Evaluation of Processing Parameters in the Solvothermal Synthesis of Cu-Rich Tetrahedrites for Potential Application as Thermoelectric Materials
Abstract
1. Introduction
2. Materials and Methods
2.1. Synthesis of Cu-Rich Tetrahedrites
2.2. Structural and Chemical Characterizations
3. Results
3.1. Spectroscopic Analysis
3.1.1. Fourier-Transform Infrared Spectroscopy
3.1.2. Raman Spectroscopy
3.1.3. X-ray Photoelectron Spectroscopy
3.2. Structural Analysis
X-ray Diffraction Patterns
3.3. Morphological Analysis
3.3.1. Scanning Electron Microscopy
3.3.2. Transmission Electron Microscopy
3.4. Thermal Properties of Tetrahedrites
3.4.1. Temperature Dependence of Electrical Conductivity
3.4.2. Temperature Dependence of Thermal Conductivity
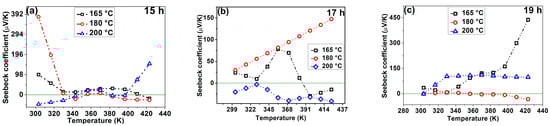
3.4.3. Temperature Dependence of Seebeck Coefficient
3.4.4. Temperature Dependence of Figure of Merit, ZT
3.4.5. Temperature Dependence of Power Factor
4. Discussion
5. Conclusions
Supplementary Materials
Author Contributions
Funding
Data Availability Statement
Acknowledgments
Conflicts of Interest
References
- Fernandes, L.; Fernández, E.; Martins, P.; Ferreira, N.; Antunes, P.; Lanceros-Mendez, S. Overview on thermoactive materials, simulations and applications. J. Mater. Sci. 2020, 55, 925–946. [Google Scholar] [CrossRef]
- Mehdizadeh Dehkordi, A.; Zebarjadi, M.; He, J.; Tritt, T.M. Thermoelectric power factor: Enhancement mechanisms and strategies for higher performance thermoelectric materials. Mater. Sci. Eng. R Rep. 2015, 97, 1–22. [Google Scholar] [CrossRef]
- Bhattacharya, S.; Basu, R.; Bhatt, R.; Pitale, S.; Singh, A.; Aswal, D.K.; Gupta, S.K.; Navaneethan, M.; Hayakawa, Y. CuCrSe2: A high performance phonon glass and electron crystal thermoelectric material. J. Mater. Chem. A 2013, 1, 11289–11294. [Google Scholar] [CrossRef]
- Qian, X.; Zhou, J.; Chen, G. Phonon-engineered extreme thermal conductivity materials. Nat. Mater. 2021, 20, 1188–1202. [Google Scholar] [CrossRef]
- Beekman, M.; Morelli, D.T.; Nolas, G.S. Better thermoelectrics through glass-like crystals. Nat. Mater. 2015, 14, 1182–1185. [Google Scholar] [CrossRef]
- Renthlei, Z.; Celestine, L.; Kima, L.; Zuala, L.; Mawia, Z.; Chettri, B.; Singh, Y.T.; Abdullaev, S.; Ezzeldien, M.; Rai, D.P. Theoretical Investigation of Lead Perovskite PbXO3 (X = Ti, Zr, and Hf) for Potential Thermoelectric Applications: Hybrid-DFT Approach. Energy Fuels 2023, 37, 19831–19844. [Google Scholar] [CrossRef]
- Li, B.; Li, M.; Qi, H.; Zu, X.; Qiao, L.; Xiao, H. The Effects of Chlorine Doping on the Thermoelectric Properties of Bi2O2Se. Crystals 2023, 13, 1586. [Google Scholar] [CrossRef]
- Behera, D.; Akila, B.; Amraoui, R.; Kadri, S.; Mukherjee, S.K.; Salah, M.M.; Saeed, A. Excellent Thermoelectric Performance in KBaTh (Th = Sb, Bi) Based Half-Heusler Compounds and Design of Actuator for Efficient and Sustainable Energy Harvesting Applications. Crystals 2023, 13, 1551. [Google Scholar] [CrossRef]
- Wang, W.; Xian, C.; Ou, Y.; He, Z.; Xie, S. Thermoelectric Properties of PbS Doped with Bi2S3 and Cu2S Prepared by Hydrothermal Synthesis and Spark Plasma Sintering. Crystals 2023, 13, 764. [Google Scholar] [CrossRef]
- Wuensch, B.J. The crystal structure of tetrahedrite, Cu12Sb4S18. Z. Für Krist.-Cryst. Mater. 1964, 119, 437–453. [Google Scholar] [CrossRef]
- Lu, X.; Morelli, D.T. Rapid synthesis of high-performance thermoelectric materials directly from natural mineral tetrahedrite. MRS Commun. 2013, 3, 129–133. [Google Scholar] [CrossRef]
- Lai, W.; Wang, Y.; Morelli, D.T.; Lu, X. From Bonding Asymmetry to Anharmonic Rattling in Cu12Sb4S13 Tetrahedrites: When Lone-Pair Electrons Are Not So Lonely. Adv. Funct. Mater. 2015, 25, 3648–3657. [Google Scholar] [CrossRef]
- Zazakowny, K.; Kosonowski, A.; Lis, A.; Cherniushok, O.; Parashchuk, T.; Tobola, J.; Wojciechowski, K.T. Phase Analysis and Thermoelectric Properties of Cu-Rich Tetrahedrite Prepared by Solvothermal Synthesis. Materials 2022, 15, 849. [Google Scholar] [CrossRef] [PubMed]
- Lee, G.-E.; Kim, I.-H. Skinnerite Cu3SbS3: Solid-State Synthesis and Thermoelectric Properties. Korean J. Met. Mater. 2022, 60, 455–462. [Google Scholar] [CrossRef]
- Baláž, P.; Guilmeau, E.; Daneu, N.; Dobrozhan, O.; Baláž, M.; Hegedus, M.; Barbier, T.; Achimovičová, M.; Kaňuchová, M.; Briančin, J. Tetrahedrites Synthesized via Scalable Mechanochemical Process and Spark Plasma Sintering. J. Eur. Ceram. Soc. 2020, 40, 1922–1930. [Google Scholar] [CrossRef]
- Kareem, M.Q.; Ameen, M.M.; Hassan, S.A.; Shareef, S.M. Synthesis of Tetrahedrite Zincian Nanocomposites via solvothermal process at low temperature. Ceram. Int. 2024, 50, 40005–40013. [Google Scholar] [CrossRef]
- Demazeau, G. Solvothermal Processes: Definition, Key Factors Governing the Involved Chemical Reactions and New Trends. Z. Für Naturforschung B 2010, 65, 999–1006. [Google Scholar] [CrossRef]
- Ni, X.; Zhang, J.; Zhao, L.; Wang, F.; He, H.; Dramou, P. Study of the solvothermal method time variation effects on magnetic iron oxide nanoparticles (Fe3O4) features. J. Phys. Chem. Solids 2022, 169, 110855. [Google Scholar] [CrossRef]
- An, C.; Jin, Y.; Tang, K.; Qian, Y. Selective synthesis and characterization of famatinite nanofibers and tetrahedrite nanoflakes. J. Mater. Chem. 2003, 13, 301–303. [Google Scholar] [CrossRef]
- Lis, A.; Zazakowny, K.; Cherniushok, O.; Tobola, J.; Gajewska, M.; Parashchuk, T.; Wojciechowski, K.T. Nanostructured Cu12 + xSb4S13 tetrahedrites prepared by solvothermal synthesis in 1-(2-aminoethyl)piperazine for efficient thermal energy harvesting. J. Alloys Compd. 2024, 977, 173337. [Google Scholar] [CrossRef]
- James, D.J.; Lu, X.; Morelli, D.T.; Brock, S.L. Solvothermal Synthesis of Tetrahedrite: Speeding up the Process of Thermoelectric Material Generation. ACS Appl. Mater. Interfaces 2015, 7, 23623–23632. [Google Scholar] [CrossRef] [PubMed]
- Khan, I.; Saeed, K.; Khan, I. Nanoparticles: Properties, applications and toxicities. Arab. J. Chem. 2019, 12, 908–931. [Google Scholar] [CrossRef]
- Alqahtani, T.; Khan, M.D.; Lewis, D.J.; Zhong, X.L.; O’Brien, P. Scalable synthesis of Cu–Sb–S phases from reactive melts of metal xanthates and effect of cationic manipulation on structural and optical properties. Sci. Rep. 2021, 11, 1887. [Google Scholar] [CrossRef]
- Rath, T.; MacLachlan, A.J.; Brown, M.D.; Haque, S.A. Structural, optical and charge generation properties of chalcostibite and tetrahedrite copper antimony sulfide thin films prepared from metal xanthates. J. Mater. Chem. A 2015, 3, 24155–24162. [Google Scholar] [CrossRef] [PubMed]
- Prem Kumar, D.S.; Ren, M.; Osipowicz, T.; Mallik, R.C.; Malar, P. Tetrahedrite (Cu12Sb4S13) thin films for photovoltaic and thermoelectric applications. Sol. Energy 2018, 174, 422–430. [Google Scholar] [CrossRef]
- Pattrick, R.A.D.; van der Laan, G.; Vaughan, D.J.; Henderson, C.M.B. Oxidation state and electronic configuration determination of copper in tetrahedrite group minerals by L-edge X-ray absorption spectroscopy. Phys. Chem. Miner. 1993, 20, 395–401. [Google Scholar] [CrossRef]
- Rossi, A.; Atzei, D.; Da Pelo, S.; Frau, F.; Lattanzi, P.; England, K.E.R.; Vaughan, D.J. Quantitative X-ray photoelectron spectroscopy study of enargite (Cu3AsS4) surface. Surf. Interface Anal. 2001, 31, 465–470. [Google Scholar] [CrossRef]
- Wang, L.; Yang, B.; Xia, Z.; Leng, M.; Zhou, Y.; Xue, D.-J.; Zhong, J.; Gao, L.; Song, H.; Tang, J. Synthesis and characterization of hydrazine solution processed Cu12Sb4S13 film. Sol. Energy Mater. Sol. Cells 2016, 144, 33–39. [Google Scholar] [CrossRef]
- Medina-Montes, M.I.; Campos-González, E.; Morales-Luna, M.; Sánchez, T.G.; Becerril-Silva, M.; Mayén-Hernández, S.A.; de Moure-Flores, F.; Santos-Cruz, J. Development of phase-pure CuSbS2 thin films by annealing thermally evaporated CuS/Sb2S3 stacking layer for solar cell applications. Mater. Sci. Semicond. Process. 2018, 80, 74–84. [Google Scholar] [CrossRef]
- Amri, A.; Duan, X.; Yin, C.-Y.; Jiang, Z.-T.; Rahman, M.M.; Pryor, T. Solar absorptance of copper–cobalt oxide thin film coatings with nano-size, grain-like morphology: Optimization and synchrotron radiation XPS studies. Appl. Surf. Sci. 2013, 275, 127–135. [Google Scholar] [CrossRef]
- Karikalan, N.; Karthik, R.; Chen, S.-M.; Karuppiah, C.; Elangovan, A. Sonochemical Synthesis of Sulfur Doped Reduced Graphene Oxide Supported CuS Nanoparticles for the Non-Enzymatic Glucose Sensor Applications. Sci. Rep. 2017, 7, 2494. [Google Scholar] [CrossRef] [PubMed]
- Gurgul, J.; Rinke, M.T.; Schellenberg, I.; Pöttgen, R. The antimonide oxides REZnSbO and REMnSbO (RE = Ce, Pr)—An XPS study. Solid State Sci. 2013, 17, 122–127. [Google Scholar] [CrossRef]
- Vinayakumar, V.; Shaji, S.; Avellaneda, D.; Das Roy, T.K.; Castillo, G.A.; Martinez, J.A.A.; Krishnan, B. CuSbS2 thin films by rapid thermal processing of Sb2S3-Cu stack layers for photovoltaic application. Sol. Energy Mater. Sol. Cells 2017, 164, 19–27. [Google Scholar] [CrossRef]
- Wan, L.; Guo, X.; Fang, Y.; Mao, X.; Guo, H.; Xu, J.; Zhou, R. Spray pyrolysis deposited CuSbS2 absorber layers for thin-film solar cells. J. Mater. Sci. Mater. Electron. 2019, 30, 21485–21494. [Google Scholar] [CrossRef]
- Lv, H.; Qiu, S.; Lu, G.; Fu, Y.; Li, X.; Hu, C.; Liu, J. Nanostructured Antimony/carbon Composite Fibers as Anode Material for Lithium-ion Battery. Electrochim. Acta 2015, 151, 214–221. [Google Scholar] [CrossRef]
- Bincy, J. Temperature dependent solvothermal synthesis of Cu-Sb-S nanoparticles with tunable structural and optical properties. Mater. Res. Bull. 2017, 95, 267–276. [Google Scholar] [CrossRef]
- An, C.; Liu, Q.; Tang, K.; Yang, Q.; Chen, X.; Liu, J.; Qian, Y. The influences of surfactant concentration on the quality of chalcostibite nanorods. J. Cryst. Growth 2003, 256, 128–133. [Google Scholar] [CrossRef]
- Fasolin, S.; Fiameni, S.; Fanciulli, C.; Battiston, S.; Famengo, A.; Fabrizio, M. Nanostructured Tetrahedrite Synthesis for Thermoelectric Applications. J. Nanosci. Nanotechnol. 2017, 17, 1645–1649. [Google Scholar] [CrossRef]
- Wang, Q.; Li, J.; Li, J. Enhanced thermoelectric performance of Cu3SbS4 flower-like hierarchical architectures composed of Cl doped nanoflakes via an in situ generated CuS template. Phys. Chem. Chem. Phys. 2018, 20, 1460–1475. [Google Scholar] [CrossRef]
- Regulacio, M.D.; Tee, S.Y.; Lim, S.H.; Teng, C.P.; Koh, L.-D.; Liu, S.; Han, M.-Y. Facile solvothermal approach to pristine tetrahedrite nanostructures with unique multiply-voided morphology. Nanoscale 2017, 9, 17865–17876. [Google Scholar] [CrossRef]
- Sun, F.-H.; Dong, J.; Tang, H.; Shang, P.-P.; Zhuang, H.-L.; Hu, H.; Wu, C.-F.; Pan, Y.; Li, J.-F. Enhanced performance of thermoelectric nanocomposites based on Cu12Sb4S13 tetrahedrite. Nano Energy 2019, 57, 835–841. [Google Scholar] [CrossRef]
- López Cota, F.A.; Díaz-Guillén, J.A.; Juan Dura, O.; López de la Torre, M.A.; Rodríguez-Hernández, J.; Fernández Fuentes, A. Mechanosynthesis and Thermoelectric Properties of Fe, Zn, and Cd-Doped P-Type Tetrahedrite: Cu12-xMxSb4S13. Materials 2021, 14, 3448. [Google Scholar] [CrossRef] [PubMed]
- Lee, G.-E.; Pi, J.-H.; Kim, I.-H. Preparation and Thermoelectric Properties of Famatinite Cu3SbS4. J. Electron. Mater. 2020, 49, 2781–2788. [Google Scholar] [CrossRef]
- Goto, Y.; Sakai, Y.; Kamihara, Y.; Matoba, M. Effect of Sn-Substitution on Thermoelectric Properties of Copper-Based Sulfide, Famatinite Cu3SbS4. J. Phys. Soc. Jpn. 2015, 84, 044706. [Google Scholar] [CrossRef]
- Cheng, K.; Bu, Z.; Tang, J.; Zhang, X.; Meng, X.; Li, W.; Pei, Y. Efficient Mg2Si0.3Sn0.7 thermoelectrics demonstrated for recovering heat of about 600 K. Mater. Today Phys. 2022, 28, 100887. [Google Scholar] [CrossRef]
- Barbier, T.; Lemoine, P.; Gascoin, S.; Lebedev, O.I.; Kaltzoglou, A.; Vaqueiro, P.; Powell, A.V.; Smith, R.I.; Guilmeau, E. Structural stability of the synthetic thermoelectric ternary and nickel-substituted tetrahedrite phases. J. Alloys Compd. 2015, 634, 253–262. [Google Scholar] [CrossRef]
- Yan, Y.; Li, N.; Wang, G.; Xiong, Q.; Fan, L.; Jiang, P.; Lu, X.; Wang, G.; Zhou, X. Achieving high average power factor in tetrahedrite Cu12Sb4S13 via regulating electron-phonon coupling strength. Mater. Today Phys. 2022, 22, 100590. [Google Scholar] [CrossRef]
- Yan, Y.; Wu, H.; Wang, G.; Lu, X.; Zhou, X. High thermoelectric performance balanced by electrical and thermal transport in tetrahedrites Cu12+xSb4S12Se. Energy Storage Mater. 2018, 13, 127–133. [Google Scholar] [CrossRef]
- Chetty, R.; DS, P.K.; Rogl, G.; Rogl, P.; Bauer, E.; Michor, H.; Suwas, S.; Puchegger, S.; Giester, G.; Mallik, R.C. Thermoelectric properties of a Mn substituted synthetic tetrahedrite. Phys. Chem. Chem. Phys. 2015, 17, 1716–1727. [Google Scholar] [CrossRef]












| Temperature (°C) | Time (h) | Cu2+/Cu+ Ratio | |
| Solvothermal conditions | 165 | 15 | 4.56 |
| 17 | 3.52 | ||
| 19 | 11.23 | ||
| 180 | 15 | 5.32 | |
| 17 | 2.67 | ||
| 19 | 3.297 | ||
| 200 | 15 | — | |
| 17 | — | ||
| 19 | — |
Disclaimer/Publisher’s Note: The statements, opinions and data contained in all publications are solely those of the individual author(s) and contributor(s) and not of MDPI and/or the editor(s). MDPI and/or the editor(s) disclaim responsibility for any injury to people or property resulting from any ideas, methods, instructions or products referred to in the content. |
© 2024 by the authors. Licensee MDPI, Basel, Switzerland. This article is an open access article distributed under the terms and conditions of the Creative Commons Attribution (CC BY) license (https://creativecommons.org/licenses/by/4.0/).
Share and Cite
Soní-Castro, I.J.; López-Oyama, A.B.; González, E.R.; Del Ángel-López, D.; Aguilar-Frutis, M.A.; Reyes-Valdez, J.J. Evaluation of Processing Parameters in the Solvothermal Synthesis of Cu-Rich Tetrahedrites for Potential Application as Thermoelectric Materials. Crystals 2024, 14, 888. https://doi.org/10.3390/cryst14100888
Soní-Castro IJ, López-Oyama AB, González ER, Del Ángel-López D, Aguilar-Frutis MA, Reyes-Valdez JJ. Evaluation of Processing Parameters in the Solvothermal Synthesis of Cu-Rich Tetrahedrites for Potential Application as Thermoelectric Materials. Crystals. 2024; 14(10):888. https://doi.org/10.3390/cryst14100888
Chicago/Turabian StyleSoní-Castro, Itzel J., Ana B. López-Oyama, Eugenio Rodríguez González, Deyanira Del Ángel-López, Miguel A. Aguilar-Frutis, and Juan J. Reyes-Valdez. 2024. "Evaluation of Processing Parameters in the Solvothermal Synthesis of Cu-Rich Tetrahedrites for Potential Application as Thermoelectric Materials" Crystals 14, no. 10: 888. https://doi.org/10.3390/cryst14100888
APA StyleSoní-Castro, I. J., López-Oyama, A. B., González, E. R., Del Ángel-López, D., Aguilar-Frutis, M. A., & Reyes-Valdez, J. J. (2024). Evaluation of Processing Parameters in the Solvothermal Synthesis of Cu-Rich Tetrahedrites for Potential Application as Thermoelectric Materials. Crystals, 14(10), 888. https://doi.org/10.3390/cryst14100888

