Abstract
Even though substantial advances made in the device configuration of the frontal layers of the superstrate cadmium telluride (CdTe) solar cell device have contributed to conversion efficiency, unresolved challenges remain in regard to controlling the self-compensation and minority carrier recombination at the back contact that limits the efficiency. In this study, a SCAPS-1D simulator was used to analyze the loss mechanism and performance limitations due to the band-bending effect upon copper chloride treatment and subsequent Cu2Te layer formation as the back contact buffer layer. The optimal energy bandgap range for the proposed back surface layer of Cu2Te is derived to be in the range of 1.1 eV to 1.3 eV for the maximum conversion efficiency, i.e., around 21.3%. Moreover, the impacts of absorber layer’s carrier concentration with respect to CdTe film thickness, bandgap, and operational temperature are analyzed. The optimized design reveals that the acceptor concentration contributes significantly to the performance of the CdTe devices, including spectral response. Consequently, the optimized thickness of the CdTe absorber layer with a Cu-based back contact is found to be 2.5 µm. Moreover, the effect of temperature ranging from 30 °C to 100 °C as the operating condition of the CdTe thin-film solar cells is addressed, which demonstrates an increasing recombination tread once the device temperature exceeds 60 °C, thus affecting the stability of the solar cells.
1. Introduction
In the last decade, the efficiency of cadmium telluride (CdTe) solar cells has grown from 16.7% to 22.1% [1]. Given that CdTe grains are 1000 times smaller than silicon grains, the CdTe device performance is substantially greater than ideal polycrystalline gallium arsenide cells at 18.4% and close to the record for multi-crystalline silicon cells, at 22.3% [2]. In recent years, various types of CdTe nanoparticles were prepared through organometallic routes [3,4,5]. Despite CdTe’s rapid growth rate and high defect density, the addition of chlorine to CdTe has contributed to the superior CdTe device performance [6]. The chlorine inclusion typically enhanced doping potential, carrier lifetime, and mobility within CdTe grains, grain boundaries, and at the absorber’s frontal interface [7]. However, there are no reports on the reduction in recombination at grain boundaries using CdCl2 [8]. Copper (Cu) inclusion, on the other hand, has been recognized as the most effective dopant for increasing hole concentration and improving ohmic contact in superstrate CdTe thin films [9]. Recent studies on the CuCl2 treatment using optimum Cu concentration indicated a reduction in deep defects, trap state levels, and recombination velocity, which was reduced by some orders of magnitude due to the high permeability of Cu ions at grain boundaries [10]. Moreover, many other p-type alternatives, such as Te, SbxTe, MoxO, TixSe, Cu9S5, etc. [11,12,13], have been used to form ohmic contacts that also improved the contact electrodes; however, such buffer layers could not be stable and optimal as much as long-established Cu inclusive layers, due to their different shortcomings [14]. Metal oxides, for example, have a high work function but poor electrical conductivity, and inefficient Cu ions cause impaired stability using some of the specified buffers. Accordingly, CuCl2 is demonstrated as a beneficial treatment in the optimization of the back contact performance by removing the oxides and forming a tellurium-rich p+ Cu2Te layer [15]. Indirectly doped narrow-gap Cu2Te has a low resistance, relatively high mobility, and hole concentration. Experiments on the fabrication of a CdTe/Cu2Te heterostructure highlighted the formation of a short band offset at the CdTe/Cu2Te junction, making Cu2Cl a practical and beneficial doping and treatment strategy for improving the efficiency of CdTe thin films [16,17]. Full device performance was also reported with up to 19% efficiency after Cu2Cl treatment, resulting from the reduced recombination rate at the CdTe bulk and front, as well as the rear interface [18]. In addition, while multiple possible interactions can occur simultaneously and increase the complexity of the analysis at the experimental scale, it is essential to develop the proposed thin film layouts and study the particular response where at least part of the mechanisms can be maintained as constant [19]. Simulation or numerical modeling as an imperative tool enables designing and analyzing the performance of the solar cells, particularly thin-film solar cells. It eliminates the prototypes’ production cost by enabling all parameters to be modified in the modeling scale [20]. There have been reports of utilizing PC1D, DFT, wxAMPS, MATLAB, AFORS-HET, SILVACO, and Solar Cell Capacitance Simulator (SCAPS 1D) to model Cu integration in CdTe thin film devices [21,22,23]. The suggested thin films’ electron properties cannot be accurately estimated by any of the aforementioned tools; thus, SCAPS-1D is employed, with a focus on the importance of the back surface field (BSF) [24]. SCAPS-1D originally created at the University of Ghent for detailed numerical and analytical modeling of thin film technology, primarily for CdTe and CIGS thin-film solar cells [25]. The recent findings employing SCAPS to investigate the effect of Cu doping on the performance of CdTe thin films verify the model outputs’ compliance with empirically obtained results [26,27]. Moreover, the initial Fermi level offset (IFLO) concept has newly been raised by comprehensive analysis using SCAPS, which may assist doping levels in CdTe and the back contact material to be fully addressed rather than simply utilizing the valance band offset (VBO) [28]. The key advantage of adopting SCAPS-1D is the ability to analyze the characteristics of solar cells by using an existing database. It also generates data based on the operating temperature and displays recombination profiles. SCAPS-1D calculates the steady-state energy band, recombination pattern, and carrier transport, using the Poisson and hole–electron continuity equations [29]. The Shockley–Read–Hall (SRH) model is used to determine recombination currents for bulk defects. Thereby, in this study, SCAPS modeling is carried out with the primary focus on the CuCl2 doping function and formation of Cu2Te in accordance with the IFLO concept. Ultimately, the maximum possible yield of the final proposed device, as well as the impact of layer-based constraints, is presented.
2. Methodology
SCAPS modeling is used here to analyze the charge-carrier transport and the effects of doping effect on electrical output parameters of the CdTe thin-film solar cell. Following the latest available literature on the most efficient CdTe solar cell with explicit fabrication instructions [30], the CdTe thin-film structure is proposed. To account for the possible recombination at the Magnesium-doped zinc oxide (MZO)/CdTe interface, reasonable neutral interface defects are defined and the Shockley–Read–Hall (SRH) model is used to calculate recombination currents for bulk defects. Moreover, a fluorine-doped tin oxide (FTO) transparent conductive layer serves as the front contact in the proposed configuration, and silver (Ag) with a work function of 4.6 eV is inserted to complete the proposed thin-film structure as the device’s output terminal. The complete information of the entire parameters exploited in this simulation is presented in Table 1.
Table 1.
Materials parameter used in SCAPS simulation.
The CdTe superstrate device structure consists of an n-MZO/p-CdTe heterojunction with an n-type and p-type doping concentration of 1 × 1018 cm−3 and 2 × 1014 cm−3, respectively, as schematized in Figure 1a. For the CdTe absorber layer, the thickness was varied between 0.5 µm and 5.0 μm; meanwhile, the bandgap of CdTe layer varied from 1.4 eV to 1.5 eV, corresponding to the acceptor-carrier concentration. The thicknesses for the FTO layer and MZO layer were maintained at 300 nm and 100 nm, respectively, for all cases, in accord with the previous studies [30]. Furthermore, the donor density, ND, was fixed at 1.0 × 1018 cm−3, while the acceptor density, NA, ranged from 1.0 × 1013 cm−3 to 1.0 × 1018 cm−3 following the changes in doping concentration.
Figure 1.
(a) CdTe device structure and (b) SCAPS simulation startup panel.
The SCAPS software interface is shown in Figure 1b. The dashboard panel consists of a sequence of operations. A basic thin-film-solar-cells model by default was used to obtain the temperature dependence of the effective charge density of states and thermal velocity. However, bandgap settings and electron mobility parameters are temperature independent. During the simulation, the modeled device was illuminated with an AM1.5 incident irradiance of 1000 W/m2 in a room-temperature environment. In addition, to ensure the accuracy of the outputs, the optical or absorption data recorded in the experimental literature utilizing UV–Vis (Lambda-1050), (PerkinElmer, Waltham, MA, USA), were employed, and only electrical aspects were analyzed in the present modeling [36,37]. Figure 2 depicts the intrinsic energy band of the included thin films. The band offset arrows are shown to specify the carrier movements in both valence bands (VBs) and conduction bands (CBs). Similarly, as coupled with the CdTe layer, the positive initial Fermi level offset (IFLO) displays a lower Fermi level, and the negative IFLO represents a higher Fermi level. The placements of the CB and VB at the frontal layers are estimated to be ideal with a 0.3 eV barrier height [38].
Figure 2.
Energy band alignments of the non-interacting layers in CdTe thin film.
The Poisson’s continuity equation is a primary equation used in this modeling to elucidate the significance of electrostatic charge potential and to determine the conservation of the carrier transport performance in the device [39], as given as in Equation (1):
where is the vacuum permittivity; is the absolute permittivity; is the electrostatic potential; is the elementary charge; ND and NA are the donor and the acceptor concentration respectively; and is the density defect. From this equation, the simulation analysis can distinguish the current–voltage characteristics based on the proposed structure and defined parameters. Moreover, the bias QE is an efficient method for qualitatively evaluating the built-in potential strength and back barrier heights [40], as shown in Equation (2):
where JF, Rs, and n stand for forward current, shunt resistance, and diode quality factor. Ultimately, SCAPS was used in this research to assess the role of device performance after CuCl2 doping and to improve the absorber’s essential criteria for optimal device development, rather than relying entirely on complex experimental procedures.
3. Results and Discussion
Cu doping into the back-contact by CuCl2 treatment approach is a common method to grow a p+ buffer between the p−CdTe and the metal electrode, as well as increasing carrier transport at the rear surface, resulting in the formation of an ohmic contact in CdTe thin films [41]. Excessive Cu+ diffusion into p-n junctions along grain boundaries, as well as the rapid formation of recombination centers, leads to shorter carrier lifetimes and low stability, making Cu-base back contact generation highly complex [42]. Thereby, the band energy of the generated buffer, doping concentration, and CdTe layer thickness are the most significant aspects in preventing Cu+ over diffusion into the bulk of the p-n junction [43]. The band-alignment plot shown in Figure 2 was based on charge-neutrality levels to establish a general scheme of energy-band alignments for materials with strong chemical bonds such as oxides and compound semiconductors in line with previous studies [44]. In the case of non-interacting thin film layers, the energy-band alignment at the interfaces can be described using the Schottky–Mott (SM) model in SCAPS, which assumes that the layers are separated by a thin insulating layer [45]. According to this model, the Fermi level of each layer will adjust to maintain charge neutrality, and the resulting band alignment will depend on the relative work functions of the two materials presented in Section 3.1. Moreover, when materials are exposed to ionizing radiations, they can undergo partial aging due to the formation of point defects, which alter the material’s electrical characteristics, particularly the Eg [46]. Reasonable neutral interface defects are defined, and the Shockley–Read–Hall (SRH) model is used to calculate recombination currents for bulk defects. Moreover, accuracy in band alignment is achieved in this study by defining experimental data as thin film properties in SCAPS. Herein, the significance of the defined 2 nm [47] Te:Cu surface’s band energy upon overall device performance is explored, followed by the evaluation of essential attributes for the development of Cu- back-contact-based CdTe device.
3.1. Effect of Te:Cu Band Offset on the Performance of CdTe Thin Films
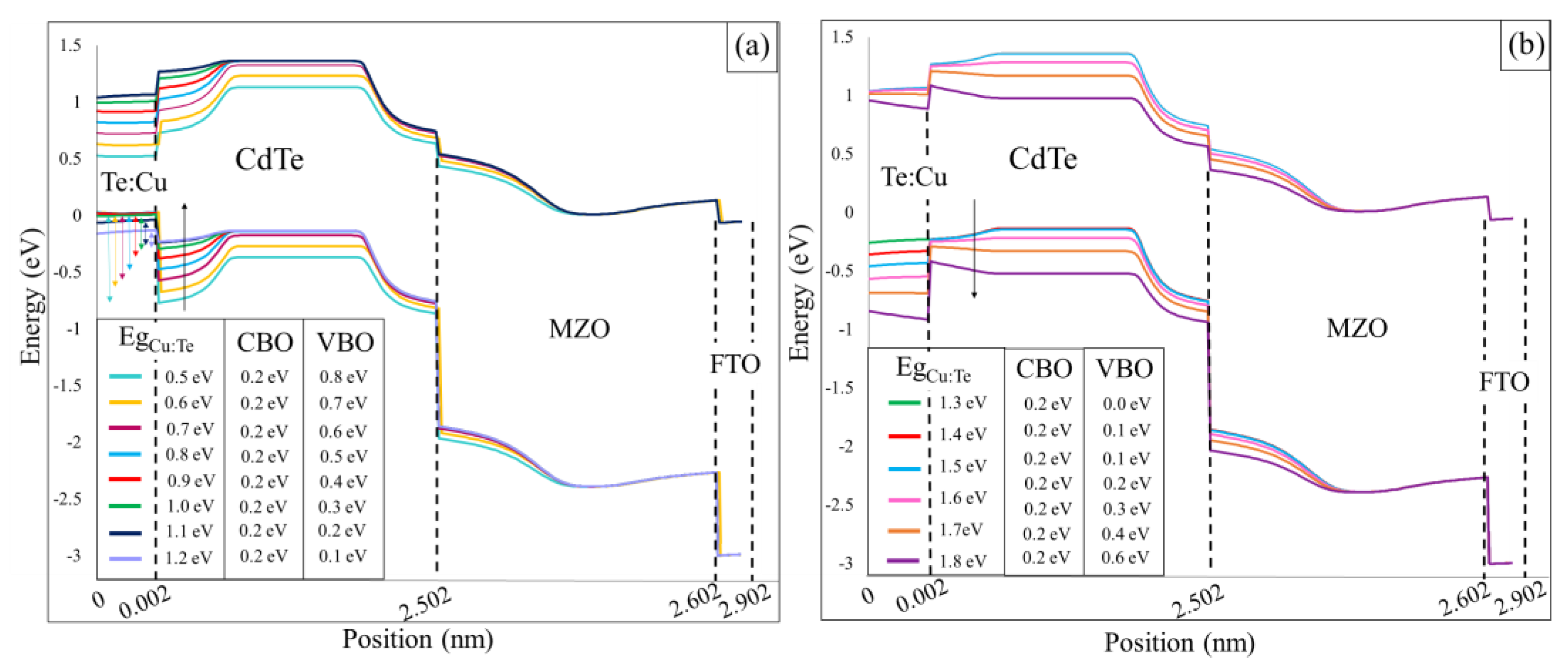
Primarily, the energy band variation is performed within the experimentally observed Cu2Te bandgaps ranging from 0.5 to 1.8 eV [48,49], which are close to the bandgaps of Sn6Sb10S21 thin films (Eg~1.67–1.68 eV) [50] and lower than those of CexCd1−xS (Eg~2.24–2.40 eV) [51] and Sb-doped Sn3O4 (Eg~2.15–2.84 eV) [52]. Thus, the optimum bang gap of Cu2Te can be established for the effective performance of the rare Te:Cu buffer in CdTe. The line graph for Voc and Jsc-JV as a function of VBO and CBO at the CdTe/Te:Cu back buffer interface is shown in Figure 3. The energy band at the p-n junction is altered by the proposed band bending at the CdTe/Te:Cu back contact, which is also reported in other reports [53].
Figure 3.
Band diagram of the proposed CdTe thin films with (a) 0.5 ≤ EgTe:Cu ≤ 1.2 eV and (b) 1.3 ≤ EgTe:Cu ≤ 1.8 eV.
The band bending takes the shape of a desired +0.2 to +0.3 eV spike with rising band energy from all variants, whereas the VBO varies widely. The maximal value of the hole transport barrier (VBO) is at relatively low bandgaps (≤0.7 eV) and when the energy band exceeds the CdTe absorbers band (≥1.7 eV). Moreover, Figure 4 depicts the relative device performance when the width of the Te:Cu energy bands is varied. Regardless of the value of the CBO, the VOC rises, as plotted in Figure 4b, at a stoichiometric ratio as the VBO becomes less negative, until it reaches a value of roughly −0.1 eV. The optimal bandgap range is demonstrated to be 1.1 eV ≤ EgTe:Cu ≤ 1.3 eV, as validated by Figure 4b, where the maximum power point is obtained from the back buffer with the indicated band range.
Figure 4.
(a) QE spectra, (b) J-V curves, and (c) integrated photocurrent density of proposed CdTe thin films with varying Te:Cu bandgap.
The conduction and valence bands of the CdTe bend upward, toward the interface, by defining the IFL of the Te:Cu back buffer below that of the CdTe. This action repels electrons and limits interfacial recombination, allowing the over 20% efficiency to be achieved [54]. Figure 4c demonstrates the integrated photocurrent density and decreased recombination rate for samples with Eg < 1.6 and better device performance, highlighting the crucial function of the BSF layer [55]. Performance parameters calculated by SCAPS upon varying the EgTe:Cu are presented in Table 2. The energy band’s performance characteristics are shown here to emphasize the changes in device performance caused by excessive Cu doping at the BSF layer, loss in fill factor (FF) in direct proportion to the Voc, reduction in the efficiency for Eg > 1.2 eV, and quick drop for Eg > 1.6 eV.
Table 2.
Photoconductivity parameters of CdTe device for the BSF’s band-energy variation.
Furthermore, an ongoing detailed study on the ideal quantity of Cu dopant has revealed that the lower device efficiency with the reduction in the amount of Cu is primarily due to the insufficient ohmicity and hole concentration of the CdTe layer itself rather than an insufficient dopant ratio [56]. Thus, controlling the CdTe absorber thickness and its related band-bending limit allows the back surface to become less susceptible to recombination states [57]. In addition, the thickness of absorber layer is the key point for the absorption of a longer wavelength. When the absorber layer thickness increases, the light absorption of the longer wavelength also increases, which enhances the electron–hole pair generation and the performance of the CdTe solar cell [58]. Hence, the following analyses are all initiated respective to the optimal range of carrier density in CdTe layer. The variation of the CdTe layer thickness from 0.5 to 5 µm is presented in Figure 5a–d in terms of Voc, Jsc-JV, FF, and η. Interestingly, the CdTe thickness seems unlikely to give significant impact to Voc from 1013 cm−3 to 1018 cm−3. However, the Voc increased after the carrier concentration increased to more than 1016 cm−3. However, this is an expected result because a very high acceptor’s carrier concentration tends to lead to a higher Voc since it happens to boost the built-in-potential in CdTe-absorber-layer region [59]. Thus, the carrier collection is much improved, and the space-charge region (SCR) is reduced [60]. Moreover, in Figure 5b, the variations of current density, Jsc-JV, are evaluated. It shows the significant role that the CdTe absorber layer’s thickness plays, as well as the acceptor carrier concentration. The Jsc-JV values increase when the CdTe absorber layer’s thickness increases. As expected, the Jsc-JV gradually declines when the acceptor-carrier concentration increases. Between a thickness of 0.5 µm and 2.5 µm, the Jsc-JV value is at its lowest. Furthermore, higher hole densities in the absorber form a compact space charge area and stronger band bending near the Te:Cu layer [56].
Figure 5.
Contour plot of (a) Voc, (b) Jsc-JV, (c) fill factor, and (d) efficiency with CdTe-layer-thickness and acceptor-concentration variation.
When the absorber layer’s thickness increased to higher than 2.5 µm, the Jsc-JV showed a slight increase toward 27 mA/cm2. Subsequently, even with a higher acceptor concentration, when the CdTe absorber layer reaches around 4.0 µm, the Jsc-JV remains almost unchanged around 26.8 mA/cm2, thus following the IFLO > 0 theory [28]. The fill factor (FF) of the CdTe solar cell performance is presented in Figure 5c. In general, the rudimental observation from the plot displays similar traits to the Voc contour plot in Figure 5a. Hence, the fill factor of solar cell devices correlates with the Voc values. While the CdTe absorber layer thickness increases, the FF also slightly increases when the acceptor-carrier concentration increases. It can be seen from Figure 5c that, when the carrier concentration exceeded around 1016 cm−3, the FF was around 86% and 83% for CdTe thickness 2.5 µm and 5.0 µm, respectively, thus confirming the direct effect of CdTe carrier concentration on the Voc and FF changes. Lastly, Figure 5d illustrates that the conversion efficiency, η, increases when the acceptor-carrier concentration, along with CdTe absorber layer’s thickness, increases. Here, the efficiency is presented to be directly correlated to the Voc and FF values. Hence, when the carrier concentration exceeds 1016 cm−3, regardless of thickness, the efficiency increases to more than 18%. Overall, for the minimum carrier concentration of 1016 cm−3 and minimum thickness of 2.5 µm are shown to be crucial to achieve high efficiency and improved current in the Cu- back-contact-based CdTe device.
3.2. Spectral Response Analysis
The spectral response or the ratio of the current generated by the solar cell to the incident energy of sunlight is similar to quantum efficiency. When the number of photons incident on the solar cell is compared to the number of output electrons of the solar cell, it determines the quantum efficiency. When exposed to light, the generation of extra electron–hole pairs increases the drift current, decreasing the build-up potential at the junction and increasing Cu diffusion toward the junction [19]. In contrast, in a short-circuit scenario, the photogenerated current travels through the device, presumably recombining electrons and holes. Furthermore, it is reasonable to picture an electron flow coming from the back contact, which opposes the ionic form of Cu atoms and explains why, as previously said, the degradation effects are greater under open-circuit conditions in Cu-doped samples. Thus, by plotting the CdTe devices’ external quantum efficiency (EQE), the useful wavelength range of the CdTe solar cell can be observed. Figure 6 illustrates the spectral response of the SCAPS modeling analysis on the Cu-dopped CdTe solar cell with respect to acceptor-carrier concentrations.
Figure 6.
Effect of acceptor-carrier concentration on the CdTe solar cell’s spectral response.
The parameters such as CdTe absorber layer thickness and CdTe bandgap are fixed at 2.5 µm and 1.50 eV, respectively. For the EQE response, the wavelength range extends from 200 nm to 900 nm. For all acceptor concentrations (NA) of CdTe thin films, as simulated by SCAPS, the EQE shows a reducing pattern plot for the wavelengths close to the 800 nm. It corresponds to identical pattern for CdTe optical absorption that can determine the bandgap. The observations also agree with the results reported earlier [61]. The maximum absorption occurs in the range between 400 nm and 830 nm, where the average EQE is at least 80% with a maximum of 90% for CdTe with NA:1013 cm−3. However, a CdTe with NA:1018 cm−3 obtained 90% absorption for the wavelength range from 600 nm to 900 nm. It is worth mentioning that the SCAPS results described here correspond to numerical modeling, including the parameters of other thin films’ layers, such as MZO and ITO. Since CdTe solar cell is a heterojunction, absorption from other layers within the visible-light range with defect parameters significantly tends to affect the spectral response analysis in the simulation [62]. Moreover, a higher acceptor concentration in the order of 1016 cm−3 to 1018 cm−3 tends to limit the space charge region’s width, leading to the decrease of photon collection, as well as defects acting as recombination centers [63]. From the simulated EQE, it is also observed that higher acceptor concentration leads to Jsc-JV loss, primarily due to loss of long-wavelength photo-generated carriers. Theoretically, when the acceptor-carrier density in the absorber layer is comparable to the donor-carrier density in the buffer layer and the space charge region (SCR) is narrow, a huge number of photo-generated carriers with a short lifetime will recombine even at the back surface region, where there is no built-in electric field to assist carriers’ collection [59]. Consequently, an acceptor concentration over 1016 cm−3 with longer lifetime carriers is vital for the CdTe thin-film solar cell’s performance.
3.3. Effect of Acceptor Concentration and Operational Temperature of CdTe Solar Cell
The working or operating temperature of a solar cell plays a significant role in evaluating its performance and stability. Figure 7a–d illustrate the effect on CdTe devices as a function of the carrier concentration on the operating temperature. The operating temperature varies from 300 K to 400 K in the SCAPS parameter. The Voc in Figure 7a displays a detrimental effect when the temperature exceeds more than 360 K, for which the output voltage started from 0.4 V for an acceptor concentration of 1013 cm−3. However, the Voc exhibits an increasing trend when the acceptor concentration rises from 1013 cm−3 to 1018 cm−3.
Figure 7.
Contour plots of (a) Voc, (b) Jsc-JV, (c) FF, and (d) efficiency as the function of concentration and operational temperature of the CdTe solar cell.
When the operating temperature exceeds more than 340 K, the Voc decreases in response to the bandgap energy (Eg) increase for both the CdS layer and CdTe layer that is indirectly correlated to the Voc, as reported in [64]. Thus, as can be observed in Figure 7b, the current density, Jsc-JV, does not show any significant change when the temperature increases. It can be seen that the Jsc-JV decreases when the acceptor concentration increases. This is an expected result, as the Jsc-JV value is totally dependent on the spectral irradiance, as reported theoretically in details by Passler [65]. The Jsc-JV values remain constant, corresponding to the acceptor concentration and operating temperature. For an acceptor concentration close to 1015 cm−3, the Jsc-JV value is approximately 25.5 mA for all operating temperatures. Figure 7c shows that the fill factor, FF, decreases when the temperature increases. However, when the acceptor concentration increases, the FF gradually rises, as well. For an operating temperature of 300 K and an acceptor concentration of 1013 cm−3, the FF value is 76% and gradually increases to 86% from a 1015 cm−3 acceptor concentration. Meanwhile, 400 K as the operating temperature of CdTe solar cell would limit the FF around 86% as the acceptor concentration reaches 1018 cm−3. A similar trend for Voc was observed for the SCAPS output obtained from the theoretical values that suggests that the FF values are directly correlated to Voc output. Nonetheless, the operating temperature in CdTe thin-film solar cell does not contribute much to calculated FF values, as it is mainly controlled by the Voc parameters, as discussed in [66]. In Figure 7d, the efficiency, η, reveals that the operating temperature has a substantial effect in the stability of the solar cell’s performances. It is noteworthy to mention that the acceptor concentration also significantly contributes to the CdTe efficiency, as well. For an operating temperature of 300 K and acceptor concentration of around 1013 cm−3, the CdTe solar cell’s efficiency reaches between 10% and 12%. However, for the maximum operating temperature of 400 K, the efficiency of CdTe solar cell reaches between 8% and 11% for the similar acceptor concentration. When the maximum acceptor concentration of around 1018 cm−3 is achieved, more than 20% efficiency is observed for a CdTe cell operating temperature between 300 K and 340 K. Hence, an operating temperature of more than 360 K limits the increase of efficiency below 20% even for the ideal case of 1018 cm−3 of acceptor concentration in this simulation. The working or operating temperature is highly correlated to the optical characteristics and is able to change the bandgap of the materials, especially causing the CdTe layer to shift toward a higher bandgap [64]. This understanding was developed through the relative calculations among the efficiency, temperature, and acceptor-carrier concentration.
3.4. Effect of CdTe Bandgap Energy and Acceptor Concentration
One of the most important aspects for achieving higher performances and stability in a CdTe device is the optical bandgap energy. For the CdTe thin-film solar cell, the optimum bandgap is 1.50 eV. Figure 8a–d explains the simulation output for the CdTe device as a function of the bandgap and the acceptor concentration. The results obtained are Voc, Jsc-JV, FF, and efficiency for Figure 8a–d, respectively.
Figure 8.
Contour plots of (a) Voc, (b) Jsc-JV, (c) FF, and (d) efficiency as the function of CdTe bandgap energy and acceptor concentration.
Interestingly, the simulation results for all parameters’ output reveal that the carrier concentration in the Cu-doped CdTe absorber is the most effective factor to contribute to the CdTe device’s performance. In Figure 8d, the efficiency increases by over 20% only with the carrier concentration of 1017 cm−3 and above for a CdTe bandgap of >1.48 eV, whereas it continuously rises up around 21% of efficiency when the CdTe bandgap reaches 1.50 eV. As demonstrated here, bandgap energy is highly correlated with carrier density, as it controls the photo-generated carriers through absorption by photon excitation between the conduction band (CB) and valence band (VB) [67]. The stability of the CdTe solar cells’ performance by this simulation is established through the CdTe absorber’s bandgap optimization. Theoretically, when the solar cell is illuminated, absorption happens, followed by generation of electron–hole pairs as the inception of the carrier generation process, and affects the conductivity [68]. Thus, the output parameters change as the acceptor concentration increases from 1013 cm−3 to 1018 cm−3.
4. Conclusions
The inclusion of CuCl2 treatment and the development of Cu2Te buffer layers were examined through the changes brought in device-performance variables. The links between the back-contact characteristics, absorber thickness, doping density, and operating temperature with energy band offset transitions were also explored. The setting IFLO < 0, which counteracts with the electrons and reduces the interface states, enabled improved efficiency in Cu-doped back-contact-based models. Changes in the conversion efficiency with operating temperature and acceptor doping level considerably impacted the stability of the solar-cell performances. This correlation suggests that temperature has an influence on optical characteristics, and a temperature over 60 °C can cause detrimental effects via the CdTe bandgap expansion. With 25 °C as the operating temperature and around 1013 cm−3 of acceptor concentration, the CdTe solar cell’s efficiency decreased to about 11%. The efficiency of the CdTe solar cell further decreased to 8% for a 400 K operating temperature. In addition, changes in the CdTe acceptor concentration led to the spectral response change, especially in the longer wavelength region. However, the bandgap energy obtained from the simulation results did not show any effect on the device’s performance characteristics. All in all, the incorporation of the Cu2Te back layer with an optimized EgTe:Cu = 1.2 eV resulted in the output parameters of Voc = 0.92 V, Jsc = 26.15 mA/cm2, FF = 87.3%, and conversion efficiency of 21.04% as the best case here. A future study can center on the incorporation of novel materials with superior characteristics, as well as the optimization of experimental parameters in BSF and contact development for an improved Voc and increased carrier concentration rate. There is still a need to investigate BSF characteristics and how they impact defects, grain boundaries, carrier recombination, and mechanisms involved in CdTe devices. Finally, the contact formation and stability over time, as well as the scalability and repeatability of these procedures for the large-scale manufacture of CdTe solar cells, can be investigated.
Author Contributions
Conceptualization, M.N.H. and C.D.; data curation, M.N.H., C.D., A.N., H.N.R. and N.I.A.; formal analysis, M.N.H., C.D. and A.N.; funding acquisition, N.A.; investigation, M.N.H., A.N. and M.I.; methodology, C.D. and M.I.; project administration, M.I. and N.A.; resources, N.A.; software, M.N.H. and H.N.R.; validation, H.N.R.; visualization, A.N.; writing—original draft, C.D.; writing—review and editing, H.N.R., N.I.A. and N.A. All authors have read and agreed to the published version of the manuscript.
Funding
The authors wish to express the deepest appreciation and acknowledge the Ministry of Higher Education of Malaysia (MOHE) for the support given by the HICoE grant for this research, with the code 2022003HICOE, at the iRMC of Universiti Tenaga Nasional (UNITEN).
Institutional Review Board Statement
Not applicable.
Informed Consent Statement
Not applicable.
Data Availability Statement
Not applicable.
Acknowledgments
The authors would like to acknowledge the Ministry of Higher Education of Malaysia for their support through the HICoE grant no. 2022003HICOE, as well as the NEC Energy Transition Grant no. 202203001ETG provided by the iRMC of Universiti Tenaga Nasional, Malaysia.
Conflicts of Interest
The authors declare no conflict of interest.
References
- Green, M.; Dunlop, E.; Hohl-Ebinger, J.; Yoshita, M.; Kopidakis, N.; Hao, X. Solar cell efficiency tables (version 57). Prog. Photovolt. Res. Appl. 2021, 29, 3–15. [Google Scholar] [CrossRef]
- Benick, J.; Richter, A.; Müller, R.; Hauser, H.; Feldmann, F.; Krenckel, P.; Riepe, S.; Schindler, F.; Schubert, M.C.; Hermle, M. High-efficiency n-type HP mc silicon solar cells. IEEE J. Photovolt. 2017, 7, 1171–1175. [Google Scholar] [CrossRef]
- Kovachov, S.; Bohdanov, I.; Karipbayev, Z.; Suchikova, Y.; Tsebriienko, T.; Popov, A.I. Layer-by-Layer Synthesis and Analysis of the the Phase Composition of CdxTeyOz/CdS/por-ZnO/ZnO Heterostructure. In Proceedings of the 2022 IEEE 3rd KhPI Week on Advanced Technology (KhPIWeek), Kharkiv, Ukraine, 3–7 October 2022; pp. 1–6. [Google Scholar]
- Heredia-Cancino, J.; Mendoza-Peña, K.; Higuera-Valenzuela, H.; Soto B., M.A.; Ochoa-Landín, R.; Castillo, S.J. Synthesis Optimization of Cadmium Carbonate Films as Potential Precursor to Produce CdSe, CdTe, and CdO Films. Coatings 2022, 12, 1691. [Google Scholar] [CrossRef]
- Balakhayeva, R.; Akilbekov, A.; Baimukhanov, Z.; Giniyatova, S.; Zdorovets, M.; Gorin, Y.; Popov, A.; Dauletbekova, A.J.S.; Technology, C. Structure properties of CdTe nanocrystals created in SiO2/Si ion track templates. Surf. Coat. Technol. 2020, 401, 126269. [Google Scholar] [CrossRef]
- Fiducia, T.; Howkins, A.; Abbas, A.; Mendis, B.; Munshi, A.; Barth, K.; Sampath, W.; Walls, J. Selenium passivates grain boundaries in alloyed CdTe solar cells. Sol. Energy Mater. Sol. Cells 2022, 238, 111595. [Google Scholar] [CrossRef]
- Seck, S.M.; Ndiaye, E.N.; Fall, M.; Charvet, S. Study of Efficiencies CdTe/CdS Photovoltaic Solar Cell According to Electrical Properties by Scaps Simulation. Nat. Resour. 2020, 11, 147–155. [Google Scholar] [CrossRef]
- Ščajev, P.; Miasojedovas, S.; Mekys, A.; Kuciauskas, D.; Lynn, K.G.; Swain, S.K.; Jarašiūnas, K. Excitation-dependent carrier lifetime and diffusion length in bulk CdTe determined by time-resolved optical pump-probe techniques. J. Appl. Phys. 2018, 123, 025704. [Google Scholar] [CrossRef]
- Houshmand, M.; Zandi, M.H.; Gorji, N.E. SCAPS modeling for degradation of ultrathin CdTe Films: Materials interdiffusion. JOM 2015, 67, 2062–2070. [Google Scholar] [CrossRef]
- Fang, Z.; Wang, X.C.; Wu, H.C.; Zhao, C.Z. Achievements and challenges of CdS/CdTe solar cells. Int. J. Photoenergy 2011, 2011, 297350. [Google Scholar] [CrossRef]
- Siepchen, B.; Späth, B.; Drost, C.; Krishnakumar, V.; Kraft, C.; Winkler, M.; König, J.; Bartholomé, K.; Peng, S. A Simple Sb 2 Te 3 Back-Contact Process for CdTe Solar Cells. J. Electron. Mater. 2015, 44, 3354–3359. [Google Scholar] [CrossRef]
- Yang, R.; Wang, D.; Jeng, M.; Ho, K.; Wang, D. Stable CdTe thin film solar cells with a MoOx back-contact buffer layer. Prog. Photovolt. Res. Appl. 2016, 24, 59–65. [Google Scholar] [CrossRef]
- Zhang, M.-J.; Lin, Q.; Yang, X.; Mei, Z.; Liang, J.; Lin, Y.; Pan, F. Novel p-type conductive semiconductor nanocrystalline film as the back electrode for high-performance thin film solar cells. Nano Lett. 2016, 16, 1218–1223. [Google Scholar] [CrossRef] [PubMed]
- Weng, Z.; Ma, S.; Zhu, H.; Ye, Z.; Shu, T.; Zhou, J.; Wu, X.; Wu, H. CdTe thin film solar cells with a SnTe buffer layer in back contact. Sol. Energy Mater. Sol. Cells 2018, 179, 276–282. [Google Scholar] [CrossRef]
- Ferekides, C.; Balasubramanian, U.; Mamazza, R.; Viswanathan, V.; Zhao, H.; Morel, D. CdTe thin film solar cells: Device and technology issues. Sol. Energy 2004, 77, 823–830. [Google Scholar] [CrossRef]
- Song, H.; Wu, X.; Zheng, J.; Yan, Q. Study of CuxTe polycrystalline thin films for CdTe solar cells. In Proceedings of the 2010 Asia-Pacific Power and Energy Engineering Conference, Chengdu, China, 28–31 March 2010; pp. 1–4. [Google Scholar]
- Salmón-Gamboa, J.; Barajas-Aguilar, A.; Ruiz-Ortega, L.; Garay-Tapia, A.; Jiménez-Sandoval, S. Vibrational and electrical properties of Cu2−xTe films: Experimental data and first principle calculations. Sci. Rep. 2018, 8, 8093. [Google Scholar] [CrossRef]
- Li, D.-B.; Bista, S.S.; Awni, R.A.; Subedi, K.K.; Shrestha, N.; Neupane, S.; Jamarkattel, M.K.; Song, Z.; Ellingson, R.J.; Yan, Y. Fabricating Efficient CdTe Solar Cells: The Effect of Cu Precursor. In Proceedings of the 2021 IEEE 48th Photovoltaic Specialists Conference (PVSC), Fort Lauderdale, FL, USA, 20–25 June 2021; pp. 2200–2203. [Google Scholar]
- Gretener, C.; Perrenoud, J.; Kranz, L.; Cheah, E.; Dietrich, M.; Buecheler, S.; Tiwari, A. New perspective on the performance stability of CdTe solar cells. Sol. Energy Mater. Sol. Cells 2016, 146, 51–57. [Google Scholar] [CrossRef]
- Perrenoud, J.; Kranz, L.; Gretener, C.; Pianezzi, F.; Nishiwaki, S.; Buecheler, S.; Tiwari, A. A comprehensive picture of Cu doping in CdTe solar cells. J. Appl. Phys. 2013, 114, 174505. [Google Scholar] [CrossRef]
- Guo, D.; Fang, T.; Moore, A.; Brinkman, D.; Akis, R.; Krasikov, D.; Sankin, I.; Ringhofer, C.; Vasileska, D. Numerical simulation of copper migration in single crystal CdTe. IEEE J. Photovolt. 2016, 6, 1286–1291. [Google Scholar] [CrossRef]
- Aris, K.A.; Rahman, K.S.; Enam, F.T.; Kamaruzzaman, M.I.B.; Yahya, I.B.; Amin, N. An investigation on copper doping to CdTe absorber layers in CdTe thin film solar cells. In Proceedings of the 2016 International Conference on Advances in Electrical, Electronic and Systems Engineering (ICAEES), Putrajaya, Malaysia, 14–16 November 2016; pp. 405–408. [Google Scholar]
- Hadjab, M.; Wagner, J.-M.; Bouzid, F.; Boudour, S.; Hadj Larbi, A.; Bennacer, H.; Ziane, M.I.; Saeed, M.; Abid, H.; Berrah, S.; et al. A numerical optimization study of CdS and Mg0. 125Zn0. 875O buffer layers in CIGS-based solar cells using wx AMPS-1D package. Int. J. Model. Simul. 2022, 42, 179–191. [Google Scholar] [CrossRef]
- Kowsar, A.; Billah, M.; Dey, S.; Debnath, S.C.; Yeakin, S.; Farhad, S.F.U. Comparative Study on Solar Cell Simulators. In Proceedings of the 2019 2nd International Conference on Innovation in Engineering and Technology (ICIET), Dhaka, Bangladesh, 23–24 December 2019; pp. 1–6. [Google Scholar]
- Burgelman, M.; Nollet, P.; Degrave, S. Modelling polycrystalline semiconductor solar cells. Thin Solid Film. 2000, 361, 527–532. [Google Scholar] [CrossRef]
- Kranz, L.; Gretener, C.; Perrenoud, J.; Schmitt, R.; Pianezzi, F.; La Mattina, F.; Blösch, P.; Cheah, E.; Chirilă, A.; Fella, C.M. Doping of polycrystalline CdTe for high-efficiency solar cells on flexible metal foil. Nat. Commun. 2013, 4, 2306. [Google Scholar] [CrossRef] [PubMed]
- Bista, S.S.; Li, D.-B.; Awni, R.A.; Song, Z.; Subedi, K.K.; Shrestha, N.; Rijal, S.; Neupane, S.; Grice, C.R.; Phillips, A.B. Effects of Cu Precursor on the Performance of Efficient CdTe Solar Cells. ACS Appl. Mater. Interfaces 2021, 13, 38432–38440. [Google Scholar] [CrossRef] [PubMed]
- Liyanage, G.K.; Phillips, A.B.; Alfadhili, F.K.; Ellingson, R.J.; Heben, M.J. The role of back buffer layers and absorber properties for >25% efficient CdTe solar cells. ACS Appl. Energy Mater. 2019, 2, 5419–5426. [Google Scholar] [CrossRef]
- Teyou Ngoupo, A.; Ouédraogo, S.; Ndjaka, J.M. Numerical analysis of interface properties effects in CdTe/CdS: O thin film solar cell by SCAPS-1D. Indian J. Phys. 2019, 93, 869–881. [Google Scholar] [CrossRef]
- Munshi, A.H.; Kephart, J.M.; Abbas, A.; Shimpi, T.M.; Barth, K.L.; Walls, J.M.; Sampath, W.S. Polycrystalline CdTe photovoltaics with efficiency over 18% through improved absorber passivation and current collection. Sol. Energy Mater. Sol. Cells 2018, 176, 9–18. [Google Scholar] [CrossRef]
- Al-Luhaiby, A.K. Studying the effect of temperature and resistances of series (Rs) and parallel (Rsh) on the performance of the solar cell (FTO/Zn2SnO4/CdS: O/CdTe/Cu2Te) using the SCAPS-1D program. J. Educ. Sci. 2022, 31, 49–66. [Google Scholar] [CrossRef]
- Good, B.; Colegrove, E.; Reese, M.O.; Cells, S. Effects of absorber near-interface compensation on Cd (Se, Te) solar cell performance. Sol. Energy Mater. Sol. Cells 2022, 246, 111928. [Google Scholar] [CrossRef]
- Zyoud, S.H.; Zyoud, A.H.; Ahmed, N.M.; Prasad, A.R.; Khan, S.N.; Abdelkader, A.F.; Shahwan, M. Numerical modeling of high conversion efficiency FTO/ZnO/CdS/CZTS/MO thin film-based solar cells: Using SCAPS-1D software. Crystals 2021, 11, 1468. [Google Scholar] [CrossRef]
- Matin, M.; Tomal, M.; Robin, A. Copper telluride as a nobel BSF material for high performance ultra thin CdTe PV cell. In Proceedings of the 2013 International Conference on Informatics, Electronics and Vision (ICIEV), Dhaka, Bangladesh, 17–18 May 2013; pp. 1–5. [Google Scholar]
- Guo, D.; Akis, R.; Brinkman, D.; Moore, A.; Fang, T.; Sankin, I.; Vasileska, D.; Ringhofer, C. Cu migration and its impact on the metastable behavior of CdTe solar cells. In Proceedings of the 2015 IEEE 42nd Photovoltaic Specialist Conference (PVSC), New Orleans, LA, USA, 14–19 June 2015; pp. 1–5. [Google Scholar]
- Arellano-Tanori, O.; Acosta-Enríquez, M.; Ochoa-Landin, R.; Iniguez-Palomares, R.; Mendivil-Reynoso, T.; Flores-Acosta, M.; Castillo, S. Copper-selenide and copper-telluride composites powders sintetized by ionic exchange. Chalcogenide Lett 2014, 11, 13–19. [Google Scholar]
- Hossain, M.; Rahman, K.; Islam, M.; Akhtaruzzaman, M.; Misran, H.; Alghoul, M.; Amin, N. Growth optimization of ZnxCd1-xS films on ITO and FTO coated glass for alternative buffer application in CdTe thin film solar cells. Opt. Mater. 2018, 86, 270–277. [Google Scholar] [CrossRef]
- Hsiao, K.-J. Energy-band barrier to improve open-circuit voltage of CdTe solar cells. Sol. Energy Mater. Sol. Cells 2014, 120, 647–653. [Google Scholar] [CrossRef]
- Gretener, C.; Perrenoud, J.; Kranz, L.; Kneer, L.; Schmitt, R.; Buecheler, S.; Tiwari, A.N. CdTe/CdS thin film solar cells grown in substrate configuration. Prog. Photovolt. Res. Appl. 2013, 21, 1580–1586. [Google Scholar] [CrossRef]
- Wang, T.; Ren, S.; Li, C.; Li, W.; Liu, C.; Zhang, J.; Wu, L.; Li, B.; Zeng, G. Exploring window buffer layer technology to enhance CdTe solar cell performance. Sol. Energy 2018, 164, 180–186. [Google Scholar] [CrossRef]
- Kim, S.; Jeon, J.; Suh, J.; Hong, J.; Kim, T.; Kim, K.; Cho, S. Comparative study of Cu2Te and Cu back contact in CdS/CdTe solar cell. J. Korean Phys. Soc. 2018, 72, 780–785. [Google Scholar] [CrossRef]
- Luo, G.; Yang, D.; Guo, X.; Yang, Y.; Luo, S.; Zhang, J.; Long, M.; Xiang, L.; Li, Q.; Wang, T. Quasi-ohmic contact formation assisted by the back contact with Cu2Te nanoparticles@ reduced graphene oxide composites for highly efficient CdTe solar cells. J. Alloys Compd. 2022, 921, 166100. [Google Scholar] [CrossRef]
- Kuciauskas, D.; Dippo, P.; Kanevce, A.; Zhao, Z.; Cheng, L.; Los, A.; Gloeckler, M.; Metzger, W.K. The impact of Cu on recombination in high voltage CdTe solar cells. Appl. Phys. Lett. 2015, 107, 243906. [Google Scholar] [CrossRef]
- Allam, Z.; Boudaoud, C.; Soufi, A.; Bouchachia, B. Performance Parameters of CdTe/CdS Solar Cell with Deferent Contact Schottky. In Artificial Intelligence and Heuristics for Smart Energy Efficiency in Smart Cities: Case Study: Tipasa, Algeria; Springer International Publishing: Berlin/Heidelberg, Germany, 2022; pp. 769–778. [Google Scholar]
- Li, S.; Chen, F.; Schafranek, R.; Bayer, T.J.; Rachut, K.; Fuchs, A.; Siol, S.; Weidner, M.; Hohmann, M.; Pfeifer, V.J. Intrinsic energy band alignment of functional oxides. Phys. Status Solidi (RRL) Rapid Res. Lett. 2014, 8, 571–576. [Google Scholar] [CrossRef]
- Dzade, N. First-principles insights into the electronic structure, optical and band alignment properties of earth-abundant Cu2SrSnS4 solar absorber. Sci. Rep. 2021, 11, 4755. [Google Scholar] [CrossRef]
- Rimmaudo, I.; Salavei, A.; Rossi, F.; Buffagni, E.; Ferrari, C.; Giarola, M.; Mariotto, G.; Romeo, A. Study of the effect of absorber etching on the back contact performance of CdTe solar cells. In Proceedings of the 28th European Photovoltaic Solar Energy Conference and Exhibition, Paris, France, 30 September–4 October 2013; pp. 2389–2392. [Google Scholar]
- Dobson, K.D.; Visoly-Fisher, I.; Hodes, G.; Cahen, D. Stability of CdTe/CdS thin-film solar cells. Sol. Energy Mater. Sol. Cells 2000, 62, 295–325. [Google Scholar] [CrossRef]
- Sirusi, A.A.; Ballikaya, S.; Chen, J.-H.; Uher, C.; Ross Jr, J.H. Band Ordering and Dynamics of Cu2–x Te and Cu1. 98Ag0. 2Te. J. Phys. Chem. C 2016, 120, 14549–14555. [Google Scholar] [CrossRef]
- Chongngam, P.; Tubtimtae, A. Structural, optical, and electrochemical characteristics of undoped and In3+-doped tin antimony sulfide thin films for device applications. J. Mater. Sci. Mater. Electron. 2023, 34, 71. [Google Scholar] [CrossRef]
- Chiristina, E.N.; Rahayu, S.U.; Tubtimtae, A.; Shi, J.-B.; Lee, M.-W. Rare-earth-incorporated ternary CexCd1−xS quantum dot-sensitized solar cells. RSC Adv. 2022, 12, 31093–31101. [Google Scholar] [CrossRef] [PubMed]
- Suwannakham, N.; Tubtimtae, A.; Wongrat, E. Structural, linear/non-linear optical, optoelectrical, and electrical properties of novel crystalline antimony-doped tin oxide thin films synthesized by the chemical deposition method. Phys. B Condens. Matter 2023, 649, 414440. [Google Scholar] [CrossRef]
- Li, J.V.; Halverson, A.F.; Sulima, O.V.; Bansal, S.; Burst, J.M.; Barnes, T.M.; Gessert, T.A.; Levi, D.H. Theoretical analysis of effects of deep level, back contact, and absorber thickness on capacitance–voltage profiling of CdTe thin-film solar cells. Sol. Energy Mater. Sol. Cells 2012, 100, 126–131. [Google Scholar] [CrossRef]
- Alfadhili, F.K.; Phillips, A.B.; Liyanage, G.K.; Gibbs, J.M.; Jamarkattel, M.K.; Heben, M.J. Controlling band alignment at the back interface of cadmium telluride solar cells using ZnTe and Te buffer layers. MRS Adv. 2019, 4, 913–919. [Google Scholar] [CrossRef]
- Hosen, A.; Al Ahmed, S.R. Performance analysis of SnS solar cell with a hole transport layer based on experimentally extracted device parameters. J. Alloy. Compd. 2022, 909, 164823. [Google Scholar] [CrossRef]
- Artegiani, E.; Major, J.D.; Shiel, H.; Dhanak, V.; Ferrari, C.; Romeo, A. How the amount of copper influences the formation and stability of defects in CdTe solar cells. Sol. Energy Mater. Soral Cells 2020, 204, 110228. [Google Scholar] [CrossRef]
- Ablekim, T.; Colegrove, E.; Metzger, W.K. Interface engineering for 25% CdTe solar cells. ACS Appl. Energy Mater. 2018, 1, 5135–5139. [Google Scholar] [CrossRef]
- Kanevce, A.; Gessert, T.A. Optimizing CdTe solar cell performance: Impact of variations in minority-carrier lifetime and carrier density profile. IEEE J. Photovolt. 2011, 1, 99–103. [Google Scholar] [CrossRef]
- Song, T.; Kanevce, A.; Sites, J.R. Emitter/absorber interface of CdTe solar cells. J. Appl. Phys. 2016, 119, 233104. [Google Scholar] [CrossRef]
- Kanevce, A.; Reese, M.O.; Barnes, T.; Jensen, S.; Metzger, W. The roles of carrier concentration and interface, bulk, and grain-boundary recombination for 25% efficient CdTe solar cells. J. Appl. Phys. 2017, 121, 214506. [Google Scholar] [CrossRef]
- Tinedert, I.; Pezzimenti, F.; Megherbi, M.; Saadoune, A. Design and simulation of a high efficiency CdS/CdTe solar cell. Optik 2020, 208, 164112. [Google Scholar] [CrossRef]
- Treharne, R.; Seymour-Pierce, A.; Durose, K.; Hutchings, K.; Roncallo, S.; Lane, D. Optical design and fabrication of fully sputtered CdTe/CdS solar cells. In Journal of Physics: Conference Series; IOP Publishing: Bristol, UK, 2011; p. 012038. [Google Scholar]
- Sameera, J.N.; Jhuma, F.A.; Rashid, M.J. Numerical approach to optimizing the doping concentration of the absorber layer to enhance the performance of a CdTe solar cell. Semicond. Sci. Technol. 2020, 36, 015022. [Google Scholar] [CrossRef]
- Singh, P.; Ravindra, N.M. Temperature dependence of solar cell performance—An analysis. Sol. Energy Mater. Sol. Cells 2012, 101, 36–45. [Google Scholar] [CrossRef]
- Pässler, R. Parameter sets due to fittings of the temperature dependencies of fundamental bandgaps in semiconductors. Phys. Status Solidi (b) 1999, 216, 975–1007. [Google Scholar] [CrossRef]
- Singh, P.; Singh, S.; Lal, M.; Husain, M. Temperature dependence of I–V characteristics and performance parameters of silicon solar cell. Sol. Energy Mater. Sol. Cells 2008, 92, 1611–1616. [Google Scholar] [CrossRef]
- Green, M.A. Solar cells: Operating principles, technology, and system applications. Englewood Cliffs 1982, 1, 274. [Google Scholar]
- Sze, S.M.; Li, Y.; Ng, K.K. Physics of Semiconductor Devices; John Wiley & Sons: Hoboken, NJ, USA, 2021. [Google Scholar]
Disclaimer/Publisher’s Note: The statements, opinions and data contained in all publications are solely those of the individual author(s) and contributor(s) and not of MDPI and/or the editor(s). MDPI and/or the editor(s) disclaim responsibility for any injury to people or property resulting from any ideas, methods, instructions or products referred to in the content. |
© 2023 by the authors. Licensee MDPI, Basel, Switzerland. This article is an open access article distributed under the terms and conditions of the Creative Commons Attribution (CC BY) license (https://creativecommons.org/licenses/by/4.0/).







