Microgravity Crystal Formation
Abstract
:1. Introduction
2. Materials and Methods
3. Results
3.1. Updated Results
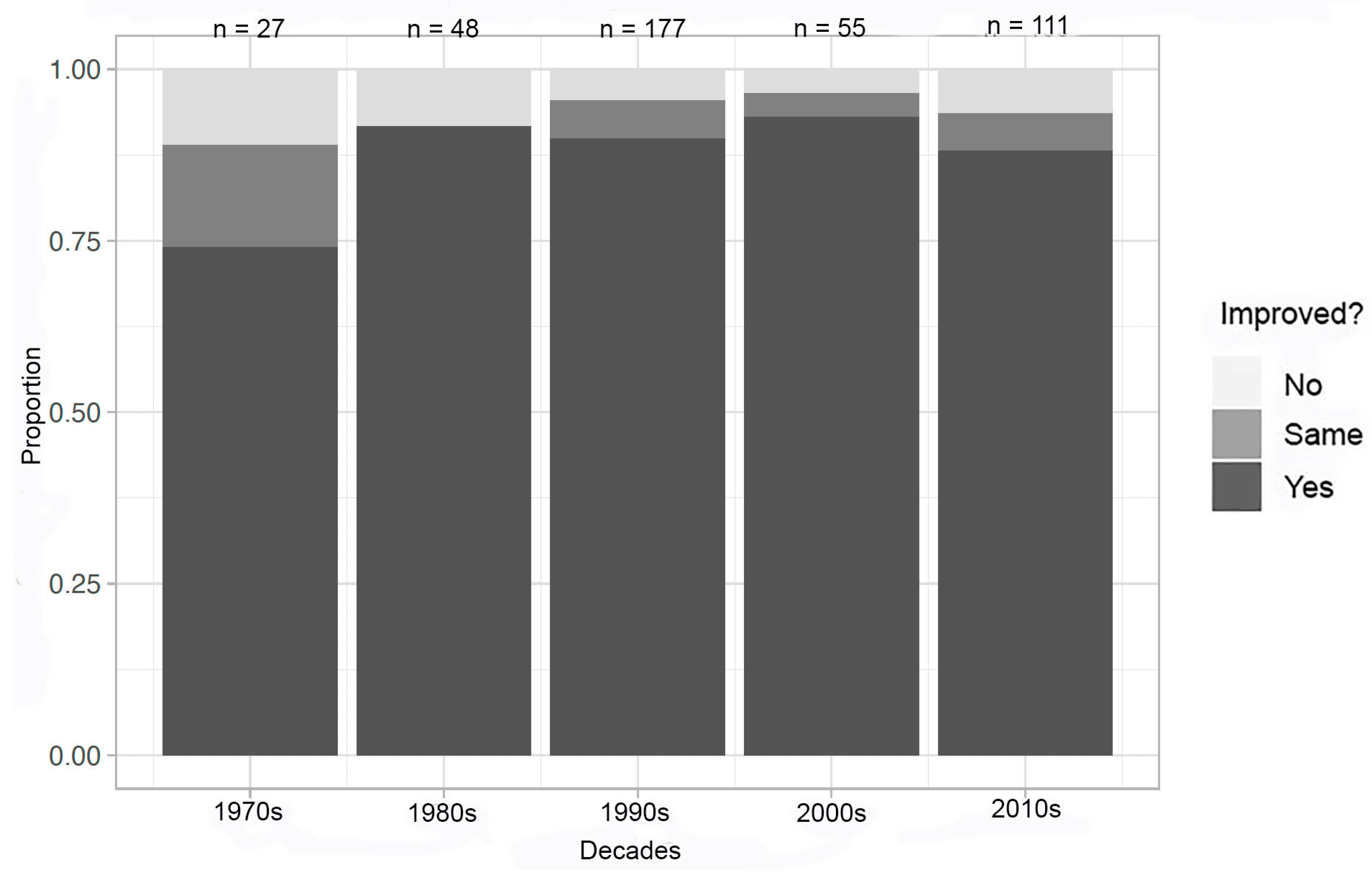
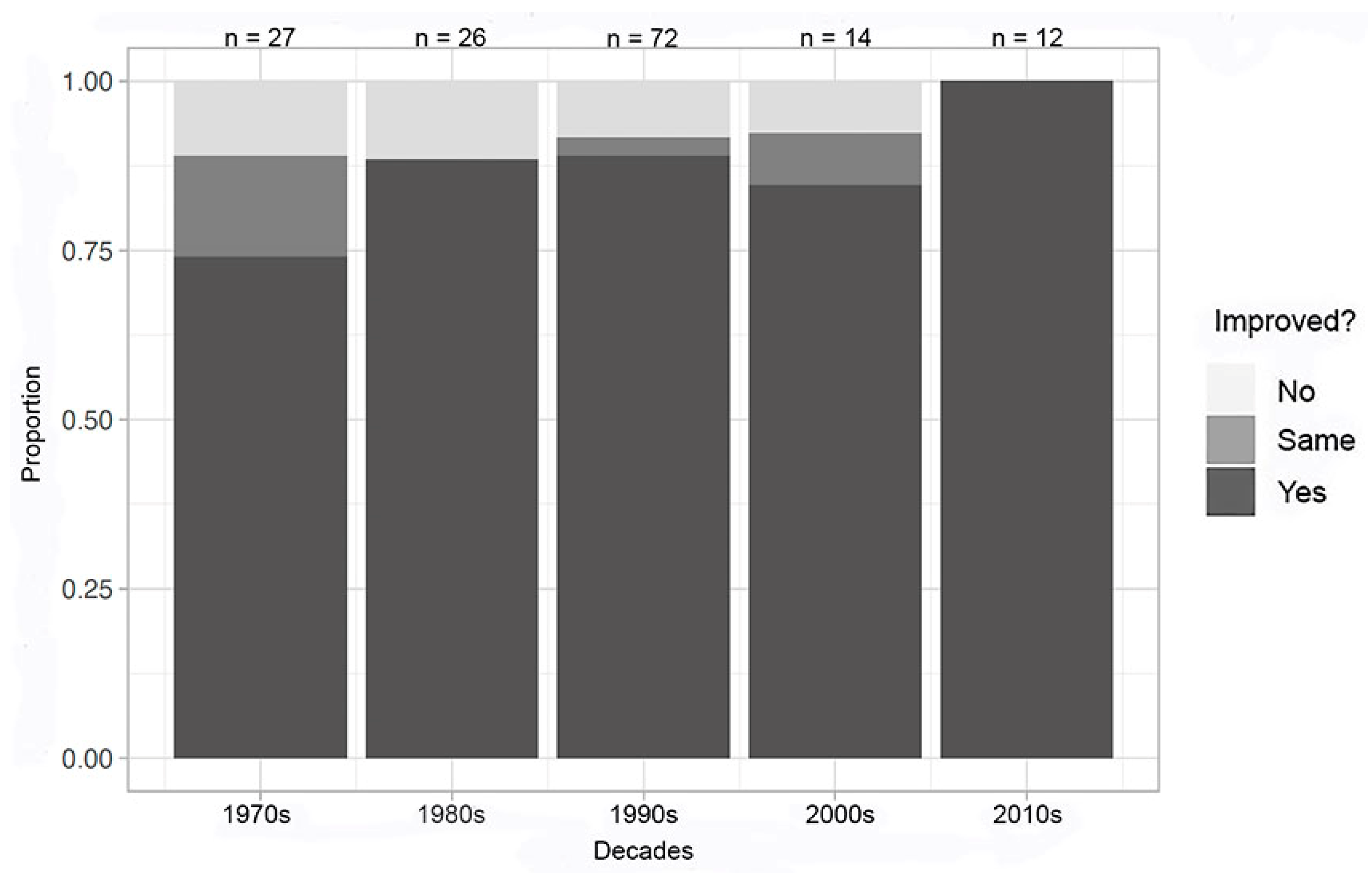
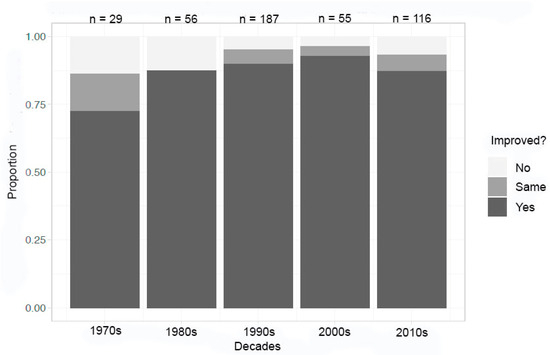
3.2. Analysis by Year
3.3. Analysis by Complexity
4. Discussion
5. Conclusions
Supplementary Materials
Author Contributions
Funding
Data Availability Statement
Acknowledgments
Conflicts of Interest
References
- Ding, C.; Jia, H.; Sun, Q.; Yao, Z.; Yang, H.; Liu, W.; Pang, X.; Li, S.; Liu, C.; Minari, T.; et al. Wafer-scale single crystals: Crystal growth mechanisms, fabrication methods, and functional applications. J. Mater. Chem. C 2021, 9, 7829–7851. [Google Scholar] [CrossRef]
- Li, H.; Li, Y.; Jiao, J.; Lin, C. Recent research progress on crystallization strategies for difficult-to-crystallize organic molecules. Results Chem. 2023, 5, 100859. [Google Scholar] [CrossRef]
- Govada, L.; Chayen, N. Crystallisation and characterisation of muscle proteins: A mini-review. J. Muscle Res. Cell Motil. 2023, 44, 209–215. [Google Scholar] [CrossRef]
- Strelov, V.L.; Kuranova, I.P.; Zakherov, B.G.; Voloshin, A.E. Crystallization in Space: Results and Prospects. Crystallogr. Rep. 2014, 59, 781–806. [Google Scholar] [CrossRef]
- Tsukamoto, K.; Furukawa, E.; Dold, P.; Yamamoto, M.; Tachibana, M.; Kojima, K.; Yoshizaki, I.; Vlieg, E.; Gonzalez-Ramirez, L.A.; Garcia-Ruiz, J.M. Higher growth rate of protein crystals in space than on the Earth. J. Cryst. Growth 2023, 603, 127016. [Google Scholar] [CrossRef]
- Pettit, D.; Fontana, P. Comparison of sodium chloride hopper cubes grown under microgravity and terrestrial conditions. NPJ Microgravity 2019, 5, 25. [Google Scholar] [CrossRef] [PubMed]
- Reichert, P.; Prosise, W.; Fischmann, T.O.; Scapin, G.; Narasimhan, C.; Spinale, A.; Polniak, R.; Yang, X.; Walsh, E.; Patel, D.; et al. Pembrolizumab microgravity crystallization experimentation. NPJ Microgravity 2019, 5, 28. [Google Scholar] [CrossRef]
- Yue, J.T.; Voltmer, F.W. Influence of gravity-free solidification on solute microsegregation. J. Cryst. Growth 1975, 29, 329–341. [Google Scholar] [CrossRef]
- Maes, D.; Decanniere, K.; Segers, I.; Vanhee, C.; Sleutel, M.; Willaert, R.; van der Woerd, C.; Martial, J.; Declercq, J.-P.; Evrard, C.; et al. Protein crystallization under microgravity conditions: What did we learn on TIM crystallization from the Soyuz missions? Microgravity Sci. Technol. 2007, XIX, 90–94. [Google Scholar]
- Vergera, A.; Lorber, B.; Sagari, A.; Geigé, R. Physical aspect of protein crystal growth investigated with the Advanced Protein Crystallization Facility in reduced-gravity environments. Acta Cryst. D 2003, 59, 2–15. [Google Scholar] [CrossRef]
- Judge, R.A.; Snell, E.H.; van der Woerd, M.J. Extracting trends from two decades of microgravity macromolecular crystallization history. Acta Cryst. D 2005, 61, 763–771. [Google Scholar] [CrossRef] [PubMed]
- Boyko, K.M.; Timofeev, V.I.; Samygina, V.R.; Kuranova, I.P.; Popov, V.O.; Koval’chuk, M.V. Protein crystallization under microgravity conditions. Analysis of the results of Russian experiments performed on the International Space Station in 2005–2015. Crystallogr. Rep. 2016, 61, 718–729. [Google Scholar]
- Snell, E.H.; Helliwell, J.R. Microgravity as an environment for macromolecular crystallization—An outlook in the era of space stations and commercial space flight. Crystallogr. Rev. 2021, 27, 3–46. [Google Scholar] [CrossRef]
- Regel, L. Materials Science Research in Space: Theory—Experiments—Technology; Halstead Press: New York, NY, USA, 1987. [Google Scholar]
- Wilkinson, A. Investigation of Microgravity Grown Organic Crystals by Diffusion Techniques of the Course of Thirty-One Years. Undergraduate Thesis, Butler University, Indianapolis, IN, USA, 2023. Available online: https://digitalcommons.butler.edu/ugtheses/678/ (accessed on 30 May 2023).
- Wilkinson, A.; Brewer, F.; Wright, H.; Whiteside, B.; Williams, A.; Harper, L.; Wilson, A.M. Semiconductor Materials Fabricated in Microgravity; A Meta-Analysis. Discov. Mater. 2023; manuscript under review. [Google Scholar]
- Wright, H.; Williams, A.; Wilkinson, A.; Harper, L.; Savin, K.; Wilson, A.M. An analysis of publicly available microgravity crystallization data: Emergent themes across crystal types. Cryst. Growth Des. 2022, 22, 6849–6851. [Google Scholar] [CrossRef]
- Drago, V.N.; Devos, J.M.; Blakeley, M.P.; Forsyth, V.T.; Kovalevsky, A.Y.; Schall, C.A.; Mueser, T.C. Microgravity crystallization of perdeuterated tryptophan synthase for neutron diffraction. NPJ Microgravity 2022, 8, 13. [Google Scholar] [CrossRef] [PubMed]
- Duffar, T.; Boiton, P.; Dusserre, P.; Abadie, J. Crucible de-wetting during Bridgman growth in microgravity. II. Smooth crucibles. J. Cryst. Growth 1997, 179, 397–409. [Google Scholar] [CrossRef]
- Morimoto, Y.; Kamo, M.; Furubayashi, N.; Higashino, Y.; Inaka, K. Crystal Structure Analysis of the 20S Proteasome Grown in Space: Comparison between Space and Ground Crystals. Int. J. Microgravity Sci. Appl. 2020, 37, 370404. [Google Scholar]
- Vojtěch, D.; Barta, C.; Barta, C., Jr.; Görler, G.P.; Otto, G.; Wittmann, K. Non-equilibrium primary crystallisation in silver–germanium alloy under microgravity conditions. Mater. Sci. Technol. 1999, 15, 1266–1272. [Google Scholar] [CrossRef]
- Sabirov, M.; Popovich, A.; Boyko, K.; Nikolaeva, A.; Kyrchanova, O.; Maksimenko, O.; Popov, V.; Georgiev, P.; Bonchuk, A. Mechanisms of CP190 Interaction with Architectural Proteins in Drosophila Melanogaster. Int. J. Mol. Sci. 2021, 22, 12400. [Google Scholar] [CrossRef]
- Tian, H.; Tan, P.; Meng, X.; Hu, C.; Shi, G.; Zhou, Z.; Wang, X. Effects of Growth Temperature on Crystal Morphology and Size Uniformity in KTa1–xNbxO3 and K1–yNayNbO3 Single Crystal. Cryst. Growth Des. 2016, 16, 325–330. [Google Scholar] [CrossRef]
- Datta, S.; Grant, D. Crystal structures of drugs: Advances in determination, prediction and engineering. Nat. Rev. Drug Discov. 2004, 3, 42–57. [Google Scholar] [CrossRef] [PubMed]
- Li, C.; Quan, Z.; Yang, J.; Yang, P.; Lin, J. Highly Uniform and Monodisperse β-NaYF4:Ln3+ (Ln = Eu, Tb, Yb/Er, and Yb/Tm) Hexagonal Microprism Crystals: Hydrothermal Synthesis and Luminescent Properties. Inorg. Chem. 2007, 46, 6329–6337. [Google Scholar] [CrossRef] [PubMed]
- McPherson, A. Protein Crystallization. In Protein Crystallography. Methods in Molecular Biology; Wlodawer, A., Dauter, Z., Jaskolski, M., Eds.; Humana Press: New York, NY, USA, 2017; Volume 1607. [Google Scholar]
- Rathore, I.; Mishra, V.; Bhaumik, P. Advancements in macromolecular crystallography: From past to present. Emerg. Top Life Sci. 2021, 5, 127–149. [Google Scholar] [PubMed]
- Geiger, T.; Wehner, A.; Schaab, C.; Cox, J.; Mann, M. Comparative proteomic analysis of eleven common cell lines reveals ubiquitous but varying expression of most proteins. Mol. Cell. Proteom. 2012, 11, M111.014050. [Google Scholar] [CrossRef]
- McPherson, A.; Gavira, J.A. Introduction to protein crystallization. Acta Crystallogr. 2014, F70, 2–20. [Google Scholar] [CrossRef]
- Saha, A.; Chellappan, K.V.; Narayan, K.S.; Ghatak, J.; Datta, R.; Viswanatha, R. Near-Unity Quantum Yield in Semiconducting Nanostructures: Structural Understanding Leading to Energy Efficient Applications. J. Phys. Chem. Lett. 2013, 4, 3544–3549. [Google Scholar] [CrossRef]
- Esposito, E.; Sica, F.; Sorrentino, G.; Berisio, R.; Carotenuto, L.; Giordano, A.; Raia, C.A.; Rossi, M.; Lamzin, V.S.; Wilson, K.S.; et al. Protein Crystal Growth in the Advanced Protein Crystallization Facility on the LMS Mission: A Comparison of Sulfolobus solfataricus Alcohol Dehydrogenase Crystals Grown on the Ground and in Microgravity. Acta Crystallogr. 1998, D54, 386–390. [Google Scholar] [CrossRef]
- Delucas, L.J.; (The Aerospace Corporation, El Segundo, CA, USA). Personal Communication, 2022.
- Zhu, D.-W.; Zhou, M.; Mao, Y.; Labrie, F.; Lin, S.-X. Crystallization of human estrogenic 17β-hydroxysteroid dehydrogenase under microgravity. J. Cryst. Growth 1995, 156, 108–111. [Google Scholar] [CrossRef]
- Helliwell, J.R.; Snell, E.; Weisgerber, S. An investigation of the perfection of lysozyme protein crystals grown in microgravity and on earth. In Materials and Fluids under Low Gravity. Lecture Notes in Physics; Ratke, L., Walter, H., Feuerbacher, B., Eds.; Springer: Berlin/Heidelberg, Germany, 1996; Volume 464. [Google Scholar]
- Fiederle, M.; Duffar, T.; Babentsov, V.; Benz, K.W.; Dusserre, P.; Corregidor, V.; Dieguez, E.; Delaye, P.; Roosen, G.; Chevrier, V.; et al. Dewetted growth of CdTe in microgravity (STS-95). Cryst. Res. Technol. 2004, 39, 481–490. [Google Scholar] [CrossRef]
- Smirnova, E.A.; Kislitsyn, Y.A.; Sosfenov, N.I.; Lyashenko, A.V.; Popov, A.N.; Baīdus’, A.N.; Timofeev, V.I.; Kuranova, I.P. Protein crystal growth on the Russian segment of the International Space Station. Crystallogr. Rep. 2009, 54, 901–911. [Google Scholar] [CrossRef]
- Akparov, V.; Sokolenko, N.; Timofeev, V.I.; Kuranova, I. Structure of the complex of carboxypeptidase B and N-sulfamoyl-L-arginine. Acta Crystallogr. 2015, F71, 1335–1340. [Google Scholar] [CrossRef] [PubMed]
- Smith, G.D.; Ciszak, E.; Pangborn, W. A novel complex of a phenolic derivative with insulin: Structural features related to the T → R transition. Protein Sci. 1996, 5, 1502–1511. [Google Scholar] [CrossRef] [PubMed]
- Timofeev, V.I.; Abramchik, Y.A.; Zhukhlistova, N.E.; Muravieva, T.I.; Esipov, R.S.; Kuranova, I.P. Three-dimensional structure of phosphoribosyl pyrophosphate synthetase from E. coli at 2.71 Å resolution. Crystallogr. Rep. 2016, 61, 44–54. [Google Scholar] [CrossRef]
- Timofeev, V.I.; Zhukhlistova, N.E.; Abramchik, Y.A.; Fateev, I.I.; Kostromina, M.A.; Muravieva, T.I.; Esipov, R.S.; Kuranova, I.P. Crystal structure of Escherichia coli purine nucleoside phosphorylase in complex with 7-deazahypoxanthin. Acta Crystallogr. 2018, F74, 355–362. [Google Scholar]
- Timofeev, V.I.; Sinitsyna, E.V.; Kostromina, M.A.; Muravieva, T.I.; Makarov, D.A.; Mikheeva, O.O.; Kuranova, I.P.; Esipov, R.S. Crystal structure of recombinant phosphoribosylpyrophosphate synthetase-2 from Thermus thermophilus HB27 complexed with ADP and sulfate ions. Acta Cryst. 2017, F73, 369–375. [Google Scholar]
- Timofeev, V.I.; Abramchik, Y.A.; Fateev, I.V.; Zhukhlistova, N.E.; Murav’eva, T.I.; Kuranova, I.P.; Esipov, R.S. Three-dimensional structure of thymidine phosphorylase from E. coli in complex with 3′-azido-2′-fluoro-2′,3′-dideoxyuridine. Crystallogr. Rep. 2013, 58, 842–853. [Google Scholar] [CrossRef]
- Debaerdemaeker, T.; Evrard, C.; Declercq, J.P.; Claus, H.; Akca, E.; König, H. The first crystallization of the outer surface (S-layer)glycoprotein of the mesophilic bacterium Bacillus sphaericus and the hyperthermophilic archaeon Methanothermus fervidus. In Proceedings of the 2nd European Workshop on Exo/Astro-Biology, Graz, Austria, 16–19 September 2002; pp. 441–442, ESA SP-518. [Google Scholar]
- DeLucas, L.J.; Moore, K.M.; Bray, T.L.; Rosenblum, W.M.; Einspahr, H.M.; Clancy, L.L.; Rao, G.S.J.; Harris, B.G.; Munson, S.H.; Finzel, B.C. Protein crystal growth results from the United States Microgravity Laboratory-1 mission. J. Phys. D Appl. Phys. 1993, 26, B100. [Google Scholar] [CrossRef]
- Kjeld Flemming, N.; Lind, M.D. Results of the TTF-TCNQ and the calcium carbonate crystallization on the Long Duration Exposure Facility. In LDEF: 69 Months in Space. First Post-Retrieval Symposium, Part 3; SEE N92-27083 17-99; NASA Langley Research Center: Hampton, VA, USA, 1992; pp. 1675–1685. [Google Scholar]












| Macromolecules/ Organics | Inorganics | Total | |
|---|---|---|---|
| Larger | 81% (n = 250) | 64% (n = 90) | 77% (n = 340) |
| Structurally better | 73% (n = 170) | 80% (n = 125) | 76% (n = 295) |
| More uniform | 88% (n = 237) | 85% (n = 125) | 87% (n = 362) |
| Improved resolution limit | 81% (n = 177) | n/a | 81% (n = 177) |
| Improved mosaicity | 77% (n = 136) | n/a | 77% (n = 136) |
| Macromolecules/ Organics | Inorganics | Total | |
|---|---|---|---|
| No improvement or the same in all metrics | 30 | 25 | 55 (11%) |
| Improved in one metric | 288 | 164 | 452 (89%) |
| Improved in two metrics | 229 | 99 | 328 (65%) |
| Improved in three or more metrics | 155 | 38 | 193 (38%) |
| Macromolecules/ Organics | Inorganics | Total | |
|---|---|---|---|
| Larger | 82% (n = 239) | 64% (n = 89) | 77% (n = 328) |
| Structurally better | 75% (n = 162) | 83% (n = 121) | 78% (n = 283) |
| More uniform | 89% (n = 226) | 88% (n = 115) | 89% (n = 341) |
| Improved resolution limit | 82% (n = 163) | n/a | 82% (n = 163) |
| Improved mosaicity | 77% (n = 131) | n/a | 77% (n = 131) |
| Macromolecules/ Organics | Inorganics | Total | |
|---|---|---|---|
| No improvement or the same in all metrics | 27 | 21 | 48 (10%) |
| Improved in one metric | 276 | 153 | 429 (90%) |
| Improved in two metrics | 221 | 91 | 312 (65%) |
| Improved in three or more metrics | 152 | 36 | 188 (39%) |
Disclaimer/Publisher’s Note: The statements, opinions and data contained in all publications are solely those of the individual author(s) and contributor(s) and not of MDPI and/or the editor(s). MDPI and/or the editor(s) disclaim responsibility for any injury to people or property resulting from any ideas, methods, instructions or products referred to in the content. |
© 2023 by the authors. Licensee MDPI, Basel, Switzerland. This article is an open access article distributed under the terms and conditions of the Creative Commons Attribution (CC BY) license (https://creativecommons.org/licenses/by/4.0/).
Share and Cite
Jackson, K.; Brewer, F.; Wilkinson, A.; Williams, A.; Whiteside, B.; Wright, H.; Harper, L.; Wilson, A.M. Microgravity Crystal Formation. Crystals 2024, 14, 12. https://doi.org/10.3390/cryst14010012
Jackson K, Brewer F, Wilkinson A, Williams A, Whiteside B, Wright H, Harper L, Wilson AM. Microgravity Crystal Formation. Crystals. 2024; 14(1):12. https://doi.org/10.3390/cryst14010012
Chicago/Turabian StyleJackson, Keegan, Frances Brewer, Ashley Wilkinson, Amari Williams, Ben Whiteside, Hannah Wright, Lynn Harper, and Anne M. Wilson. 2024. "Microgravity Crystal Formation" Crystals 14, no. 1: 12. https://doi.org/10.3390/cryst14010012
APA StyleJackson, K., Brewer, F., Wilkinson, A., Williams, A., Whiteside, B., Wright, H., Harper, L., & Wilson, A. M. (2024). Microgravity Crystal Formation. Crystals, 14(1), 12. https://doi.org/10.3390/cryst14010012

