Study on the Purification Effect and Equilibrium Distribution Coefficient of Impurities during Zone Refining of Fluorene
Abstract
1. Introduction
- (1)
- The effective distribution coefficient (keff), representing the experimental ratio of CS to CL. This factor itself is dependent on the diffusion layer thickness between liquid and solid, the zone travel rate, and the diffusion coefficient of each impurity as well as the heating power.
- (2)
- The zone travel rate, which should normally be kept slow enough to increase the refining efficiency (decrease keff for k < 1 and increase keff for k > 1), but at the same time, a rate that is too low increases the time consumption for each pass tremendously. The term refining efficiency refers to the maximum impurity removal a zone refining process can achieve.
- (3)
- The zone length, which is the length of the molten zone, affecting both the ultimate distribution of the elements and the rate at which it is achieved. This length is affected by many factors, such as the heating power, zone travel rate, thermal conductivity of the crucible and charge, etc.
- (4)
- The zone temperature difference at the solid/liquid interface, influencing the microsegregation of impurities in that area. This is also controlled by the heating power, zone travel rate, thermal conductivity of the crucible and charges, etc.
- (5)
- The zone passing number. Less passes cannot attain a product with high purity; however, more passes consume more time.
2. Experiment
2.1. Sample
2.2. Device
2.3. Experimental Operation
2.4. Analytical Methods
3. Results and Discussion
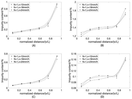
3.1. Influence of Zone Travel Rate on Zone Melting Purification Process
3.2. Influence of Zone Length on Zone Melting Purification Process
3.3. Influence of Zone Passing Number on Zone Melting Purification Process
3.4. Influence of Zone Temperature Difference on Zone Melting Purification Process
4. Calculation of Impurity Distribution Coefficient
4.1. Model of One-Pass Zone Refining
- The crystalline interface is in equilibrium;
- The crystalline interface is flat.
- Region 1:
- Region 2:
- Calculation of equilibrium distribution coefficient
4.2. Impurity Distribution Coefficient
5. Conclusions
Author Contributions
Funding
Data Availability Statement
Conflicts of Interest
Glossary
| A | Cross-sectional area perpendicular to the travel direction, m2 |
| CS | Impurity concentration in solid phase, mg·g−1 |
| CL | Impurity concentration in liquid phase, mg·g−1 |
| C0 | Initial impurity concentration of the sample, mg·g−1 |
| ke | Effective distribution coefficient of impurities |
| k0 | Equilibrium distribution coefficient of impurities |
| I | The total amount of a certain impurity in the melting zone, mg |
| I0 | The initial total amount of a certain impurity in the melting zone, mg |
| L | Sample length |
| x | Dimensionless distance from the starting point |
| D | Diffusion coefficient of impurity in melt zone |
| Z | Dimensionless zone length |
| d | Thickness of diffusion boundary layer, mm |
| N | Zone passing number |
References
- Wei, H. Method for Purifying Refined Fluorene by Crystallizing Process. CN101182278, 21 May 2008. [Google Scholar]
- Xiong, D. New Process for Purifying and Refining Coarse Fluorene. CN103304365A, 18 September 2013. [Google Scholar]
- E, Y.; He, F.; Xu, H.; Li, S.; Liu, T.; Cui, S. Process for Purifying Industrial Fluorene. CN102807466A, 5 December 2012. [Google Scholar]
- Yin, Q.; Li, H.; Yang, L.; Hou, B.; Wang, Z.; Zhang, M.; Wang, J.; He, Y. Crystallization Method for Fluorene Purification. CN103224441A, 31 July 2013. [Google Scholar]
- Wei, F.; Luo, G. Method for Purifying Industrial Fluorine with Drum. Crystallization Method for Fluorene Purification. CN105523878A, 27 April 2016. [Google Scholar]
- Pfann, W.G. Techniques of Zone Melting and Crystal Growing. Solid State Phys. 1957, 4, 423–521. [Google Scholar]
- Kousaka, Y.; Iwasaki, S.; Sayo, T.; Tanida, H.; Matsumura, T.; Araki, S.; Akimitsu, J.; Togawa, Y. Chirality-controlled enantiopure crystal growth of a transition metal monosilicide by a floating zone method. Jpn. J. Appl. Phys. 2022, 61, 045501. [Google Scholar] [CrossRef]
- Kantuptim, P.; Kato, T.; Nakauchi, D.; Kawaguchi, N.; Watanabe, K.; Yanagida, T. Optical and Scintillation Characteristics of Tb-doped La2Si2O7 Single Crystal. Sens. Mater. 2023, 35, 451–458. [Google Scholar] [CrossRef]
- Ichiba, K.; Takebuchi, Y.; Kimura, H.; Kato, T.; Nakauchi, D.; Kawaguchi, N.; Yanagida, T. Analysis of Photoluminescence and Dosimetric Properties of (Ce, Tb)-codoped Magnesium Orthosilicate Single Crystals. Sens. Mater. 2023, 35, 475–481. [Google Scholar] [CrossRef]
- Huang, D.; Xiao, T.; Fu, B.; Xu, S.; Huang, Y.; Deng, W.; Zhou, Z. Up-Conversion Photoluminescence in Thulia and Ytterbia Co-Doped Yttria-Stabilized Zirconia Single Crystals. Crystals 2023, 13, 460. [Google Scholar] [CrossRef]
- Fukushima, H.; Nakauchi, D.; Kato, T.; Kawaguchi, N.; Yanagida, T. Photoluminescence and Scintillation Properties of Ce-doped (MgxCa1−x)HfO3 Single Crystals. Sens. Mater. 2023, 35, 429–437. [Google Scholar] [CrossRef]
- Chen, L.-D.; Shu, L.-H.; Zhang, B.H.; Liu, L.; Lei, L.; Shao, Y.; Huang, F.-Z.; Lv, Y.-Y.; Cheng, Z.-X.; Wang, J.-L.; et al. Significant magneto-dielectric effect in SrNd2Fe2O7 at room temperature. Appl. Phys. Lett. 2023, 122, 072903. [Google Scholar] [CrossRef]
- Boatner, L.A.; Finch, C.B.; Brundage, W.E.; Kolopus, J.A.; Gruzalski, G.R.; Johanns, K.E.; Sudharshan Phani, P.; Pharr, G.M.; Oliver, W.C. Synthesis and characterization of metal carbides for nanoindentation tip applications. J. Appl. Phys. 2023, 133, 095107. [Google Scholar] [CrossRef]
- Bauer, A.; Benka, G.; Neubauer, A.; Regnat, A.; Engelhardt, A.; Resch, C.; Wurmehl, S.; Blum, C.G.F.; Adams, T.; Chacon, A.; et al. Compositional Studies of Metals with Complex Order by means of the Optical Floating-Zone Technique. Phys. Status Solidi B-Basic Solid State Phys. 2022, 259, 2100159. [Google Scholar] [CrossRef]
- Wu, T.; Zhang, Q.; Shi, Y.; Wang, L.; Xiong, Y.; Wang, H.; Fang, J.; Ni, J.; He, H.; Zhou, Z.; et al. Eu3+-Doped (Gd, La)AlO3 Perovskite Single Crystals: Growth and Red-Emitting Luminescence. Materials 2023, 16, 488. [Google Scholar] [CrossRef]
- Upatov, M.; Vleugels, J.; Koval, Y.; Bolbut, V.; Bogomol, I. Microstructure and mechanical properties of B4C-NbB2-SiC ternary eutectic composites by a crucible-free zone melting method. J. Eur. Ceram. Soc. 2021, 41, 1189–1196. [Google Scholar] [CrossRef]
- Su, H.; Jiang, H.; Zhang, Z.; Zhao, D.; Liu, Y.; Shen, Z.; Guo, Y.; Yang, C.; Ren, W. Crucible-free fabrication of ZrB2-SiC composite ceramics with ultra-fine eutectic microstructure by laser surface zone-melting: The selection of lasers. Ceram. Int. 2023, 49, 9346–9354. [Google Scholar] [CrossRef]
- Sturm, F.; Trempa, M.; Schuster, G.; Gotz, P.; Wagner, R.; Barroso, G.; Meisner, P.; Reimann, C.; Friedrich, J. Material evaluation for engineering a novel crucible setup for the growth of oxygen free czochralski silicon crystals. J. Cryst. Growth 2022, 584, 126582. [Google Scholar] [CrossRef]
- Okazaki, K.; Nakauchi, D.; Fukushima, H.; Kato, T.; Kawaguchi, N.; Yanagida, T. Radiation-induced Luminescence Properties of Tm-doped Bi4Ge3O12 Single Crystals. Sens. Mater. 2023, 35, 459–466. [Google Scholar] [CrossRef]
- Nanda, N.; Soni, P.H. Growth and characterization of InBi0.95Te0.05 and InBi0.90Te0.10 crystals. Opt. Mater. 2023, 136, 113430. [Google Scholar] [CrossRef]
- Jin, M.; Lu, X.; Guo, L.; He, F.; Bai, X.; Li, R.; Lin, S. Thermoelectric properties of ductile Ag2S0.7Te0.3 prepared via zone melting method. Solid State Commun. 2023, 364, 115123. [Google Scholar] [CrossRef]
- Islam, A.; Aynul, A.T. Erbium Related Photoluminescence of Silicon: Influence of Co-doping with Oxygen and Hydrogenation. In Proceedings of the 7th International Conference on Advanced Engineering and Technology (ICAET), Incheon, Republic of Korea, 18–20 December 2020. [Google Scholar]
- Denisenko, D.S.; Timonina, A.V.; Fursova, T.N.; Kolesnikov, N.N. Cr2+ distribution in ZnSe crystals grown from melt. J. Cryst. Growth 2023, 603, 127037. [Google Scholar] [CrossRef]
- Bhandari, S.; Zvanut, M.E. Fe-related optical transitions in floating zone and Czochralski grown beta-Ga2O3 crystals. J. Appl. Phys. 2021, 130, 165701. [Google Scholar] [CrossRef]
- Yu, C.; Pan, B.; Wang, Z.; Chen, D.; Zhang, X.; Yang, W.; Zhang, D.; Lu, W. Research of High-Purity Lanthanum Prepared by Zone Refining. Materials 2022, 15, 4603. [Google Scholar] [CrossRef]
- Cheung, N.; Bertazzoli, R.; Garcia, A. Experimental impurity segregation and numerical analysis based on variable solute distribution coefficients during multi-pass zone refining of aluminum. J. Cryst. Growth 2008, 310, 1274–1280. [Google Scholar] [CrossRef]
- Nakamura, M.; Watanabe, M.; Tanaka, K.; Kirihata, A.; Sumomogi, T.; Hoshikawa, H.; Tanaka, I. Zone Refining of Aluminum and Its Simulation. Mater. Trans. 2014, 55, 664–670. [Google Scholar] [CrossRef]
- Hashimoto, E.; Ueda, Y. Zone Refining of High-Purity Aluminum. Mater. Trans. JIM 1994, 35, 262–265. [Google Scholar] [CrossRef]
- Wan, H.; Zhao, J.; Yang, B.; Xu, B.; Duan, M.; Kong, L.; Dai, Y. Study on the effective distribution coefficient of impurity separation in the preparation of high purity aluminum. J. Mater. Res. Technol.-JmrT 2020, 9, 10366–10376. [Google Scholar] [CrossRef]
- Wan, H.; Xu, B.; Yang, B.; Duan, M.; Yang, J.; Dai, Y.; Kong, L.; Li, Y. Effect of Silicon Separation on the Preparation of High-Purity Aluminum. Silicon 2021, 13, 399–407. [Google Scholar] [CrossRef]
- Ma, Y.; Yasuda, K.; Ido, A.; Shimao, T.; Zhong, M.; Hagiwara, R.; Nohira, T. Silicon Refining by Solidification from Liquid Si-Zn Alloy and Floating Zone Method. Mater. Trans. 2021, 62, 403–411. [Google Scholar] [CrossRef]
- Kozhevnikov, O.E.; Pylypenko, M.M.; Kozhevnikova, M.F. Zone Recrystallization of Zirconium and Hafnium. East Eur. J. Phys. 2021, 1, 55–62. [Google Scholar] [CrossRef]
- He, B.; Wang, W.; Jiang, W.; Xu, B.; Yang, H. Removing of Fe, Pb and Hg from Crude Selenium by Fractional Crystallization. Metals 2023, 13, 739. [Google Scholar] [CrossRef]
- Roumié, M.; Zahraman, K.; Zaiour, A.; Mohanna, Y.; Hage-Ali, M. Study of segregation process of impurities in molten tellurium after one pass of three conjoint zones in zone refining. J. Cryst. Growth 2006, 289, 260–268. [Google Scholar] [CrossRef]
- Shim, M.; Kim, Y.M.; Lee, H.H.; Hong, S.J.; Lee, J.H. Separation behavior of impurities and selenium reduction by the reactive zone refining process using high-frequency induction heating to purify Te. J. Cryst. Growth 2016, 455, 6–12. [Google Scholar] [CrossRef]
- Liu, Y.C.; Moss, R.; Dost, S. A computational thermal analysis for the zone-refining processes of Cd and Te. J. Cryst. Growth 2006, 293, 146–156. [Google Scholar] [CrossRef]
- Prasad, D.S.; Munirathnam, N.R.; Rao, J.V.; Prakash, T.L. Effect of multi-pass, zone length and translation rate on impurity segregation during zone refining of tellurium. Mater. Lett. 2006, 60, 1875–1879. [Google Scholar] [CrossRef]
- Yang, G.; Govani, J.; Mei, H.; Guan, Y.; Wang, G.; Huang, M.; Mei, D. Investigation of influential factors on the purification of zone- refined germanium ingot. Cryst. Res. Technol. 2014, 49, 269–275. [Google Scholar] [CrossRef]
- Wang, S.; Fang, H.S.; Jin, Z.L.; Zhao, C.J.; Zheng, L.L. Integrated analysis and design optimization of germanium purification process using zone-refining technique. J. Cryst. Growth 2014, 408, 42–48. [Google Scholar] [CrossRef]
- Spim, J.A., Jr.; Bernadou, M.J.S.; Garcia, A. Numerical modeling and optimization of zone refining. J. Alloys Compd. 2000, 298, 299–305. [Google Scholar] [CrossRef]
- Ganschow, S.; Klimm, D.; Bertram, R. On the effect of oxygen partial pressure on the chromium distribution coefficient in melt-grown ruby crystals. J. Cryst. Growth 2011, 325, 81–84. [Google Scholar] [CrossRef][Green Version]
- Ren, Y.; Li, J.; Duan, X. Determination of Equilibrium Distribution Coefficients of Impurities in Phosphorus by Vertical Zone-melting Technique. Chin. J. Chem. Eng. 2011, 19, 223–226. [Google Scholar] [CrossRef]
- Solà Cervera, J.L.; Keil, P.; König, A. Determination of Distribution Coefficients in 1-Ethyl-3-Methyl Imidazolium Chloride-Methylimidazole Mixtures by Zone Melting. Chem. Eng. Technol. 2010, 33, 821–826. [Google Scholar] [CrossRef]
- Qi, Y.-B.; Li, J.; Zhou, K.; Luo, J.-H.; Jin, Y.; Wang, B.-M. Study on Segregation Process and Equilibrium Distribution Coefficients of Impurities during Zone Refining of Bibenzyl. Sep. Sci. Technol. 2013, 48, 820–826. [Google Scholar] [CrossRef]
- Rodway, G.H.; Hunt, J.D. Optimizing zone-refining. J. Cryst. Growth 1989, 97, 680–688. [Google Scholar] [CrossRef]
- Qi, Y.; Li, J.; Wang, B.; Zhou, K.; Luo, J.; Ye, C.; Jia, X. Numerical Modeling and Optimization of Zone Refining in High Purification of Bibenzyl. J. Chem. Eng. Jpn. 2012, 45, 571–576. [Google Scholar] [CrossRef]
- Wilcox, W.R.; Friedenberg, R.; Back, N. Zone Melting of Organic Compounds. Chem. Rev. 1964, 64, 187–220. [Google Scholar] [CrossRef]
- Pfann, W.G. Principles of Zone-Melting. J. Met. 1952, 4, 747–753. [Google Scholar] [CrossRef]
- Lord, N.W. Analysis of Molten-Zone Refining. Trans. Am. Inst. Min. Metall. Eng. 1953, 197, 1531–1533. [Google Scholar]
- Reiss, H. Mathematical Methods for Zone-Melting Processes. Trans. Am. Inst. Min. Metall. Eng. 1954, 200, 1053–1059. [Google Scholar] [CrossRef]
- Ghosh, K.; Mani, V.N.; Dhar, S. Numerical study and experimental investigation of zone refining in ultra-high purification of gallium and its use in the growth of GaAs epitaxial layers. J. Cryst. Growth 2009, 311, 1521–1528. [Google Scholar] [CrossRef]
- Kurz, W.; Fisher, D.J. Fundamentals of Solidification; Trans Tech Publications: Aedermannsdorf, Switzerland, 1984; pp. 1–353. [Google Scholar]














| Substances | Content (%) |
|---|---|
| Fluorene | 97.6219 |
| 2-Methylbiphenyl(D) | 0.3146 |
| 4-Methylbiphenyl(E) | 1.3948 |
| 4-Methyldibenzofuran(F) | 0.2456 |
| Dibenzofunan(G) | 0.1062 |
| Effective and Equilibrium Distribution Coefficients of Different Impurities | ||||||
|---|---|---|---|---|---|---|
| Impurity | ke | k0 | R2 | |||
| v = 12 mm·h−1 | v = 18 mm·h−1 | v = 24 mm·h−1 | ||||
| D | 2-Methylbiphenyl | 0.2757 | 0.2971 | 0.3110 | 0.2441 | 0.9828 |
| E | 4-Methylbiphenyl | 0.6577 | 0.7150 | 0.7300 | 0.5850 | 0.9048 |
| F | 4-Methyldibenzofuran | 0.2602 | 0.2710 | 0.2837 | 0.2377 | 0.9985 |
| G | Dibenzofunan | 0.4090 | 0.4557 | 0.4756 | 0.3497 | 0.9473 |
Disclaimer/Publisher’s Note: The statements, opinions and data contained in all publications are solely those of the individual author(s) and contributor(s) and not of MDPI and/or the editor(s). MDPI and/or the editor(s) disclaim responsibility for any injury to people or property resulting from any ideas, methods, instructions or products referred to in the content. |
© 2023 by the authors. Licensee MDPI, Basel, Switzerland. This article is an open access article distributed under the terms and conditions of the Creative Commons Attribution (CC BY) license (https://creativecommons.org/licenses/by/4.0/).
Share and Cite
Shang, Y.; Li, J.; Chen, M. Study on the Purification Effect and Equilibrium Distribution Coefficient of Impurities during Zone Refining of Fluorene. Crystals 2023, 13, 1224. https://doi.org/10.3390/cryst13081224
Shang Y, Li J, Chen M. Study on the Purification Effect and Equilibrium Distribution Coefficient of Impurities during Zone Refining of Fluorene. Crystals. 2023; 13(8):1224. https://doi.org/10.3390/cryst13081224
Chicago/Turabian StyleShang, Yifeng, Jun Li, and Ming Chen. 2023. "Study on the Purification Effect and Equilibrium Distribution Coefficient of Impurities during Zone Refining of Fluorene" Crystals 13, no. 8: 1224. https://doi.org/10.3390/cryst13081224
APA StyleShang, Y., Li, J., & Chen, M. (2023). Study on the Purification Effect and Equilibrium Distribution Coefficient of Impurities during Zone Refining of Fluorene. Crystals, 13(8), 1224. https://doi.org/10.3390/cryst13081224

