A Complete 1H and 13C NMR Data Assignment for Three 3-[Substituted methylidene]-1H,3H-naphtho-[1,8-cd]-pyran-1-ones
Abstract
1. Introduction
2. Experimental
2.1. Synthesis of 3-[(4-Methoxyphenyl)methylidene]-1H,3H-naphtho[1,8-cd]-pyran-1-one and 3-[(4-Fluorophenyl)methylidene]-1H,3H-naphtho[1,8-cd]-pyran-1-one
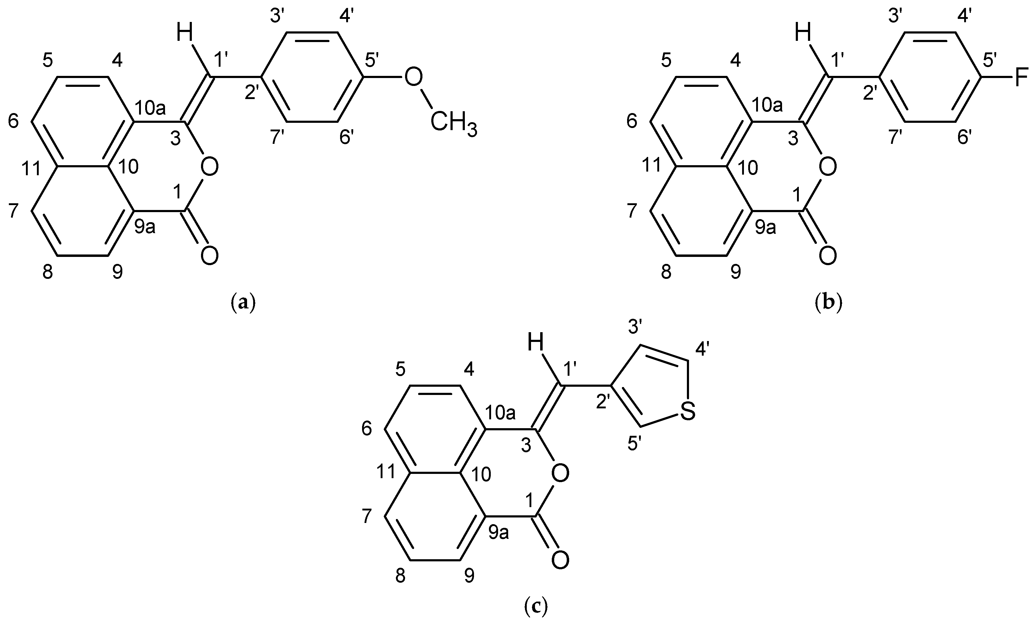
- 3-[(4-methoxyphenyl)methylidene]-1H,3H-naphtho-[1,8-cd]-pyran-1-one (Va):Yield: 29%; M. p.: 168–169 °C; Rfa = 0.61, Rfb = 0.83Eluent systems: (a) ethyl acetate/petroleum ether = 1:2; (b) chloroform/acetone = 9:1.
- 3-[(4-fluorophenyl)methylidene]-1H,3H-naphtho-[1,8-cd]-pyran-1-one (Vb):Yield: 29%; M. p.: 171–172 °C; Rfa = 0.65, Rfb = 0.86Eluent systems: (a) ethyl acetate/petroleum ether = 1:2; (b) chloroform/acetone = 9:1.
- 3-[(thiophen-3-yl)methylidene]-1H,3H-naphtho-[1,8-cd]-pyran-1-one (Vc):Yield: 45%; M. p.: 166–167 °C; Rfa = 0.51, Rfb = 0.80Eluent systems: (a) ethyl acetate/petroleum ether = 1:2; (b) chloroform/acetone = 9:1.
2.2. Instrumentation and Spectral Measurements
2.2.1. IR and Raman Spectral Data for 3-[(4-Methoxyphenyl)methylidene]-1H,3H-naphtho[1,8-cd]-pyran-1-one
2.2.2. IR and Raman Spectral Data for 3-[(4-Fluorophenyl)methylidene]-1H,3H-naphtho[1,8-cd]-pyran-1-one
2.2.3. IR and Raman Spectral Data for 3-[(Thiophen-3-yl)methylidene]-1H,3H-naphtho[1,8-cd]-pyran-1-one
3. Results and Discussion
3.1. Discussion of Structure Verification of Va Presented in Table 1
| Atom | δ (13C), ppm | DEPT b | δ (1H), ppm | Multiplicity (J, Hz) | 1H-1H COSY b | HMBC b |
|---|---|---|---|---|---|---|
| 1(C=O) | 159.80 | C | ||||
| 3 | 144.61 | C | ||||
| 4 | 121.57 | CH | 8.26 | dd (7.6; 0.5) | 5, 6 d | 3, 10, 11 c |
| 5 | 127.42 | CH | 7.70 | t (7.9) | 4, 6 | 4 c, 10 d, 10a, 11 |
| 6 | 127.74 | CH | 8.03 | d (8.1) | 4 d, 5 | 4, 7, 10, 10a c, 11 c |
| 7 | 134.35 | CH | 8.31 | dd (8.3; 0.8) | 8 | 9, 9a d, 10a d, 10, 11 d |
| 8 | 126.85 | CH | 7.75 | dd (8.2; 7.3) | 7, 9 | 9 c, 9a, 11 |
| 9 | 128.99 | CH | 8.29 | dd (7.2; 1.1) | 8 | 1, 7, 10 |
| 9a | 119.21 | C | ||||
| 10 | 127.47 | C | ||||
| 10a | 124.08 | C | ||||
| 11 | 132.11 | C | ||||
| 1′ | 108.19 | CH | 6.98 | s | 3′/7′ c | 1 c, 2′ c, 3, 10a, 3′/7′ |
| 2′ | 126.79 | C | ||||
| 3′ | 131.17 | CH | 7.89 | m | 1′ c, 4′ | 1′, 2′ d, 4′ c, 5′, 7′ |
| 4′ | 114.13 | CH | 7.03 | m | 3′ | 2′, 5′, 6′, 7′ d |
| 5′ | 158.75 | C | ||||
| 6′ | 114.13 | CH | 7.03 | m | 7′ | 2′, 3′ d, 4′, 5′ |
| 7′ | 131.17 | CH | 7.89 | m | 1′ c, 6′ | 1′, 2′ d, 3′, 5′, 6′c |
| OCH3 | 55.18 | C | 3.80 | s | 5′ |
3.2. Discussion of Structure Verification of Vb Presented in Table 2
| Atom | δ (13C), ppm | DEPT b | δ (1H), ppm | Multiplicity (J, Hz) | 1H-1H COSY b | HMBC b |
|---|---|---|---|---|---|---|
| 1(C=O) | 159.61 | C | ||||
| 3 | 145.93 c | C | ||||
| 4 | 122.18 | CH | 8.33 | dd (7.5; 0.5) | 5, 6 d | 3, 6 |
| 5 | 127.42 | CH | 7.73 | t (7.9) | 4, 6 | 10a, 11 |
| 6 | 128.36 | CH | 8.08 | d (8.1) | 4 d, 5 | 4, 7, 10, 11d |
| 7 | 134.49 | CH | 8.35 | dd (8.3; 0.8) | 8 | 9, 9a e, 11 d |
| 8 | 126.91 | CH | 7.77 | dd (8.2; 7.2) | 7, 9 | 9 e, 9a, 11 |
| 9 | 129.29 | CH | 8.34 | dd (7.2; 1.1) | 8 | 1, 7 |
| 9a | 119.09 | C | ||||
| 10 | 127.52 | C | ||||
| 10a | 123.68 | C | ||||
| 11 | 132.05 | C | ||||
| 1′ | 107.03 | CH | 7.06 | s | 3′/7′ d | 1, 3, 4 e, 10a, 3′/7′ |
| 2′ | 130.78 c | C | ||||
| 3′ | 131.60 c | CH | 7.96 | m | 1′ d, 4′ | 1′, 5′, 7′ |
| 4′ | 115.57 c | CH | 7.30 | m | 3′ | 2′, 5′, 6′ |
| 5′ | 161.25 c | C | ||||
| 6′ | 115.57 c | CH | 7.30 | m | 7′ | 2′, 4′, 5′ |
| 7′ | 131.60 c | CH | 7.96 | m | 1′ d, 6′ | 1′, 3′, 5′ |
3.3. Discussion of Structure Verification of Vc Presented in Table 4
| Atom | δ (13C), ppm | DEPT b | δ (1H), ppm | Multiplicity (J, Hz) | 1H-1H COSY b | HMBC b |
|---|---|---|---|---|---|---|
| 1(C=O) | 159.75 | C | ||||
| 3 | 144.95 | C | ||||
| 4 | 121.62 | CH | 8.26 | dd (7.5; 0.5) | 5, 6 c, 1′ c | 3, 5, 6, 9a d, 11 d |
| 5 | 127.48 | CH | 7.72 | t (7.8) | 4,6 | 10a, 11 |
| 6 | 128.05 | CH | 8.07 | d (8.1) | 4 c, 5, 7 d | 4, 7, 10, 11 c |
| 7 | 134.44 | CH | 8.34 | dd (8.3; 0.8) | 6 d,8 | 9, 9a d, 11 c |
| 8 | 126.95 | CH | 7.78 | dd (8.2; 7.2) | 7, 9 | 9 c, 9a, 11 |
| 9 | 129.20 | CH | 8.32 | dd (7.2; 1.1) | 8 | 1, 7, 10 |
| 9a | 119.23 | C | ||||
| 10 | 127.51 | C | ||||
| 10a | 123.69 | C | ||||
| 11 | 132.11 | C | ||||
| 1′ | 103.35 | CH | 7.18 | s | 4c, 3′ c,5′ d | 1, 3, 10a, 2′ d, 3′, 4′, 5′ |
| 2′ | 135.07 | C | ||||
| 3′ | 125.64 | CH | 7.92 | m | 1′ c, 4′ | 1′ d, 2′ c, 4′ c, 5′ c |
| 4′ | 128.90 | CH | 7.655 | m | 3′ | 2′, 3′, 5′ |
| 5′ | 126.27 | CH | 7.664 | m | 1′ d | 1′ d, 2′, 3′, 4′ c |
4. Shift Predictions with NMRShiftDB Database
5. Conclusions
Author Contributions
Funding
Data Availability Statement
Conflicts of Interest
References
- Shelley, C.A.; Munk, M.E. Computer prediction of substructures from carbon-13 nuclear magnetic resonance spectra. Anal. Chem. 1982, 54, 516–521. [Google Scholar] [CrossRef]
- Penchev, P.N.; Schulz, K.-P.; Munk, M.E. INFERCNMR: A 13C NMR Interpretive Library Search System. J. Chem. Inf. Model. 2012, 52, 1513–1528. [Google Scholar] [CrossRef] [PubMed]
- Steinbeck, C.; Krause, S.; Kuhn, S. NMRShiftDBConstructing a Free Chemical Information System with Open-Source Components. J. Chem. Inf. Comput. Sci. 2003, 43, 1733–1739. [Google Scholar] [CrossRef] [PubMed]
- Steinbeck, C.; Kuhn, S. NMRShiftDB–compound identification and structure elucidation support through a free community-built web database. Phytochemistry 2004, 65, 2711–2717. [Google Scholar] [CrossRef] [PubMed]
- Costi, P.M.; Rinaldi, M.; Tondi, D.; Pecorari, P.; Barlocco, D.; Ghelli, S.; Stroud, R.M.; Santi, D.V.; Stout, T.J.; Musiu, C.; et al. Phthalein Derivatives as a New Tool for Selectivity in Thymidylate Synthase Inhibition. J. Med. Chem. 1999, 42, 2112–2124. [Google Scholar] [CrossRef] [PubMed]
- Ferrari, S.; Ingrami, M.; Soragni, F.; Wade, R.C.; Costi, M.P. Ligand-based discovery of N-(1,3-dioxo-1H,3H-benzo[de]isochromen-5-yl)-carboxamide and sulfonamide derivatives as thymidylate synthase A inhibitors. Bioorg. Med. Chem. Lett. 2013, 23, 663–668. [Google Scholar] [CrossRef] [PubMed]
- Ferrari, S.; Calò, S.; Leone, R.; Luciani, R.; Costantino, L.; Sammak, S.; Di Pisa, F.; Pozzi, C.; Mangani, S.; Costi, M.P. 2′-Deoxyuridine 5′-Monophosphate Substrate Displacement in Thymidylate Synthase through 6-Hydroxy-2H-naphtho[1,8-bc]furan-2-one Derivatives. J. Med. Chem. 2013, 56, 9356–9360. [Google Scholar] [CrossRef] [PubMed]
- Dolder, S.; Liu, S.-X.; Guégano, X.; Atanasov, M.; Daul, C.A.; Leiggener, C.; Hauser, A.; Neels, A.; Decurtins, S. Preparation and characterization of 3-(4,5-ethylenedithio-1,3-dithiol-2-ylidene)naphthopyranone: A luminescent redox-active donor–acceptor compound. Tetrahedron 2006, 62, 11106–11111. [Google Scholar] [CrossRef]
- Aly, O.M.; Awad, W.I.; Islam, A.M. Comparative Study Between Phthalides and Naphthalides. J. Org. Chem. 1957, 22, 517–519. [Google Scholar] [CrossRef]
- Aly, O.M.; Awad, W.I.; Islam, A.M. Comparative Study between Phthalides and Naphthalides. II1. J. Org. Chem. 1958, 23, 1624–1628. [Google Scholar] [CrossRef]
- Awad, W.I.; Aly, O.M. Studies on Naphthalides. III.1 Action of Substituted Phenylacetic Acids, Quinaldine and Picolines on Naphthalic Anhydride. J. Org. Chem. 1960, 25, 1872–1874. [Google Scholar] [CrossRef]
- Agranat, I.; Mala’bi, T. A structural chemistry practitioner: A fox rather than a hedgehog. Reversibility of Friedel–Crafts acyl rearrangements. Struct. Chem. 2020, 31, 1635–1659. [Google Scholar] [CrossRef]
- Penchev, P.N.; Stoyanov, N.M.; Marinov, M.N. A complete 1H and 13C NMR data assignment for 3-phenylmethylene-1H,3H-naphtho-[1,8-c,d]-pyran-1-one. Spectrochim. Acta Part A Mol. Biomol. Spectrosc. 2011, 78, 559–565. [Google Scholar] [CrossRef] [PubMed]
- Stoyanov, N.M.; Ivanova, G.; Minchev, S. Synthesis of 2-(2-thienyl)-3-hydroxyphenalene-1-ones and 3-(2-thienylmethylene)-1H,3H-naphtho-[1,8-c,d]-pyran-1-ones . Bulg. Chem. Ind. 2003, 74, 103–107. [Google Scholar]
- Marinov, M.; Stoyanov, N. Synthesis of 6-substituted-2-(4-methoxyphenyl)-2,3-dihydrophenalen-1,3-diones and their derivatives. Univ. Plovdiv Sci. Stud. 2008, 36, 65–73. [Google Scholar]
- Breitmaier, E. Structure Elucidation by NMR in Organic Chemistry: A Practical Guide, Recognition of Structural Fragments by NMR, 3rd ed.; John Wiley & Sons Ltd.: Chichester, UK, 2002; Chapter 2; p. 27. [Google Scholar]
- Roberts, J.D.; Weigert, F.J. Carbon-13 nuclear magnetic resonance spectroscopy. Determination of carbon-fluorine couplings. J. Am. Chem. Soc. 1971, 93, 2361–2369. [Google Scholar] [CrossRef]
- Pretsch; Buhlmann, P.; Affolter, C. Structure Determination of Organic Compounds, 13C NMR Spectroscopy, 3rd ed.; Springer-Verlag: Berlin/Heidelberg, Germany; New York, NY, USA, 2000; Chapter 4; p. 113. [Google Scholar]
- Guan, Y.; Sowndarya, S.V.S.; Gallegos, L.C.; John, P.C.S.; Paton, R.S. Real-time prediction of 1H and 13C chemical shifts with DFT accuracy using a 3D graph neural network. Chem. Sci. 2021, 12, 12012–12026. [Google Scholar] [CrossRef] [PubMed]
- Sajed, T.; Sayeeda, Z.; Lee, B.L.; Berjanskii, M.; Wang, F.; Gautam, V.; Wishart, D.S. Accurate Prediction of 1H NMR Chemical Shifts of Small Molecules Using Machine Learning. Metabolites 2024, 14, 290. [Google Scholar] [CrossRef] [PubMed]
- Jonas, E.; Kuhn, S.; Schlörer, N. Prediction of chemical shift in NMR: A review. Magn. Reson. Chem. 2021, 60, 1021–1031. [Google Scholar] [CrossRef] [PubMed]
- Bremser, W. Hose—A novel substructure code. Anal. Chim. Acta 1978, 103, 355–365. [Google Scholar] [CrossRef]


| Coupling Constants (nJCF) | Values, Hz |
|---|---|
| 1JCF | 246.1 |
| 2JCF | 21.4 |
| 3JCF | 8.0 |
| 4JCF | 3.2 |
| 3-[(4-Methoxyphenyl)methylidene]-1H,3H-naphtho[1,8-cd]-pyran-1-one | 3-[(4-Fluorophenyl)methylidene]-1H,3H-naphtho[1,8-cd]-pyran-1-one | 3-[(Thiophen-3-yl)methylidene]-1H,3H-naphtho[1,8-cd]-pyran-1-one | ||||||
|---|---|---|---|---|---|---|---|---|
| Atom | δ (13C), exp a (ppm) | δ (13C), pred b (ppm) | Atom | δ (13C), exp a (ppm) | δ (13C), pred b (ppm) | Atom | δ (13C), exp a (ppm) | δ (13C), pred b (ppm) |
| 1(C=O) | 159.80 | 162.84 | 1(C=O) | 159.61 | 162.84 | 1(C=O) | 159.75 | 162.84 |
| 3 | 144.61 | 160.76 | 3 | 145.93 | 160.76 | 3 | 144.95 | 160.76 |
| 4 | 121.57 | 127.92 | 4 | 122.18 | 127.92 | 4 | 121.62 | 127.92 |
| 5 | 127.42 | 126.39 | 5 | 127.42 | 126.39 | 5 | 127.48 | 126.39 |
| 6 | 127.74 | 127.50 | 6 | 128.36 | 127.50 | 6 | 128.05 | 127.50 |
| 7 | 134.35 | 127.41 | 7 | 134.49 | 127.41 | 7 | 134.44 | 127.41 |
| 8 | 126.85 | 127.48 | 8 | 126.91 | 127.67 | 8 | 126.95 | 127.48 |
| 9 | 128.99 | 132.43 | 9 | 129.29 | 132.43 | 9 | 129.20 | 132.43 |
| 9a | 119.21 | 118.89 | 9a | 119.09 | 118.89 | 9a | 119.23 | 118.89 |
| 10 | 127.47 | 128.55 | 10 | 127.52 | 128.55 | 10 | 127.51 | 128.55 |
| 10a | 124.08 | 130.42 | 10a | 123.68 | 130.42 | 10a | 123.69 | 130.42 |
| 11 | 132.11 | 130.65 | 11 | 132.05 | 130.65 | 11 | 132.11 | 130.65 |
| 1′ | 108.19 | 107.15 | 1′ | 107.03 | 107.15 | 1′ | 103.35 | 111.12 |
| 2′ | 126.79 | 130.38 | 2′ | 130.78 | 130.38 | 2′ | 135.07 | 135.70 |
| 3′ | 131.17 | 132.80 | 3′ | 131.60 | 133.40 | 3′ | 125.64 | 128.00 |
| 4′ | 114.13 | 114.57 | 4′ | 115.57 | 116.80 | 4′ | 128.90 | 128.60 |
| 5′ | 158.75 | 160.80 | 5′ | 161.25 | 162.50 | 5′ | 126.27 | 130.20 |
| 6′ | 114.13 | 114.57 | 6′ | 115.57 | 116.80 | |||
| 7′ | 131.17 | 132.80 | 7′ | 131.60 | 133.40 | |||
| OCH3 | 55.18 | 55.33 | ||||||
Disclaimer/Publisher’s Note: The statements, opinions and data contained in all publications are solely those of the individual author(s) and contributor(s) and not of MDPI and/or the editor(s). MDPI and/or the editor(s) disclaim responsibility for any injury to people or property resulting from any ideas, methods, instructions or products referred to in the content. |
© 2024 by the authors. Licensee MDPI, Basel, Switzerland. This article is an open access article distributed under the terms and conditions of the Creative Commons Attribution (CC BY) license (https://creativecommons.org/licenses/by/4.0/).
Share and Cite
Stoitsov, D.; Marinov, M.; Penchev, P.; Frenkeva, M.; Stoyanov, N. A Complete 1H and 13C NMR Data Assignment for Three 3-[Substituted methylidene]-1H,3H-naphtho-[1,8-cd]-pyran-1-ones. Crystals 2024, 14, 871. https://doi.org/10.3390/cryst14100871
Stoitsov D, Marinov M, Penchev P, Frenkeva M, Stoyanov N. A Complete 1H and 13C NMR Data Assignment for Three 3-[Substituted methylidene]-1H,3H-naphtho-[1,8-cd]-pyran-1-ones. Crystals. 2024; 14(10):871. https://doi.org/10.3390/cryst14100871
Chicago/Turabian StyleStoitsov, Dimitar, Marin Marinov, Plamen Penchev, Maria Frenkeva, and Neyko Stoyanov. 2024. "A Complete 1H and 13C NMR Data Assignment for Three 3-[Substituted methylidene]-1H,3H-naphtho-[1,8-cd]-pyran-1-ones" Crystals 14, no. 10: 871. https://doi.org/10.3390/cryst14100871
APA StyleStoitsov, D., Marinov, M., Penchev, P., Frenkeva, M., & Stoyanov, N. (2024). A Complete 1H and 13C NMR Data Assignment for Three 3-[Substituted methylidene]-1H,3H-naphtho-[1,8-cd]-pyran-1-ones. Crystals, 14(10), 871. https://doi.org/10.3390/cryst14100871

