Investigation on β-Ga2O3-Based Schottky Barrier Diode with Floating Metal Rings
Abstract
1. Introduction
2. Simulation Setup
3. Results and Discussions
3.1. Forward Characteristics
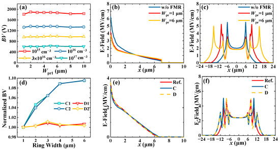
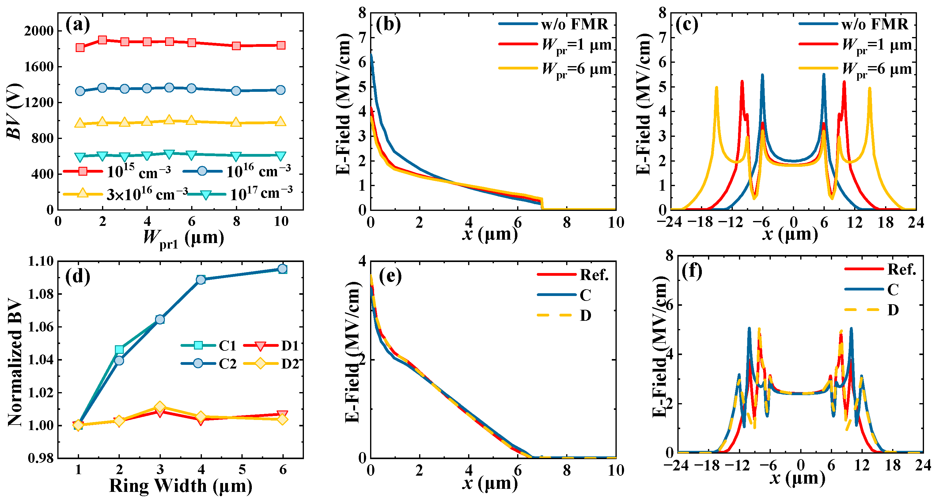
3.2. Relationship between Breakdown Voltage and FMR Spacing
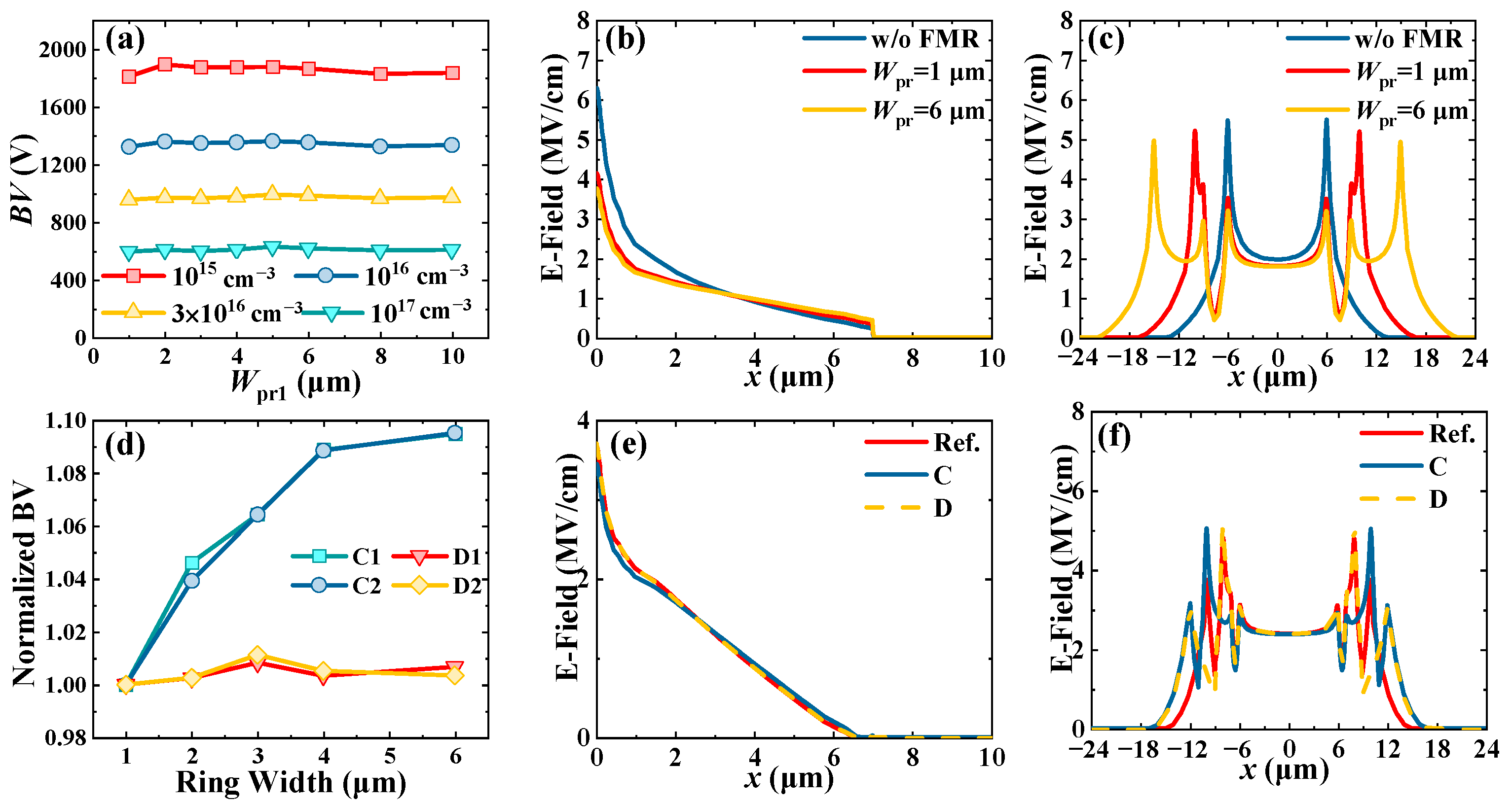
3.3. Relationship between Breakdown Voltage and FMR Width
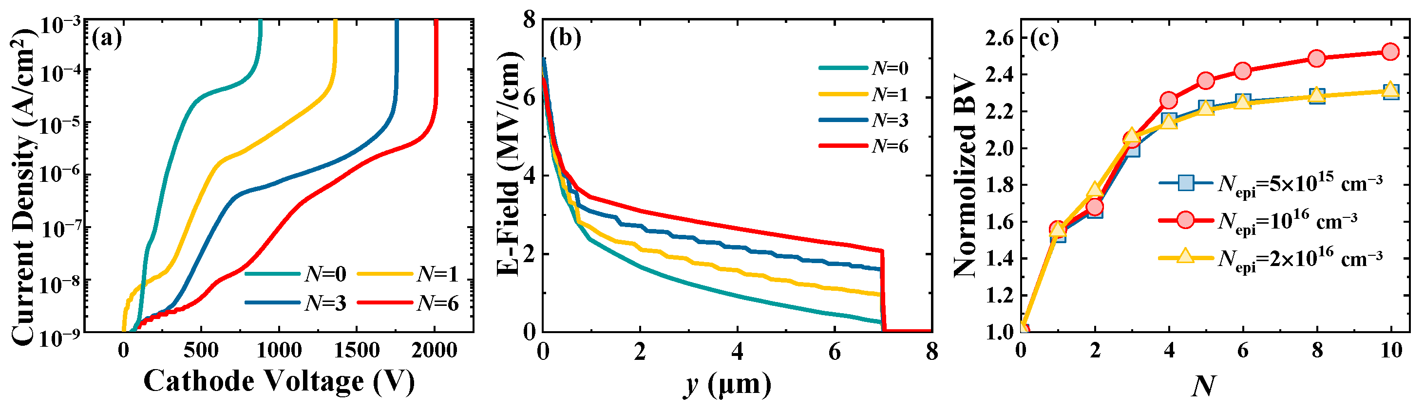
3.4. Relationship between Breakdown Voltage and Number of FMRs
3.5. Relationship between Breakdown Voltage and Doping Concentration
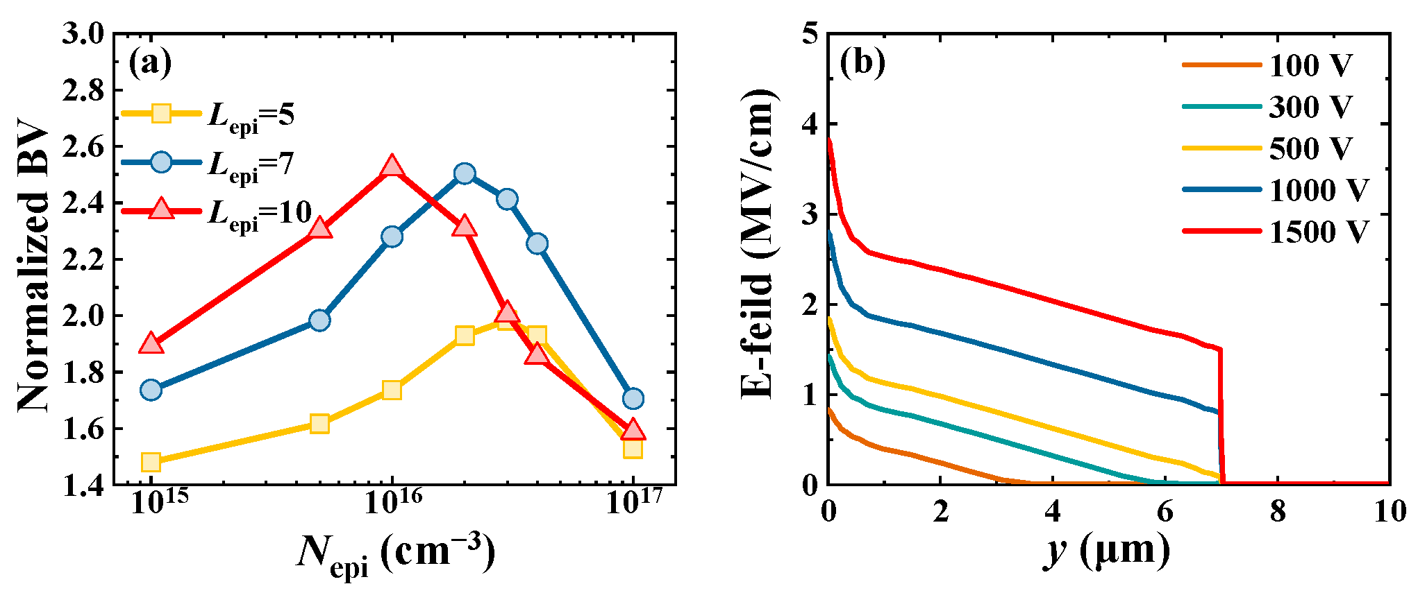
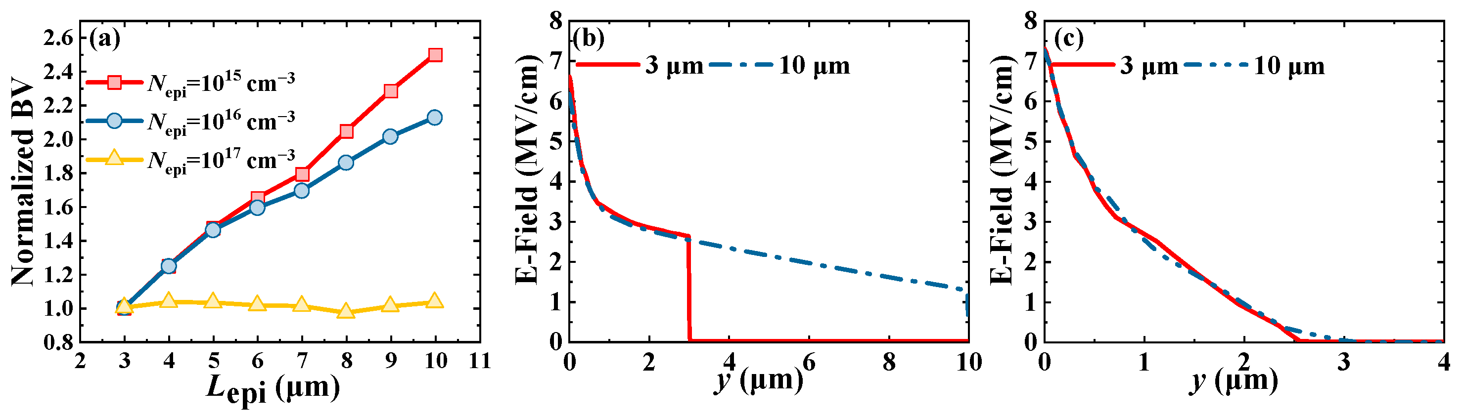
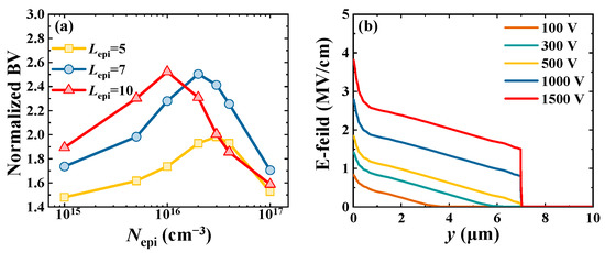
3.6. Relationship between Breakdown Voltage and Epitaxial Layer Thickness
4. Conclusions
Author Contributions
Funding
Institutional Review Board Statement
Informed Consent Statement
Data Availability Statement
Conflicts of Interest
References
- Onuma, T.; Saito, S.; Sasaki, K.; Masui, T.; Yamaguchi, T.; Honda, T.; Higashiwaki, M. Valence band ordering in β-Ga2O3 studied by polarized transmittance and reflectance spectroscopy. Jpn. J. Appl. Phys. 2015, 54, 112601. [Google Scholar] [CrossRef]
- Higashiwaki, M.; Jessen, G.H. Guest Editorial: The dawn of gallium oxide microelectronics. Appl. Phys. Lett. 2018, 112, 060401. [Google Scholar] [CrossRef]
- Hao, Y. Gallium oxide: Promise to provide more efficient life. J. Semicond. 2019, 40, 010301. [Google Scholar] [CrossRef]
- Sharma, R.; Law, M.E.; Ren, F.; Polyakov, A.Y.; Pearton, S.J. Diffusion of dopants and impurities in β-Ga2O3. J. Vac. Sci. Technol. A 2021, 39, 060801. [Google Scholar] [CrossRef]
- Liu, Z.; Tang, W. A review of Ga2O3 deep-ultraviolet metal-semiconductor Schottky photodiodes. J. Phys. D Appl. Phys. 2023, 56, 093002. [Google Scholar] [CrossRef]
- Liu, Z.; Zhi, Y.; Zhang, S.; Li, S.; Yan, Z.; Gao, A.; Zhang, S.; Guo, D.; Wang, J.; Wu, Z. Ultrahigh-performance planar β-Ga2O3 solar-blind Schottky photodiode detectors. Sci. China Technol. Sci. 2021, 64, 59–64. [Google Scholar] [CrossRef]
- Zhang, M.; Liu, Z.; Yang, L.; Yao, J.; Chen, J.; Zhang, J.; Wei, W.; Guo, Y.; Tang, W. β-Ga2O3-Based Power Devices: A Concise Review. Crystals 2022, 12, 406. [Google Scholar] [CrossRef]
- Higashiwaki, M. β-Gallium Oxide Devices: Progress and Outlook. Phys. Status Solidi (RRL)—Rapid Res. Lett. 2021, 15, 2100357. [Google Scholar] [CrossRef]
- Bae, J.; Kim, H.W.; Kang, I.H.; Kim, J. Field-plate engineering for high breakdown voltage β-Ga2O3 nanolayer field-effect transistors. RSC Adv. 2019, 9, 9678–9683. [Google Scholar] [CrossRef]
- Bae, J.; Kim, H.W.; Kang, I.H.; Yang, G.; Kim, J. High breakdown voltage quasi-two-dimensional β-Ga2O3 field-effect transistors with a boron nitride field plate. Appl. Phys. Lett. 2018, 112, 122102. [Google Scholar] [CrossRef]
- Joishi, C.; Rafique, S.; Xia, Z.; Han, L.; Krishnamoorthy, S.; Zhang, Y.; Lodha, S.; Zhao, H.; Rajan, S. Low-pressure CVD-grown β-Ga2O3 bevel-field-plated Schottky barrier diodes. Appl. Phys. Express 2018, 11, 031101. [Google Scholar] [CrossRef]
- Konishi, K.; Goto, K.; Murakami, H.; Kumagai, Y.; Kuramata, A.; Yamakoshi, S.; Higashiwaki, M. 1-kV vertical Ga2O3 field-plated Schottky barrier diodes. Appl. Phys. Lett. 2017, 110, 103506. [Google Scholar] [CrossRef]
- Li, W.; Hu, Z.; Nomoto, K.; Jinno, R.; Zhang, Z.; Tu, T.Q.; Sasaki, K.; Kuramata, A.; Jena, D.; Xing, H.G. 2.44 kV Ga2O3 vertical trench Schottky barrier diodes with very low reverse leakage current. In Proceedings of the 2018 IEEE International Electron Devices Meeting (IEDM), San Francisco, CA, USA, 1–5 December 2018; pp. 8.5.1–8.5.4. [Google Scholar]
- Wong, M.H.; Sasaki, K.; Kuramata, A.; Yamakoshi, S.; Higashiwaki, M. Field-Plated β-Ga2O3 MOSFETs with a Breakdown Voltage of over 750 V. IEEE Electron Device Lett. 2016, 37, 212–215. [Google Scholar] [CrossRef]
- Zhang, Y.; Zhang, J.; Feng, Z.; Hu, Z.; Chen, J.; Dang, K.; Yan, Q.; Dong, P.; Zhou, H.; Hao, Y. Impact of Implanted Edge Termination on Vertical β-Ga2O3 Schottky Barrier Diodes Under OFF-State Stressing. IEEE Trans. Electron Devices 2020, 67, 3948–3953. [Google Scholar] [CrossRef]
- Luan, S.; Dong, L.; Ma, X.; Jia, R. The further investigation of N-doped β-Ga2O3 thin films with native defects for Schottky-barrier diode. J. Alloy. Compd. 2020, 812, 152026. [Google Scholar] [CrossRef]
- Sung, W.; Baliga, B.J. A Near Ideal Edge Termination Technique for 4500V 4H-SiC Devices: The Hybrid Junction Termination Extension. IEEE Electron Device Lett. 2016, 37, 1609–1612. [Google Scholar] [CrossRef]
- Sung, W.; Baliga, B.J. A Comparative Study 4500-V Edge Termination Techniques for SiC Devices. IEEE Trans. Electron Devices 2017, 64, 1647–1652. [Google Scholar] [CrossRef]
- Gake, T.; Kumagai, Y.; Oba, F. First-principles study of self-trapped holes and acceptor impurities in β-Ga2O3 polymorphs. Phys. Rev. Mater. 2019, 3, 044603. [Google Scholar] [CrossRef]
- Varley, J.B.; Janotti, A.; Franchini, C.; Van de Walle, C.G. Role of self-trapping in luminescence and p-type conductivity of wide-band-gap oxides. Phys. Rev. B 2012, 85, 081109. [Google Scholar] [CrossRef]
- Liao, C.; Lu, X.; Xu, T.; Fang, P.; Deng, Y.; Luo, H.; Wu, Z.; Chen, Z.; Liang, J.; Pei, Y. Optimization of NiO/β-Ga2O3 Heterojunction Diodes for High-Power Application. IEEE Trans. Electron Devices 2022, 69, 5722–5727. [Google Scholar] [CrossRef]
- Li, S.; Yue, J.; Lu, C.; Yan, Z.; Liu, Z.; Li, P.; Guo, D.; Wu, Z.; Guo, Y.; Tang, W. Oxygen vacancies modulating self-powered photoresponse in PEDOT: PSS/ε-Ga2O3 heterojunction by trapping effect. Sci. China Technol. Sci. 2022, 65, 704–712. [Google Scholar] [CrossRef]
- Hu, Z.; Zhao, C.; Feng, Q.; Feng, Z.; Jia, Z.; Lian, X.; Lai, Z.; Zhang, C.; Zhou, H.; Zhang, J.; et al. The Investigation of β-Ga2O3 Schottky Diode with Floating Field Ring Termination and the Interface States. ECS J. Solid State Sci. Technol. 2020, 9, 025001. [Google Scholar] [CrossRef]
- Sharma, R.; Xian, M.; Law, M.E.; Tadjer, M.; Ren, F.; Pearton, S.J. Design and implementation of floating field ring edge termination on vertical geometry β-Ga2O3 rectifiers. J. Vac. Sci. Technol. A 2020, 38, 063414. [Google Scholar] [CrossRef]
- Ji, B.; Gou, J.; Zheng, Y.; Pu, X.; Wang, Y.; Kidkhunthod, P.; Tang, Y. Coordination chemistry of large-size yttrium single-atom catalysts for oxygen reduction reaction. Adv. Mater. 2023, 2300381. [Google Scholar] [CrossRef]
- Tang, Y.; Wang, L.; Ji, B.; Zheng, Y. Asymmetric Coordination of Iridium Single-Atom IrN3O Boosting Formic Acid Oxidation Catalysis. Angew. Chem. Int. Ed. 2023, e202301711. [Google Scholar] [CrossRef]
- Xue, S.; Shang, J.; Pu, X.; Cheng, H.; Zhang, L.; Wang, C.; Lee, C.-S.; Tang, Y. Dual anionic doping strategy towards synergistic optimization of Co9S8 for fast and durable sodium storage. Energy Storage Mater. 2023, 55, 33–41. [Google Scholar] [CrossRef]
- Ma, Y.; Dong, L.; Li, P.; Hu, L.; Lu, B.; Miao, Y.; Peng, B.; Tian, A.; Liu, W. First-Principles-Based Quantum Transport Simulations of High-Performance and Low-Power MOSFETs Based on Monolayer Ga2O3. ACS Appl. Mater. Interfaces 2022, 14, 48220–48228. [Google Scholar] [CrossRef]
- Petkov, A.; Mishra, A.; Pomeroy, J.W.; Kuball, M. Molecular dynamics study of thermal transport across Ga2O3–diamond interfaces. Appl. Phys. Lett. 2023, 122, 031602. [Google Scholar] [CrossRef]
- Li, S.; Yan, Z.-Y.; Tang, J.-C.; Yue, J.-Y.; Liu, Z.; Li, P.-G.; Guo, Y.-F.; Tang, W.-H. Ga2O3/V2O5 Oxide Heterojunction Photovoltaic Photodetector with Superhigh Solar-Blind Spectral Discriminability. IEEE Trans. Electron Devices 2022, 69, 2443–2448. [Google Scholar] [CrossRef]
- Lu, L.; Wu, W.; Gao, Y.; Pan, C.; Yu, X.; Zhang, C.; Jin, Z. Study on current discrepancy and redistribution of HTS non-insulation closed-loop coils during charging/discharging and subsequent transient process toward steady-state operation. Supercond. Sci. Technol. 2022, 35, 095001. [Google Scholar] [CrossRef]
- Sugiura, T.; Nakano, N. Hard- and soft-breakdown modeling in <001> oriented β-Ga2O3 Schottky barrier diode. J. Appl. Phys. 2022, 132, 175703. [Google Scholar] [CrossRef]
- Sugiura, T.; Nakano, N. Impact Ionization and Critical Electric Field in ⟨010⟩-Oriented β-Ga2O3 Schottky Barrier Diode. IEEE Trans. Electron. Devices 2022, 69, 3068–3072. [Google Scholar] [CrossRef]
- Zhang, Z.; Yang, Q.; Yu, Z.; Wang, H.; Zhang, T. Influence of Y2O3 addition on the microstructure of TiC reinforced Ti-based composite coating prepared by laser cladding. Mater. Charact. 2022, 189, 111962. [Google Scholar] [CrossRef]
- Chung, K.L.; Tian, H.; Wang, S.; Feng, B.; Lai, G. Miniaturization of microwave planar circuits using composite microstrip/coplanar-waveguide transmission lines. Alex. Eng. J. 2022, 61, 8933–8942. [Google Scholar] [CrossRef]
- Zhu, L.; Li, Z.; Hou, K. Effect of radical scavenger on electrical tree in cross-linked polyethylene with large harmonic superimposed DC voltage. High Volt. 2022. [Google Scholar] [CrossRef]
- Shao, B.; Xiao, Q.; Xiong, L.; Wang, L.; Yang, Y.; Chen, Z.; Blaabjerg, F.; Guerrero, J.M. Power coupling analysis and improved decoupling control for the VSC connected to a weak AC grid. Int. J. Electr. Power 2023, 145, 108645. [Google Scholar] [CrossRef]
- Shi, L.; Ren, Z.; Zhou, C.; Shen, L.; Bai, H.; Huang, Z. Numerical simulation of an entangled wire-silicone rubber continuous interpenetration structure based on domain meshing superposition method. Compos. Part B Eng. 2023, 256, 110648. [Google Scholar] [CrossRef]
- Hatakeyama, T.; Shinohe, T. Reverse characteristics of a 4H-SiC Schottky barrier diode. In Materials Science Forum; Trans Tech Publications Ltd.: Zurich-Uetikon, Switzerland, 2002; pp. 1169–1172. [Google Scholar]
- Ma, N.; Tanen, N.; Verma, A.; Guo, Z.; Luo, T.; Xing, H.; Jena, D. Intrinsic electron mobility limits in β-Ga2O3. Appl. Phys. Lett. 2016, 109, 212101. [Google Scholar] [CrossRef]
- Cheng, L.; Yang, J.-Y.; Zheng, W. Bandgap, mobility, dielectric constant, and baliga’s figure of merit of 4H-SiC, GaN, and β-Ga2O3 from 300 to 620 K. ACS Appl. Electron. Mater. 2022, 4, 4140–4145. [Google Scholar] [CrossRef]
- Synopsys. Sentaurus Device User Guide, Version N-2017.09; Synopsys: Mountain View, CA, USA, 2017. [Google Scholar]
- Donato, N.; Antoniou, M.; Napoli, E.; Amaratunga, G.; Udrea, F. On the models used for TCAD simulations of Diamond Schottky Barrier Diodes. In Proceedings of the 2015 International Semiconductor Conference (CAS), Sinaia, Romania, 12–14 October 2015; pp. 223–226. [Google Scholar]
- Zhou, H.; Zeng, S.; Zhang, J.; Liu, Z.; Feng, Q.; Xu, S.; Zhang, J.; Hao, Y. Comprehensive Study and Optimization of Implementing p-NiO in β-Ga2O3 Based Diodes via TCAD Simulation. Crystals 2021, 11, 1186. [Google Scholar] [CrossRef]
- Sze, S.M.; Li, Y.; Ng, K.K. Physics of Semiconductor Devices; John Wiley & Sons: New York, NY, USA, 2021. [Google Scholar]
- Bhatnagar, M.; Nakanishi, H.; Bothra, S.; McLarty, P.; Baliga, B. Edge terminations for SiC high voltage Schottky rectifiers. In Proceedings of the 5th International Symposium on Power Semiconductor Devices and ICs, Monterey, CA, USA, 18–20 May 1993; pp. 89–94. [Google Scholar]










| Parameters | Electron | Hole |
|---|---|---|
| μ (cm2V−1s−1) | 25 | 10−6 |
| g | 4 × 10−3 | 4 × 10−3 |
| A* (A∙cm−2K−2) | 41.11 | 41.11 |
| mt (m0) | 0.32 | 11.8 |
| an (eV) | 6.8 × 10−4 | 6.8 × 10−4 |
| E0 (V∙cm−1) | 1 | 1 |
| p | 0.5 | 0.5 |
| a (cm−1) | 7.9 × 105 | 5.1 × 105 |
| b (V∙cm−1) | 2.92 × 107 | 1.2 × 107 |
| Parameters | Structural Meaning |
|---|---|
| N | Number of FMRs |
| Wpri | Width of FMR i |
| Wobi | Spacing between FMR i and FMR (i − 1) |
| Nepi | The doping concentration in the epitaxy layer |
| Lepi | The thickness of the epitaxy layer |
Disclaimer/Publisher’s Note: The statements, opinions and data contained in all publications are solely those of the individual author(s) and contributor(s) and not of MDPI and/or the editor(s). MDPI and/or the editor(s) disclaim responsibility for any injury to people or property resulting from any ideas, methods, instructions or products referred to in the content. |
© 2023 by the authors. Licensee MDPI, Basel, Switzerland. This article is an open access article distributed under the terms and conditions of the Creative Commons Attribution (CC BY) license (https://creativecommons.org/licenses/by/4.0/).
Share and Cite
Yao, S.; Yang, K.; Yang, L.; Feng, G.; Zhang, M.; Guo, Y.; Tang, W. Investigation on β-Ga2O3-Based Schottky Barrier Diode with Floating Metal Rings. Crystals 2023, 13, 666. https://doi.org/10.3390/cryst13040666
Yao S, Yang K, Yang L, Feng G, Zhang M, Guo Y, Tang W. Investigation on β-Ga2O3-Based Schottky Barrier Diode with Floating Metal Rings. Crystals. 2023; 13(4):666. https://doi.org/10.3390/cryst13040666
Chicago/Turabian StyleYao, Suhao, Kemeng Yang, Lili Yang, Ganrong Feng, Maolin Zhang, Yufeng Guo, and Weihua Tang. 2023. "Investigation on β-Ga2O3-Based Schottky Barrier Diode with Floating Metal Rings" Crystals 13, no. 4: 666. https://doi.org/10.3390/cryst13040666
APA StyleYao, S., Yang, K., Yang, L., Feng, G., Zhang, M., Guo, Y., & Tang, W. (2023). Investigation on β-Ga2O3-Based Schottky Barrier Diode with Floating Metal Rings. Crystals, 13(4), 666. https://doi.org/10.3390/cryst13040666
