Self-Polarization in PbTiO3 Crystals Induced by Chemical Inhomogeneity in the Surface Layer
Abstract
1. Introduction
2. Materials and Methods
2.1. Crystal Growth and Characterization
2.2. AFM/PFM Tests
2.3. Electrical Measurements
2.4. EDX Investigation
2.5. Calculations
3. Results
3.1. Piezoresponse in Nanoscale
3.2. Electric Polarization
3.3. Electromotive Force (T)
3.4. Surface Layer, XPS Studies
3.5. DFT Calculations
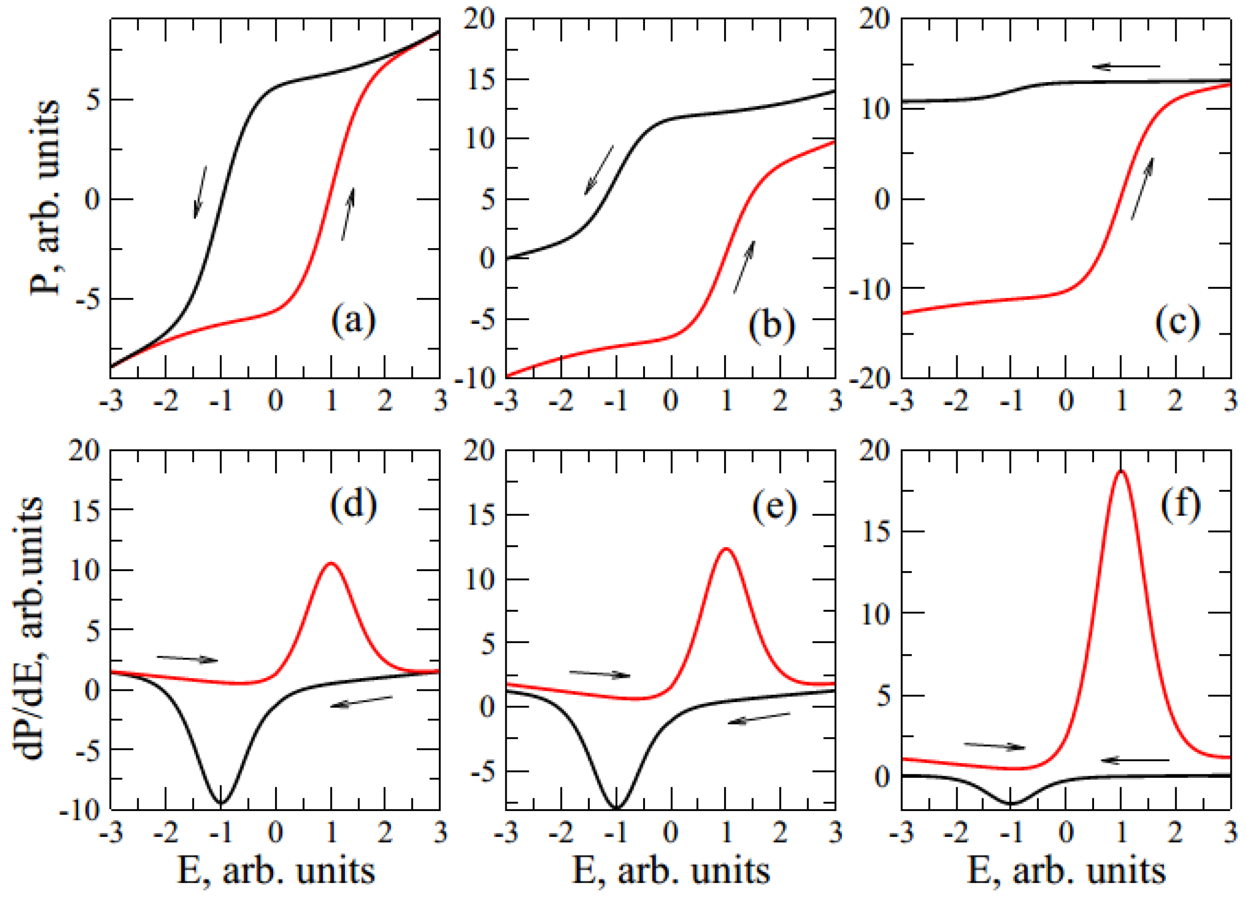
3.6. Model Calculations
4. Discussion
5. Conclusions
Author Contributions
Funding
Data Availability Statement
Acknowledgments
Conflicts of Interest
References
- Waser, R.; Boettger, U.; Tiedke, S. (Eds.) Polar Oxides; Wiley-VCH Verlag GmbH & Co, KgaA: Weinheim, Germany, 2005. [Google Scholar]
- Waser, R.; Dittmann, R.; Staikov, G.; Szot, K. Redox-Based Resistive Switching Memories–Nanoionic Mechanisms, Prospects, and Challenges. Adv. Mater. 2009, 21, 2632–2663. [Google Scholar] [CrossRef]
- Pentcheva, R.; Pickett, W.E. Electronic phenomena at complex oxide interfaces: Insights from first principles. J. Phys. Condens. Matter 2010, 22, 043001. [Google Scholar] [CrossRef] [PubMed]
- Chirila, C.F.; Stancu, V.; Boni, G.A.; Pasuk, I.; Trupina, L.; Filip, L.D.; Radu, C.; Pintilie, I.; Pintilie, L. Controlling polarization direction in epitaxial Pb(Zr0.2Ti0.8)O3 films through Nb (n-type) and Fe (p-type) doping. Sci. Rep. 2022, 12, 755. [Google Scholar] [CrossRef] [PubMed]
- Mtebwa, M.; Setter, N. Control of Self-Polarization in Doped Single Crystalline Pb(Zr0.5Ti0.5)O3 Thin Films. Integr. Ferroelectr. 2022, 230, 148–155. [Google Scholar] [CrossRef]
- Meyer, R.; Liedtke, R.; Waser, R. Oxygen vacancy migration and time-dependent leakage current behavior of Ba0.3Sr0.7TiO3 thin films. Appl. Phys. Lett. 2005, 86, 112904. [Google Scholar] [CrossRef]
- Szot, K.; Speier, W.; Bihlmayer, G.; Waser, R. Switching the electrical resistance of individual dislocations in single crystalline SrTiO3. Nat. Mater. 2006, 5, 312–320. [Google Scholar] [CrossRef]
- Duan, C.-G.; Sabirianov, R.F.; Mei, W.-N.; Jaswal, S.S.; Tsymbal, E.Y. Interface Effect on Ferroelectricity at the Nanoscale. Nano Lett. 2006, 6, 483–487. [Google Scholar] [CrossRef]
- Tybell, T.; Ahn, C.; Triscone, J.-M. Ferroelectricity in thin perovskite films. Appl. Phys. Lett. 1999, 75, 856–858. [Google Scholar] [CrossRef]
- Meyer, B.; Vanderbilt, D. Ab initio study of BaTiO3 and PbTiO3 surfaces in external electric fields. Phys. Rev. B 2001, 63, 205426. [Google Scholar] [CrossRef]
- Watanabe, Y. Theoretical stability of the polarization in a thin semiconducting ferroelectric. Phys. Rev. B 1998, 57, 789–804. [Google Scholar] [CrossRef]
- Junquera, J.; Ghosez, P. Critical thickness for ferroelectricity in perovskite ultrathin films. Nature 2003, 422, 506–509. [Google Scholar] [CrossRef]
- Kim, D.J.; Jo, J.Y.; Kim, Y.S.; Chang, Y.J.; Lee, J.S.; Yoon, J.-G.; Song, T.K.; Noh, T.W. Polarization Relaxation Induced by a Depolarization Field in Ultrathin Ferroelectric BaTiO3 Capacitors. Phys. Rev. Lett. 2005, 95, 237602. [Google Scholar] [CrossRef] [PubMed]
- Gao, P.; Zhang, Z.; Li, M.; Ishikawa, R.; Feng, B.; Liu, H.-J.; Huang, Y.-L.; Shibata, N.; Ma, X.; Chen, S.; et al. Possible absence of critical thickness and size effect in ultrathin perovskite ferroelectric films. Nat. Commun. 2017, 8, 15549. [Google Scholar] [CrossRef] [PubMed]
- Highland, M.J.; Fister, T.T.; Richard, M.-I.; Fong, D.D.; Fuoss, P.H.; Thompson, C.; Eastman, J.A.; Streiffer, S.K.; Stephenson, G.B. Polarization Switching without Domain Formation at the Intrinsic Coercive Field in Ultrathin Ferroelectric PbTiO3. Phys. Rev. Lett. 2010, 105, 167601. [Google Scholar] [CrossRef] [PubMed]
- Fong, D.D.; Kolpak, A.M.; Eastman, J.A.; Streiffer, S.K.; Fuoss, P.H.; Stephenson, G.B.; Thompson, C.; Kim, D.M.; Choi, K.J.; Eom, C.B.; et al. Stabilization of Monodomain Polarization in Ultrathin PbTiO3 Films. Phys. Rev. Lett. 2006, 96, 127601. [Google Scholar] [CrossRef]
- Shin, H.W.; Son, J.Y. Imprinted hysteresis loops and size-reduced ferroelectric polarization nanodots in epitaxial PbTiO3 thin film after heat treatment. Mater. Sci. Eng. B 2022, 276, 115533. [Google Scholar] [CrossRef]
- Miao, P.; Zhao, Y.; Luo, N.; Zhao, D.; Chen, A.; Sun, Z.; Guo, M.; Zhu, M.; Zhang, H.; Li, Q. Ferroelectricity and Self-Polarization in Ultrathin Relaxor Ferroelectric Films. Sci. Rep. 2016, 6, 19965. [Google Scholar] [CrossRef]
- Kalinin, S.V.; Kim, Y.; Fong, D.D.; Morozovska, A.N. Surface-screening mechanisms in ferroelectric thin films and their effect on polarization dynamics and domain structures. Rep. Prog. Phys. 2018, 81, 036502. [Google Scholar] [CrossRef]
- Malashevich, A.; Marshall, M.S.J.; Visani, C.; Disa, A.S.; Xu, H.; Walker, F.J.; Ahn, C.H.; Ismail-Beigi, S. Controlling Mobility in Perovskite Oxides by Ferroelectric Modulation of Atomic-Scale Interface Structure. Nano Lett. 2018, 18, 573–578. [Google Scholar] [CrossRef]
- Wojcik, K. Electrical properties of PbTiO3 single crystals doped with lanthanum. Ferroelectrics 1989, 99, 5–12. [Google Scholar] [CrossRef]
- Pan, Z.; Jiang, X.; Chen, J.; Hu, L.; Yamamoto, H.; Zhang, L.; Fan, L.; Fan, X.; Li, Y.-W.; Li, G.; et al. Large spontaneous polarization in polar perovskites of PbTiO3–Bi(Zn½Ti½)O3. Inorg. Chem. Front. 2018, 5, 1277–1281. [Google Scholar] [CrossRef]
- Yan, Y.; Zhou, J.E.; Maurya, D.; Wang, Y.U.; Priya, S. Giant piezoelectric voltage coefficient in grain-oriented modified PbTiO3 material. Nat. Commun. 2016, 7, 13089. [Google Scholar] [CrossRef] [PubMed]
- Sarott, F.; Rossell, M.D.; Fiebig, M.; Trassin, M. Multilevel polarization switching in ferroelectric thin films. Nat. Commun. 2022, 13, 3159. [Google Scholar] [CrossRef]
- Chaupatnaik, A.; Barpanda, P. Perovskite lead-based oxide anodes for rechargeable batteries. Electrochem. Commun. 2021, 127, 107038. [Google Scholar] [CrossRef]
- Szade, J.; Psiuk, B.; Pilch, M.; Waser, R.; Szot, K. Self-neutralization via electroreduction in photoemission from SrTiO3 single crystals. Appl. Phys. A 2009, 97, 449–454. [Google Scholar] [CrossRef]
- Molak, A.; Pawełczyk, M.; Kubacki, J.; Szot, K. Nano-scale chemical and structural segregation induced in surface layer of NaNbO3 crystals with thermal treatment at oxidising conditions studied by XPS, AFM, XRD, and electric properties tests. Phase Transit. 2009, 82, 662–682. [Google Scholar] [CrossRef]
- Bruchhaus, R.; Pitzer, D.; Primig, R.; Schreiter, M.; Wersing, W.; Neumann, N.; Hess, N.; Vollheim, J.; Köhler, R.; Simon, M. A 11 × 6 element pyroelectric detector array utilizing self-polarized PZT thin films grown by sputtering. Integr. Ferroelectr. 1997, 17, 369–376. [Google Scholar] [CrossRef]
- Afanasjev, V.P.; Petrov, A.A.; Pronin, I.P.; Tarakanov, E.A.; Kaptelov, E.J.; Graul, J. Polarization and self-polarization in thin PbZr1-xTixO3 (PZT) films. J. Phys. Condens. Matter 2001, 13, 8755. [Google Scholar] [CrossRef]
- Pronin, I.P.; Kaptelov, E.Y.; Tarakanov, E.A.; Shaplygina, T.A.; Afanas’ev, V.P.; Pankrashkin, A.V. Self-polarization and migratory polarization in thin lead zirconate-titanate films. Phys. Solid State 2002, 44, 769–773, translated from Fiz. Tverd. Tela, 2002, 44, 739. [Google Scholar] [CrossRef]
- Lee, J.; Ramesh, R.; Keramidas, V.G.; Warren, W.L.; Pike, G.E.; Evans, J.T. Imprint and oxygen deficiency in (Pb,La)(Zr,Ti)O3 thin-film capacitors with La-Sr-Co-O electrodes. Appl. Phys. Lett. 1995, 66, 1337–1339. [Google Scholar] [CrossRef]
- Szot, K.; Speier, W. Self Polarisation of ABO3 Perowskites (1997–2001). European Patent No. EP0825160, 25 February 1998. [Google Scholar]
- Osipov, V.V.; Kiselev, D.A.; Kaptelov, E.Y.; Senkevich, S.V.; Pronin, I.P. Internal field and self-polarization in lead zirconate titanate thin films. Phys. Solid State 2015, 57, 1793–1799. [Google Scholar] [CrossRef]
- Zhong, W.L.; Jiang, B.; Zhang, P.L.; Ma, J.M.; Cheng, H.M.; Yang, Z.H. Phase transition in PbTiO3 ultrafine particles of different sizes. J. Phys. Condens. Matter 1993, 5, 2619. [Google Scholar] [CrossRef]
- Behera, R.K.; Hinojosa, B.B.; Sinnott, S.B.; Asthagiri, A.; Phillpot, S.R. Coupling of surface relaxation and polarization in PbTiO3 from atomistic simulation. J. Phys. Condens. Matter 2008, 20, 395004. [Google Scholar] [CrossRef]
- Fontana, M.D.; Abdi, F.; Wójcik, K. Electro-optical properties of a single domain PbTiO3 crystal. J. Appl. Phys. 1995, 77, 2102–2106. [Google Scholar] [CrossRef]
- Gavrilyachenko, V.G.; Spinko, R.I.; Martynenko, M.A.; Fesenko, E.G. Spontaneous Polarization and Coercive Field of Lead Titanate. Sov. Phys. Solid State 1970, 12, 1203. [Google Scholar]
- Kwapuliński, J.; Kusz, J.; Böhm, H.; Dec, J. Thermal vibrations in PbTiO3 single crystals. J. Phys. Condens. Matter 2005, 17, 1825–1830. [Google Scholar] [CrossRef]
- Cai, M.-Q.; Tang, C.-H.; Tan, X.; Deng, H.-Q.; Hu, W.-Y.; Wang, L.-L.; Wang, Y.-G. First-principles study for the atomic structures and electronic properties of PbTiO3 oxygen-vacancies (001) surface. Surf. Sci. 2007, 601, 5412–5418. [Google Scholar] [CrossRef]
- Szot, K.; Pawelczyk, M.; Herion, J.; Freiburg, C.; Albers, J.; Waser, R.; Hulliger, J.; Kwapulinski, J.; Dec, J. Nature of the surface layer in ABO3-type perovskites at elevated temperatures. Appl. Phys. A 1996, 62, 335–343. [Google Scholar] [CrossRef]
- Wójcik, K. The influence of point defects on selected properties of PbTiO3 crystals. Ferroelectrics 1988, 82, 25–35. [Google Scholar] [CrossRef]
- Wójcik, K.; Ujma, Z. Nonstoichiometry and optical absorption in PbZrO3 and PbTiO3 single crystals. Ferroelectrics 1989, 89, 133–142. [Google Scholar] [CrossRef]
- Wójcik, K. Wpływ Defektów sieci Krystalicznej na Właściwości Optyczne i Fotoelektryczne Niektórych Materiałów o Strukturze typu Perowskitu. Habilitation Thesis, University of Silesia, Katowice, Poland, 1990. (In Polish). [Google Scholar]
- Fesenko, E.G. Semejstwo Perovskita i Segnetoelektriczestvo (Perovskite Family and Ferroelectricity); Atomizdat: Moscow, Russia, 1972. [Google Scholar]
- Fridkin, V.M. Ferroelecrics—Semiconductors; Chapters 5 and 6; Plenum Publishing Corp: New York, NY, USA, 1980. [Google Scholar]
- Jubindo, M.A.P.; Tello, M.J.; Fernandez, J. A new method for measuring the ferroelectric behaviour of crystals at low frequencies. J. Phys. D Appl. Phys. 1981, 14, 2305. [Google Scholar] [CrossRef]
- Wu, Z.; Cohen, R.E. More accurate generalized gradient approximation for solids. Phys. Rev. B 2006, 73, 235116. [Google Scholar] [CrossRef]
- Wortmann, D.; Michalicek, G.; Baadji, N.; Betzinger, M.; Bihlmayer, G.; Bröder, J.; Burnus, T.; Enkovaara, J.; Freimuth, F.; Friedrich, C.; et al. Fleur. Zenodo. 2023. Available online: https://doi.org/10.5281/zenodo.7576163 (accessed on 18 July 2023).
- Bratkovsky, A.M.; Levanuk, A.P. Continuous Theory of Ferroelectric States in Ultrathin Films with Real Electrodes. J. Comput. Theor. Nanosci. 2009, 6, 465–489. [Google Scholar] [CrossRef]
- Stephanovich, V.A.; Lukyanchuk, I.A.; Karkut, M.G. Domain-Enhanced Interlayer Coupling in Ferroelectric/Paraelectric Superlattices. Phys. Rev. Lett. 2005, 94, 047601. [Google Scholar] [CrossRef]
- Tagantsev, A.K.; Gerra, G. Interface-induced phenomena in polarization response of ferroelectric thin films. J. Appl. Phys. 2006, 100, 051607. [Google Scholar] [CrossRef]
- Lifshitz, E.M.; Pitaevskii, L.P. Electrodynamics of Continuous Media; Butterworth-Heinemann: Oxford, UK, 1984. [Google Scholar]
- Agranovich, V.M.; Ginzburg, V.L. Crystal Optics with Spatial Dispersion and Excitons; Springer: Berlin, Germany, 1984. [Google Scholar]
- Steinbach, I. Phase-field models in materials science. Model. Simul. Mater. Sci. Eng. 2009, 17, 073001. [Google Scholar] [CrossRef]
- Kirichenko, E.V.; Stephanovich, V.A. Physical properties of ferroelectric film with continuous space charge distribution. Phase Transit. 2014, 87, 1165–1173. [Google Scholar] [CrossRef]
- Abe, K.; Yanase, N.; Yasumoto, T.; Kawakubo, T. Nonswitching Layer Model for Voltage Shift Phenomena in Heteroepitaxial Barium Titanate Thin Films. Jpn. J. Appl. Phys. 2002, 41, 6065. [Google Scholar] [CrossRef]
- Rolofs, A.; Szot, K.; Waser, R. Domain Switching and Self-Polarization in Perovskite Thin Films; Chapter VI in Nanoscale Phenomena in Ferrolectrics Thin Films; Hong, S., Ed.; Kluwer Academic Publishers: Alphen aan den Rijn, The Netherlands, 2004. [Google Scholar]
- Fontana, M.; Idrissi, H.; Wojcik, K. Displacive to Order-Disorder Crossover in the Cubic-Tetragonal Phase Transition of PbTiO3. Europhys. Lett. 1990, 11, 419. [Google Scholar] [CrossRef]
- Dai, X.H.; Li, Z.; Xu, X.Z.; Chan, S.-K.; Lam, D.J. Dielectric frequency dispersion behavior in flux grown PbTiO3 single crystals. Ferroelectrics 1992, 135, 39–48. [Google Scholar] [CrossRef]
- Li, Z.; Grimsditch, M.; Foster, C.M.; Chan, S.-K. Dielectric and elastic properties of ferroelectric materials at elevated temperature. J. Phys. Chem. Solids 1996, 57, 1433–1438. [Google Scholar] [CrossRef]
- Kakuta, K.; Tsurumi, T.; Fukunaga, O. Dielectric Property of Flux-Grown PbTiO3 Single Crystal. Jpn. J. Appl. Phys. 1995, 34, 5341. [Google Scholar] [CrossRef]
- He, C.; Wang, Z.; Li, X.; Yang, X.; Long, X.; Ye, Z.-G. Self-polarized high piezoelectricity and its memory effect in ferroelectric single crystals. Acta Mater. 2017, 125, 498–505. [Google Scholar] [CrossRef]
- Bhatti, H.S.; Hussain, S.T.; Khan, F.A.; Hussain, S. Synthesis and induced multiferroicity of perovskite PbTiO3; a review. Appl. Surf. Sci. 2016, 367, 291–306. [Google Scholar] [CrossRef]
- Pressley, L.A.; Sinha, M.; Vivanco, H.K.; Chamorro, J.; Das, S.; Ramesh, R.; McQueen, T.M. Optimization of PbTiO3 Single Crystals with Flux and Laser Floating Zone Method. Cryst. Growth Des. 2022, 22, 5629–5638. [Google Scholar] [CrossRef]
- Bollmann, W.; Wehrhan, G. Lattice disorder and optical absorption of PbTiO3 crystals. Cryst. Res. Technol. 1984, 19, 85–91. [Google Scholar] [CrossRef]
- Dobrikov, A.A.; Presnyakova, O.V.; Zaitsev, V.I.; Prisedskii, V.V.; Pan’ko, G.F. Investigation of PbTiO3 crystal lattice defects by transmission electron microscopy. Krist. Technik 1980, 15, 207–212. [Google Scholar] [CrossRef]
- Prisedskii, W.W.; Komarow, W.P.; Panko, G.F.; Dobrikow, A.A.; Klimow, W.W. Spreaded defects and nonstoichiometry of perovskite-type oxides. Dokl. A.N. SSSR Chimiia 1979, 247, 620. [Google Scholar]
- Prisedsky, V.V.; Pan’ko, G.F.; Klimov, V.V. Linear and planar faults in electron microscopic structures of PZT crystals. Ferroelectrics 1985, 64, 257–273. [Google Scholar] [CrossRef]
- Arredondo, M.; Weyland, M.; Hambe, M.; Ramasse, Q.M.; Munroe, P.; Nagarajan, V. Chemistry of Ruddlesden–Popper Planar Faults at a Ferroelectric–Ferromagnet Perovskite Interface. J. Appl. Phys. 2011, 109, 084101. [Google Scholar] [CrossRef]
- Krakauer, H.; Posternak, M.; Freeman, A.J. Linearized augmented plane-wave method for the electronic band structure of thin films. Phys. Rev. B 1979, 19, 1706–1719. [Google Scholar] [CrossRef]
- Miller, S.L.; Nasby, R.D.; Schwank, J.R.; Rodgers, M.S.; Dressendorfer, P.V. Device modeling of ferroelectric capacitors. J. Appl. Phys. 1990, 68, 6463–6471. [Google Scholar] [CrossRef]
- Ujma, Z.; Handerek, J. The influence of defects in the Pb and O sub-lattices on dielectric properties and phase transitions in PbZrO3. J. Phase Transit. 1983, 3, 121–130. [Google Scholar] [CrossRef]
- Ujma, Z.; Hańderek, J. The pyroelectric effect in single crystal and ceramic PbZrO3. Ferroelectrics 1981, 33, 37–42. [Google Scholar] [CrossRef]
- Ujma, Z.; Hańderek, J. Space-charge polarization and phase transitions in lead zirconate. Phase Transit. 1980, 1, 363–376. [Google Scholar] [CrossRef]
- Kobayashi, Y.; Egawa, T.; Tamura, S.; Imanaka, N.; Adach, G.-Y. Trivalent Al3+ Ion Conduction in Aluminum Tungstate Solid. Chem. Mater. 1997, 9, 1649–1654. [Google Scholar] [CrossRef]
- Imanaka, N.; Kobayashi, Y.; Fujiwara, K.; Asano, T.; Okazaki, Y.; Adach, G.-Y. Trivalent Rare Earth Ion Conduction in the Rare Earth Tungstates with the Sc2(WO4)3-Type Structure. Chem. Mater. 1998, 10, 2006–2012. [Google Scholar] [CrossRef]
- Thangadurai, V.; Weppner, W. Determination of the Sodium Ion Transference Number of the Dion-Jacobson Type Layered Perovskite NaCa2Nb3O10 Using AC Impedance and DC Methods. Chem. Mater. 2002, 14, 1136–1143. [Google Scholar] [CrossRef]
- Ahn, C.H.; Rabe, K.M.; Triscone, J.-M. Ferroelectricity at the nanoscale: Local polarization in oxide thin films and heterostructures. Science 2004, 303, 488–491. [Google Scholar] [CrossRef]
- Morozovska, A.N.; Eliseev, E.A.; Glinchuk, M.D. Size effects and depolarization field influence on the phase diagrams of cylindrical ferroelectric nanoparticles. Physica B 2007, 387, 358–366. [Google Scholar] [CrossRef]
- Kubacki, J.; Molak, A.; Rogala, M.; Rodenbücher, C.; Szot, K. Metal–insulator transition induced by non-stoichiometry of surface layer and molecular reactions on single crystal KTaO3. Surf. Sci. 2012, 606, 1252–1262. [Google Scholar] [CrossRef]
- Garrity, K.; Kakekhani, A.; Kolpak, A.; Ismail-Beigi, S. Ferroelectric surface chemistry: First-principles study of the PbTiO3 surface. Phys. Rev. B 2013, 88, 045401. [Google Scholar] [CrossRef]
- Bennett, J.W.; Grinberg, I.; Rappe, A.M. New Highly Polar Semiconductor Ferroelectrics through d8 Cation-O Vacancy Substitution into PbTiO3: A Theoretical Study. J. Am. Chem. Soc. 2008, 130, 17409–17412. [Google Scholar] [CrossRef] [PubMed]
- Genenko, Y.A. Space-charge mechanism of aging in ferroelectrics: An analytically solvable two-dimensional model. Phys. Rev. B 2008, 78, 214103. [Google Scholar] [CrossRef]
- Zimmer, M.; Junquera, J.; Ghosez, P. Fundamental Physics of Ferroelectrics. In Proceedings of the AIP Conference Proceedings, Washington, DC, USA, 3–6 February 2002; Cohen, R.E., Ed.; AIP: College Park, MD, USA, 2002; Volume 626, p. 232. [Google Scholar]
- Ghosez, P.; Michenaud, J.P.; Gonze, X. Dynamical atomic charges: The case of ABO3 compounds. Phys. Rev. B 1998, 58, 6224–6240. [Google Scholar] [CrossRef]
- Kobertz, D.; Müller, M.; Molak, A. Vaporization and Caloric Studies on Lead Titanate. Calphad 2014, 46, 62–79. [Google Scholar] [CrossRef]


















Disclaimer/Publisher’s Note: The statements, opinions and data contained in all publications are solely those of the individual author(s) and contributor(s) and not of MDPI and/or the editor(s). MDPI and/or the editor(s) disclaim responsibility for any injury to people or property resulting from any ideas, methods, instructions or products referred to in the content. |
© 2023 by the authors. Licensee MDPI, Basel, Switzerland. This article is an open access article distributed under the terms and conditions of the Creative Commons Attribution (CC BY) license (https://creativecommons.org/licenses/by/4.0/).
Share and Cite
Stephanovich, V.A.; Rodenbücher, C.; Pilch, M.; Szade, J.; Molak, A.; Bihlmayer, G.; Szot, K. Self-Polarization in PbTiO3 Crystals Induced by Chemical Inhomogeneity in the Surface Layer. Crystals 2023, 13, 1155. https://doi.org/10.3390/cryst13081155
Stephanovich VA, Rodenbücher C, Pilch M, Szade J, Molak A, Bihlmayer G, Szot K. Self-Polarization in PbTiO3 Crystals Induced by Chemical Inhomogeneity in the Surface Layer. Crystals. 2023; 13(8):1155. https://doi.org/10.3390/cryst13081155
Chicago/Turabian StyleStephanovich, Vladimir A., Christian Rodenbücher, Michal Pilch, Jacek Szade, Andrzej Molak, Gustav Bihlmayer, and Krzysztof Szot. 2023. "Self-Polarization in PbTiO3 Crystals Induced by Chemical Inhomogeneity in the Surface Layer" Crystals 13, no. 8: 1155. https://doi.org/10.3390/cryst13081155
APA StyleStephanovich, V. A., Rodenbücher, C., Pilch, M., Szade, J., Molak, A., Bihlmayer, G., & Szot, K. (2023). Self-Polarization in PbTiO3 Crystals Induced by Chemical Inhomogeneity in the Surface Layer. Crystals, 13(8), 1155. https://doi.org/10.3390/cryst13081155

