.
Figure 7.
The band structure of an electron in a one-dimensional finite quantum lattice is shown. The number of atoms per unit cell is . The distance between atoms or local periods is . The period of the lattice is The red (non-red)-colored modes are associated with the right (left) scale. The number of cores affecting the electron is . The partition number of the unit cell is . The parameter related to the matrix dimension is . The color of a line indicates correspondence with a specific energy band. Solid and dashed lines indicate that the energy appears in pairs due to the two atoms per period.
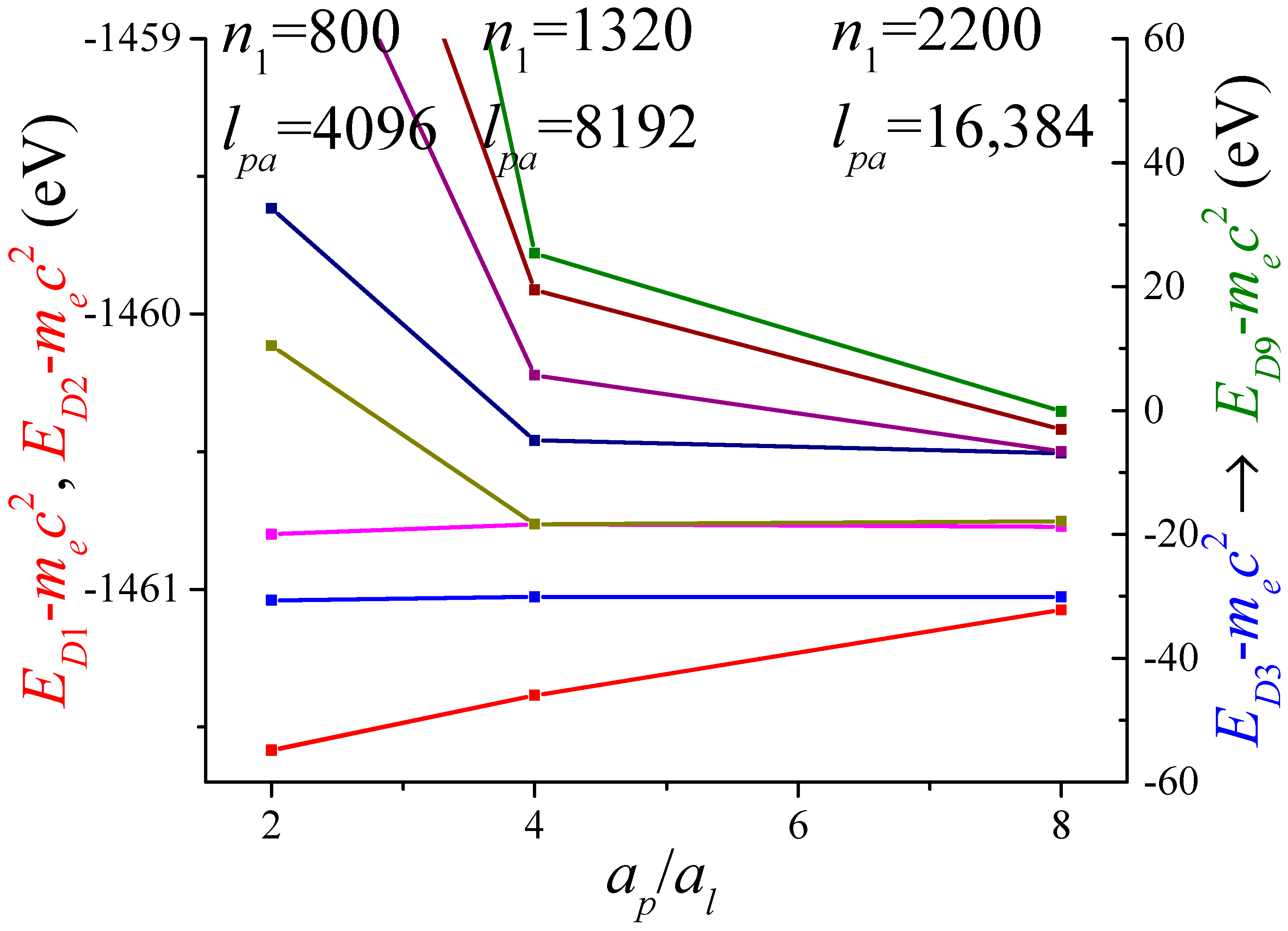
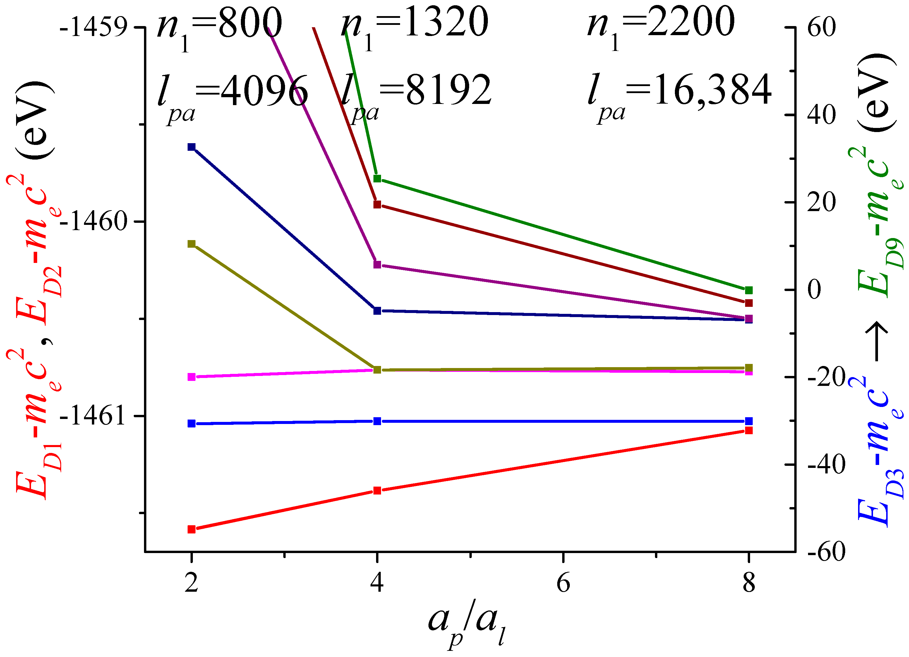
The dependence of the lowest energies of the electron as a function of the ratio is shown in Figure 8. The period is increased; meanwhile, the number of cores is fixed at two. The less negative energies (olive-, brown-, purple-, and navy-colored) show more dependence on the size of the period, whilst the dark yellow-, magenta-, blue-, and red-colored energies are almost independent of this parameter. The red energies are degenerated. When the period increases, the overall energies tend to reach their values of convergence, thus obtaining the quantized energy spectrum of the dimer.
Figure 8.
The nine lowest energies for are shown as a function of . The local period is . The period of the lattice varies from 2 to 8. The red (non-red)-colored modes are associated with the left (right) scale. The color of a line indicates correspondence with a specific energy band.
From Figure 8, we conclude that a value of is sufficient for the lowest energies to converge.
This theoretical case study, considering the Coulomb-type potential, showed us how far apart the dimer nanoparticles should be in order to obtain converged results for their energies.
4. Conclusions
An exhaustive study of an electron in one-dimensional lattices considering a long-range Hydrogen-type Coulomb potential, using the PWEM, was presented. First, the electronic band structures of an electron in a one-dimensional crystal were obtained by using both the Schrödinger and the Dirac equations, with good matching. Then, for the rest of the purely Dirac calculations, the effects on the parameter were studied. It was found that the lowest mode is strongly dependent on this parameter (a conjecture is that this is a spurious mode that tends to minus infinite as grows), while upper energies exhibited a stable behavior, reaching convergence. Later, a convergence study was performed as a function of the parameter . The criterion was fixed at for all the results. Subsequently, the study of the parameter on the energies of the electron showed, surprisingly, a very strong dependence, since more than 8000 cores are barely enough for the energies to converge, according to our criterion. Because the Coulomb potential has a long range, a significant number of atomic nuclei (cores) need to be included to accurately calculate the potential experienced by an electron within a single unit cell. Although this is a one-dimensional study, this situation suggests that the physical properties of particles depend on their size, particularly when the particles consist of a few thousand atoms. Calculations with two- and three-dimensional lattices are pertinent for obtaining more realistic results. Analyzing the -related results, the analytical equation that describes the behavior of the energies in function of was found. This equation tells us that the influence of the surrounding nuclei on the energies of the electron is logarithmic. The average error comparing its data with our numerical results is lower that 0.15%. Then, with the parameters involved well defined, the energies for pseudo-lithium and pseudo-graphene were obtained considering one-dimensional lattices. The periods of the crystals were and in agreement with the periods of solid lithium and graphene, respectively. Finally, an isolated nanoparticle of two atoms with a local periodicity of was proposed. The isolation given by needed for the dimer to reveal its energies was determined.
Author Contributions
Conceptualization, R.A. and R.A.M.-S.; methodology, R.G.-L.; software, R.G.-L.; validation, J.A.G.-A.; formal analysis, J.D.V.-S. and J.A.G.-A.; investigation, J.D.V.-S., R.A., and R.A.M.-S.; resources, J.A.G.-A.; data curation, R.G.-L.; writing—original draft preparation, R.G.-L. and J.D.V.-S.; writing—review and editing, J.D.V.-S. and R.A.M.-S.; visualization, R.G.-L. and J.A.G.-A.; supervision, R.A. All authors have read and agreed to the published version of the manuscript.
Funding
This work was supported by PAPIIT-UNAM under project IA106223. Financial support from CONAHCYT under Grant No. CF-2023-G-763 is acknowledged.
Data Availability Statement
The raw data supporting the conclusions of this article will be made available by the authors on reasonable request.
Conflicts of Interest
The authors declare no conflicts of interest.
Appendix A. Dirac’s Matrices
The matrices proposed by Dirac for his equation [1] are
and
and have the following relations in cyclic permutation:
and
The matrix multiplications in Dirac’s equation are , , and :
Appendix B. Schrödinger’s Eigenvalues Equation
The Schrödinger equation for stationary states is
The expansion as a Fourier series of the potential is
The definition as a Bloch wave of the wave function is
Equations (A7) and (A8) are used in Equation (A6), the derivatives and multiplications are made, and the orthogonality properties of the Fourier series are taken advantage of to obtain
In Equation (A9), the eigenvalue equation of Schrödinger, and is a Kronecker delta.
Appendix C. Fourier’s Coefficients of the Potential
Fourier’s coefficients of the potential are given by
In order to solve Equation (A10), the period between and is divided in pieces of width with . It is assumed that the potential varies smoothly in each one of these intervals. Thus, Equation (A10) is rewritten as
where . Some values are , etc., and the difference . The points nearest to zero are and . The values of are calculated using the formula for the potential energy. This is a contribution from all the cores () that are considered. With , only the core within the “central” unit cell is considered. With , the core within the “central” unit cell and the cores of the two closest unit cells are considered, and so on.
The integrals in Equation (A11) are directly solved, obtaining
This procedure avoids the center of the unit cell (origin of coordinates), where the potential is infinite. If the potential is a pair function, then
References
- Dirac, P.A.M. The quantum theory of the electron. Proc. R. Soc. Lond. Ser. A Math. Phys. Eng. Sci. 1928, 117, 610–624. [Google Scholar] [CrossRef]
- Dirac, P. The Principles of Quantum Mechanics, 3rd ed.; Oxford University Press: New York, NY, USA, 1930. [Google Scholar]
- Novoselov, K.S.; Geim, A.K.; Morozov, S.V.; Jiang, D.; Katsnelson, M.I.; Grigorieva, I.V.; Dubonos, S.V.; Firsov, A.A. Two-dimensional gas of massless Dirac fermions in graphene. Nature 2005, 438, 197–200. [Google Scholar] [CrossRef]
- Stander, N.; Huard, B.; Goldhaber-Gordon, D. Evidence for Klein Tunneling in Graphene p−n Junctions. Phys. Rev. Lett. 2009, 102, 026807. [Google Scholar] [CrossRef]
- Katsnelson, M.I.; Novoselov, K.S.; Geim, A.K. Chiral tunnelling and the Klein paradox in graphene. Nat. Phys. 2006, 2, 620–625. [Google Scholar] [CrossRef]
- Betancur-Ocampo, Y. Controlling electron flow in anisotropic Dirac materials heterojunctions: A super-diverging lens. J. Phys. Condens. Matter. 2018, 30, 435302. [Google Scholar] [CrossRef] [PubMed]
- Fang, A.; Zhang, Z.Q.; Louie, S.G.; Chan, C.T. Klein tunneling and supercollimation of pseudospin-1 electromagnetic waves. Phys. Rev. B 2016, 93, 035422. [Google Scholar] [CrossRef]
- Jiang, X.; Shi, C.; Li, Z.; Wang, S.; Wang, Y.; Yang, S.; Louie, S.G.; Zhang, X. Direct observation of Klein tunneling in phononic crystals. Science 2020, 370, 1447–1450. [Google Scholar] [CrossRef] [PubMed]
- Böer, K.; Pohl, U. Quantum Mechanics of Electrons in Crystals. In Semiconductor Physics; Springer: Cham, Germany, 2017. [Google Scholar] [CrossRef]
- Kurasov, P.; Pavlov, B. Micro Spectral Properties of Crystals and Their Band Structure. In On Three Levels; Fannes, M., Maes, C., Verbeure, A., Eds.; NATO ASI Series; Springer: Boston, MA, USA, 1994; Volume 324. [Google Scholar] [CrossRef]
- Allen, G. Band Structures of One-Dimensional Crystals with Square-Well Potentials. Phys. Rev. 1953, 91, 531. [Google Scholar] [CrossRef]
- Segall, B. Calculation of the Band Structure of “Complex” Crystals. Phys. Rev. 1957, 105, 108. [Google Scholar] [CrossRef]
- Valenzuela-Sau, J.D.; Méndez-Sánchez, R.A.; Aceves, R.; García-Llamas, R. Dirac equation and energy levels of electrons in one-dimensional wells: Plane wave expansion method. Physica E 2020, 124, 114298. [Google Scholar] [CrossRef]
- Ren, S.Y. Two Types of Electronic States in One-dimensional Crystals of Finite length. Ann. Phys. 2002, 301, 22–30. [Google Scholar] [CrossRef]
- Griffiths, D.J.; Steinke, C.A. Waves in locally periodic media. Am. J. Phys. 2001, 69, 137. [Google Scholar] [CrossRef]
- McKellar, B.H.J.; Stephenson, G.J., Jr. Relativistic quarks in one-dimensional periodic structures. Phys. Rev. C 1987, 35, 2262. [Google Scholar] [CrossRef] [PubMed]
- Goldman, T.; Stephenson, G.J., Jr. Quark tunneling in nuclei. Phys. Lett. B 1984, 146, 143–147. [Google Scholar] [CrossRef]
- Barbier, M.; Vasilopoulos, P.; Peeters, F.M. Dirac electrons in a Kronig-Penney potential: Dispersion relation and transmission periodic in the strength of the barriers. Phys. Rev. B 2009, 80, 205415. [Google Scholar] [CrossRef]
- Barbier, M.; Peeters, F.M.; Vasilopoulos, P.; Pereira, J.M., Jr. Dirac and Klein-Gordon particles in one-dimensional periodic potentials. Phys. Rev. B 2008, 77, 115446. [Google Scholar] [CrossRef]
- Glasser, M.L. A class of one-dimensional relativistic band models. Am. J. Phys. 1983, 51, 936. [Google Scholar] [CrossRef]
- Singleton, J. Band Theory and Electronic Properties of Solids; Oxford University Press: New York, NY, USA, 2001. [Google Scholar]
- Kittel, C. Introduction To Solid State Physics, 8th ed.; John Wiley & Sons: Hoboken, NJ, USA, 2004. [Google Scholar]
- Ando, Y.; Itoh, T. Calculation of transmission tunneling current across potential barriers. J. Appl. Phys. 1987, 61, 1497. [Google Scholar] [CrossRef]
- Mizoguchi, T.; Udagawa, M. Flat-band engineering in tight-binding models: Beyond the nearest-neighbor hopping. Phys. Rev. Lett. 2019, 99, 235118. [Google Scholar] [CrossRef]
Disclaimer/Publisher’s Note: The statements, opinions and data contained in all publications are solely those of the individual author(s) and contributor(s) and not of MDPI and/or the editor(s). MDPI and/or the editor(s) disclaim responsibility for any injury to people or property resulting from any ideas, methods, instructions or products referred to in the content. |
© 2024 by the authors. Licensee MDPI, Basel, Switzerland. This article is an open access article distributed under the terms and conditions of the Creative Commons Attribution (CC BY) license (https://creativecommons.org/licenses/by/4.0/).







