Distinguishing the Focal-Conic Fan Texture of Smectic A from the Focal-Conic Fan Texture of Smectic B
Abstract
1. Introduction
2. Materials and Methods
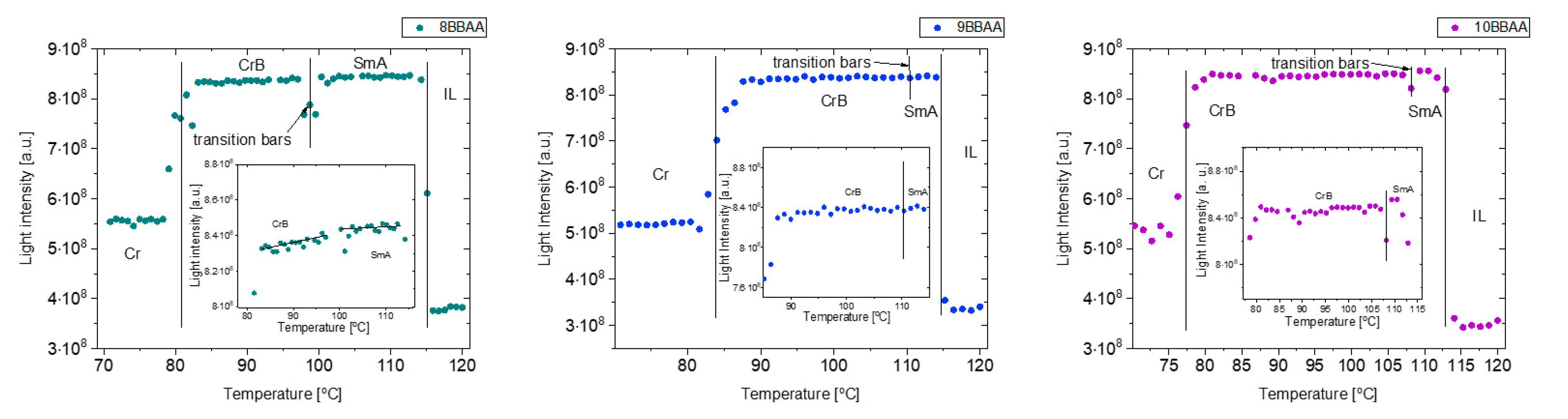
3. Results and Discussion
4. Conclusions
Author Contributions
Funding
Data Availability Statement
Conflicts of Interest
References
- Lavrentovich, O.D. Transport of particles in liquid crystals. Soft Matter 2014, 10, 1264. [Google Scholar] [CrossRef] [PubMed]
- de Gennes, P.G. Soft matter. Science 1992, 256, 495–497. [Google Scholar] [CrossRef]
- Piwowarczyk, M.; Osiecka-Drewniak, N.; Gałązka, M.; Galewski, Z. Synthesis, mesogenic and photoisomerization studies of (E)-4-[(4-pentyloxyphenyl)diazenyl]phenyl alkanoates. Phase Trans. 2019, 92, 1066–1076. [Google Scholar] [CrossRef]
- Cristaldi, J.R.D.; Pennisi, S.; Pulvirenti, P. Liquid Crystal Display Drivers: Techniques and Circuits; Springer: Berlin/Heidelberg, Germany, 2009. [Google Scholar]
- Wang, Z.; Xu, T.; Noel, A.; Chen, Y.C.; Liu, T. Applications of liquid crystals in biosensing. Soft Matter 2021, 17, 4675. [Google Scholar] [CrossRef] [PubMed]
- Lagerwall, J.P.F.; Scalia, G. A new era for liquid crystal research: Applications of liquid crystals in soft matter nano-, bio- and microtechnology. Cur. App. Phys. 2012, 12, 1387–1412. [Google Scholar] [CrossRef]
- Pietrzyk, S.; Yevchenko, T.; Dardas, D.; Brańka, A.C. Phase transitons and physical properties by a color texture analysis: Results for liquid crystals. J. Mol. Liq. 2022, 362, 119699. [Google Scholar] [CrossRef]
- Jasiurkowska-Delaporte, M.; Juszyńska, E.; Kolek, L.; Krawczyk, J.; Massalska-Arodź, M.; Osiecka, N.; Rozwadowski, T. Signatures of glass transition in partially ordered phases. Liq. Cryst. 2013, 40, 1436–1442. [Google Scholar] [CrossRef]
- Poryvai, A.; Bubnov, A.; Pociecha, D.; Svoboda, J.; Kohout, M. The effect of the length of terminal n-alkyl carboxylate chain on self-assembling and photosensitive properties of chiral lactic acid derivatives. J. Mol. Liq. 2019, 275, 829–838. [Google Scholar] [CrossRef]
- Osiecka, N.; Galewski, Z.; Massalska-Arodz, M. TOApy program for the thermooptical analysis of phase transitions. Termochi. Acta 2017, 655, 106–111. [Google Scholar] [CrossRef]
- Orlikowska, H.; Sobolewska, A.; Miniewicz, A.; Bartkiewicz, S. Application of the novel dynamic thermos-optical analysis for identification of the sequence of mesophases in thermotropic liquid crystal. Liq. Cryst. 2017, 44, 1157–1164. [Google Scholar] [CrossRef]
- Sigaki, H.Y.D.; de Souza, R.F.; de Souza, R.T.; Zola, R.S.; Ribeiro, H.V. Estimating physical properties from liquid crystal textures via machine learning and complexity-entropy methods. Phys. Rev. E 2019, 99, 013311. [Google Scholar] [CrossRef]
- Repasky, P.J.; Agra-Kooijman, D.M.; Kumar, S.; Hartley, C.S. Smectic-A and hexatic-B liquid crystal phases of sandic alkyl-substituted dibenzo[fg,op]naphthacenes. J. Phys. Chem. B 2016, 120, 2829–2837. [Google Scholar] [CrossRef] [PubMed]
- Goodby, J.W.; Pindak, R. Characterization of the hexatic B and crystal B phases by optical microscopy. Mol. Cryst. Liq. Cryst. 1981, 75, 233–247. [Google Scholar] [CrossRef]
- Albertini, G.; Fanelli, E.; Melone, S.; Rustichelli, F.; Torquati, G. Evidence by X-ray diffraction for hexatic B and crystal B structures in a pure compound. Solid State Comm. 1984, 49, 1143–1146. [Google Scholar] [CrossRef]
- Pyżuk, W.; Krówczynski, A.; Górecka, E. Novel series of enaminoketone liquid crystals having hexatic smectic B phase. Mol. Cryst. Liq. Cryst. 1993, 237, 75–84. [Google Scholar] [CrossRef]
- Prasa, A.A.B.; Zola, R.A.; Perc, M.; Roberto, H.V. Determining liquid crystals properties with ordinal networks and machine learning. Chaos Solitons Fractals 2022, 154, 111607. [Google Scholar]
- Sigaki, H.Y.D.; Lenzi, E.K.; Zola, R.S.; Perc, M.; Roberto, H.V. Learning physical properties of liquid crystals with deep convolutional neural networks. Scient. Rep. 2020, 10, 7664. [Google Scholar] [CrossRef]
- Dierking, I.; Dominguez, J.; Harbon, J.; Heston, J. Deep learning techniques for the localization and classification of liquid crystals phase transitions. Front. Soft. Matter 2023, 3, 1114551. [Google Scholar] [CrossRef]
- Osiecka, N.; Budziak, A.; Galewski, Z.; Massalska-Arodź, M. X-ray studies of the smectic B phase of the 4-bromobenzylidene-4’-alkoxyanilines. Phase Trans. 2012, 85, 314–321. [Google Scholar] [CrossRef]
- Ojala, T.; Pietikainen, M.; Maenpaa, T. Multiresolution gray-scale and rotation invariant texture classification with local binary patterns. IEEE Trans. Pattern Anal. Mach. Intell. 2002, 24, 971–987. [Google Scholar] [CrossRef]
- Bradski, G. The OpenCV Library. J. Soft. Tools 2000, 120, 122–125. [Google Scholar]
- Massalska-Arodź, M. Scaling in 2-D distribution of topological defects in a liquid crystal. Acta Phys. Pol. A 1998, 94, 41–47. [Google Scholar] [CrossRef]
- Shorten, C.; Khoshgoftaar, T.M. A survey on image data augmentation for deep learning. J. Big Data 2019, 6, 60. [Google Scholar] [CrossRef]
- Galewski, Z.; Coles, H.J. Liquid crystalline properties and phase situations in 4-chlorobenzylidene-4’-alkylanilines. J. Mol. Liq. 1999, 79, 77–87. [Google Scholar] [CrossRef]
- Osiecka, N.; Juszyńska-Gałązka, E.; Galewski, Z.; Jaworska-Golab, T.; Deptuch, A.; Massalska-Arodź, M. Insight into polymorphism of the ethosuximide (ETX). J. Therm. Anal. Cal. 2018, 133, 961–967. [Google Scholar] [CrossRef]
- Chachaj-Brekiesz, A.; Gorska, N.; Osiecka, N.; Dynarowicz-Latka, P. Mesophases of non-convetional liquid crystalline molecules. J. Therm. Anal. Cal. 2016, 126, 689–697. [Google Scholar] [CrossRef]
- Drzewicz, A.; Juszyńska-Gałązka, E.; Deptuch, A.; Kula, P. Effect of alkyl chain length on the phase situation of glass-forming liquid crystals. Crystals 2022, 12, 1401. [Google Scholar] [CrossRef]
- Zhou, H.; Wang, R.; Wang, C. A novel extended local-binary-pattern operator for texture analysis. Inform. Sci. 2008, 178, 4314–4325. [Google Scholar] [CrossRef]
- Qian, X.; Hua, X.S.; Chen, P.; Ke, L. PLBP: AN effective local binary patterns texture descriptor with pyramid representation. Pat. Rec. 2011, 44, 2502–2515. [Google Scholar] [CrossRef]
- Cortes, C.; Vapnik, V. Support-vector network. Mach. Learn. 1995, 20, 273–297. [Google Scholar] [CrossRef]
- Wang, F.; Elbadawi, M.; Liu, S.; Tsilova, S.; Gaisford, A.W.; Basit, M. Parhizkar Machine learning to empower electrohydrodynamic processing. Mat. Scie. Eng. C 2022, 132, 112553. [Google Scholar] [CrossRef] [PubMed]
- Kumari, P.; Basnet, B.; Wang, H.; Lavrentovich, O.D. Ferroelectric nematic liquid with coins. Nat. Commun. 2023, 14, 748. [Google Scholar] [CrossRef] [PubMed]





| Radius | Points | Accuracy | Precision | Recall | ||
|---|---|---|---|---|---|---|
| SmA | CrB | SmA | CrB | |||
| 1 | 4 | 0.66 | 0.74 | 0.60 | 0.55 | 0.79 |
| 1 | 6 | 0.76 | 0.81 | 0.71 | 0.72 | 0.81 |
| 1 | 8 | 0.80 | 0.80 | 0.87 | 0.75 | 0.75 |
| 2 | 8 | 0.81 | 0.81 | 0.86 | 0.77 | 0.78 |
| 2 | 10 | 0.81 | 0.81 | 0.84 | 0.77 | 0.79 |
| 2 | 12 | 0.79 | 0.79 | 0.82 | 0.76 | 0.78 |
| 2 | 14 | 0.83 | 0.83 | 0.86 | 0.80 | 0.82 |
| 2 | 16 | 0.83 | 0.83 | 0.88 | 0.78 | 0.79 |
| 3 | 24 | 0.83 | 0.83 | 0.86 | 0.80 | 0.81 |
| 3 | 20 | 0.84 | 0.84 | 0.87 | 0.80 | 0.82 |
| 3 | 16 | 0.83 | 0.83 | 0.86 | 0.81 | 0.83 |
| 3 | 12 | 0.84 | 0.84 | 0.88 | 0.81 | 0.82 |
| 4 | 26 | 0.84 | 0.84 | 0.88 | 0.81 | 0.82 |
| 4 | 28 | 0.85 | 0.85 | 0.88 | 0.81 | 0.83 |
| 4 | 30 | 0.85 | 0.85 | 0.89 | 0.82 | 0.83 |
| 4 | 32 | 0.85 | 0.85 | 0.87 | 0.84 | 0.85 |
| Radius | Points | Accuracy | Precision | Recall | ||
|---|---|---|---|---|---|---|
| SmA | CrB | SmA | CrB | |||
| 1 | 4 | 0.81 | 0.79 | 0.83 | 0.85 | 0.77 |
| 1 | 6 | 0.86 | 0.90 | 0.82 | 0.81 | 0.91 |
| 1 | 8 | 0.81 | 0.84 | 0.78 | 0.77 | 0.85 |
| 2 | 8 | 0.87 | 0.88 | 0.86 | 0.86 | 0.88 |
| 2 | 10 | 0.85 | 0.86 | 0.83 | 0.83 | 0.86 |
| 2 | 12 | 0.84 | 0.83 | 0.84 | 0.85 | 0.82 |
| 2 | 14 | 0.86 | 0.84 | 0.88 | 0.89 | 0.82 |
| 2 | 16 | 0.87 | 0.88 | 0.86 | 0.86 | 0.87 |
| 3 | 24 | 0.93 | 0.93 | 0.92 | 0.93 | 0.92 |
| 3 | 20 | 0.90 | 0.92 | 0.88 | 0.88 | 0.92 |
| 3 | 16 | 0.91 | 0.92 | 0.89 | 0.89 | 0.92 |
| 3 | 12 | 0.84 | 0.91 | 0.79 | 0.76 | 0.92 |
| 4 | 26 | 0.91 | 0.92 | 0.91 | 0.91 | 0.92 |
| 4 | 28 | 0.89 | 0.91 | 0.86 | 0.86 | 0.92 |
| 4 | 30 | 0.90 | 0.94 | 0.87 | 0.86 | 0.94 |
| 4 | 32 | 0.89 | 0.92 | 0.86 | 0.85 | 0.92 |
| Radius | Points | Accuracy | Precision | Recall | ||
|---|---|---|---|---|---|---|
| SmA | CrB | SmA | CrB | |||
| 1 | 4 | 0.72 | 0.72 | 0.73 | 0.75 | 0.70 |
| 1 | 6 | 0.76 | 0.77 | 0.75 | 0.75 | 0.77 |
| 1 | 8 | 0.82 | 0.84 | 0.81 | 0.8 | 0.85 |
| 2 | 8 | 0.82 | 0.82 | 0.83 | 0.84 | 0.81 |
| 2 | 10 | 0.85 | 0.85 | 0.86 | 0.87 | 0.84 |
| 2 | 12 | 0.85 | 0.84 | 0.85 | 0.86 | 0.83 |
| 2 | 14 | 0.80 | 0.83 | 0.78 | 0.77 | 0.84 |
| 2 | 16 | 0.82 | 0.86 | 0.79 | 0.77 | 0.87 |
| 3 | 24 | 0.90 | 0.87 | 0.93 | 0.93 | 0.86 |
| 3 | 20 | 0.88 | 0.87 | 0.89 | 0.89 | 0.86 |
| 3 | 16 | 0.90 | 0.89 | 0.91 | 0.92 | 0.88 |
| 3 | 12 | 0.86 | 0.86 | 0.86 | 0.87 | 0.86 |
| 4 | 26 | 0.92 | 0.92 | 0.92 | 0.92 | 0.92 |
| 4 | 28 | 0.94 | 0.94 | 0.95 | 0.95 | 0.93 |
| 4 | 30 | 0.91 | 0.92 | 0.91 | 0.91 | 0.92 |
| 4 | 32 | 0.93 | 0.93 | 0.93 | 0.93 | 0.92 |
| Radius | Points | Accuracy | Precision | Recall | ||
|---|---|---|---|---|---|---|
| SmA | CrB | SmA | SmB | |||
| 1 | 4 | 0.68 | 0.76 | 0.63 | 0.53 | 0.83 |
| 1 | 6 | 0.84 | 0.93 | 0.78 | 0.75 | 0.94 |
| 1 | 8 | 0.76 | 0.85 | 0.70 | 0.64 | 0.88 |
| 2 | 8 | 0.80 | 0.82 | 0.79 | 0.79 | 0.82 |
| 2 | 10 | 0.78 | 0.81 | 0.76 | 0.75 | 0.81 |
| 2 | 12 | 0.78 | 0.76 | 0.79 | 0.81 | 0.74 |
| 2 | 14 | 0.82 | 0.80 | 0.84 | 0.86 | 0.78 |
| 2 | 16 | 0.80 | 0.80 | 0.80 | 0.81 | 0.80 |
| 3 | 24 | 0.86 | 0.89 | 0.84 | 0.84 | 0.89 |
| 3 | 20 | 0.85 | 0.85 | 0.85 | 0.85 | 0.84 |
| 3 | 16 | 0.82 | 0.83 | 0.81 | 0.81 | 0.83 |
| 3 | 12 | 0.79 | 0.82 | 0.77 | 0.76 | 0.82 |
| 4 | 26 | 0.84 | 0.88 | 0.81 | 0.80 | 0.89 |
| 4 | 28 | 0.83 | 0.87 | 0.80 | 0.80 | 0.87 |
| 4 | 30 | 0.82 | 0.85 | 0.79 | 0.78 | 0.86 |
| 4 | 32 | 0.79 | 0.83 | 0.76 | 0.75 | 0.84 |
Disclaimer/Publisher’s Note: The statements, opinions and data contained in all publications are solely those of the individual author(s) and contributor(s) and not of MDPI and/or the editor(s). MDPI and/or the editor(s) disclaim responsibility for any injury to people or property resulting from any ideas, methods, instructions or products referred to in the content. |
© 2023 by the authors. Licensee MDPI, Basel, Switzerland. This article is an open access article distributed under the terms and conditions of the Creative Commons Attribution (CC BY) license (https://creativecommons.org/licenses/by/4.0/).
Share and Cite
Osiecka-Drewniak, N.; Galewski, Z.; Juszyńska-Gałązka, E. Distinguishing the Focal-Conic Fan Texture of Smectic A from the Focal-Conic Fan Texture of Smectic B. Crystals 2023, 13, 1187. https://doi.org/10.3390/cryst13081187
Osiecka-Drewniak N, Galewski Z, Juszyńska-Gałązka E. Distinguishing the Focal-Conic Fan Texture of Smectic A from the Focal-Conic Fan Texture of Smectic B. Crystals. 2023; 13(8):1187. https://doi.org/10.3390/cryst13081187
Chicago/Turabian StyleOsiecka-Drewniak, Natalia, Zbigniew Galewski, and Ewa Juszyńska-Gałązka. 2023. "Distinguishing the Focal-Conic Fan Texture of Smectic A from the Focal-Conic Fan Texture of Smectic B" Crystals 13, no. 8: 1187. https://doi.org/10.3390/cryst13081187
APA StyleOsiecka-Drewniak, N., Galewski, Z., & Juszyńska-Gałązka, E. (2023). Distinguishing the Focal-Conic Fan Texture of Smectic A from the Focal-Conic Fan Texture of Smectic B. Crystals, 13(8), 1187. https://doi.org/10.3390/cryst13081187

