Abstract
Metal materials are vulnerable to corrosion in the process of production and service, which often leads to serious disasters, including the decline of the performance of metal components and the shortened service life, and even causes catastrophic accidents and ecological damage. Adding a certain amount of corrosion inhibitors (CIs) to the corrosive medium is a simple, efficient, and economical anti-corrosion method to slow down and restrain the corrosion of metal materials. Organic corrosion inhibitors (OCIs) are considered to have good application prospects and are widely used for surface anti-corrosion of metal materials, as they generally have advantages such as good metal adsorption, low oxidation resistance, good thermal and chemical stability, and green environmental protection. This paper systematically summarized some major OCIs, including alkyl chains, imidazoles, and pyridines, and their structural characteristics, as well as the action mechanism of OCIs. Moreover, this paper discusses some natural compounds used as environmentally friendly CIs and provides a prospect for the development trend of OCIs.
1. Introduction
Corrosion is a worldwide problem in the production and service of metallic materials. This metal corrosion caused by the action of surrounding media will significantly reduce the mechanical properties of metal materials, damage the geometric shape of metal components, shorten the service life of equipment, and even cause catastrophic accidents. Further, metal corrosion has also consumed tremendous economic and environmental costs. According to statistics, the economic losses caused by corrosion in China every year account for about 5% of the gross domestic product (GDP) [1]. The annual total cost of metallic corrosion in the United States is estimated to be no less than 25 billion US dollars, accounting for more than 3% of the GDP [2]. Both oil and nuclear spills caused by corrosion have caused serious ecological damage. Thus, slowing down and restraining the corrosion of metal materials will inevitably generate enormous socio-economic benefits. Motivated by this original intention, more and more efforts have been made to address this challenge by developing advanced anti-corrosion materials, protective polymer coatings, CIs, and electrochemical protection technologies [2,3]. Among these methods, CI technology has become one of the most convenient, economical, and effective anti-corrosion methods [4].
CI is a chemical substance or a mixture of several chemicals that can prevent corrosion or slow down the corrosion rate of metal materials in some medium such as neutral media (boiler water, circulating cooling water), acidic media (hydrochloric acid, acid leaching solution), and gas media (water vapor, atomic oxygen). According to the chemical composition of CI, it can be divided into inorganic corrosion inhibitors (ICIs), OCIs, and polymer CIs (compound CI). The commonly used ICIs are chromates, nitrites, molybdates, phosphates, etc., which have the advantages of being cheap, easy to obtain, and easy to operate. However, these traditional ICIs are usually highly toxic, prone to scaling in water, and harmful to the environment; they have gradually been replaced by OCIs worldwide [5,6]. At present, a large number of related studies on OCIs used in different environments have been reported in the literature. Moreover, natural compounds, considered green OCIs, have also been extensively used to protect metallic materials [7,8]. In brief, different types of OCIs have been developed for different media and show different corrosion inhibition efficiency. This paper will provide an overview of the latest developments in different types of OCIs and expand their corrosion protection mechanisms. The aim of this work is to discuss the molecular structural characteristics of OCIs as guidance for the preparation and practical applications of new environmentally friendly CIs with high anti-corrosion efficiency.
2. Classification of OCIs
There are many kinds of OCIs, mainly organic compounds with N, O, P, S, and other heteroatoms as central polar groups or aromatic rings [4,9,10,11,12,13]. The currently used polar groups or aromatic rings mainly include alkyl chains [14], imidazoles [15], pyridine rings [16], quinoline CIs, and composite CIs. The following mainly introduces these types of CIs.
2.1. Alkyl Chain CIs
Table 1 represents the summary of some main published reports on alkyl chain CIs. At present, the alkyl chain CIs are mostly zwitterionic compounds, ionic liquids (IL), surfactants, or modified from surfactants, such as Gemini surfactants [17,18]. Gemini surfactants contain at least two hydrophilic groups (ionic or polar groups) and two hydrophobic chains, so they possess good water solubility. Based on this, they are more likely to form a protective film on the metal surface and inhibit the metal corrosion process.
Table 1.
Chemical structure, name, molecular structures, nature of metal and corrosive medium, type of CIs, and adsorption isotherm of alkyl CIs.
Table 1.
Chemical structure, name, molecular structures, nature of metal and corrosive medium, type of CIs, and adsorption isotherm of alkyl CIs.
| No. | Name | Molecular Structure | Metal/Corrosive Medium | Inhibitor Type/Adsorption Isotherm | Ref. |
|---|---|---|---|---|---|
| 1 | Cetrimonium 4 hydroxy cinnamate (CTA-4OHcinn) | ![]() | Aluminum/0.01 M NaCl solution with 6.5% ethanol | Mixed type/- | [14] |
| 2 | Cetrimonium 4 ethoxy cinnamate (CTA-4EtOcin) | ![]() | |||
| 3 | Bis[2-hydroxy-3-(dodecyldimethylammonio) propyl]-isopropylamine dichloride | ![]() | 2024 Al-Cu-Mg alloy/1 M HCl | Mixed type/Langmuir | [18] |
| 4 | Bis[2-amido-3-(dodecyldimethylammonium) propyl]-propylamine dichloride | ![]() | 2024 Al-Cu-Mg alloy/1 M HCl | Mixed type/Langmuir | [19] |
| 5 | Hexanediyl-1,6-bis-(diethyl alkyl ammonium bromide) (CmC6Cm(Et)·2Br (m = 10, 12, 14, 16)) | ![]() | Aluminum/1 M HCl | -/Langmuir | [20] |
| 6 | 1,3-butan-bis-(dimethyl dodecyl ammonium bromide) | ![]() | Mild Steel/1 M HCl | -/- | [21] |
| 7 | Decyltriphenylphosphonium bromide | ![]() | Mild Steel/0.5 M H2SO4 | Mixed type/Langmuir | [22] |
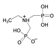
| 8 | Methylamine-N,N-bis(methylenephosphonate) | ![]() | C1010 carbon steel/3.5% NaCl solution (pH = 3) | Mixed type/Langmuir | [23] |
| 9 | Ehtylamine-N,N-bis(methylenephosphonate) | ![]() | |||
| 10 | Butylamine-N,N-bis(methylenephosphonate) | ![]() | |||
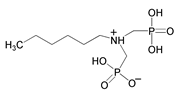
| 11 | Hexylamine-N,N-bis(methylenephosphonate) | ![]() | |||
| 12 | Octylamine-N,N-bis(methylenephosphonate) | ![]() | |||
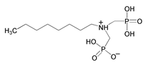
| 13 | Dodecylamine-N,N-bis(methylenephosphonate) | ![]() | |||
| 14 | 1,4-bis(dodecy dipropyl ammonium bromide)-butane | ![]() | Copper/3.5% NaCl | mixed type/Langmuir | [24] |
Ghorbani and coworkers prepared CTA-4OHcinn (cetrimonium 4 hydroxy cinnamate) and CTA-4EtOcin (cetrimonium 4 ethoxy cinnamate) by modifying CTAB (hexadecyl trimethyl lammonium bromide) [14]. The results indicated that their IE depended on the strong interaction between negatively charged carboxylate functional groups outside the micelles and the aluminum surface. In order to identify potential applications, they performed the toxicological assessment of CIs by live zebrafish (Danio rerio). Compared with CTAB, the toxic impact of CTA-4OHcinn and CTA-4EtOcin was reduced, which could be extended to a wider range of applications. Gemini surfactant bis [2-amido-3-(dodecyldimethylammonium) propyl]-propylamine dichloride also has a good corrosion inhibition effect (IEmax = 87.943%) on 2024 Al-Cu-Mg alloy, with the concentration value of 1.0 × 10−3 mol/L [19]. The hydrophilic quaternary ammonium cations in the Gemini surfactant were adsorbed to the alloy surface, and then the hydrophobic long alkyl chains were arranged neatly to form a protective film to inhibit the corrosion of the alloy.
From the above, it can be seen that in addition to the adsorption behavior of anionic and cationic functional groups on the metal surface, the effect of alkyl chain length on the corrosion process cannot be ignored. Zhang designed four quaternary ammonium Gemini surfactants with different alkyl chain lengths (CmC6Cm(Et)·2Br (m = 10, 12, 14, 16)) [20]. The result shows that CmC6Cm(Et)·2Br was adsorbed at the aluminum/solution interfaces and formed a strong protective film in the HCl solution. The corrosion IE of these surfactants increases with chain length (m) at the same concentration. This is a cooperative absorption caused by bromide anions and positive quaternary ammonium ions. Bromine ions were first adsorbed on the aluminum surface to form AlBrads− species with negative charges, and then CmC6Cm(Et)2+ ions were adsorbed on the AlBrads− species by electrostatic interaction to form [CmC6Cm(Et)2+ − 2AlBrads−] ion-pairs (Figure 1). Saviour A. Umoren and Shaikh A. Ali’s group synthesized poly(N1,N1-diallyl-N6,N6,N6-tripropylhexane-1,6-diaminium chloride) (poly-NDTHDC), which was multi-alkyl Gemini surfactant, and tested its corrosion inhibition properties in 15 wt% HCl solution [25]. Poly-NDTHDC had good thermal stability below 214 °C and exhibited a good corrosion inhibition effect. The inhibition mechanism of poly-NDTHDC involved two kinds of interactions. One is the electrostatic attraction between the protonated NDTHDC or poly-NDTHDC molecules and the pre-adsorbed counter chloride ions (Cl−) on the carbon steel surface, resulting in the physical adsorption of the inhibitor molecules on the metal surface because the surface of carbon steel in HCl solution carries a net positive charge and chloride ions preferentially adsorbed on the surface. The other is donor–acceptor interactions between the N heteroatoms or the unsaturated double bond of chemical groups and the vacant orbital of Fe, which could form coordination and back-donating bonds and realize the complexation of Fe with the inhibitor (chemisorption).
Figure 1.
Modes of adsorption of Gemini surfactants CmC6Cm(Et)·2Br at aluminum/solution interface: (a) the binding between single Gemini surfactants and aluminum surface, (b) the formation of surface micelles [20]. (reproduced with permission from [20], Copyright 2011, Elsevier).
However, the long alkyl chain does not necessarily play a positive role in the improvement in corrosion inhibition performance. Jia’s group synthesized five fatty-acid-based corrosion inhibitors (FAILs) with different anionic alkyl chain lengths [26]. The chemical structures of FAILs are shown in Figure 2. The IE of [N8881][C8:0] molecules (methytrioctylammonium octanoate) was the largest (95.32%) in 1 M HCl for Q235 mild steel. It was attributed to the formation of the coordination bonds between carboxyl oxygen atoms and iron atoms (chemisorption) and the electrostatic interaction between FAILs cations ([N8881]+) and pre-adsorbed Cl− (physisorption). [Cn:0]− (FAILs anionic) and Cl− was adsorbed on the positively charged metal surface by electrostatic interaction. Subsequently, [N8881]+ was adsorbed by electrostatic interaction, and hydrophobic chains were vertically distributed on the metal surface. Finally, Fe with empty of d orbital interacted with the electron pairs of [Cn:0]− to form the strong coordination bonds, this process was chemisorption. It also indicated that alkyl chain lengths could decrease the IE by altering the compactness of the adsorbed film, because long alkyl chain lengths caused evident steric hindrance (Figure 3).
Figure 2.
The molecular structures of the fatty-acid-based ionic liquids (FAILs) [26].
Figure 3.
Schematic diagram of corrosion inhibition mechanism of FAILs inhibitor [26].
To sum up, the geometric structure and surface characteristics of organic anionic groups exert an important part in corrosion inhibition performance. These molecular structures tend to bring out a delicate balance between electrostatic attraction, steric hindrance, and hydrophobic interaction, which was beneficial to form a dense adsorption film on the metal surface to improve the corrosion inhibition performance [27].
2.2. Imidazole and Its Derivatives
The researchers have focused on heterocyclic CIs replacing the toxic ICIs because they possess the advantages of low toxicity, low cost, thermal stability, and highly water-soluble [28]. Among these kinds of CIs, imidazole CIs are a kind of organic solvent with excellent corrosion inhibition effect [29]. The imidazole CIs contain imidazole rings with the molecular formula C3H4N2, which are mainly responsible for their high corrosion IE. The summary of some imidazole CIs is shown in Table 2. Imidazole rings possess potent adsorption on the metal surface owing to the covalent interaction generated by nitrogen-positive ions [28].
Table 2.
Chemical structure, name, molecular structures, nature of metal and corrosive medium, type of CIs, and adsorption isotherm of imidazole and its derivatives as CIs.
Table 2.
Chemical structure, name, molecular structures, nature of metal and corrosive medium, type of CIs, and adsorption isotherm of imidazole and its derivatives as CIs.
| No. | Name | Molecular Structure | Metal/Corrosive Medium | Inhibitor Type/Adsorption Isotherm | Ref. |
|---|---|---|---|---|---|
| 1 | Dissymmetric bis-quaternary ammonium salt (DBAS) | ![]() | Q235 steel/2% NaCl solution saturated with CO2 | Mixed type/- | [30] |
| 2 | sodium 2-(1Himidazol-1-yl)-4-methylpentanoate (IZS-L) | ![]() | Mild steel/Artificial seawater | Mixed type/Langmuir | [31] |
| 3 | sodium 2-(1H-imidazol-1-yl)-3-phenyl propanoate (IZS-P) | ![]() | |||
| 4 | sodium 2-(1H-imidazol-1-yl)-4-(methylthio)butanoate (IZS-M) | ![]() | |||
| 5 | Lauric acid/Myristic acid/Palmitic acid/Stearic acid based cationic Gemini imidazoline surfactants | ![]() | X70 carbon steel/3.5% M NaCl solution | Mixed type/- | [32] |
| 6 | 1-hexyl-5-methyl-1H-benzo[d][1,2,3]triazlol-1-ium bromide (HBT) | ![]() | Copper electrodes/seawater | Mixed type/Langmuir | [33] |
| 7 | 1-dodecyl-5-methyl-1H-benzo[d][1,2,3]triazlol-1-ium bromide (DBT) | ![]() | |||
| 8 | 1-octadecyl-5-methyl-1H-benzo[d][1,2,3]triazlol-1-ium bromide (OBT) | ![]() | |||
| 9 | 1-(2-aminobutyl)-2-ethyl]-1,3-diazacyclopenta-2,4-diene ionic liquid | ![]() | API 5L-X52 steel/3% of NaCl saturated with CO2 | Mixed type/Langmuir | [34] |
| 10 | (E)-2-styryl-1H-benzo[d]imidazole (STBim) | ![]() | carbon steel/15% HCl | Mixed type/Langmuir | [35] |
Zhang et al. explored the corrosion inhibition behavior of a new dissymmetric bisquaternary ammonium salt (DBAS) containing an imidazoline ring and ester group on Q235 steel in a 2% NaCl solution saturated with CO2 [30]. The results showed that DBAS formed a potent protective film for Q235 steel over 240 h, with an IE of 91.35%. The corrosion IE increased with the increase in concentration. DBAS possessed low ELUMO to interact with the empty d orbitals of Fe to form the protective film on the surface of Q235 steel by quantum chemical calculations. The active centers were mainly the imidazoline ring, ester group, and carbon chains between the two quaternary ammonium (QA) ions.
Different side chain types and chain lengths of imidazole ring may produce different corrosion inhibition effects. G. Laguzzi and L. Luvidi’s group used benzotriazole alkyl derivatives as CIs to improve the anti-corrosive performance of Cu6Sn bronze (B6) [36]. They synthesized 5-hexyl-1,2,3-benzotriazole (C6-BTA), [5-(1-undecyl) dodecyl]-1,2,3-benzotriazole (bisC11-BTA) and 5-dodecyl-1,2,3-benzotriazole (C12-BTA) to investigate the influence exerted by the aliphatic chain on the inhibiting properties of the base molecule (BTA) toward bronze corrosion, and found that these CIs had excellent corrosion resistance. The thickness loss of the organic film depends on the type of CIs, but the anti-corrosion effects of the above three CIs were similar. This work proved that the difference in the alkyl chain of this type of CI did not affect the anti-corrosion property. The hydrophobic properties of the above CI molecules are important factors for corrosion protection. However, the conclusion of Zhuang’s work is different from the above work. Zhuang et al. synthesized a series of Gemini imidazoline surfactants (GISs) with saturated fatty acids [32]. The biggest difference between them was that the alkyl chain had different lengths. The corrosion inhibition performance of GISs on X70 carbon steel was investigated in NaCl solution. LG (GISs was prepared by lauric acid) exhibited the best inhibition performance as shown in Figure 4. The shorter carbon chain length, the higher the IE. Because the chain length increased, the water solubility of CIs decreased. It is more difficult for the CIs with longer alkyl chain to be adsorbed onto the metallic surface. The quantum chemical calculations indicated that GISs with shorter alkyl chains were more reactive and stronger interaction with X70 carbon steel, in which the imidazoline rings played a crucial role. LG inhibited X70 carbon steel corrosion via two aspects. On the one hand, LG was not conductive, preventing electrons from passing through the interface and reducing the current density. On the other, LG formed a protective film on the X70 carbon steel surface using the interaction between the positively charged imidazole rings in the molecular structure and the negatively charged iron atom on the metal surface, thereby reducing the corrosion rate of X70 carbon steel. Haque designed three amimo aicd-derived CIs, including sodium 2-(1Himidazol-1-yl)-4-methylpentanoate (IZS-L), sodium 2-(1H-imidazol-1-yl)-3-phenyl propanoate (IZS-P), and sodium 2-(1H-imidazol-1-yl)-4-(methylthio)butanoate (IZS-M), respectively, which possessed different types of alkyl chains [31]. The work reported that the IE of IZS-P was 82.46% at 8.4 mmol/L, better than that of IZS m (67.19%) and IZS-L (24.77%). The corrosion inhibition performance of IZSs CIs depended on the chemisorption which was formed by the donor-acceptor interaction between imidazole nitrogen, carboxyl and π-bonds and the empty d orbital Fe in mild steel by DFT study (Density Functional Theory). In this work, LZS-P exerted highest IE, it was due to the fact that the benzyl with π-bond in LZS-P has a larger electron distribution than methythioethyl in IZS-M. Moreover, the methylthioethyl in IZS m has an additional good adsorptive sulfur atom compared to the isobutyl-containing IZS-L. It should be noted that if the concentration of the CIs is lower, the CIs will preferentially interact with the dissolved metal irons, resulting in a decrease in the amount of CI adsorbed on the metal surface, thereby showing a poor corrosion inhibition effect.
Figure 4.
Polarization and impedance curves of GISs with different carbon chain lengths for pH = 5, 7, 9 [32].
If the alkyl chain is on one side of the molecular structure rather than between two imidazole rings, the impact of chain length on corrosion inhibition performance is another trend. Migahed’s group prepared three cationic surfactants containing different alkyl chain lengths based on benzotriazole (BTA) and investigated the IE of different surfactants on the copper electrodes in the ocean [33]. The order of IE was: OBT (1-octadecyl-5-methyl-1H-benzo[d][1,2,3]triazlol-1-ium bromide) > DBT (1-dode cyl-5-methyl-1H-benzo[d][1,2,3]triazlol-1-ium bromide) > HBT (1-hexyl-5-methyl-1H-benzo[d][1,2,3]triazlol-1-ium bromide). The inhibition process also included two aspects: one was the absorption of Cl− (from seawater) and Br− (bromide ions from surfactants) on the copper electrodes and subsequent positive quaternary nitrogen adsorption on surfactants by electrostatic interactions (physisorption). The other was chemisorption, in which the coordinate covalent bonds were formed between the copper electrodes and pre-adsorbed CIs (Figure 5).
Figure 5.
The physisorption and chemisorption mechanism of HBT CI on copper electrode surface [33].
These above studies indicate that different chain lengths and side chain types of the imidazole rings can induce different interactions between the CIs molecules and the metal substrate, resulting in different corrosion inhibition effects.
2.3. Pyridine and Its Derivatives CIs
Pyridine CIs are a class of compounds with a six-membered ring structure, which has one nitrogen atom and five carbon atoms. Pyridine CIs have the advantages of low cost and good biodegradability. The molecular structure of some pyridine CIs is shown in Table 3. The functional groups of pyridine CIs and the π electrons in the double bond or the pyridine ring are the main cores of physical and chemical adsorption [37].
Table 3.
Chemical structure, name, molecular structures, nature of metal and corrosive medium, type of CIs, and adsorption isotherm of pyridine and its derivatives as CIs.
Table 3.
Chemical structure, name, molecular structures, nature of metal and corrosive medium, type of CIs, and adsorption isotherm of pyridine and its derivatives as CIs.
| No. | Name | Molecular Structure | Metal/Corrosive Medium | Inhibitor Type/Adsorption Isotherm | Ref. |
|---|---|---|---|---|---|
| 1 | Tetradecylpyridinium bromide | ![]() | Aluminum/1.0 M HCl | Cathodic/Langmuir | [38] |
| 2 | Hexadecylpyridinium Bromide (HPyBr) | ![]() | Mild steel/0.5 M H2SO4 | Mixed type/Langmuir | [39] |
| 3 | Hexadecylpyridinium Chloride (HPyCl) | ![]() | |||
| 4 | 2-amino-6-(3,4-dimethoxyphenyl)-4-phenylnicotinonitrile | ![]() | Carbon steel/6 M H2SO4 | Mixed type/Langmuir | [40] |
| 5 | 2-amino-4-(3,4-dimethoxyphenyl)-6-phenylnicotinonitrile | ![]() | |||
| 6 | N-alkyl-4-(4-hydroxybut-2-ynyl) pyridinium bromides | ![]() | X70 steel/5 M HCl | Mixed type/Langmuir | [41] |
| 7 | 4-(4-Methoyphenyl) 3,5-dimethyl-1,4,7,8-tetrahydrodipyrazolopyridine) | ![]() | Mild steel/1 M HCl | Mixed type/Langmuir | |
| 8 | 3,5dimethyl-4-phenyl-1,4,7,8-tetrahydrodipyrazolopyridine | ![]() | [42] | ||
| 9 | 3,5-dimethyl-4-(3-nitrophenyl)-1,4,7,8-tetrahyddrodipyrazolopyridine) | ![]() | |||
| 10 | 2-phenyl-5-(pyridin-3-yl)-1,3,4-oxadiazole (POX) | ![]() | Mild steel/1 M HCl | Mixed type/Langmuir | [43] |
| 11 | 2-(4-methoxyphenyl)-5-(pyridin-3-yl)-1,3,4-oxadiazole (4-PMOX) | ![]() | |||
| 12 | 2-Amino-4-(4-methoxyphenyl)-6-phenylnicotinonitrile (AMP) | ![]() | N80 steel/15% HCl | Mixed type/Langmuir | [44] |
| 13 | 2-Amino-6-(2,4-dihydroxyphenyl)-4-(4-methoxyphenyl)nicotinonitrile (ADP) | ![]() |
Tetradecylpyridinium bromide (TDPB) was a very good inhibitor for aluminum as a cathodic inhibitor. The inhibition mechanism of TDPB may involve three aspects: the physisorption was by the pre-absorption of Cl−, the chemisorption of [TDP]+ (Cationic functional groups of TDPB) was between the lone electrons pairs of nitrogen atoms, and the vacant p orbitals of aluminum atoms and donor–acceptor interactions were between π-electrons of pyridine rings and empty p orbitals of aluminum atoms [38]. Tu et al. synthesized three pyridine ionic liquids (ILs) as CIs, including N-dodecyl/tetradecyl/cetyl-4-(4-hydroxybutyl-2-alkynyl) pyridine bromide, and studied their corrosion inhibition properties [41]. ILs were amphipathic and actively reached the X70 steel surface. Positively charged N atoms of ILs were adsorbed to pre-adsorbed bromide ions via electrostatic interaction. Additionally, the protected film was formed by the interaction between the π electrons in the pyridine ring or the triple bond in pyridinium molecule and d orbitals of the iron atoms on the X70 steel. In addition, alkyl chains had a large steric hindrance and prevented the desorption of CIs, effectively protecting the X70 steel from corrosion in the HCl solution.
Eslam A. Mohamed’s group synthesized two pyridine derivatives, including 2-amino-6-(3,4-dimethoxyp-enyl)-4-phenylnicotinonitrile (I) and 2-amino-4-(3,4-dimethoxyphenyl)-6-phenylnicotin-onitrile (II), and explored their corrosion inhibition performance on the API carbon steel in a 6 M H2SO4 solution [40]. The molecular dynamics simulations indicated that the inhibitor molecules were completely horizontal and in a flat orientation. The completely horizontal plane-oriented molecules of the inhibitor led to more surface coverage on the carbon steel surface; thus, it had a higher IE. This work also indicated that the inhibitors acted as mixed-type. The main active functional groups in the CIs were -OCH3, pyridine rings, and benzene rings with N atoms. The inhibition effect of the CIs was mainly achieved using the interaction of these active centers (Figure 6). Counter-sulfate ions (SO42−) were first adsorbed on the metal surface by electrostatic interaction. Protonated pyridine rings were subsequently adsorbed to SO42− on the metal/solution interface by electrostatic interaction (physisorption). Then, the lone electron pairs of pyridine rings and benzene rings interacted with empty d orbital of Fe atoms (chemisorption). In addition, the donor-acceptor interaction (reverse donor) between the d-electron of Fe atom and the empty anti-bonding molecular orbital of pyridine molecules was adsorbed on the metal/electrolyte interface.
Figure 6.
Adsorption mechanism of I and II inhibitors on the Fe (110) surface [40]. (reproduced with permission from [40], Copyright 2021, Elsevier).
2.4. Quinoline and Its Derivatives
Quinoline CI is a nitrogen-containing bicyclic heterocyclic organic compound with a molecular formula of C9H7N. Its molecular structure usually contains both a benzene ring and a pyridine ring, and the high electron density makes it easy to react violently with metal. Among them, quinoline derivatives can cooperate with metals to form complexes, which can occupy the active sites on the metal/alloy surfaces, thereby hindering the corrosion process [45]. Some quinoline and its derivatives as CIs are shown in Table 4.
Table 4.
Chemical structure, name, molecular structures, nature of metal and corrosive medium, type of CIs, and adsorption isotherm of quinoline and its derivatives as CIs.
Table 4.
Chemical structure, name, molecular structures, nature of metal and corrosive medium, type of CIs, and adsorption isotherm of quinoline and its derivatives as CIs.
| No. | Name | Molecular Structure | Metal/Corrosive Medium | Inhibitor Type/Adsorption Isotherm | Ref. |
|---|---|---|---|---|---|
| 1 | 8-hydroxyquinoline | ![]() | X60 steel/15% HCl | Mixed type/- | [45] |
| 2 | 2-1-methyl-quinoline-nonyl | ![]() | X80 pipeline steel/NACE solution (CO2 environment) | Cathodic/- | [46] |
| 3 | 2-chloro-3-formyl quinoline | ![]() | Mild steel/1 M HCl | Mixed type/Freundlich | [47] |
| 4 | 8-hydroxyquinoline grafted triazole derivatives | ![]() | Carbon steel/0.5 M H2SO4 | Mixed type/Langmuir | [48] |
| 5 | 4-chloro,8-(trifluoromethyl)quinoline (CTQ) | ![]() | Mild steel/1 M HCl | Mixed type/Langmuir | [49] |
| 6 | 2-(quinolin-2-yl)quinazolin-4(3H)-one | ![]() | Q235 steel/1 M HCl | Mixed type/Langmuir | [50] |
| 7 | 3-((8-hydroxyquinolin-5-yl)-methyl)-2-phenylquinazolin-4(3H)-one (HQ-ZH) | ![]() | Mild steel/1 M HCl | Mixed type/Langmuir | [51] |
| 8 | 2-(2-hydroxyphenyl)-3-((8-hydroxyquinolin-5-yl)-methyl)-quinazolin-4(3H)-one (HQZOH) | ![]() | |||
| 9 | 3-((8-hydroxyquinliene-5-yl)-2-(4-nitrophenyl)-quinazolin-4(3H)-one (HQ-ZNO2) | ![]() |
As an adsorption type CI, some quinoline derivatives can inhibit cathodic corrosion and have a negative catalytic effect. Guan et al. investigated the inhibition effect of 2-1-methyl-quinoline-nonyl on X80 pipeline steel in NACE solution (CO2 environment) [46]. The results showed that the IE increased with the increase of pH from 4.15 to 5.76. It was due to the fact that the dissolution rate of Fe2+ was acerated, and the CIs molecules were difficult to form an effective protective film on the X80 pipeline steel surface. As the concentration of CI increased, the CI molecules formed a good protective film by the coordinate bonds between benzene rings and d orbitals of Fe atoms (chemisorption).
Rbaa and coworkers removed mill scales on mild steel (MS) surfaces by using HCl pickling treatment at different temperatures (328 ± 2 K) [51]. In order to minimize metal dissolution, the group synthesized three quinazolinone derivatives (multifunctional heterocyclic compounds), including 3-((8-hydroxyquinoline-5-yl))methyl-2-phen ylquinazolin-4 (3H)-one (HQ-ZH), 3-((8-hydroxyquinoline-5-yl)-2-(4-nitrophenyl)-quin azolin-4(3H)-one(HQ-ZNO2) and 2-(2-hydroxyphenyl)-3-((8-hydroxyquinoline-5-yl)methyl)-quinazolin-4(3H)-one (HQ-ZOH) based on 8-hydroxyquinoline. It was revealed that quinazolinone derivatives had excellent corrosion inhibition on MS in 1 M HCl solution. The calculated of HQ-ZH, HQ-ZNO2, and HQ-ZOH CIs are −46.43, −43.76, and −43.14 kJ/mol, respectively, showing that the absorption type of all these CIs was chemisorption. The three CIs were adsorbed in a direction parallel to the MS surface to increase the coverage as much as possible to obtain more active sites. Moreover, the interaction between HQ-NO2 and MS surface was stronger than that of HQ-ZH and HQ-ZOH, and it was easier to adsorb to the metal surface due to the -NO2 group with an extra O atom. Rouifi studied the inhibitive behavior of three 8-hydroxyquinoline grafted triazole derivatives (EHTC, AHTC, and MHTC) for carbon steel in 0.5 M H2SO4 [48]. It was found that the corrosion IE (η%) of these three derivatives were up to 95.5%, 95.1%, and 95.1%, respectively. These derivatives behaved as mixed-type inhibitors. The chemisorption mainly involved the donor-acceptor interaction between π-electrons of benzene rings and empty d orbitals of Fe atoms and the interaction between lone electron pair of heteroatoms and empty d orbitals of Fe atoms. Moreover, molecular dynamics simulations showed that the studied CI molecules were adsorbed parallel to the carbon steel surface, showing that the degree of interaction was the largest. Therefore, EHTC, AHTC, and MHTC can provide excellent protective effects.
2.5. Natural Products
In addition to the above synthetic CIs, natural product extracts containing aromatic ring structures have also attracted the attention of researchers because they are of good biocompatibility and environmentally friendly. Table 5 shows the molecular structures of several natural product extracts. The excellent corrosion IE of natural product extracts also owns conjugated double bonds provided by aromatic rings and polar moieties containing donor N, O, and S atoms [52]. At present, scientific researchers are focusing on various natural product extracts, such as Chicory extract [52], Camphor leaf extract [53], Trachyspermum ammi extract [54], phenylalanine [55], Elaeis guineensis oil [56], rhamnolipid [3], Eucalyptus leaf extract [57] and so on.
Table 5.
Chemical structure, name, molecular structures, nature of metal and corrosive medium, type of CIs, and adsorption isotherm of natural product CIs.
Table 5.
Chemical structure, name, molecular structures, nature of metal and corrosive medium, type of CIs, and adsorption isotherm of natural product CIs.
| Name | Molecular Structure | Metal/Corrosive Medium | Inhibitor Type/Adsorption Isotherm | Ref. |
|---|---|---|---|---|
| Rhamnolipid-1 | ![]() | X70 carbon steel/Simulated seawater | Mixed type/- | [3] |
| Rhamnolipid-2 | ![]() | |||
| Caffeic acid (Caf) | ![]() | Mg alloy AZ91D/3.5 wt% NaCl | Mixed type/- | [52] |
| Chichoric acid (Chi) | ![]() | |||
| 2-(3,4-Dihydroxy-phenyl)-3,5,7-trihydroxy-chromen-4-one (DPT) | ![]() | Q235 steel/1M HCl | Mixed type/Langmuir | [53] |
| 6,7-Dimethoxy-2-(4-methoxy-phenyl)-chromen-4-one (DMP) | ![]() | |||
| 3-(3-Hydroxy-4-methoxy-phenyl)-6,8-dimethoxy-1,2,3,4-tetrahydro-naphthalen-2-ol (HMP) | ![]() | |||
| 5,7-Dihydroxy-2-(4-hydroxy-phenyl)-3-methyl-chroman-4-one (DHP) | ![]() | |||
| Phenyl alanine | ![]() | Mg-Al-Zn alloy/chloride-free neutral aqueous buffer solution | Anodic/Langmuir | [55] |
| A representation of Elaeis guineensis oil | ![]() | AA6063 Al-Mg-Si alloy/3.5% NaCl | Mixed type/Langmuir | [56] |
| Chlorogenic acid | ![]() | A36 mild steel/1M HCl | Mixed type/Langmuir | [58] |
| Vanillic acid | ![]() | |||
| Scopoletin | ![]() | |||
| Trans-1,4-polyisoprene (TPI) | ![]() | Q235 steel/3.5 wt% NaCl | -/- | [59] |
| Poly(citric acid-curcumin) (Cur-PCA) | ![]() | 3105 aluminum alloy/1 mol/L HCl prepared using 3.5% NaCl solution | Mixed type/El-Awady | [60] |
| Bisabolol | ![]() | Aluminum/3.5 wt% NaCl | Mixed type/Freundlich | [61] |
| Camphene | ![]() | |||
| Cineole | ![]() |
M. A. Quraishi’s group investigated the adsorption behavior of four glucosamine-based substituted pyrimidine-fused heterocycles (CARBs) on MS in 1M HCl solution [62]. CARBs inhibited metallic corrosion by adsorbing on the MS surface by the action of the electron-withdrawing group (-NO2) and electron donating group (-CH3 and -OH). Chen studied the Camphor leaves extract as a CI on Q235 steel in 1 M HCl solution [53]. The three-dimensional surface morphology images of Q235 steel with and without Camphor leaves extract after soaking in HCl solution at room temperature for 4 h were shown in Figure 7. The results showed that the average roughness of the appropriate steel surface was about 15 nm and 87 nm, respectively, indicating that the Camphor leaf extract exhibited excellent corrosion inhibition performance. The extract molecules were adsorbed on the Q235 steel surface in a parallel manner to cover the largest area by electrostatic interaction (physisorption). Chemisorption was formed by the covalent interaction between the heterocyclic atoms in the extract molecules and empty 3d orbitals of Fe atoms.
Figure 7.
The three-dimensional surface morphology of Q235 steel with and without Camphor leaves extract after soaking in HCl solution at room temperature for 4 h: (a) containing 600 mg/L Camphor leaves extract and (b) corresponding 2D contour map, (c) without Camphor leaves extract and (d) corresponding 2D contour map. [53]. (reproduced with permission from [53], Copyright 2020, Elsevier).
Fayomi’s group used the green roasted Elaeis guineensis oil as a CI and tested its inhibition performance on Al-Mg-Si alloy in a 3.5% NaCl solution [56]. The formation of the protective film was mainly due to the interaction between the O, S, and N heterocyclic atoms in the molecular structure and the substrate. Sanaei’s group studied the synergistic inhibition performance of Chicory leaves extract (CLE) combined with zinc ions (Zn) for MS [63]. Chicoric and caffeic acid were the main organic compounds in CLE. These compounds contain a large number of oxygen-containing functional groups. Oxygen shares lone pair electrons with the empty orbits of Zn and Fe cations and then forms complexes on the MS surface to form a protective layer and inhibit the steel corrosion. The synergistic effects of organic/inorganic CIs showed a potent corrosion inhibition power of 96%. Li and coworkers combined CLE with different inorganic cations (Ca2+, Fe3+, Fe2+, and Ni2+) to enhance the corrosion resistance of Mg alloy AZ91D [52]. The CLE-Ca2+-based inhibitors exhibited the slightest corrosion, and the IE was 92%. Chicoric and caffeic acid combined with inorganic cations was adsorbed on the alloy surface by chelation effect to form a dense protective film. The CIs can combine with inorganic cations via chelated reactions and be firmly adsorbed on the porous Mg(OH)2 and MgO corrosion products (Figure 8). These experimental results demonstrated the adsorption of the CIs on the MS surface via interactions on the donor-acceptor mechanism.
Figure 8.
Schematic illustration of the corrosion inhibition mechanism for AZ91D alloy immersed in 3.5 wt% NaCl solution (A) with and (B) without CLE-Ca2+ inhibitors [52].
3. Mechanism of OCIs
OCIs prevent or slow down corrosion by acting on the metal surface. The inhibitor molecules mainly adsorb on the metal surface to form a dense protective film and inhibit the corrosion of metal/alloy via physisorption and chemisorption. Physisorption mainly involves the electrostatic interaction between the ionic groups and metal atoms or ions on the matrix, and chemisorption mainly refers to the formation of the covalent bonds and feedback bonds by the interaction between π electrons or lone pair electrons of OCIs molecules and empty orbits of metal atoms.
The interaction form and coverage degree between OCI molecules and metal/alloy surfaces are not only closely related to the types of metals and OCIs but are also affected by the corrosive environment [64]. For the same environmental medium and metal materials, different OCIs could exhibit different corrosion inhibition effects. For example, the IE of bis [2-hydroxy-3-(dodecyldimethylammonio) propyl]-isopropylamine dichloride was 89.3%, it was higher than that (87.9%) of bis [2-amido-3-(dodecyldimethylammonium) propyl]-propylamine dichloride for 2024 Al-Cu-Mg alloy in 1 M HCl [18,19]. The former has a shorter alkyl chain than the latter, indicating that the longer the alkyl chain, the greater the steric hindrance may be caused, resulting in the difficulty of adsorption of CIs on the matrix surface and reducing the corrosion inhibition effect. For mild steel, the order of corrosion IE in 1 M HCl is 4-PMOX > 3,5dimethyl-4-phenyl-1,4,7,8-tetrahydrodipyrazolopyridine > CTQ > 2-chloro-3-formyl quinoline. The corrosion inhibition mechanism of the four CIs is similar, but the IE is quite different. It can be seen from the molecular structure that 4-PMOX and 3,5dimethyl-4-phenyl-1,4,7,8-tetrahydrodipyrazolopyridine have more π electrons density, which provides more opportunities to form covalent bonds and feedback bonds with empty orbits of metal atoms [42,43,47,49]. Therefore, it is necessary to understand the mechanism of action between OCIs and metal surfaces to make better choices addressing these complexities and diversities.
4. Conclusions
Alkyl chain type, imidazole ring type, pyridine type, quinoline type, and natural product CIs are introduced in this work. The interaction between OCIs and metal or alloy substrates determines the adsorption mode of OCI molecules on the surface of metal or alloy, which mainly involves physisorption, chemisorption, and even both of them. It has been found that the functional group types, chain lengths, and concentration of the OCI have different effects on their inhibition performance. For example, for alkyl chain CIs, the IE does not necessarily increase with the increase in alkyl chain lengths. However, in terms of the imidazole ring CIs, the longer the alkyl chain, the better the corrosion inhibition effect. Therefore, it needs to be further explored the effects of molecular structure and functional group types of OCIs on the corrosion inhibition properties. Simultaneously, with the strengthening of environmental protection and safety awareness, some toxic and harmful OCIs will be restricted or prohibited. Some new OCIs extracted and isolated from natural plants have become the focus of research in this field. It is necessary to further develop and explore these highly efficient, low toxic, and environmentally friendly natural product CIs.
Author Contributions
Conceptualization, W.Z. and F.L.; methodology, S.S.; validation, W.Z., J.C. and Z.C.; investigation, W.Z., F.L. and J.C.; resources, X.L. and Y.X.; writing—original draft preparation, F.L.; writing—review and editing, W.Z., J.C., P.D. and Z.C.; visualization, W.Z., F.L. and Z.C.; supervision, W.Z. and Y.X.; project administration, X.L. and S.S.; funding acquisition, W.Z., S.S. and P.D. All authors have read and agreed to the published version of the manuscript.
Funding
This research was funded by the Natural Science Basic Research Program of Shaanxi (No. 2022JQ-492, 2022JQ-514), the Scientific Research Program Funded by Shaanxi Provincial Education Department (No. 22JK0507), Qin Chuangyuan Originally Cited High-level Innovation and Entrepreneurship Talent Program (No. QCYRCXM-2022-138) and the Postgraduate Innovation and Practice Ability Development Fund of Xi’an Shiyou University (YCS22213151).
Data Availability Statement
Not applicable.
Conflicts of Interest
The authors declare no conflict of interest.
References
- Xie, C. Introduction to metal corrosion priciple and protection. Total Corros. Control 2019, 33, 18–20. [Google Scholar]
- Sabel, C.F.; Victor, D.G. Governing global problems under uncertainty: Making bottom-up climate policy work. Clim. Chang. 2015, 144, 15–27. [Google Scholar] [CrossRef]
- Li, Z.; Yuan, X.; Sun, M.; Li, Z.; Zhang, D.; Lei, Y.; Zhang, M.; Fan, Y.; Xu, D.; Wang, F. Rhamnolipid as an eco-friendly corrosion inhibitor for microbiologically influenced corrosion. Corros. Sci. 2022, 204, 110390. [Google Scholar] [CrossRef]
- Ismail, A. A review of green corrosion inhibitor for mild steel in seawater. ARPN J. Eng. Appl. Sci. 2016, 11, 8710–8714. [Google Scholar]
- Luo, D.; Liu, X.; Wang, M.; Zhang, X. Research progress on corrosion inhibitor for hydrochloric acis pickling of carbon steel. Guangzhou Chem. Ind. 2020, 48, 20–21+57. [Google Scholar]
- Raja, P.B.; Sethuraman, M.G. Inhibitive effect of black pepper extract on the sulphuric acid corrosion of mild steel. Mater. Lett. 2008, 62, 2977–2979. [Google Scholar] [CrossRef]
- Wang, L.; Gu, W.; Guo, R.; Fu, W. Inhibition effect of environmental protection inorganic corrosion inhibitor on AZ91D magnesium alloy. Plat. Finish. 2020, 42, 18–22. [Google Scholar]
- Zhang, W. Synthesis of Acridines Inhibitors and Study on Its Corrosion Inhibition Performance of Carbon Steel. Ph.D. Thesis, Harbin Institute of Technology, Harbin, China, October 2020. [Google Scholar]
- Quraishi, M.A.; Chauhan, D.S.; Ansari, F.A. Development of environmentally benign corrosion inhibitors for organic acid environments for oil-gas industry. J. Mol. Liq. 2021, 329, 115514. [Google Scholar] [CrossRef]
- Wang, L.; Wang, H.; Seyeux, A.; Zanna, S.; Pailleret, A.; Nesic, S.; Marcus, P. Adsorption mechanism of quaternary ammonium corrosion inhibitor on carbon steel surface using ToF-SIMS and XPS. Corros. Sci. 2023, 213, 110952. [Google Scholar] [CrossRef]
- Yuan, L.; Lin, Y.; Guo, T.; Wen, R.; Yu, Q.; Wang, C.; Tu, Y.; Sas, G.; Elfgren, L. The adsorption of two organic inhibitors on stainless steel passive film: A reactive force field study. Appl. Surf. Sci. 2023, 607, 154965. [Google Scholar] [CrossRef]
- Zheng, X.; Zhang, S.; Li, W.; Gong, M.; Yin, L. Experimental and theoretical studies of two imidazolium-based ionic liquids as inhibitors for mild steel in sulfuric acid solution. Corros. Sci. 2015, 95, 168–179. [Google Scholar] [CrossRef]
- Negm, N.A.; El Hashash, M.A.; Abd-Elaal, A.; Tawfik, S.M.; Gharieb, A. Amide type nonionic surfactants: Synthesis and corrosion inhibition evaluation against carbon steel corrosion in acidic medium. J. Mol. Liq. 2018, 256, 574–580. [Google Scholar] [CrossRef]
- Ghorbani, M.; Puelles, J.S.; Forsyth, M.; Zhu, H.; Crawford, S.; Chen, F.; Cáceres-Vélez, P.R.; Jusuf, P.R.; Somers, A. Engineering advanced environmentally friendly corrosion inhibitors, their mechanisms, and biological effects in live Zebrafish embryos. ACS Sustain. Chem. Eng. 2022, 10, 2960–2970. [Google Scholar] [CrossRef]
- Kuznetsov, Y.I. Triazoles as a class of multifunctional corrosion inhibitors. A review. Part I. 1,2,3-Benzotriazole and its derivatives. Copper, zinc and their alloys. Int. J. Corros. Scale Inhib. 2018, 7, 271–307. [Google Scholar]
- Labena, A.; Hegazy, M.A.; Sami, R.M.; Hozzein, W.N. Multiple applications of a novel cationic Gemini surfactant: Anti-microbial, anti-biofilm, biocide, salinity corrosion inhibitor, and biofilm dispersion (Part II). Molecules 2020, 25, 1348. [Google Scholar] [CrossRef]
- Xia, D.-H.; Wu, S.-B.; Zhu, Y.; Wang, Z.-Q.; Sun, Y.-H.; Zhu, R.-K.; Luo, J.-L. Hydrogen-enhanced surface reactivity of X80 pipeline steel observed by scanning electrochemical microscopy. Electrochemistry 2016, 84, 238–242. [Google Scholar] [CrossRef]
- Du, J.; Chen, Q.; Liu, Q.; Hu, X. Synthesis of a novel Gemini cationic surfactant and its inhibition behaviour and mechanism study on 2024 Al-Cu-Mg alloy in acid solution. Int. J. Corros. 2018, 2018, 9890504. [Google Scholar] [CrossRef]
- Juan, D.; Shuai, J.; Fan, Y.; Ziming, W.; Haipeng, S.; Xudong, Y.; Fusheng, W. The preparation of a novel corrosion inhibitor and its corrosion inhibition behavior on 2024 Al-Cu-Mg alloy in acid solution. J. Surfactants Deterg. 2019, 22, 833–843. [Google Scholar] [CrossRef]
- Zhang, Q.; Gao, Z.; Xu, F.; Zou, X. Adsorption and corrosion inhibitive properties of gemini surfactants in the series of hexanediyl-1,6-bis-(diethyl alkyl ammonium bromide) on aluminium in hydrochloric acid solution. Colloids Surf. A Physicochem. Eng. Asp. 2011, 380, 191–200. [Google Scholar] [CrossRef]
- Asefi, D.; Arami, M.; Mahmoodi, N.M. Electrochemical effect of cationic gemini surfactant and halide salts on corrosion inhibition of low carbon steel in acid medium. Corros. Sci. 2010, 52, 794–800. [Google Scholar] [CrossRef]
- Goyal, M.; Vashisht, H.; Hamed Alrefaee, S.; Jain, R.; Kumar, S.; Kaya, S.; Guo, L.; Verma, C. Decyltriphenylphosphonium bromide containing hydrophobic alkyl-chain as a potential corrosion inhibitor for mild steel in sulfuric acid: Theoretical and experimental studies. J. Mol. Liq. 2021, 336, 116166. [Google Scholar] [CrossRef]
- Moschona, A.; Plesu, N.; Colodrero, R.M.P.; Cabeza, A.; Thomas, A.G.; Demadis, K.D. Homologous alkyl side-chain diphosphonate inhibitors for the corrosion protection of carbon steels. Chem. Eng. J. 2020, 405, 126864. [Google Scholar] [CrossRef]
- Cao, K.; Sun, H.; Zhao, X.; Hou, B. Investigation of novel gemini surfactant with long chain alkyl ammonium headgroups as corrosion inhibitor for copper in 3.5% NaCl. Int. J. Electrochem. Sci. 2014, 9, 8106–8119. [Google Scholar] [CrossRef]
- Odewunmi, N.A.; Solomon, M.M.; Umoren, S.A.; Ali, S.A. Comparative studies of the corrosion inhibition efficacy of a dicationic monomer and its polymer against API X60 steel corrosion in simulated acidizing fluid under static and hydrodynamic conditions. ACS Omega 2020, 5, 27057–27071. [Google Scholar] [CrossRef] [PubMed]
- Wang, S.; Jia, H.; Wang, Q.; Yan, H.; Wei, Z.; Wen, X.; Wang, Q.; Fan, F.; Wen, S.; Huang, P.; et al. Experimental and theoretical studies of the corrosion inhibition performance of fatty acid-based Iionic liquids for mild steel in 1 M HCl: Effects of the varied alkyl chain length in the anionic group. ACS Sustain. Chem. Eng. 2022, 10, 17151–17166. [Google Scholar] [CrossRef]
- Jia, H.; Wang, S.; Wang, Z.; Wang, Q.; Jia, H.; Song, L.; Qin, X.; Fan, F.; Li, Z.; Huang, P. Investigation of anionic group effects on the shale inhibition performance of fatty acid-based ionic liquids and their inhibition mechanism. Colloids Surf. A Physicochem. Eng. Asp. 2022, 636, 128135. [Google Scholar] [CrossRef]
- Aslam, J.; Aslam, R.; Verma, C. Imidazole and its derivatives as corrosion inhibitors. In Organic Corrosion Inhibitors: Synthesis, Characterization, Mechanism, and Applications; Wiely: Hoboken, NJ, USA, 2021; pp. 95–122. [Google Scholar]
- Wang, H.P.; Wu, Q.; Li, C.M.; Gu, N. Copper corrosion inhibition by polyaspartic acid and imidazole. Mater. Corros. 2013, 64, 347–352. [Google Scholar] [CrossRef]
- Zhang, J.; Shi, D.; Gong, X.; Zhu, F.; Du, M. Inhibition performance of novel dissymmetric bisquaternary ammonium salt with an imidazoline ring and an ester group. J. Surfactants Deterg. 2013, 16, 515–522. [Google Scholar] [CrossRef]
- Haque, J.; Zulkifli, M.F.R.; Ismail, N.; Quraishi, M.A.; Mohd Ghazali, M.S.; Berdimurodov, E.; Wan Nik, W.M.N.B. Environmentally benign water-soluble sodium L-2-(1-imidazolyl) alkanoic acids as new corrosion inhibitors for mild steel in artificial seawater. ACS Omega 2023, 8, 24797–24812. [Google Scholar] [CrossRef]
- Zhuang, W.; Wang, X.; Zhu, W.; Zhang, Y.; Sun, D.; Zhang, R.; Wu, C. Imidazoline Gemini surfactants as corrosion inhibitors for carbon ateel X70 in NaCl aolution. ACS Omega 2021, 6, 5653–5660. [Google Scholar] [CrossRef]
- Migahed, M.A.; Nasser, A.; Elfeky, H.; El-Rabiei, M.M. The synthesis and characterization of benzotriazole-based cationic surfactants and the evaluation of their corrosion inhibition efficiency on copper in seawater. RSC Adv. 2019, 9, 27069–27082. [Google Scholar] [CrossRef] [PubMed]
- Ontiveros-Rosales, M.; Espinoza-Vázquez, A.; Gómez, F.J.R.; Valdez-Rodríguez, S.; Miralrio, A.; Acosta-Garcia, B.A.; Castro, M. Imidazolate of 1-butyl-3-ethyl imidazole as corrosion inhibitor on API 5L X52 steel in NaCl saturated with CO2. J. Mol. Liq. 2022, 363, 119826. [Google Scholar] [CrossRef]
- Srivastava, V.; Salman, M.; Chauhan, D.S.; Abdel-Azeim, S.; Quraishi, M.A. (E)-2-styryl-1H-benzo[d]imidazole as novel green corrosion inhibitor for carbon steel: Experimental and computational approach. J. Mol. Liq. 2021, 324, 115010. [Google Scholar] [CrossRef]
- Laguzzi, G.; Luvidi, L. Evaluation of the anticorrosive properties of benzotriazole alkyl derivatives on 6% Sn bronze alloy. Surf. Coat. Technol. 2010, 204, 2442–2446. [Google Scholar] [CrossRef]
- Alrebh, A.; Rammal, M.B.; Omanovic, S. A pyridine derivative 2-(2-Methylaminoethyl)pyridine (MAEP) as a ‘green’ corrosion inhibitor for low-carbon steel in hydrochloric acid media. J. Mol. Struct. 2021, 1238, 130333. [Google Scholar] [CrossRef]
- Li, X.; Deng, S.; Fu, H. Inhibition by tetradecylpyridinium bromide of the corrosion of aluminium in hydrochloric acid solution. Corros. Sci. 2011, 53, 1529–1536. [Google Scholar] [CrossRef]
- Saleh, M.M.; Mahmoud, M.G.; El-Lateef, H.M.A. Comparative study of synergistic inhibition of mild steel and pure iron by 1-hexadecylpyridinium chloride and bromide ions. Corros. Sci. 2019, 154, 70–79. [Google Scholar] [CrossRef]
- Farag, A.A.; Mohamed, E.A.; Sayed, G.H.; Anwer, K.E. Experimental/computational assessments of API steel in 6 M H2SO4 medium containing novel pyridine derivatives as corrosion inhibitors. J. Mol. Liq. 2021, 330, 115705. [Google Scholar] [CrossRef]
- Tu, S.; Jiang, X.; Zhou, L.; Duan, M.; Wang, H.; Jiang, X. Synthesis of N-alkyl-4-(4-hydroxybut-2-ynyl) pyridinium bromides and their corrosion inhibition activities on X70 steel in 5 M HCl. Corros. Sci. 2012, 65, 13–25. [Google Scholar] [CrossRef]
- Dohare, P.; Quraishi, M.A.; Verma, C.; Lgaz, H.; Salghi, R.; Ebenso, E.E. Ultrasound induced green synthesis of pyrazolo-pyridines as novel corrosion inhibitors useful for industrial pickling process: Experimental and theoretical approach. Results Phys. 2019, 13, 102344. [Google Scholar] [CrossRef]
- Sharma, D.; Thakur, A.; Sharma, M.K.; Sharma, R.; Kumar, S.; Sihmar, A.; Dahiya, H.; Jhaa, G.; Kumar, A.; Sharma, A.K.; et al. Effective corrosion inhibition of mild steel using novel 1,3,4-oxadiazole-pyridine hybrids: Synthesis, electrochemical, morphological, and computational insights. Environ. Res. 2023, 234, 116555. [Google Scholar] [CrossRef] [PubMed]
- Ansari, K.R.; Quraishi, M.A.; Singh, A. Pyridine derivatives as corrosion inhibitors for N80 steel in 15% HCl: Electrochemical, surface and quantum chemical studies. Measurement 2015, 76, 136–147. [Google Scholar] [CrossRef]
- Obot, I.B.; Ankah, N.K.; Sorour, A.A.; Gasem, Z.M.; Haruna, K. 8-Hydroxyquinoline as an alternative green and sustainable acidizing oilfield corrosion inhibitor. Sustain. Mater. Technol. 2017, 14, 1–10. [Google Scholar] [CrossRef]
- Guan, X.R.; Zhang, D.L.; Wang, J.J.; Jin, Y.H. Effect of a new quinoline inhibitor on corrosion of X80 pipeline steel. Appl. Mech. Mater. 2014, 644–650, 5273–5276. [Google Scholar] [CrossRef]
- Prasanna, B.M.; Praveen, B.M.; Hebbar, N.; Venkatesha, T.V.; Tandon, H.C. Inhibition study of mild steel corrosion in 1 M hydrochloric acid solution by 2-chloro 3-formyl quinoline. Int. J. Ind. Chem. 2015, 7, 9–19. [Google Scholar] [CrossRef]
- Rouifi, Z.; Benhiba, F.; El Faydy, M.; Laabaissi, T.; Oudda, H.; Lakhrissi, B.; Guenbour, A.; Warad, I.; Zarrouk, A. 8-hydroxyquinoline grafted triazole derivatives as corrosion inhibitors for carbon steel in H2SO4 solution: Electrochemical and theoretical studies. Ionics 2021, 27, 2267–2288. [Google Scholar] [CrossRef]
- Hebbar, N.; Praveen, B.M.; Prasanna, B.M.; Vishwanath, P. Electrochemical and adsorption studies of 4-Chloro,8-(trifluoromethyl)quinoline (CTQ) for mild steel in acidic medium. J. Fail. Anal. Prev. 2020, 20, 1516–1523. [Google Scholar] [CrossRef]
- Zhang, W.; Ma, R.; Liu, H.; Liu, Y.; Li, S.; Niu, L. Electrochemical and surface analysis studies of 2-(quinolin-2-yl)quinazolin-4(3H)-one as corrosion inhibitor for Q235 steel in hydrochloric acid. J. Mol. Liq. 2016, 222, 671–679. [Google Scholar] [CrossRef]
- Rbaa, M.; Galai, M.; Benhiba, F.; Obot, I.B.; Oudda, H.; Touhami, M.E.; Lakhrissi, B.; Zarrouk, A. Synthesis and investigation of quinazoline derivatives based on 8-hydroxyquinoline as corrosion inhibitors for mild steel in acidic environment: Experimental and theoretical studies. Ionics 2018, 25, 3473–3491. [Google Scholar] [CrossRef]
- Li, P.; Shao, Z.; Fu, W.; Ma, W.; Yang, K.; Zhou, H.; Gao, M. Enhancing corrosion resistance of magnesium alloys via combining green chicory extracts and metal cations as organic-inorganic composite inhibitor. Corros. Commun. 2023, 9, 44–56. [Google Scholar] [CrossRef]
- Chen, S.; Zhao, H.; Chen, S.; Wen, P.; Wang, H.; Li, W. Camphor leaves extract as a neoteric and environment friendly inhibitor for Q235 steel in HCl medium: Combining experimental and theoretical researches. J. Mol. Liq. 2020, 312, 113433. [Google Scholar] [CrossRef]
- Tehrani, M.E.H.N.; Ramezanzadeh, M.; Ramezanzadeh, B. Highly-effective/durable method of mild-steel corrosion mitigation in the chloride-based solution via fabrication of hybrid metal-organic film (MOF) generated between the active Trachyspermum ammi bio-molecules-divalent zinc cations. Corros. Sci. 2021, 184, 109383. [Google Scholar] [CrossRef]
- Helal, N.H.; Badawy, W.A. Environmentally safe corrosion inhibition of Mg–Al–Zn alloy in chloride free neutral solutions by amino acids. Electrochim. Acta 2011, 56, 6581–6587. [Google Scholar] [CrossRef]
- Fayomi, O.S.I.; Popoola, A.P.I. The inhibitory effect and adsorption mechanism of roasted Elaeis guineensis as green inhibitor on the corrosion processof extruded AA6063 Al-Mg-Si Alloy in Simulated Solution. Silicon 2014, 6, 137–143. [Google Scholar] [CrossRef]
- Dehghani, A.; Bahlakeh, G.; Ramezanzadeh, B. Green Eucalyptus leaf extract: A potent source of bio-active corrosion inhibitors for mild steel. Bioelectrochemistry 2019, 130, 107339. [Google Scholar] [CrossRef]
- Carmona-Hernandez, A.; Campechano-Lira, C.; Espinoza-Vázquez, A.; Ramírez-Cano, J.A.; Orozco-Cruz, R.; Galván-Martínez, R. Electrochemical and DFT theoretical evaluation of the Randia monantha Benth extract as an eco-friendly corrosion inhibitor for mild steel in 1 M HCl solution. J. Taiwan Inst. Chem. Eng. 2023, 147, 104913. [Google Scholar] [CrossRef]
- Liu, C. Trans-1,4-polyisoprene (TPI) Extracted from Eucommia bark as natural corrosion inhibitor for carbon steel in the simulated concrete pore solution. Int. J. Electrochem. Sci. 2022, 17, 220615. [Google Scholar] [CrossRef]
- Cao, Y.; Shao, H.; He, S.; Chen, Z.; Yang, W. Natural polycitric acid-curcumin for highly efficient corrosion inhibition of aluminum alloys. Mater. Today Commun. 2023, 36, 106659. [Google Scholar] [CrossRef]
- Abdullah, H.A.; Anaee, R.A.; Khadom, A.A.; Ali, A.T.A.; Malik, A.H.; Kadhim, M.M. Experimental and theoretical assessments of the chamomile flower extract as a green corrosion inhibitor for aluminum in artificial seawater. Results Chem. 2023, 6, 101035. [Google Scholar] [CrossRef]
- Verma, C.; Olasunkanmi, L.O.; Ebenso, E.E.; Quraishi, M.A.; Obot, I.B. Adsorption behavior of glucosamine-based, pyrimidine-fused heterocycles as green corrosion inhibitors for mild steel: Experimental and theoretical studies. J. Phys. Chem. C 2016, 120, 11598–11611. [Google Scholar] [CrossRef]
- Sanaei, Z.; Bahlakeh, G.; Ramezanzadeh, B.; Ramezanzadeh, M. Application of green molecules from Chicory aqueous extract for steel corrosion mitigation against chloride ions attack; the experimental examinations and electronic/atomic level computational studies. J. Mol. Liq. 2019, 290, 111176. [Google Scholar] [CrossRef]
- Chen, L.; Gao, Y.; Miao, W. The inhibition mechanism of organic inhibitor on metal surface. Total Corros. Control 2005, 19, 25–28. [Google Scholar]
Disclaimer/Publisher’s Note: The statements, opinions and data contained in all publications are solely those of the individual author(s) and contributor(s) and not of MDPI and/or the editor(s). MDPI and/or the editor(s) disclaim responsibility for any injury to people or property resulting from any ideas, methods, instructions or products referred to in the content. |
© 2023 by the authors. Licensee MDPI, Basel, Switzerland. This article is an open access article distributed under the terms and conditions of the Creative Commons Attribution (CC BY) license (https://creativecommons.org/licenses/by/4.0/).































































