Magnetic Behavior of the Arrays of Iron Cylindrical Nanostructures: Atomistic Spin Model Simulations
Abstract
1. Introduction
2. Geometry of Materials and Calculation Methods
3. Results of Calculations
3.1. Isolated Cylindrical Nanostructures
3.2. Arrays of Cylindrical Nanostructures
4. Conclusions
Author Contributions
Funding
Institutional Review Board Statement
Informed Consent Statement
Data Availability Statement
Acknowledgments
Conflicts of Interest
References
- Krahne, R.; Morello, G.; Figuerola, A.; George, C.; Deka, S.; Manna, L. Physical properties of elongated inorganic nanoparticles. Phys. Rep. 2011, 501, 75–221. [Google Scholar] [CrossRef]
- Staňo, M.; Fruchart, O. Magnetic nanowires and nanotubes. In Handbook of Magnetic Materials; Elsevier: Amsterdam, The Netherlands, 2018; Volume 27, pp. 155–267. [Google Scholar] [CrossRef]
- Vázquez, M. Magnetic Nano-And Microwires: Design, Synthesis, Properties and Applications; Woodhead Publishing: Soston, UK, 2015; p. 870. [Google Scholar]
- Zhang, A.; Zheng, G.; Lieber, C.M. Nanowires: Building Blocks for Nanoscience and Nanotechnology; Springer: Berlin/Heidelberg, Germany, 2017. [Google Scholar]
- Zhai, T.; Yao, J. One-Dimensional Nanostructures: Principles and Applications; John Wiley & Sons: Hoboken, NJ, USA, 2012. [Google Scholar]
- Laskowski, Ł.; Laskowska, M.; Vila, N.; Schabikowski, M.; Walcarius, A. Mesoporous silica-based materials for electronics-oriented applications. Molecules 2019, 24, 2395. [Google Scholar] [CrossRef] [PubMed]
- Laskowski, Ł.; Laskowska, M.; Jelonkiewicz, J.; Piech, H.; Galkowski, T.; Boullanger, A. The concept of molecular neurons. In Proceedings of the International Conference on Artificial Intelligence and Soft Computing, Zakopane, Poland, 12–16 June; Springer: Berlin/Heidelberg, Germany, 2016; pp. 494–501. [Google Scholar] [CrossRef]
- Laskowska, M.; Laskowski, Ł.; Jelonkiewicz, J.; Piech, H.; Filutowicz, Z. Porous Silica-Based Optoelectronic Elements as Interconnection Weights in Molecular Neural Networks. In Proceedings of the International Conference on Artificial Intelligence and Soft Computing, Zakopane, Poland, 3–7 June 2018; Springer: Berlin/Heidelberg, Germany, 2018; pp. 130–135. [Google Scholar] [CrossRef]
- Walter, E.; Ng, K.; Zach, M.; Penner, R.; Favier, F. Electronic devices from electrodeposited metal nanowires. Microelectron. Eng. 2002, 61, 555–561. [Google Scholar] [CrossRef]
- Wanekaya, A.K.; Chen, W.; Myung, N.V.; Mulchandani, A. Nanowire-based electrochemical biosensors. Electroanalysis 2006, 18, 533–550. [Google Scholar] [CrossRef]
- Kartopu, G.; Yalçın, O.; Lupu, N. Fabrication and applications of metal nanowire arrays electrodeposited in ordered porous templates. In Electrodeposited Nanowires and Their Applications; Books on Demand: Norderstedt, Germany, 2010; p. 228. [Google Scholar] [CrossRef]
- Kumeria, T.; Maher, S.; Wang, Y.; Kaur, G.; Wang, L.; Erkelens, M.; Forward, P.; Lambert, M.F.; Evdokiou, A.; Losic, D. Naturally derived Iron oxide nanowires from Bacteria for magnetically triggered drug release and Cancer hyperthermia in 2D and 3D culture environments: Bacteria biofilm to potent Cancer therapeutic. Biomacromolecules 2016, 17, 2726–2736. [Google Scholar] [CrossRef]
- Peixoto, L.; Magalhães, R.; Navas, D.; Moraes, S.; Redondo, C.; Morales, R.; Araújo, J.; Sousa, C. Magnetic nanostructures for emerging biomedical applications. Appl. Phys. Rev. 2020, 7, 011310. [Google Scholar] [CrossRef]
- Sugumaran, P.J.; Yang, Y.; Wang, Y.; Liu, X.; Ding, J. Influence of the Aspect Ratio of Iron Oxide Nanorods on Hysteresis-Loss-Mediated Magnetic Hyperthermia. ACS Appl. Bio Mater. 2021, 4, 4809–4820. [Google Scholar] [CrossRef]
- Yang, S.; Zhu, H.; Yu, D.; Jin, Z.; Tang, S.; Du, Y. Preparation and magnetic property of Fe nanowire array. J. Magn. Magn. Mater. 2000, 222, 97–100. [Google Scholar] [CrossRef]
- Prida, V.; García, J.; Hernando, B.; Bran, C.; Vivas, L.; Vázquez, M. Electrochemical synthesis of magnetic nanowires with controlled geometry and magnetic anisotropy. In Magnetic Nano- and Microwires; Elsevier: Berlin/Heidelberg, Germany, 2015; pp. 41–104. [Google Scholar] [CrossRef]
- Hurst, S.J.; Payne, E.K.; Qin, L.; Mirkin, C.A. Multisegmented one-dimensional nanorods prepared by hard-template synthetic methods. Angew. Chem. Int. Ed. 2006, 45, 2672–2692. [Google Scholar] [CrossRef]
- Napolsky, K.; Eliseev, A.; Knotko, A.; Lukahsin, A.; Vertegel, A.; Tretyakov, Y.D. Preparation of ordered magnetic iron nanowires in the mesoporous silica matrix. Mater. Sci. Eng. C 2003, 23, 151–154. [Google Scholar] [CrossRef]
- Whitney, T.; Searson, P.; Jiang, J.; Chien, C. Fabrication and magnetic properties of arrays of metallic nanowires. Science 1993, 261, 1316–1319. [Google Scholar] [CrossRef]
- Seley, D.B.; Dissing, D.A.; Sumant, A.V.; Divan, R.; Miller, S.; Auciello, O.; Lepak, L.A.; Terrell, E.A.; Shogren, T.J.; Fahrner, D.A.; et al. Electroplate and lift lithography for patterned micro/nanowires using ultrananocrystalline diamond (UNCD) as a reusable template. ACS Appl. Mater. Interfaces 2011, 3, 925–930. [Google Scholar] [CrossRef]
- Yuan, J.; Xu, Y.; Müller, A.H. One-dimensional magnetic inorganic—Organic hybrid nanomaterials. Chem. Soc. Rev. 2011, 40, 640–655. [Google Scholar] [CrossRef]
- Sampaio, L.; Sinnecker, E.; Cernicchiaro, G.; Knobel, M.; Vázquez, M.; Velázquez, J. Magnetic microwires as macrospins in a long-range dipole-dipole interaction. Phys. Rev. B 2000, 61, 8976. [Google Scholar] [CrossRef]
- Zighem, F.; Maurer, T.; Ott, F.; Chaboussant, G. Dipolar interactions in arrays of ferromagnetic nanowires: A micromagnetic study. J. Appl. Phys. 2011, 109, 013910. [Google Scholar] [CrossRef]
- Kac, M.; Nykiel, A.; Pastukh, O.; Kopec, M.; Zarzycki, A.; Maximenko, A.; Parlinska-Wojtan, M.; Dutkiewicz, E.; Kopia, A. The role of the addition of Cu in alloyed and multilayered Fe-based nanowires. Mater. Sci. Eng. B 2022, 281, 115732. [Google Scholar] [CrossRef]
- Proenca, M.P.; Rial, J.; Araujo, J.P.; Sousa, C.T. Magnetic reversal modes in cylindrical nanostructures: From disks to wires. Sci. Rep. 2021, 11, 10100. [Google Scholar] [CrossRef] [PubMed]
- Nguyen, T.; Cottam, M.; Liu, H.; Wang, Z.; Ng, S.; Kuok, M.; Lockwood, D.; Nielsch, K.; Gösele, U. Spin waves in permalloy nanowires: The importance of easy-plane anisotropy. Phys. Rev. B 2006, 73, 140402. [Google Scholar] [CrossRef]
- Ivanov, Y.; Chubykalo-Fesenko, O. Micromagnetic simulations of cylindrical magnetic nanowires. In Magnetic Nano- and Microwires; Vázquez, M., Ed.; Woodhead Publishing: Soston, UK, 2015; pp. 423–448. [Google Scholar] [CrossRef]
- David, C.; Kappel, W.; Pătroi, E.A.; Manta, E.; Midoi, V. Micromagnetic study of iron nanowire arrays. Rev. Roum. Sci. Tech. 2022, 1, 9–13. [Google Scholar]
- Wen-Bing, C.; Man-Gui, H.; Hao, Z.; Yu, O.; Long-Jiang, D. Micromagnetic simulation on the dynamic susceptibility spectra of cobalt nanowires arrays: The effect of magnetostatic interaction. Chin. Phys. B 2010, 19, 087502. [Google Scholar] [CrossRef]
- Moraes, S.; Navas, D.; Béron, F.; Proenca, M.P.; Pirota, K.R.; Sousa, C.T.; Araújo, J.P. The role of Cu length on the magnetic behaviour of Fe/Cu multi-segmented nanowires. Nanomaterials 2018, 8, 490. [Google Scholar] [CrossRef] [PubMed]
- Silvani, R.; Kostylev, M.; Adeyeye, A.O.; Gubbiotti, G. Spin wave filtering and guiding in Permalloy/iron nanowires. J. Magn. Magn. Mater. 2018, 450, 51–59. [Google Scholar] [CrossRef]
- Dubitskiy, I.; Elmekawy, A.; Iashina, E.; Sotnichuk, S.; Napolskii, K.; Menzel, D.; Mistonov, A. Effect of interactions and non-uniform magnetic states on the magnetization reversal of iron nanowire arrays. J. Supercond. Nov. Magn. 2021, 34, 539–549. [Google Scholar] [CrossRef]
- Elmekawy, A.; Iashina, E.; Dubitskiy, I.; Sotnichuk, S.; Bozhev, I.; Napolskii, K.S.; Menzel, D.; Mistonov, A. Magnetic properties and FORC analysis of iron nanowire arrays. Mater. Today Commun. 2020, 25, 101609. [Google Scholar] [CrossRef]
- Neetzel, C.; Kamimura, H.; Hayashida, M.; Ohgai, T. Uniaxial magnetization reversal process in electrodeposited high-density iron nanowire arrays with ultra-large aspect ratio. Results Phys. 2019, 15, 102653. [Google Scholar] [CrossRef]
- Forster, H.; Schrefl, T.; Scholz, W.; Suess, D.; Tsiantos, V.; Fidler, J. Micromagnetic simulation of domain wall motion in magnetic nano-wires. J. Magn. Magn. Mater. 2002, 249, 181–186. [Google Scholar] [CrossRef]
- Hertel, R.; Kirschner, J. Magnetization reversal dynamics in nickel nanowires. Phys. B Condens. Matter 2004, 343, 206–210. [Google Scholar] [CrossRef]
- Agramunt-Puig, S.; Del-Valle, N.; Pellicer, E.; Zhang, J.; Nogués, J.; Navau, C.; Sanchez, A.; Sort, J. Modeling the collective magnetic behavior of highly-packed arrays of multi-segmented nanowires. New J. Phys. 2016, 18, 013026. [Google Scholar] [CrossRef]
- Leliaert, J.; Dvornik, M.; Mulkers, J.; De Clercq, J.; Milošević, M.; Van Waeyenberge, B. Fast micromagnetic simulations on gpu—recent advances made with. J. Phys. D Appl. Phys. 2018, 51, 123002. [Google Scholar] [CrossRef]
- Evans, R.F.; Fan, W.J.; Chureemart, P.; Ostler, T.A.; Ellis, M.O.; Chantrell, R.W. Atomistic spin model simulations of magnetic nanomaterials. J. Phys. Condens. Matter 2014, 26, 103202. [Google Scholar] [CrossRef]
- Hovorka, O.; Devos, S.; Coopman, Q.; Fan, W.; Aas, C.; Evans, R.; Chen, X.; Ju, G.; Chantrell, R. The Curie temperature distribution of FePt granular magnetic recording media. Appl. Phys. Lett. 2012, 101, 052406. [Google Scholar] [CrossRef]
- Liao, J.W.; Atxitia, U.; Evans, R.F.; Chantrell, R.W.; Lai, C.H. Atomistic modeling of magnetization reversal modes in L10 FePt nanodots with magnetically soft edges. Phys. Rev. B 2014, 90, 174415. [Google Scholar] [CrossRef]
- Meo, A.; Chureemart, P.; Wang, S.; Chepulskyy, R.; Apalkov, D.; Chantrell, R.W.; Evans, R.F. Thermally nucleated magnetic reversal in CoFeB/MgO nanodots. Sci. Rep. 2017, 7, 16729. [Google Scholar] [CrossRef]
- Meo, A.; Chepulskyy, R.; Apalkov, D.; Chantrell, R.W.; Evans, R.F. Atomistic investigation of the temperature and size dependence of the energy barrier of CoFeB/MgO nanodots. J. Appl. Phys. 2020, 128, 073905. [Google Scholar] [CrossRef]
- Ramos-Guivar, J.A.; Tamanaha-Vegas, C.A.; Litterst, F.J.; Passamani, E.C. Magnetic simulations of core–shell ferromagnetic bi-magnetic nanoparticles: The influence of antiferromagnetic interfacial exchange. Nanomaterials 2021, 11, 1381. [Google Scholar] [CrossRef] [PubMed]
- Moreno, R.; Poyser, S.; Meilak, D.; Meo, A.; Jenkins, S.; Lazarov, V.K.; Vallejo-Fernandez, G.; Majetich, S.; Evans, R.F. The role of faceting and elongation on the magnetic anisotropy of magnetite Fe3O4 nanocrystals. Sci. Rep. 2020, 10, 2722. [Google Scholar] [CrossRef] [PubMed]
- Gao, J.H.; Sun, D.L.; Zhan, Q.F.; He, W.; Cheng, Z.H. Magnetization reversal process and magnetic relaxation of self-assembled Fe3Pt nanowire arrays with different diameters: Experiment and micromagnetic simulations. Phys. Rev. B 2007, 75, 064421. [Google Scholar] [CrossRef]
- Hertel, R. Micromagnetic simulations of magnetostatically coupled nickel nanowires. J. Appl. Phys. 2001, 90, 5752–5758. [Google Scholar] [CrossRef]
- Momma, K.; Izumi, F. VESTA 3 for three-dimensional visualization of crystal, volumetric and morphology data. J. Appl. Crystallogr. 2011, 44, 1272–1276. [Google Scholar] [CrossRef]
- García-Palacios, J.L.; Lázaro, F.J. Langevin-dynamics study of the dynamical properties of small magnetic particles. Phys. Rev. B 1998, 58, 14937. [Google Scholar] [CrossRef]
- Sellmyer, D.; Zheng, M.; Skomski, R. Magnetism of Fe, Co and Ni nanowires in self-assembled arrays. J. Phys. Condens. Matter 2001, 13, R433. [Google Scholar] [CrossRef]
- Abo, G.S.; Hong, Y.K.; Park, J.; Lee, J.; Lee, W.; Choi, B.C. Definition of magnetic exchange length. IEEE Trans. Magn. 2013, 49, 4937–4939. [Google Scholar] [CrossRef]
- Paulus, P.; Luis, F.; Kröll, M.; Schmid, G.; De Jongh, L. Low-temperature study of the magnetization reversal and magnetic anisotropy of Fe, Ni, and Co nanowires. J. Magn. Magn. Mater. 2001, 224, 180–196. [Google Scholar] [CrossRef]
- Sun, L.; Hao, Y.; Chien, C.L.; Searson, P.C. Tuning the properties of magnetic nanowires. IBM J. Res. Dev. 2005, 49, 79–102. [Google Scholar] [CrossRef]
- Ramazani, A.; Ghaffari, M.; Kashi, M.A.; Kheiry, F.; Eghbal, F. A new approach to fabricating magnetic multilayer nanowires by modifying the ac pulse electrodeposition in a single bath. J. Phys. D Appl. Phys. 2014, 47, 355003. [Google Scholar] [CrossRef]
- Tang, X.T.; Wang, G.C.; Shima, M. Magnetic layer thickness dependence of magnetization reversal in electrodeposited CoNi/Cu multilayer nanowires. J. Magn. Magn. Mater. 2007, 309, 188–196. [Google Scholar] [CrossRef]
- Chen, M.; Chien, C.L.; Searson, P.C. Potential modulated multilayer deposition of multisegment Cu/Ni nanowires with tunable magnetic properties. Chem. Mater. 2006, 18, 1595–1601. [Google Scholar] [CrossRef]
- Medina, J.D.L.T.; Darques, M.; Blon, T.; Piraux, L.; Encinas, A. Effects of layering on the magnetostatic interactions in microstructures of CoxCu1−x/Cu nanowires. Phys. Rev. B 2008, 77, 014417. [Google Scholar] [CrossRef]
- Li, F.; Metzger, R.M. Activation volume of α-Fe particles in alumite films. J. Appl. Phys. 1997, 81, 3806–3808. [Google Scholar] [CrossRef]
- Xu, H.; Wu, Q.; Yue, M.; Li, C.; Li, H.; Palaka, S. Effect of size distribution on magnetic properties in cobalt nanowires. AIP Adv. 2018, 8, 056422. [Google Scholar] [CrossRef]
- Ivanov, Y.P.; Vázquez, M.; Chubykalo-Fesenko, O. Magnetic reversal modes in cylindrical nanowires. J. Phys. D Appl. Phys. 2013, 46, 485001. [Google Scholar] [CrossRef]
- Nedelkoski, Z.; Kepaptsoglou, D.; Lari, L.; Wen, T.; Booth, R.A.; Oberdick, S.D.; Galindo, P.L.; Ramasse, Q.M.; Evans, R.F.; Majetich, S.; et al. Origin of reduced magnetization and domain formation in small magnetite nanoparticles. Sci. Rep. 2017, 7, 45997. [Google Scholar] [CrossRef]
- Yang, Z.; Chen, Y.; Liu, W.; Wang, Y.; Li, Y.; Zhang, D.; Lu, Q.; Wu, Q.; Zhang, H.; Yue, M. Effects of Shape Anisotropy on Hard–Soft Exchange-Coupled Permanent Magnets. Nanomaterials 2022, 12, 1261. [Google Scholar] [CrossRef] [PubMed]
- Pousthomis, M.; Anagnostopoulou, E.; Panagiotopoulos, I.; Boubekri, R.; Fang, W.; Ott, F.; Atmane, K.A.; Piquemal, J.Y.; Lacroix, L.M.; Viau, G. Localized magnetization reversal processes in cobalt nanorods with different aspect ratios. Nano Res. 2015, 8, 2231–2241. [Google Scholar] [CrossRef]
- Ramazani, A.; Kashi, M.A.; Ghanbari, S.; Eshaghi, F. Dual behaviors of magnetic CoxFe1−x (0 ≤ x ≤ 1) nanowires embedded in nanoporous with different diameters. J. Magn. Magn. Mater. 2012, 324, 3193–3198. [Google Scholar] [CrossRef]
- Ochoa, A.; Mejía-López, J.; Velásquez, E.; Mazo-Zuluaga, J. Finite-length Fe nanowire arrays: The effects of magnetic anisotropy energy, dipolar interaction and system size on their magnetic properties. J. Phys. D Appl. Phys. 2017, 50, 095003. [Google Scholar] [CrossRef]
- Bahiana, M.; Amaral, F.; Allende, S.; Altbir, D. Reversal modes in arrays of interacting magnetic Ni nanowires: Monte Carlo simulations and scaling technique. Phys. Rev. B 2006, 74, 174412. [Google Scholar] [CrossRef]
- Vázquez, M.; Pirota, K.; Hernández-Vélez, M.; Prida, V.; Navas, D.; Sanz, R.; Batallán, F.; Velázquez, J. Magnetic properties of densely packed arrays of Ni nanowires as a function of their diameter and lattice parameter. J. Appl. Phys. 2004, 95, 6642–6644. [Google Scholar] [CrossRef]
- Nielsch, K.; Wehrspohn, R.; Barthel, J.; Kirschner, J.; Gösele, U.; Fischer, S.; Kronmüller, H. Hexagonally ordered 100 nm period nickel nanowire arrays. Appl. Phys. Lett. 2001, 79, 1360–1362. [Google Scholar] [CrossRef]
- Kartopu, G.; Yalçın, O.; Es-Souni, M.; Başaran, A. Magnetization behavior of ordered and high density Co nanowire arrays with varying aspect ratio. J. Appl. Phys. 2008, 103, 093915. [Google Scholar] [CrossRef]
- Encinas-Oropesa, A.; Demand, M.; Piraux, L.; Huynen, I.; Ebels, U. Dipolar interactions in arrays of nickel nanowires studied by ferromagnetic resonance. Phys. Rev. B 2001, 63, 104415. [Google Scholar] [CrossRef]
- Velázquez, J.; Garcıa, C.; Vazquez, M.; Hernando, A. Interacting amorphous ferromagnetic wires: A complex system. J. Appl. Phys. 1999, 85, 2768–2774. [Google Scholar] [CrossRef]
- Hwang, M.; Abraham, M.; Savas, T.; Smith, H.I.; Ram, R.J.; Ross, C. Magnetic force microscopy study of interactions in 100 nm period nanomagnet arrays. J. Appl. Phys. 2000, 87, 5108–5110. [Google Scholar] [CrossRef]
- Clime, L.; Ciureanu, P.; Yelon, A. Magnetostatic interactions in dense nanowire arrays. J. Magn. Magn. Mater. 2006, 297, 60–70. [Google Scholar] [CrossRef]
- Cabria, I.; Prida, V. Magnetostatic dipolar anisotropy energy and anisotropy constants in arrays of ferromagnetic nanowires as a function of their radius and interwall distance. J. Phys. Commun. 2020, 4, 035015. [Google Scholar] [CrossRef]
- Aurélio, D.; Vejpravova, J. Understanding magnetization dynamics of a magnetic nanoparticle with a disordered shell using micromagnetic simulations. Nanomaterials 2020, 10, 1149. [Google Scholar] [CrossRef] [PubMed]
- El-Sheikh, S.M.; Harraz, F.A.; Hessien, M.M. Magnetic behavior of cobalt ferrite nanowires prepared by template-assisted technique. Mater. Chem. Phys. 2010, 123, 254–259. [Google Scholar] [CrossRef]
- Ji, G.; Gong, Z.; Liu, Y.; Chang, X.; Du, Y.; Qamar, M. Fabrication and magnetic properties of cobalt nanorod arrays containing a number of ultrafine nanowires electrodeposited within an AAO/SBA-15 template. Solid State Commun. 2011, 151, 1151–1155. [Google Scholar] [CrossRef]







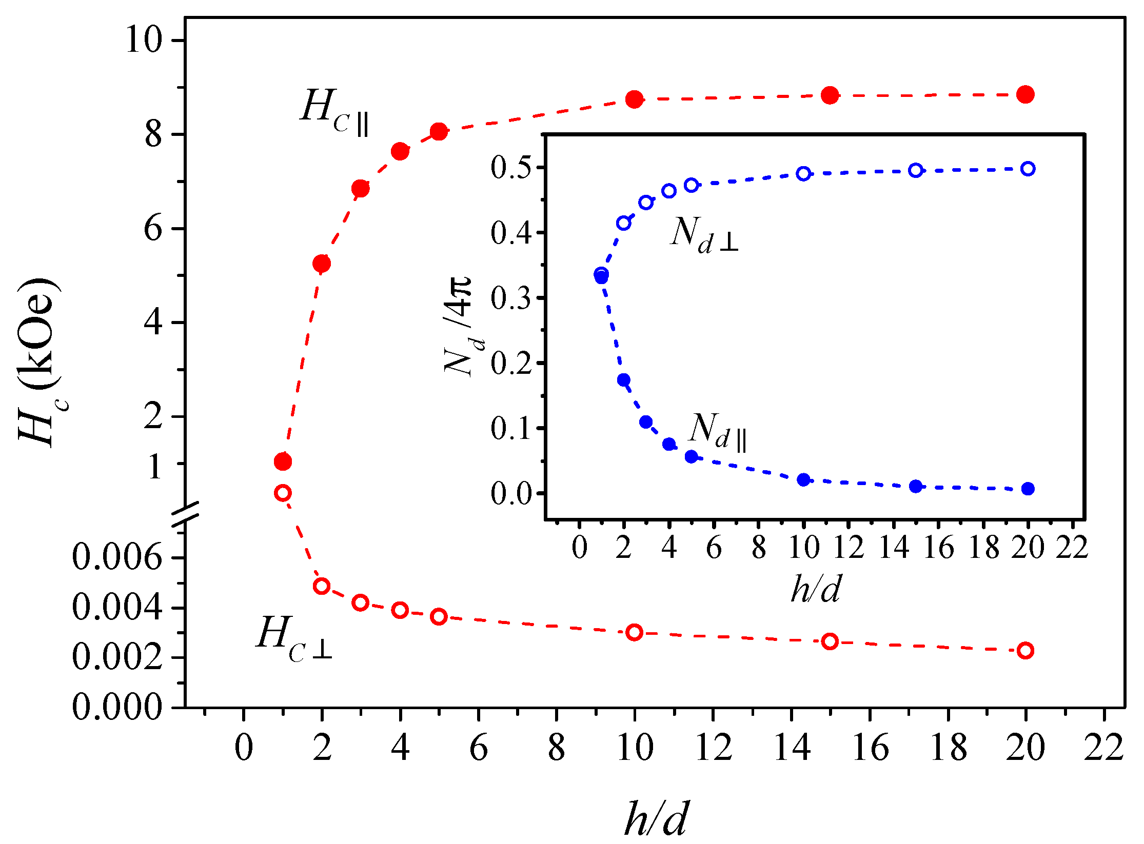
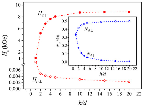
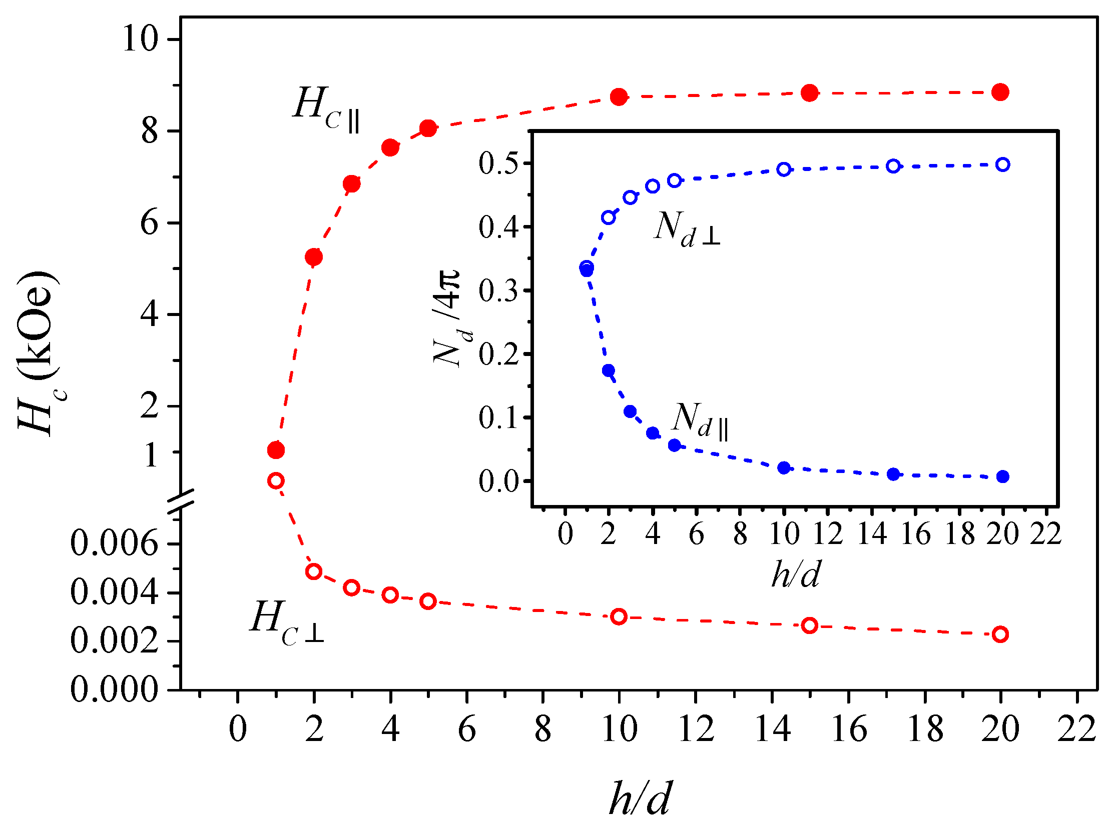
| h (nm) | Aspect Ratio | Number of Atoms | kOe | kOe | ||
|---|---|---|---|---|---|---|
| 3 | 0.6 | 5050 | 0.044 | — | 0.496 | — |
| 5 | 1 | 8417 | 1.041 | 0.33068 | 0.3667 | 0.33466 |
| 10 | 2 | 16853 | 5.245 | 0.17356 | 0.00486 | 0.41322 |
| 15 | 3 | 24831 | 6.843 | 0.10871 | 0.00419 | 0.44565 |
| 20 | 4 | 33110 | 7.646 | 0.07541 | 0.00391 | 0.46230 |
| 25 | 5 | 42087 | 8.053 | 0.05582 | 0.00364 | 0.47209 |
| 50 | 10 | 83934 | 8.749 | 0.02029 | 0.00302 | 0.48986 |
| 75 | 15 | 123926 | 8.826 | 0.01075 | 0.00263 | 0.49463 |
| 100 | 20 | 167879 | 8.844 | 0.00675 | 0.00227 | 0.49663 |
Disclaimer/Publisher’s Note: The statements, opinions and data contained in all publications are solely those of the individual author(s) and contributor(s) and not of MDPI and/or the editor(s). MDPI and/or the editor(s) disclaim responsibility for any injury to people or property resulting from any ideas, methods, instructions or products referred to in the content. |
© 2023 by the authors. Licensee MDPI, Basel, Switzerland. This article is an open access article distributed under the terms and conditions of the Creative Commons Attribution (CC BY) license (https://creativecommons.org/licenses/by/4.0/).
Share and Cite
Pastukh, O.; Kac, M.; Pastukh, S.; Kuźma, D.; Zelent, M.; Krawczyk, M.; Laskowski, Ł. Magnetic Behavior of the Arrays of Iron Cylindrical Nanostructures: Atomistic Spin Model Simulations. Crystals 2023, 13, 537. https://doi.org/10.3390/cryst13030537
Pastukh O, Kac M, Pastukh S, Kuźma D, Zelent M, Krawczyk M, Laskowski Ł. Magnetic Behavior of the Arrays of Iron Cylindrical Nanostructures: Atomistic Spin Model Simulations. Crystals. 2023; 13(3):537. https://doi.org/10.3390/cryst13030537
Chicago/Turabian StylePastukh, Oleksandr, Malgorzata Kac, Svitlana Pastukh, Dominika Kuźma, Mateusz Zelent, Maciej Krawczyk, and Łukasz Laskowski. 2023. "Magnetic Behavior of the Arrays of Iron Cylindrical Nanostructures: Atomistic Spin Model Simulations" Crystals 13, no. 3: 537. https://doi.org/10.3390/cryst13030537
APA StylePastukh, O., Kac, M., Pastukh, S., Kuźma, D., Zelent, M., Krawczyk, M., & Laskowski, Ł. (2023). Magnetic Behavior of the Arrays of Iron Cylindrical Nanostructures: Atomistic Spin Model Simulations. Crystals, 13(3), 537. https://doi.org/10.3390/cryst13030537

