Next Article in Journal
A Complete 1H and 13C NMR Data Assignment for Three 3-[Substituted methylidene]-1H,3H-naphtho-[1,8-cd]-pyran-1-ones
Previous Article in Journal
Thermal Processing Map Study of the GH99 Nickel-Based Superalloy Based on Different Instability Criteria
 
 
Font Type:
Arial Georgia Verdana
Font Size:
Aa Aa Aa
Line Spacing:
Column Width:
Background:
Article

First-Principles Calculations of the Structural, Mechanical, Optical, and Electronic Properties of X2Bi4Ti5O18 (X = Pb, Ba, Ca, and Sr) Bismuth-Layered Materials for Photovoltaic Applications

1
Department of Physics, The University of Lahore, Sargodha Campus, Sargodha 40100, Pakistan
2
Department of Physics, Fatima Jinnah Women University, Rawalpindi 46000, Pakistan
3
National Key Laboratory of Tunable Laser Technology, Institute of Optoelectronics, Department of Electronics Science and Technology, Harbin Institute of Technology, Harbin 150080, China
4
School of Materials Science & Engineering, Jiangsu University, Zhenjiang 212013, China
5
Department of Chemistry, College of Science, Taif University, P.O. Box 11099, Taif 21944, Saudi Arabia
*
Author to whom correspondence should be addressed.
Crystals 2024, 14(10), 870; https://doi.org/10.3390/cryst14100870
Submission received: 10 September 2024 / Revised: 20 September 2024 / Accepted: 29 September 2024 / Published: 2 October 2024
(This article belongs to the Section Inorganic Crystalline Materials)

Abstract

For the first time, density functional theory (DFT) calculations have been employed for the measurement of the structural, mechanical, optical, and electrical properties of a bismuth-layered structure ferroelectrics (BLSFs) family member possessing an orthorhombic structure with Cmc21 space group. Based on the exchange–correlation approximation, our calculations show that Pb2Bi4Ti5O18 possesses an indirect band gap, while the materials X2Bi4Ti5O18 (X = Ba, Ca, and Sr) demonstrate direct band gap, where the estimated density functional fundamental band gap values lie between 1.84 to 2.33 eV, which are ideal for photovoltaic applications. The optical performance of these materials has been investigated by tuning the band gaps. The materials demonstrated outstanding optical characteristics, such as high absorption coefficients and low reflection. They exhibited impressive absorption coefficient (α = 105 cm−1) throughout a broad energy range, especially in the visible spectrum (105 cm−1 region). The findings show that the compounds demonstrate lower reflectivity in the visible and UV regions, making them suitable for single-junction photovoltaic cells and optoelectronic applications. The Voigt–Reuss–Hill averaging technique has been employed to derive elastic parameters like bulk modulus (B), Young’s modulus, shear modulus (G), the Pugh ratio (B/G) and the Frantesvich ratio (G/B) at 0.1 GPa. The mechanical stability of the compounds was analyzed using the Born stability criteria. Pugh’s ratio and Frantesvich’s ratio show that all the compounds are ductile, making them ideal for flexible optical applications.

1. Introduction

The continuously growing demands of energy storage applications in society, along with the impacts of global warming and the depletion of petroleum reserves, have compelled scientists to explore alternative fuel sources capable of performing efficiently under fatigue conditions. The most viable options to overcome such issues are the development of renewable energy sources, which include biomass, solar, wind, and other sources [1,2,3]. The content of solar energy that reaches the Earth’s surface is far more than the amount of energy used worldwide today. Solar energy is regarded as one of the finest energy technology solutions owing to its cheap cost, ease in accessibility, renewable nature, and lack of an environmental damage effect. One significant strategy for providing energy to the world is to develop solar photovoltaic (PV) and photocatalytic (PC) technologies, which can convert sunlight into chemical and electrical energy [4,5,6,7]. To accomplish this, semiconductor materials with the appropriate band gaps must be engineered to absorb light and create free electrons. It is the desire of the time to miniaturize the size of devices to near-atomically thin sizes while maintaining the high semiconductor characteristics required for today’s PV and PC applications. In semiconductor-based PV cells, photon absorption in the donor material generates excitation (a pair of electrons and holes), which may be separated at a D–A (donor–acceptor) interface. The created hole goes through the material and is collected at the anode. When an electron is separated, it may be transferred to an acceptor substance and transported to the cathode [8,9,10,11,12].
The scientific community has paid limited attention to bismuth-layered structure ferroelectrics (BLSFs) for optoelectric and photovoltaic devices because of their other multiple potential applications, which include photo–ferroelectric, ferroelectric–mechanical, and ferroelectric–elastic applications. For many decades, BLSFs have been significantly utilized as a host material for their ferroelectric and up-conversion luminescence (UCL) capabilities, allowing the integration of optoelectronic devices. These BLSFs are perfect as UC host materials because, unlike glasses and halides, they have stable mechanical, thermal, and chemical characteristics as well as a high Curie temperature (TC). BLSFs with the general formula (Bi2O2)2− (Am−1BmO3m+1)2+ belong to the aurivillius family [12,13,14,15,16]. The (Bi2O2)2− layer is positioned between the perovskite blocks (Am−1BmO3m+1)2+. The A site might be monovalent, divalent, trivalent, or a combination of these, where tetravalent, pentavalent, and hexavalent cations often occupy the B site, and m represents the octahedral layer, which influences the dielectric and ferroelectric properties of BLSFs.
These Bi-based ternary metal oxides are direct bandgap semiconductors with a very small energy gap (2.4–2.8 eV); hence, they can absorb light and hold significant potential for solar energy applications. They are also utilized as light-carrier masses, which should aid in the efficient extraction and separation of photo-excited charge carriers. They are also utilized as photocatalytic materials under visible light irradiation to split water into O2 and H2, as well as to degrade organic pollutants [17,18,19,20,21,22,23].
Among the family of BLSFs, SrBi2B2O9 with B = Nb and Ta have been explored in theoretical studies like Shu et al., where they performed the first principal study and measured the band gaps for SrBi2Ta2O9 (2.44 eV) and SrBi2Nb2O9 (2.35 eV) [24]. Li et al. performed the theoretical calculations for the measurements of the band gap for another BLSF family member Na0.5Bi2.5Nb2−xWxO9+δ and found that it lies in the range of 1.61–1.99 eV [25]. Recently, Fatima et al. performed the theoretical DFT calculations for XNb2Bi2O9 with X = Ca, Ba, Be, Mg, and Sr. The materials have presented bandgaps in the range of 1.8 to 2.6 eV for all compounds [26]. Li et al. calculated the electronic energy band structure of M-doped BaTiO3 (M = Al, Fe, V, Nb) systems and studied the effect of different metal atoms (M) on the electronic structure of BaTiO3 [27]. Wu et al. calculated the electronic energy band structure of (1 − x)BaTiO3−xBiScO3 with the first-principles method and discovered factors related to the orbital hybridization and electrical properties [28]. Stambouli et al. performed a first-principles study on the SrBi2B2O7 crystal for ultraviolet optoelectronic applications and measured a band gap range of 2.812–3.94 eV by different types of calculation approaches [29]. Cai et al. performed a first-principles study calculation within DFT on Bi4Ti3O12 and measured an indirect band gap of 1.87 eV [30] experimentally. Han, J. Y. et al. were able to enhance the optical band gap from 2.69 eV to 2.75 eV for iron-doped lanthanum-modified Bi4Ti3O12 thin films fabricated on a SrTiO3 substrate using RF sputtering [31]. Zhang et al. synthesized Sr2Bi2Nb2O9-xEr multifunctional ceramics, which exhibited strong luminescence and improved temperature stability, with band structure and density of states analysis indicating effective photon energy absorption [32]. The literature survey compelled us to explore the hidden merits of BLSF materials for optoelectronic applications.
In this work, we investigated the effects of substituting X with Pb, Ba, Ca, and Sr on the structural, electrical, optical, and mechanical attributes of X2Bi4Ti5O18. A local density approximation (LDA) using the Ceperleye–Alder and Perdewe–Zunger (CA-PZ) functional technique built within the CASTEP algorithm and density functional theory (DFT) calculations were performed to explore the comprehensive energy calculations. This research also studied the band structure, partial density of states (PDOS), and total density of states (TDOS) of the compounds. Reflectivity, absorption, refractive index, extinction coefficient, dielectric function, optical conductivity, and loss function were also investigated to optimize the optical properties of the compounds. Furthermore, using the Forcite module, mechanical properties were explored, including elastic constants, young modulus, shear modulus, bulk modulus, B/G, and G/B ratio.

2. Methodology

Cambridge Serial Total Energy Package (CASTEP) computer code was utilized at 400 eV cut-off plane-wave energy for the first-principles measurements (based on the plane-wave pseudopotential approach of DFT); measurements were performed by employing LDA and CA-PZ functions [33]. The atomic positions and the lattice parameters of all the X2Bi4Ti5O18 unit cells were optimized with the CASTEP code. The geometrical optimization and structural stability of the compounds were calculated by the Broyden–Fletcher–Goldfarb–Shanno (BFGS) algorithm technique, keeping the total energy fixed to 2.0 × 10−5 eV/atom, self-consistent field (SCF) at 1.0 × 10−6 Å, maximum force of 0.05 eV/Å, maximum stress of 0.1 GPa, and maximum displacement at 0.002 Å. The structural, electronic, and optical attributes of X2Bi4Ti5O18 were calculated using exchange–correlation by LDA with CA-PZ functions [34,35] to provide a better outlook for a system with a larger number of atoms.
ε 1 ( ω ) = 1 + 2 π P 0 ω ε 2 ( ω ) ω 2 ω 2 d ω
ε 2 ( ω ) = 4 π 2 e 2 m 2 ω 2 V B z | ψ k v | p i | ψ k C | 2 δ ( E ψ k c E ψ k v ħ ω )              
The real part ε 1 ω in Equation (1) is defined as the electronic contribution to the dielectric constant. The Kramers–Kronig dispersion allows the real part ε 1 ω of the frequency-dependent dielectric function to be deduced from the imaginary part ε 2 ω , where P denotes the principal value of the integral and the imaginary part ε 2 ω of the dielectric function is expressed as the momentum matrix elements between the occupied and unoccupied electronic states. Here, ε 2 ω can be calculated directly using Equation (2), where e is the electronic charge, ψ k C   and   ψ k v are the conduction and valence band wave functions at k, respectively. V is the unit cell volume, and ω is the frequency of the incident photon [36]. All the properties were calculated using the OTFG ultrasoft pseudopotentials plane-wave method of USP. The Monkhorst pack grid was used for the k-integration, with a 4 × 4 × 4 k-point mesh throughout the Brillouin zone. The values of elastic constants were calculated using the Forcite module in the software using a universal force field, and charges as assigned at fine quality. In the case of the electrostatic summation method, “Ewald” was used. Van der Waals’ “atom-based” summation was chosen during the calculation of the mechanical properties of all compounds.

3. Results and Discussion

3.1. Structural Properties

X2Bi4Ti5O18 (X = Pb, Ba, Ca, Sr) possesses the orthorhombic structure with Cmc21 space group symmetry, having a total of 116 atoms, in which X (X = Pb, Ba, Ca, Sr) contains 08, Bi has 16, Ti has 20 atoms, and O has a total of 72 atoms as shown in Figure 1. Five inequivalent Ti4+ sites are present in the structure, so five corner-sharing TiO6 octahedrals are formed when five Ti4+ sites are linked to six O2− ions in a 6-coordinate geometry. Two X2+ locations are not fixed, as both X2+ locations are associated with 12 O2− ions in a 12-coordinate geometry. There exist 4 lattice sites for Bi3+ that are inequivalent. The first Bi3+ site is bound to seven O2− ions in a 7-coordinate geometry. The second Bi3+ site is bound to seven O2− ions in a seven-coordinate configuration. Six O2− ions and Bi3+ are bound in a 6-coordinate geometry at the third and fourth Bi3+ sites.
There exist 18 O2− sites, which are inequivalent. O2− is twistedly bent with two Ti4+, one X2+, and one Bi3+ ions at the initial O2− site. O2− is bound in a 4-coordinate geometry to two Ti4+, one X2+, and one Bi3+ ions at the second O2− site. O2− is bound in a 2-coordinate geometry to two equivalent Ti4+, two equivalent X2+, and one equivalent Bi3+ ions at the third O2− site. O2− is bound in a 2-coordinate geometry to two equivalent Ti4+, two equivalent X2+, and one equivalent Bi3+ ions at the fourth O2− site. O2− is bound to four Bi3+ ions in the fifth O2− site to produce a combination of edge-sharing and corner-sharing O-Bi4+ tetrahedral. O2− is bound to four Bi3+ ions at the sixth O2− site to produce a mixture of edge-sharing and corner-sharing O-Bi4− tetrahedral. O2− is bound in a 4-coordinate geometry to two Ti4+, two X2+, and one Bi3+ ions at the seventh O2− site. O2− is bound to two Ti4+, two X2+, and one Bi3+ ions in a 2-coordinate geometry for the eighth O2− site. O2− is twistedly bent to two Ti4+, two X2+, and one Bi3+ ions at the ninth O2− site. O2− is bound to two Ti4+, two X2+, and one Bi3+ ions in a 4-coordinate geometry at the tenth O2 site. For the eleventh O2− site, O2− is coupled to two Ti4+, two equivalent X2+, and one Bi3+ ions in a 4-coordinate geometry. O2− is linked in a 3-coordinate geometry to two Ti4+, two equivalent X2+, and one Bi3+ ions at the twelfth O2− site. One Ti4+ and two Bi3+ ions are bound to O2− in a deformed single-bond geometry at the thirteenth O2− site. One Ti4+ and two Bi3+ ions are bound to O2− in a deformed single-bond geometry at the fourteenth O2− site. O2− is bound in a 3-coordinate geometry to two Ti4+, one X2+, and one Bi3+ ions at the fifteenth O2− site. O2− is bound in a 2-coordinate geometry to two Ti4+, one X2+, and one Bi3+ ions at the sixteenth O2− site. At the seventeenth O2− site, O2− is bound to two Ti4+, two equivalent X2+, and one Bi3+ ions in a 1-coordinate geometry. At the eighteenth O2− site, O2− is bound to two Ti4+, two equivalent X2+, and one Bi3+ ions in a 1-coordinate geometry.

3.2. Band Structure

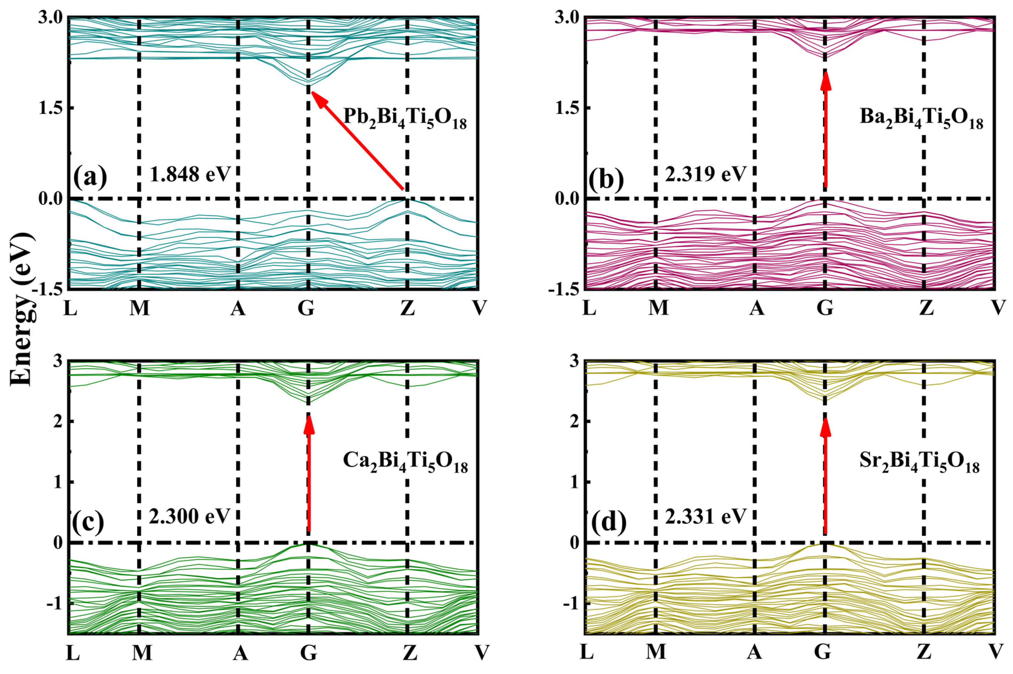
A significant source of information regarding the possible energy states that electrons may occupy (i.e., energy bands) is the electronic band structures of all the compounds, which are presented in Figure 2a–d. Results are computed using DFT with LDA calculations. The monoelectronic Khon-Sham equations can be used to generate these energies. The properties of all under observation compounds, such as whether they are insulators, conductors, or semiconductors, can be determined by their energy band structures. The valence band (VB) maximum and the conduction band (CB) minimum are subtracted to obtain the insulator and semiconductor natures of the compounds. Our calculations indicate that, for X2Bi4Ti5O18 (where X = Ba, Ca, and Sr), the VB maxima and CB minima are located at the same k-point, resulting in direct band gaps of 2.319 eV, 2.30 eV, and 2.311 eV, respectively, confirming that these compounds are direct band gap semiconductors. In contrast, Pb2Bi4Ti5O18 exhibits VB maxima and CB minima at different points in the Brillouin zone, which results in an indirect band gap of 1.848 eV, making it an indirect band gap semiconductor. An indirect band gap indicates a weak spin-orbit coupling effect near the Z symmetry points [37].

3.3. Density of States

We have calculated the TDOS and PDOS of all the compounds to better understand their electronic band structures. The vertical dashed line in Figure 3 represents the Fermi level (EF) at zero eV. In Figure 3 TDOS data of all the compounds are displaying their electron distribution’s energy spectra. The energy range, from −6 eV to 6 eV, is selected to analyze the total and partial density of states. A maximum of 3.2 states/eV in the CB and −1.1 states/eV in the VB at Fermi level EF display the total density of the states.
Figure 4a shows that Pb2Bi4Ti5O18 has a narrow energy band gap. In the VB, Ti-3d2, Bi-5p6, and O-2p4 display most of the contribution, while Pb-6p2 is contributing the minute portion. Forbidden energy gaps are a sign of a material’s semiconductor ability. The CB is mostly influenced by the atoms Bi-6s2 and Ti-3d2, with very little effect from other elements. Figure 4b demonstrates the high dominance of the Ba2+ and O2− ions in the VB area of Ba2Bi4Ti5O18. O-2p4, Ba-4d10, and Ba-5p6 demonstrate a strong impact, while Bi-3p6 is not very prominent. The Ba2Bi4Ti5O18 compound has an energy band gap of 2.319 eV, consistent with the electronic band structure value. The impact of Ba2+ and Bi3+ ions on the CB is comparatively lower than that of Ti4+ ion, which has a significant influence. The VB of Ca2Bi4Ti5O18 in Figure 4c is mostly contributed by O-2p4 and Bi-3P6 states, whereas the CB is primarily influenced by Ti4+ ion, with small contributions from Bi3+ and Ca2+ ions as well. The partial density of states for Sr2Bi4Ti5O18 is displayed in Figure 4d, where Sr2+ and O2− ions are dominant in the VB, with Bi3+ making a negligible contribution. The VB of the compound is significantly influenced by O-2p4 and Sr-3d10 states. In the CB, Ti4+ and Bi3+ ions make stronger contributions than the other elements. The O2− and Sr2+ ions in the CB are not contributing prominently.

3.4. Dielectric and Optical Properties

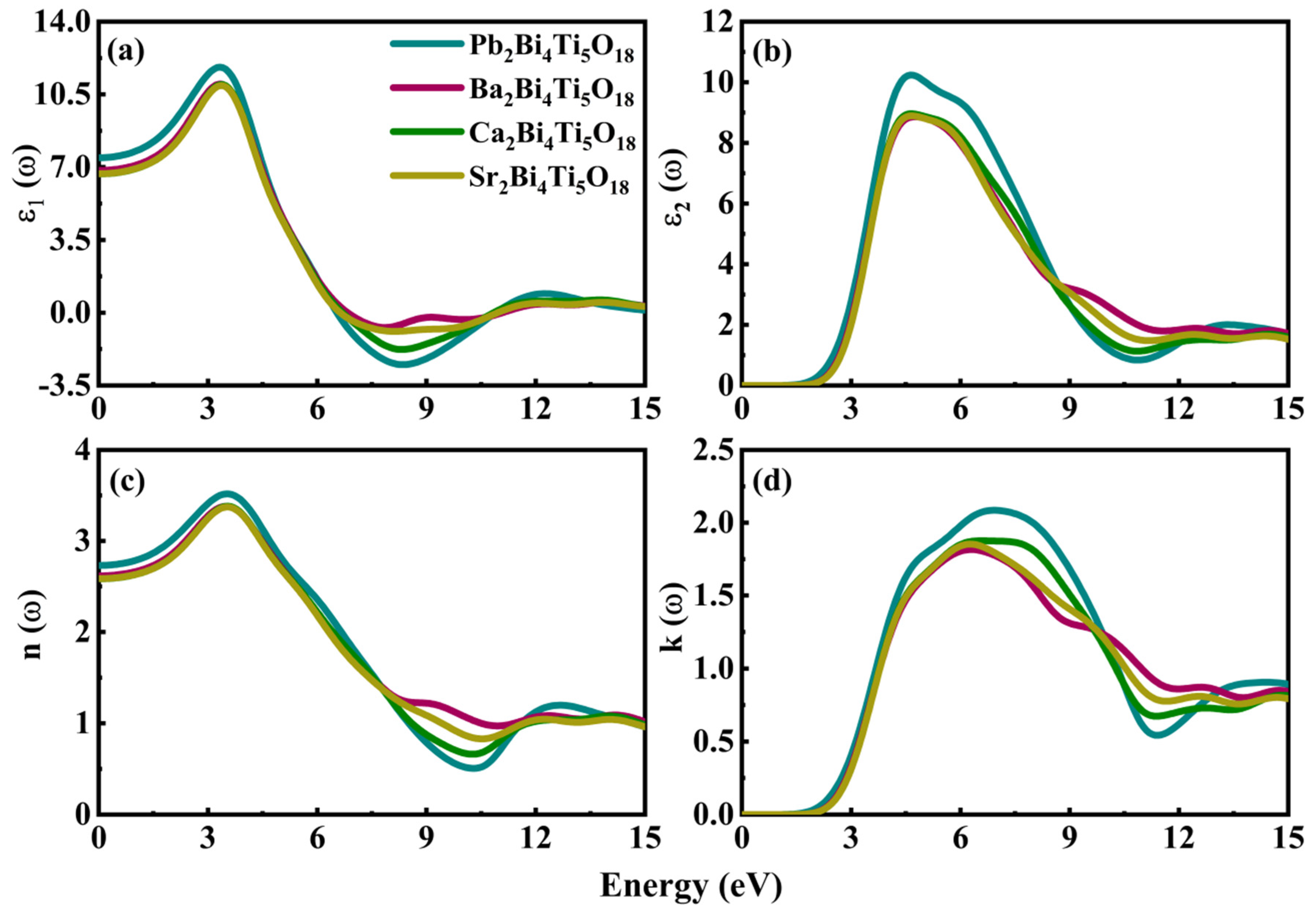
Figure 5a,b shows the imaginary and real parts of the dielectric functions ε 1 ( ω ) and ε 2 ( ω ) of X2Bi4Ti5O18 (where X = Pb, Ba, Ca, and Sr). For X2Bi4Ti5O18 (X = Pb, Ba, Ca, and Sr), the highest values of ε 1 ( ω ) are 11.81, 10.99, 10.97, and 10.92, respectively. As seen in Figure 5a, these values are found in the electromagnetic spectrum’s visible range. Based on the evaluation of ε 1 ( ω ) , Pb2Bi4Ti5O18 (7.45) has a higher static dielectric constant than Ba2Bi4Ti5O18 (6.84), Sr2Bi4Ti5O18 (6.68), and Ca2Bi4Ti5O18 (6.67). This static dielectric function data reveals that the analyzed compounds would be ideal candidates for solar energy applications. In the ultraviolet region of the spectrum, the distribution of ε 1 ( ω ) clinches negative values at a certain energy range.
The dielectric and metallic natures at the specified energies are shown by the positive and negative values of ε 1 ( ω ) which can be calculated by Equation (1). Metallic nature has been observed for the compounds at different energies, like Pb2Bi4Ti5O18 exhibits between 6.56 and 10.86 eV, Ba2Bi4Ti5O18 between 6.56 and 11.04 eV, Sr2Bi4Ti5O18 between 6.71 and 10.80 eV, and Ca2Bi4Ti5O18 between 6.61 and 10.91 eV. The energies at which these compounds change from metallic to dielectric and where ε 1 ( ω ) approaches to zero, the phenomenon is known as plasmon excitations. A semiconductor’s optical properties are highly controlled by plasmon excitations. Plasmon energies for Pb2Bi4Ti5O18, Ba2Bi4Ti5O18, Sr2Bi4Ti5O18, and Ca2Bi4Ti5O18 are 4.09, 4.26, 4.18, and 4.09 eV, respectively.
Figure 5b displays the imaginary part ε 2 ω of the dielectric function, which is drawn against the photon energy (Equation (2)). Dielectric function distribution spectra are used to illustrate the main optical transitions between VBs and CBs. It is evident in Figure 5b that the transitions of X2Bi4Ti5O18 (X = Ba, Pb, Ca, and Sr) occur in the UV region. For X2Bi4Ti5O18 (X = Ba, Pb, Ca, and Sr), the optical transitions between the VB maxima and CB minima at the mid-UV range occur at 4.74, 4.62, 4.64, and 4.66 eV, respectively.
For the practical applications of these compounds in optoelectronic devices, the refractive index n ( ω ) information plays a crucial role (Equation (3)), which indicates the data pertaining to material transparency; as n ( ω )   1 designates an optical substance of transparent nature. Figure 5c illustrates the n ( ω ) analysis for X2Bi4Ti5O18 (X = Pb, Ba, Ca, and Sr), where n ( ω ) values reach the maximum limit at the end of the visible range and at the start to decrease in the UV region. Pb2Bi4Ti5O18 (3.51) has the highest n ( ω ) value than Ba2Bi4Ti5O18 (3.38), Ca2Bi4Ti5O18 (3.37), and Sr2Bi4Ti5O18 (3.32). Due to the relatively narrower band gap of Pb2Bi4Ti5O18 (n = 2.73), it demonstrates the highest n ( ω ) value than Ba2Bi4Ti5O18, Ca2Bi4Ti5O18, and Sr2Bi4Ti5O18 (n = 2.61, 2.57, and 2.58). Our results demonstrate that these compounds are suitable choices for solar cell and photovoltaic applications. These compounds reach the highest values in the visible range of the light spectrum for their refraction spectra. As photon energy increases in the ultraviolet (UV) region, n ( ω ) begins to decrease and reaches a value of less than 1 between 8 and 9 eV. According to these values, the compounds would be transparent in the visible range and UV region, but if the photon energy ranges above 1, the transparency would disappear.
n ( ω ) = { ε 1 ( ω ) 2 + ε 1 2 ( ω ) + ε 2 2 ( ω ) 2 } 1 2
Similar profiles may be observed in the imaginary part ε 2 ( ω ) and extinction coefficient k ( ω ) of the dielectric constant, as shown in Figure 5b and Figure 5d, respectively. Similar to the imaginary fraction ε 2 ( ω ) of the dielectric loss, the extinction coefficient k ( ω ) also originates at a certain threshold energies. For X2Bi4Ti5O18 (X = Pb, Ba, Ca, and Sr), the threshold energy values for extinction coefficient k ( ω ) are around 2.0, 2.30, 2.33, and 2.31 eV, respectively. Extinction coefficient k m a x ( ω ) are 2.086 at 6.89 eV, 1.81 at 6.31 eV, 1.87 at 6.94 eV, and 1.85 at 6.85 for Pb2Bi4Ti5O18, Ba2Bi4Ti5O18, Ca2Bi4Ti5O18, and Sr2Bi4Ti5O18 compounds, respectively. The extinction coefficient’s k ( ω ) spectrum then falls towards unity after reaching its maximum values.
The reflectivity R ( ω ) of these compounds can be determined using Equation (4) by utilizing the calculated values of the extinction coefficient k ( ω ) and refractive index n ( ω ) [38].
R ( ω ) = ( 1 n ) 2 + k 2 ( 1 + n ) 2 + k 2
Frequency-dependent reflectivity R ( ω ) for X2Bi4Ti5O18 (where X = Pb, Ba, Ca, and Sr), the calculated spectra are displayed in Figure 6a. The values of static reflectivity (zero frequency limit) for X2Bi4Ti5O18 (X = Pb, Ba, Ca, and Sr) are 0.21, 0.199, 0.195, and 0.194, respectively. According to the spectrum, Pb2Bi4Ti5O18 has the highest reflectivity compared to X2Bi4Ti5O18 (where X = Ba, Ca, and Sr). The frequency-dependent reflectivity R ( ω ) spectra of X2Bi4Ti5O18 (where X = Pb, Ba, Ca, and Sr) display their highest peaks in the energy range of 4 to 10 eV. For X2Bi4Ti5O18 (X = Pb, Ba, Ca, Sr), the maximum reflectivity R ( ω ) values are 0.477, 0.349, 0.404, and 0.356, respectively.
Figure 6b presents the calculated absorption spectra for X2Bi4Ti5O18 (X = Pb, Ba, Ca, and Sr), which are plotted as a function of photon energy. Absorption coefficient   α ( ω ) is considered one of the important factors in determining the potential of solar devices (Equation (5)) [39]. Given that the spectra of the compounds strongly rely on the electronic band structures, the behavior of the α ( ω ) is also comparable to the ε 2 ω . For X2Bi4Ti5O18 (X = Pb, Ba, Ca, and Sr), the absorption edges are situated at 1.84, 2.31, 2.3, and 2.31 eV, respectively. The first part of the absorption spectra begins in the visible region, while the absorption peaks reach their maximum values in the UV region. For X2Bi4Ti5O18 (X = Pb, Ba, Ca, and Sr), the maximum values of absorptions in the UV range are measured as 2.585 × 105 cm−1 at 8.1 eV, 2.051 × 105 cm−1 at 7.6 eV, –2.340 × 105 cm−1 at 8.11 eV, and 2.082 × 105 cm−1 at 7.90 eV, respectively. The values at which some compounds begin to change from dielectric to metallic are associated with the maximum absorption values. These materials’ remarkably high and acceptable absorption properties highlight their potential for solar cell and photovoltaic applications.
  α = 2 k ω c
The semiconductor’s optical conductivity is associated with the distinct space filled by electrons in the energy band orbits and free electrons. The holes and free electrons in the crystal molecules also contribute to the conductivity of the compounds. The optical conductivity varies for X2Bi4Ti5O18 (X = Pb, Ba, Ca, and Sr) with increasing photon energy, which is evident in Figure 6c. Similar to the absorption coefficient, optical conductivity begins with values that are roughly equal since they are directly proportional to the optoelectronic properties.
Figure 6d presents the energy-dependent loss function of the compounds, which is influenced by heating, scattering, and other processes. The observed optical loss in the visible region has increased up to 0.07, which is extremely small and negligible. Therefore, the visible light region’s greatest attenuation and least energy loss indicate the compounds’ potential for usage in clean energy applications. The optical loss function is calculated by the Equation (6) [38].
  L ( ω ) = I m ( 1 ε ) = ε 2 ( ω ) ε 1 2 ( ω ) + ε 2 2 ( ω )

3.5. Mechanical Properties

Figure 7a presents the elastic constants for X2Bi4Ti5O18 (X = Pb, Ba, Ca, and Sr) compounds, which have not been reported experimentally or theoretically before. Our calculations represent the first attempt to investigate their elastic characteristics. The stability of these compounds is affected by several variables that impact cell degradation, stress, and strain in solar cells. The mechanical characteristics of solar cells can be affected by their design, manufacturing, and industrial processing. Thus, using Voigt–Reuss–Hill approximations, the anisotropy dependence on the elastic constants (bulk modulus B, shear modulus G, and Young’s modulus) for X2Bi4Ti5O18 (X = Pb, Ba, Ca, and Sr) are presented in Figure 7b (Equations (7) and (8)) [40].
B = 1 3 ( C 11 + 2 C 12 )
E = 9 B G 3 B + G
It is analyzed that the shear modulus G has lower values than the bulk modulus B , which suggests that the compounds under study are more resilient to volume compression than shear deformation. A compound’s Young’s modulus E is a measure of its stiffness. The stiffer the compound, the higher the Young’s modulus [41].
G v = 1 5 ( C 11 C 12 + 3 C 44 )
G R = C 44 ( C 11 C 12 ) 4 C 44 + 3 ( C 11 C 12 )
G H = 1 2 ( G v + G R )
Following certain mathematical procedures, the stability requirements for the orthorhombic structure of X2Bi4Ti5O18 (X = Pb, Ba, Ca, and Sr) are well met to the defined standards [42]:
C 11 + C 22     2 C 12 > 0 ,   C 11 + C 33     2 C 13 > 0 ,   C 22 + C 33     2 C 23 > 0 ,   C 11 + C 22 + C 33 + 2 C 12 + 2 C 13 + 2 C 23 > 0 ,   C 11 > 0 ,   C 22 > 0 ,   C 33 > 0 ,   C 44 > 0 ,   C 55 > 0 ,   C 66 > 0  
We now aim to discuss more about the brittle or ductile natures of these compounds after collecting the relevant information from the mechanical calculations (Equations (9)–(12)). It is possible to describe the ductility and brittleness behaviors of compounds using certain proposed relationships (Equation (9) to Equation (12)). We can determine if a certain compound is brittle or ductile based on a variety of characteristics, including the ratio of ductility, i.e., ( B / G ) Cauchy pressure ( C i j ) (Figure 7c). Pugh’s ratio ( B / G ratio) [43] is also a helpful ratio that has been proposed as a standard for differentiating between brittle and ductile materials. The critical value that differentiates between brittle or ductile nature for materials is around 1.75. A B / G ratio less than 1.75 indicates that the material is fragile (ductile). The Pugh’s ratios of the compounds are investigated, which are greater than the crucial value, confirming the ductile character of these compounds. Furthermore, for all the compounds, Frantesvich ratios ( G / B ) are significantly lower than 0.571, indicating their ductile character as well (Figure 7d). Detailed analysis of the mechanical properties of all the compounds is provided in Table 1 for comparison analysis. Such ductile nature of the compounds makes them the ideal candidates for flexible solar devices.

4. Conclusions

In the current work, the LDA approach with Ceperleye–Alder and Perdewe–Zunger (CA-PZ) functional methods is employed to calculate the structural, optical, electronic, and mechanical properties of X2Bi4Ti5O18 (X = Pb, Ba, Ca, and Sr). Based on the electronic band structure calculations, it is confirmed that X2Bi4Ti5O18 (X = Pb, Ba, Ca, and Sr) compounds are semiconductors with bandgap values of 1.848 eV, 2.319 eV, 2.30 eV, and 2.311 eV, respectively. These compounds are recognized as potential candidates for solar applications due to their high absorption in the visible and UV spectra. These compounds show remarkable reflection in the higher UV region, suggesting that they are suitable semiconductor materials for optical devices. The B / G ratios of these compounds are above 1.75, and the G / B ratios are less than 0.571, which shows that all compounds exhibit exceptionally ductile behavior. These compounds with such significant properties are ideal choices for flexible photovoltaic applications.

Author Contributions

Conceptualization, A.H., N.J. and M.H.H.M.; methodology, A.Y. and M.A.Q.; software, F.K.; validation, A.H., F.K. and T.A.; formal analysis, M.U.K.; investigation, N.J., A.Y. and M.A.Q.; resources, M.U.K.; data curation, F.K. and M.U.K.; writing—original draft preparation, A.H. and N.J.; writing—review and editing, A.H., F.K. and M.H.H.M.; visualization, T.A., M.A.Q. and M.H.H.M.; supervision, N.J. and M.H.H.M.; project administration, N.J.; funding acquisition, M.H.H.M. All authors have read and agreed to the published version of the manuscript.

Funding

This research was funded by Taif University, Saudi Arabia, Project No. (TU-DSPP-2024-93). Also, the authors are thankful to the University of Lahore, Pakistan, for the ORIC-SRGP 17/2024 research fund.

Data Availability Statement

The original contributions presented in the study are included in the article. Further inquiries can be directed to the corresponding authors.

Acknowledgments

The authors extend their appreciation to Taif University, Saudi Arabia, for supporting this work through project number (TU-DSPP-2024-93). Also, they are thankful to the University of Lahore, Pakistan, for the ORIC-SRGP 17/2024 research fund.

Conflicts of Interest

The authors declare no conflicts of interest.

References

  1. Rabaia, M.K.H.; Abdelkareem, M.A.; Sayed, E.T.; Elsaid, K.; Chae, K.J.; Wilberforce, T.; Olabi, A.G. Environmental impacts of solar energy systems: A review. Sci. Total Environ. 2021, 754, 141989. [Google Scholar] [CrossRef] [PubMed]
  2. Güney, T. Solar energy and sustainable development: Evidence from 35 countries. Int. J. Sustain. Dev. World Ecol. 2022, 29, 187–194. [Google Scholar] [CrossRef]
  3. Kabir, E.; Kumar, P.; Kumar, S.; Adelodun, A.A.; Kim, K.H. Solar energy: Potential and future prospects. Renew. Sustain. Energy Rev. 2018, 82, 894–900. [Google Scholar] [CrossRef]
  4. Hernández-Callejo, L.; Gallardo-Saavedra, S.; Alonso-Gómez, V. A review of photovoltaic systems: Design, operation and maintenance. Sol. Energy 2019, 188, 426–440. [Google Scholar] [CrossRef]
  5. Chaves, A.; Azadani, J.G.; Alsalman, H.; Da Costa, D.R.; Frisenda, R.; Chaves, A.J.; Song, S.H.; Kim, Y.D.; He, D.; Zhou, J.; et al. Bandgap engineering of two-dimensional semiconductor materials. NPJ 2D Mater. Appl. 2020, 4, 29. [Google Scholar] [CrossRef]
  6. Yang, T.; Wang, M.; Duan, C.; Hu, X.; Huang, L.; Peng, J.; Huang, F.; Gong, X. Inverted polymer solar cells with 8.4% efficiency by conjugated polyelectrolyte. Energy Environ. Sci. 2012, 5, 8208–8214. [Google Scholar] [CrossRef]
  7. Li, X.; Choy, W.C.; Huo, L.; Xie, F.; Sha, W.E.I.; Ding, B.; Guo, X.; Li, Y.; Hou, J.; You, J.; et al. Dual plasmonic nanostructures for high performance inverted organic solar cells. Adv. Mater. 2012, 24, 3046–3052. [Google Scholar] [CrossRef]
  8. He, Z.; Zhong, C.; Su, S.; Xu, M.; Wu, H.; Cao, Y. Enhanced power-conversion efficiency in polymer solar cells using an inverted device structure. Nat. Photonics 2012, 6, 591–595. [Google Scholar] [CrossRef]
  9. Zhang, M.; Wang, Y.; Xu, M.; Ma, W.; Li, R.; Wang, P. Design of high-efficiency organic dyes for titania solar cells based on the chromophoric core of cyclopentadithiophene-benzothiadiazole. Energy Environ. Sci. 2013, 6, 2944–2949. [Google Scholar] [CrossRef]
  10. de Wild, J.; Meijerink, A.; Rath, J.K.; Van Sark, W.G.J.H.M.; Schropp, R.E.I. Upconverter solar cells: Materials and applications. Energy Environ. Sci. 2011, 4, 4835–4848. [Google Scholar] [CrossRef]
  11. Cao, Q.; Peng, D.; Zou, H.; Li, J.; Wang, X.; Yao, X. Up-conversion luminescence of Er3+ and Yb3+ co-doped CaBi2Ta2O9 multifunctional ferroelectrics. J. Adv. Dielectr. 2014, 4, 1450018. [Google Scholar] [CrossRef]
  12. Banerjee, P.; Franco, A., Jr. Role of higher valent substituent on the dielectric and optical properties of Sr0.8Bi2.2Nb2O9 ceramics. Mater. Chem. Phys. 2019, 225, 213–218. [Google Scholar] [CrossRef]
  13. Hussain, A.; Jabeen, N.; Hassan, N.U.; Rahman, A.U.; Khan, M.U.; Naz, A.; Yousef, E.S. Influence of Mn Ions’ Insertion in Pseudo-Tetragonal Phased CaBi4Ti4O15-Based Ceramics for Highly Efficient Energy Storage Devices and High-Temperature Piezoelectric Applications. Int. J. Mol. Sci. 2022, 23, 12723. [Google Scholar] [CrossRef] [PubMed]
  14. Rizwan, M.; Qaiser, M.A.; Hussain, A.; Ghazanfar, U.; Dahshan, A. Influence of MnO2 on the ferroelectric properties, energy storage efficiency and piezoelectric properties of hightemperature Bi3TaTiO9 ceramics. New J. Chem. 2024, 48, 8158–8163. [Google Scholar] [CrossRef]
  15. Jabeen, N.; Hussain, A.; Rahman, A.U.; Faiza, I.; El-Bahy, S.M. Novel, diverse and ultra-high ferroelectric, piezoelectric and dielectric performances of Mn added La2Ti2O7-based ceramics for high-temperature applications. Solid State Ion. 2024, 414, 116637. [Google Scholar] [CrossRef]
  16. Hussain, A.; Jabeen, N.; Tabassum, A.; Khan, M.U.; Basharat, L.; El Azab, I.H. Multifunctional Experimental Studies of Sm-Ion-Influenced Pseudo-Cubic Morphotropic Phase Boundary Regional BiFeO3-xSrTiO3 Ceramics for High-Temperature Applications. Crystals 2024, 14, 540. [Google Scholar] [CrossRef]
  17. Ramirez, M.O.; Kumar, A.; Denev, S.A.; Chu, Y.H.; Seidel, J.; Martin, L.W.; Yang, S.-Y.; Rai, R.C.; Xue, X.S.; Ihlefeld, J.F.; et al. Spin-charge-lattice coupling through resonant multimagnon excitations in multiferroic BiFeO3. Appl. Phys. Lett. 2009, 94, 161905. [Google Scholar] [CrossRef]
  18. Fu, H.; Zhang, L.; Yao, W.; Zhu, Y. Photocatalytic properties of nanosized Bi2WO6 catalysts synthesized via a hydrothermal process. Appl. Catal. B Environ. 2006, 66, 100–110. [Google Scholar] [CrossRef]
  19. Walsh, A.; Yan, Y.; Huda, M.N.; Al-Jassim, M.M.; Wei, S.H. Band edge electronic structure of BiVO4: Elucidating the role of the Bi s and V d orbitals. Chem. Mater. 2009, 21, 547–551. [Google Scholar] [CrossRef]
  20. Gao, F.; Chen, X.Y.; Yin, K.B.; Dong, S.; Ren, Z.F.; Yuan, F.; Yu, T.; Zou, Z.G.; Liu, J.M. Visible-light photocatalytic properties of weak magnetic BiFeO3 nanoparticles. Adv. Mater. 2007, 19, 2889–2892. [Google Scholar] [CrossRef]
  21. Zhang, L.W.; Wang, Y.J.; Cheng, H.Y.; Yao, W.Q.; Zhu, Y.F. Synthesis of Porous Bi2WO6 Thin Films as Efficient Visible-Light-Active Photocatalysts. ChemInform 2009, 40. [Google Scholar] [CrossRef]
  22. Joshi, U.A.; Jang, J.S.; Borse, P.H.; Lee, J.S. Microwave synthesis of single-crystalline perovskite BiFeO3 nanocubes for photoelectrode and photocatalytic applications. Appl. Phys. Lett. 2008, 92, 242106. [Google Scholar] [CrossRef]
  23. Yi, H.T.; Choi, T.; Choi, S.G.; Oh, Y.S.; Cheong, S.W. Mechanism of the switchable photovoltaic effect in ferroelectric BiFeO3. Adv. Mater. 2011, 23, 3403–3407. [Google Scholar] [CrossRef] [PubMed]
  24. Shu, H.B.; Sun, L.Z.; Zhong, X.L.; Wang, J.B.; Zhou, Y.C. Bonding mechanism and relaxation energy of SrBi2B2O9 (B = Ta, Nb): First-principles study. J. Phys. Chem. Solids 2009, 70, 707–712. [Google Scholar] [CrossRef]
  25. Li, Q.; Wang, J.; Li, M.; Guo, S.; Zhang, J.; Hu, Z.; Zhou, Z.; Wang, G.; Dong, X.; Chu, J. Structure evolution mechanism of Na0.5Bi2.5Nb2−xWxO9+δ ferroelectric ceramics: Temperature-dependent optical evidence and first-principles calculations. Phys. Rev. B 2017, 96, 024101. [Google Scholar] [CrossRef]
  26. Kainat, F.; Jabeen, N.; Yaqoob, A.; Hassan, N.U.; Hussain, A.; Khalifa, M.E. Effect of Ca, Ba, Be, Mg, and Sr Substitution on Electronic and Optical Properties of XNb2Bi2O9 for Energy Conversion Application Using Generalized Gradient Approximation–Perdew–Burke–Ernzerhof. Crystals 2024, 14, 710. [Google Scholar] [CrossRef]
  27. Li, G.; He, C.; Xiong, Y.; Zou, Z.; Liu, Y.; Chen, Q.; Zhang, W.; Yan, S.; Xiao, Y.; Tang, M.; et al. Coexistence of ferroelectricity and metallicity in M-doped BaTiO3 (M = Al, V, Cr, Fe, Ni, and Nb): First-principles study. Mater. Today Commun. 2021, 27, 102394. [Google Scholar] [CrossRef]
  28. Wu, L.; Luo, B.; Tian, E. Ferroelectric properties of BaTiO3-BiScO3 weakly coupled relaxor energy-storage ceramics from first-principles calculations. J. Alloys Compd. 2021, 866, 158933. [Google Scholar] [CrossRef]
  29. Stambouli, N.B.; Ouahrani, T.; Badawi, M.; Reshak, A.H.; Azizi, S. Untangling electronic, optical and bonding properties of hexagonal bismuth borate SrBi2B2O7 crystal for ultraviolet opto-electronic applications: An ab initio study. J. Alloys Compd. 2019, 803, 1127–1135. [Google Scholar] [CrossRef]
  30. Cai, M.Q.; Yin, Z.; Zhang, M.S.; Li, Y.Z. Electronic structure of the ferroelectric-layered perovskite bismuth titanate by ab initio calculation within density functional theory. Chem. Phys. Lett. 2004, 399, 89–93. [Google Scholar] [CrossRef]
  31. Han, J.Y.; Bark, C.W. Structural and optical properties of Fe doped bismuth titanate thin film deposited by RF sputtering. Jpn. J. Appl. Phys. 2016, 55, 02BC09. [Google Scholar] [CrossRef]
  32. Hussain, A.; Jabeen, N.; Rahman, A.U.; Qaiser, M.A.; Tariq, Z.; Abd El-Gawad, H.H. Experimental and theoretical study of Gd2O3 added pseudo-tetragonal Bi3TaTiO9-based ceramics for ferroelectric, electric and high-temperature piezoelectric applications. Ceram. Int. 2024, 50, 18177–18184. [Google Scholar] [CrossRef]
  33. Clark, S.J.; Segall, M.D.; Pickard, C.J.; Hasnip, P.J.; Probert, M.I.; Refson, K.; Payne, M.C. First principles methods using CASTEP. Z. Für Krist.-Cryst. Mater. 2005, 220, 567–570. [Google Scholar] [CrossRef]
  34. Ceperley, D.M.; Alder, B.J. Ground state of the electron gas by a stochastic method. Phys. Rev. Lett. 1980, 45, 566. [Google Scholar] [CrossRef]
  35. Perdew, J.P.; Zunger, A. Self-interaction correction to density-functional approximations for many-electron systems. Phys. Rev. B 1981, 23, 5048. [Google Scholar] [CrossRef]
  36. Momin, M.A.; Islam, M.A.; Nesa, M.; Sharmin, M.; Rahman, M.J.; Bhuiyan, A.H. Effect of M (Ni, Cu, Zn) doping on the structural, electronic, optical, and thermal properties of CdI2: DFT based theoretical studies. AIP Adv. 2021, 11, 055203. [Google Scholar] [CrossRef]
  37. Faizan, M.; Bhamu, K.C.; Murtaza, G.; He, X.; Kulhari, N.; AL-Anazy, M.M.; Khan, S.H. Electronic and optical properties of vacancy ordered double perovskites A2BX6 (A = Rb, Cs; B = Sn, Pd, Pt; and X = Cl, Br, I): A first principles study. Sci. Rep. 2021, 11, 6965. [Google Scholar] [CrossRef]
  38. Desjarlais, M.P. Density functional calculations of the reflectivity of shocked xenon with ionization based gap corrections. Contrib. Plasma Phys. 2005, 45, 300–304. [Google Scholar] [CrossRef]
  39. Griffiths, D.J. Introduction to Electrodynamics; Cambridge University Press: Cambridge, UK, 2023. [Google Scholar]
  40. Hill, R. The elastic behaviour of a crystalline aggregate. Proc. Phys. Soc. Sect. A 1952, 65, 349. [Google Scholar] [CrossRef]
  41. Hadi, M.A. New ternary nanolaminated carbide Mo2Ga2C: A first-principles comparison with the MAX phase counterpart Mo2GaC. Comput. Mater. Sci. 2016, 117, 422–427. [Google Scholar] [CrossRef]
  42. Gao, X.P.; Jiang, Y.H.; Liu, Y.Z.; Zhou, R.; Feng, J. Stability and elastic properties of NbxCy compounds. Chin. Phys. B 2014, 23, 097704. [Google Scholar] [CrossRef]
  43. Pugh, S.F. XCII. Relations between the elastic moduli and the plastic properties of polycrystalline pure metals. Lond. Edinb. Dublin Philos. Mag. J. Sci. 1954, 45, 823–843. [Google Scholar] [CrossRef]
Figure 1. Structural illustration of bismuth-layered structure ferroelectrics (BLSFs) with formula X2Bi4Ti5O18 where X = Pb, Ba, Ca, Sr, respectively.
Figure 1. Structural illustration of bismuth-layered structure ferroelectrics (BLSFs) with formula X2Bi4Ti5O18 where X = Pb, Ba, Ca, Sr, respectively.
Crystals 14 00870 g001
Figure 2. Band structures of the compounds (a) Pb2Bi4Ti5O18 (b) Ba2Bi4Ti5O18 (c) Ca2Bi4Ti5O18 (d) Sr2Bi4Ti5O18.
Figure 2. Band structures of the compounds (a) Pb2Bi4Ti5O18 (b) Ba2Bi4Ti5O18 (c) Ca2Bi4Ti5O18 (d) Sr2Bi4Ti5O18.
Crystals 14 00870 g002
Figure 3. Density of states of the compounds (a) Pb2Bi4Ti5O18 (b) Ba2Bi4Ti5O18 (c) Ca2Bi4Ti5O18 (d) Sr2Bi4Ti5O18.
Figure 3. Density of states of the compounds (a) Pb2Bi4Ti5O18 (b) Ba2Bi4Ti5O18 (c) Ca2Bi4Ti5O18 (d) Sr2Bi4Ti5O18.
Crystals 14 00870 g003
Figure 4. Partial density of states of the compounds (a) Pb2Bi4Ti5O18 (b) Ba2Bi4Ti5O18 (c) Ca2Bi4Ti5O18 (d) Sr2Bi4Ti5O18.
Figure 4. Partial density of states of the compounds (a) Pb2Bi4Ti5O18 (b) Ba2Bi4Ti5O18 (c) Ca2Bi4Ti5O18 (d) Sr2Bi4Ti5O18.
Crystals 14 00870 g004
Figure 5. (a) Dielectric function (real), (b) dielectric function (imaginary), (c) refractive index, (d) extinction coefficient for the X2Bi4Ti5O18 (where X = Pb, Ba, Ca, and Sr).
Figure 5. (a) Dielectric function (real), (b) dielectric function (imaginary), (c) refractive index, (d) extinction coefficient for the X2Bi4Ti5O18 (where X = Pb, Ba, Ca, and Sr).
Crystals 14 00870 g005
Figure 6. (a) Reflectivity, (b) absorption, (c) optical conductivity, (d) loss function for the X2Bi4Ti5O18 (where X = Pb, Ba, Ca, Sr).
Figure 6. (a) Reflectivity, (b) absorption, (c) optical conductivity, (d) loss function for the X2Bi4Ti5O18 (where X = Pb, Ba, Ca, Sr).
Crystals 14 00870 g006
Figure 7. (a) Elastic constants, (b) bulk modulus B, shear modulus G, Young’s modulus E, (c) Pugh ratio (B/G), (d) Frantesvich ratio (G/B) for the X2Bi4Ti5O18 (where X = Pb, Ba, Ca, Sr).
Figure 7. (a) Elastic constants, (b) bulk modulus B, shear modulus G, Young’s modulus E, (c) Pugh ratio (B/G), (d) Frantesvich ratio (G/B) for the X2Bi4Ti5O18 (where X = Pb, Ba, Ca, Sr).
Crystals 14 00870 g007
Table 1. Elastic constant Cij, and calculated values of bulk modulus B, shear modulus G, Young’s modulus E, Pugh ratio (B/G), Frantesvich ratio (G/B) for the X2Bi4Ti5O18 (where X = Pb, Ba, Ca, and Sr).
Table 1. Elastic constant Cij, and calculated values of bulk modulus B, shear modulus G, Young’s modulus E, Pugh ratio (B/G), Frantesvich ratio (G/B) for the X2Bi4Ti5O18 (where X = Pb, Ba, Ca, and Sr).
NAMEPb2Bi4Ti5O18Ba2Bi4Ti5O18Ca2Bi4Ti5O18Sr2Bi4Ti5O18
C11308.61309.02278.90285.10
C12275.85267.58239.51250.68
C22325.12321.62259.26257.94
C33294.90320.07265.49272.27
C4435.8380.4556.4158.66
C5597.4381.7476.3181.05
C6651.0164.4858.8661.49
B342.673278.48230.343248.34
G16.4593.6467.972102.72
E33.432.4223.39235.891
B/G10.2598.5879.8477.5
G/B0.090.110.10.144
Disclaimer/Publisher’s Note: The statements, opinions and data contained in all publications are solely those of the individual author(s) and contributor(s) and not of MDPI and/or the editor(s). MDPI and/or the editor(s) disclaim responsibility for any injury to people or property resulting from any ideas, methods, instructions or products referred to in the content.

Share and Cite

MDPI and ACS Style

Hussain, A.; Kainat, F.; Jabeen, N.; Yaqoob, A.; Abbas, T.; Khan, M.U.; Qaiser, M.A.; Mahmoud, M.H.H. First-Principles Calculations of the Structural, Mechanical, Optical, and Electronic Properties of X2Bi4Ti5O18 (X = Pb, Ba, Ca, and Sr) Bismuth-Layered Materials for Photovoltaic Applications. Crystals 2024, 14, 870. https://doi.org/10.3390/cryst14100870

AMA Style

Hussain A, Kainat F, Jabeen N, Yaqoob A, Abbas T, Khan MU, Qaiser MA, Mahmoud MHH. First-Principles Calculations of the Structural, Mechanical, Optical, and Electronic Properties of X2Bi4Ti5O18 (X = Pb, Ba, Ca, and Sr) Bismuth-Layered Materials for Photovoltaic Applications. Crystals. 2024; 14(10):870. https://doi.org/10.3390/cryst14100870

Chicago/Turabian Style

Hussain, Ahmad, Fatima Kainat, Nawishta Jabeen, Ali Yaqoob, Tassawar Abbas, Muhammad Usman Khan, Muhammad Adnan Qaiser, and M. H. H. Mahmoud. 2024. "First-Principles Calculations of the Structural, Mechanical, Optical, and Electronic Properties of X2Bi4Ti5O18 (X = Pb, Ba, Ca, and Sr) Bismuth-Layered Materials for Photovoltaic Applications" Crystals 14, no. 10: 870. https://doi.org/10.3390/cryst14100870

APA Style

Hussain, A., Kainat, F., Jabeen, N., Yaqoob, A., Abbas, T., Khan, M. U., Qaiser, M. A., & Mahmoud, M. H. H. (2024). First-Principles Calculations of the Structural, Mechanical, Optical, and Electronic Properties of X2Bi4Ti5O18 (X = Pb, Ba, Ca, and Sr) Bismuth-Layered Materials for Photovoltaic Applications. Crystals, 14(10), 870. https://doi.org/10.3390/cryst14100870

Note that from the first issue of 2016, this journal uses article numbers instead of page numbers. See further details here.

Article Metrics

Back to TopTop