Anomalous Positron Lifetime in Single Crystal of Weyl Semimetal CoSi
Abstract
1. Introduction
2. Materials and Methods
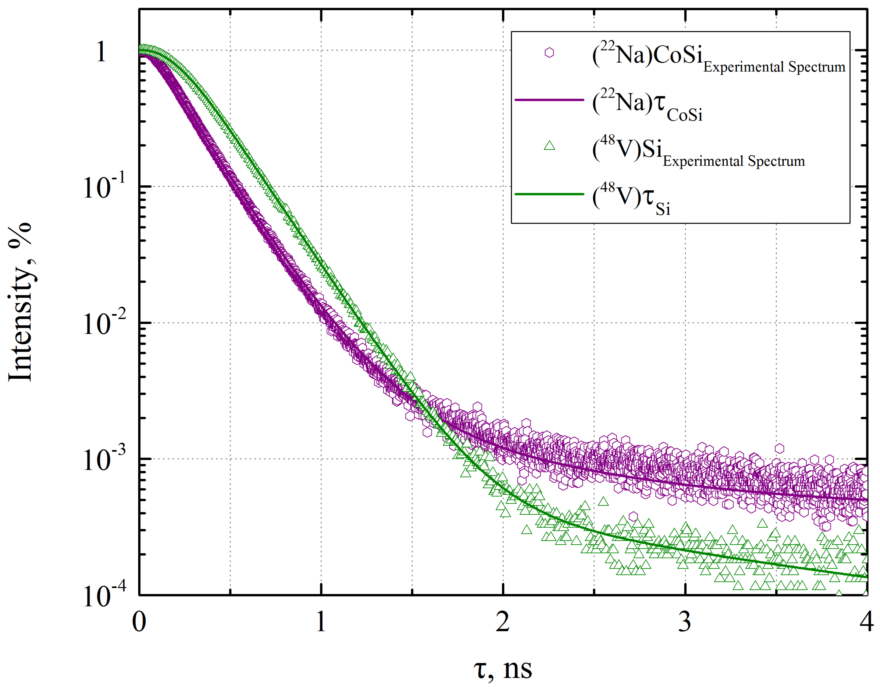
3. Results and Discussion
4. Conclusions
Author Contributions
Funding
Data Availability Statement
Acknowledgments
Conflicts of Interest
Abbreviations
| Ps | positronium |
| PAL | positron annihilation lifetime |
| PALS | positron annihilation lifetime spectroscopy |
References
- Mohorovičić, S. Möglichkeit neuer Elemente und ihre Bedeutung für die Astrophysik. Astron. Nachr. 1934, 253, 93–108. [Google Scholar] [CrossRef]
- Deutsch, M. Evidence for the Formation of Positronium in Gases. Phys. Rev. 1951, 82, 455–456. [Google Scholar] [CrossRef]
- Al-Ramadhan, A.H.; Gidley, D.W. New precision measurement of the decay rate of singlet positronium. Phys. Rev. Lett. 1994, 72, 1632–1635. [Google Scholar] [CrossRef] [PubMed]
- Asai, S.; Orito, S.; Shinohara, N. New measurement of the orthopositronium decay rate. Phys. Lett. B 1995, 357, 475–480. [Google Scholar] [CrossRef]
- Saito, H.; Hyodo, T. Direct Measurement of the Parapositronium Lifetime in α-SiO2. Phys. Rev. Lett. 2003, 90, 193401. [Google Scholar] [CrossRef] [PubMed]
- Mills, A.P.; Pfeiffer, L.; Platzman, P.M. Positronium Velocity Spectroscopy of the Electronic Density of States at a Metal Surface. Phys. Rev. Lett. 1983, 51, 1085–1088. [Google Scholar] [CrossRef]
- Nagai, Y.; Kakimoto, M.; Hyodo, T.; Fujiwara, K.; Ikari, H.; Eldrup, M.; Stewart, A.T. Temperature dependence of the momentum distribution of positronium in MgF2, SiO2, and H2O. Phys. Rev. B 2000, 62, 5531–5535. [Google Scholar] [CrossRef]
- Chirayath, V.A.; Fairchild, A.J.; Gladen, R.W.; Chrysler, M.D.; Koymen, A.R.; Weiss, A.H. Positronium formation in graphene and graphite. Aip Conf. Proc. 2019, 2182, 050002. [Google Scholar] [CrossRef]
- Wang, Z.; Sun, Y.; Chen, X.Q.; Franchini, C.; Xu, G.; Weng, H.; Dai, X.; Fang, Z. Dirac semimetal and topological phase transitions in A3Bi (A = Na, K, Rb). Phys. Rev. B 2012, 85, 195320. [Google Scholar] [CrossRef]
- Wang, Z.; Weng, H.; Wu, Q.; Dai, X.; Fang, Z. Three-dimensional Dirac semimetal and quantum transport in Cd3As2. Phys. Rev. B 2013, 88, 125427. [Google Scholar] [CrossRef]
- Neupane, M.; Xu, S.Y.; Sankar, R.; Alidoust, N.; Bian, G.; Liu, C.; Belopolski, I.; Chang, T.R.; Jeng, H.T.; Lin, H.; et al. Observation of a three-dimensional topological Dirac semimetal phase in high-mobility Cd3As2. Nat. Commun. 2014, 5, 3786. [Google Scholar] [CrossRef]
- Borisenko, S.; Gibson, Q.; Evtushinsky, D.; Zabolotnyy, V.; Büchner, B.; Cava, R.J. Experimental Realization of a Three-Dimensional Dirac Semimetal. Phys. Rev. Lett. 2014, 113, 027603. [Google Scholar] [CrossRef]
- Liu, Z.K.; Zhou, B.; Zhang, Y.; Wang, Z.J.; Weng, H.M.; Prabhakaran, D.; Mo, S.K.; Shen, Z.X.; Fang, Z.; Dai, X.; et al. Discovery of a Three-Dimensional Topological Dirac Semimetal, Na3Bi. Science 2014, 343, 864–867. [Google Scholar] [CrossRef]
- Xu, S.Y.; Belopolski, I.; Alidoust, N.; Neupane, M.; Bian, G.; Zhang, C.; Sankar, R.; Chang, G.; Yuan, Z.; Lee, C.C.; et al. Discovery of a Weyl fermion semimetal and topological Fermi arcs. Science 2015, 349, 613–617. [Google Scholar] [CrossRef]
- Rao, Z.; Li, H.; Zhang, T.; Tian, S.; Li, C.; Fu, B.; Tang, C.; Wang, L.; Li, Z.; Fan, W.; et al. Observation of unconventional chiral fermions with long Fermi arcs in CoSi. Nature 2019, 567, 496–499. [Google Scholar] [CrossRef] [PubMed]
- Sanchez, D.S.; Belopolski, I.; Cochran, T.A.; Xu, X.; Yin, J.X.; Chang, G.; Xie, W.; Manna, K.; Süß, V.; Huang, C.Y.; et al. Topological chiral crystals with helicoid-arc quantum states. Nature 2019, 567, 500–505. [Google Scholar] [CrossRef]
- Takane, D.; Wang, Z.; Souma, S.; Nakayama, K.; Nakamura, T.; Oinuma, H.; Nakata, Y.; Iwasawa, H.; Cacho, C.; Kim, T.; et al. Observation of Chiral Fermions with a Large Topological Charge and Associated Fermi-Arc Surface States in CoSi. Phys. Rev. Lett. 2019, 122, 076402. [Google Scholar] [CrossRef] [PubMed]
- Li, H.; Xu, S.; Rao, Z.C.; Zhou, L.Q.; Wang, Z.J.; Zhou, S.M.; Tian, S.J.; Gao, S.Y.; Li, J.J.; Huang, Y.B.; et al. Chiral fermion reversal in chiral crystals. Nat. Commun. 2019, 10, 5505. [Google Scholar] [CrossRef] [PubMed]
- Schröter, N.B.M.; Pei, D.; Vergniory, M.G.; Sun, Y.; Manna, K.; de Juan, F.; Krieger, J.A.; Süss, V.; Schmidt, M.; Dudin, P.; et al. Chiral topological semimetal with multifold band crossings and long Fermi arcs. Nat. Phys. 2019, 15, 759–765. [Google Scholar] [CrossRef]
- Tang, P.; Zhou, Q.; Zhang, S.C. Multiple Types of Topological Fermions in Transition Metal Silicides. Phys. Rev. Lett. 2017, 119, 206402. [Google Scholar] [CrossRef]
- Lee, C.; Yoon, C.; Kim, T.; Chung, S.B.; Min, H. Topological multiband s-wave superconductivity in coupled multifold fermions. Phys. Rev. B 2021, 104, L241115. [Google Scholar] [CrossRef]
- Hsieh, T.Y.; Prasad, B.B.; Guo, G.Y. Helicity-tunable spin Hall and spin Nernst effects in unconventional chiral fermion semimetals XY (X = Co, Rh; Y = Si, Ge). Phys. Rev. B 2022, 106, 165102. [Google Scholar] [CrossRef]
- Castelvecchi, D. The strange topology that is reshaping physics. Nature 2017, 547, 272–274. [Google Scholar] [CrossRef] [PubMed]
- Pshenay-Severin, D.A.; Burkov, A.T. Electronic Structure of B20 (FeSi-Type) Transition-Metal Monosilicides. Materials 2019, 12, 2710. [Google Scholar] [CrossRef] [PubMed]
- Mühlbauer, S.; Binz, B.; Jonietz, F.; Pfleiderer, C.; Rosch, A.; Neubauer, A.; Georgii, R.; Böni, P. Skyrmion Lattice in a Chiral Magnet. Science 2009, 323, 915–919. [Google Scholar] [CrossRef]
- Schlesinger, Z.; Fisk, Z.; Zhang, H.T.; Maple, M.B.; DiTusa, J.; Aeppli, G. Unconventional charge gap formation in FeSi. Phys. Rev. Lett. 1993, 71, 1748–1751. [Google Scholar] [CrossRef]
- Eldrup, M. Positron Methods for the Study of Defects in Bulk Materials. J. Phys. IV France 1995, 05, C1-93–C1-109. [Google Scholar] [CrossRef]
- Abhaya, S.; Amarendra, G. Positron annihilation studies on bulk cobalt silicides. Phys. Status Solidi C 2009, 6, 2519–2522. [Google Scholar] [CrossRef]
- Reiner, M.; Bauer, A.; Leitner, M.; Gigl, T.; Anwand, W.; Butterling, M.; Wagner, A.; Kudejova, P.; Pfleiderer, C.; Hugenschmidt, C. Positron spectroscopy of point defects in the skyrmion-lattice compound MnSi. Sci. Rep. 2016, 6, 29109. [Google Scholar] [CrossRef]
- Mostafaa, K.; De Baerdemaekera, J.; Calvillob, P.; Van Caenegemb, N.; Houbaertb, Y.; Segers, D. A Study of Defects in Iron Based Alloys by Positron Annihilation Techniques. Acta Phys. Pol. A 2008, 113, 1471–1478. [Google Scholar] [CrossRef]
- Bharathi, A.; Hariharan, Y.; Mani, A.; Sundar, C.S. Positron-lifetime studies in the Kondo insulator FeSi. Phys. Rev. B 1997, 55, R13385–R13388. [Google Scholar] [CrossRef]
- Stishov, S.M.; Petrova, A.E.; Khasanov, S.; Panova, G.K.; Shikov, A.A.; Lashley, J.C.; Wu, D.; Lograsso, T.A. Magnetic phase transition in the itinerant helimagnet MnSi: Thermodynamic and transport properties. Phys. Rev. B 2007, 76, 052405. [Google Scholar] [CrossRef]
- Petrova, A.E.; Krasnorussky, V.N.; Shikov, A.A.; Yuhasz, W.M.; Lograsso, T.A.; Lashley, J.C.; Stishov, S.M. Elastic, thermodynamic, and electronic properties of MnSi, FeSi, and CoSi. Phys. Rev. B 2010, 82, 155124. [Google Scholar] [CrossRef]
- Stishov, S.M.; Petrova, A.E. Itinerant helimagnet MnSi. Phys. Uspekhi 2011, 54, 1117. [Google Scholar] [CrossRef]
- Sales, B.C.; Jones, E.C.; Chakoumakos, B.C.; Fernandez-Baca, J.A.; Harmon, H.E.; Sharp, J.W.; Volckmann, E.H. Magnetic, transport, and structural properties of Fe1−xIrxSi. Phys. Rev. B 1994, 50, 8207–8213. [Google Scholar] [CrossRef]
- Wong-Ng, W.; McMurdie, F.H.; Paretzkin, B.; Zhang, Y.; Davis, K.L.; Hubbard, C.R.; Dragoo, A.L.; Stewart, J.M. Reference X-ray diffraction powder patterns of fifteen ceramic phases. Powder Diffr. 1987, 2, 257–265. [Google Scholar] [CrossRef]
- Khandaker, M.; Kim, K.; Lee, M.; Kim, K.; Kim, G.; Cho, Y.; Lee, Y. Investigations of the natTi(p,x)43,44m,44g,46,47,48Sc,48V nuclear processes up to 40 MeV. Appl. Radiat. Isot. 2009, 67, 1348–1354, 6th International Conference on Isotopes. [Google Scholar] [CrossRef]
- Garrido, E.; Duchemin, C.; Guertin, A.; Haddad, F.; Michel, N.; Métivier, V. New excitation functions for proton induced reactions on natural titanium, nickel and copper up to 70 MeV. Nucl. Instrum. Methods Phys. Res. Sect. B Beam Interact. Mater. Atoms 2016, 383, 191–212. [Google Scholar] [CrossRef]
- Salamatin, D.; Tsvyashchenko, A.; Salamatin, A.; Velichkov, A.; Magnitskaya, M.; Chtchelkatchev, N.; Sidorov, V.; Fomicheva, L.; Mikhin, M.; Kozin, M.; et al. Hyperfine field studies of the high-pressure phase of noncentrosymmetric superconductor RhGe (B20) doped with hafnium. J. Alloys Compd. 2021, 850, 156601. [Google Scholar] [CrossRef]
- Giebel, D.; Kansy, J. LT10 Program for Solving Basic Problems Connected with Defect Detection. Phys. Procedia 2012, 35, 122–127, Positron Studies of Defects 2011. [Google Scholar] [CrossRef]
- Krsjak, V.; Degmova, J.; Noga, P.; Petriska, M.; Sojak, S.; Saro, M.; Neuhold, I.; Slugen, V. Application of Positron Annihilation Spectroscopy in Accelerator-Based Irradiation Experiments. Materials 2021, 14, 6238. [Google Scholar] [CrossRef] [PubMed]
- Dryzek, J. Positron source based on the 48V isotope dedicated to positron lifetime spectroscopy. Phys. Status Solidi C 2009, 6, 2380–2383. [Google Scholar] [CrossRef]
- Dannefaer, S.; Puff, W.; Kerr, D. Positron line-shape parameters and lifetimes for semiconductors: Systematics and temperature effects. Phys. Rev. B 1997, 55, 2182–2187. [Google Scholar] [CrossRef]
- Xu, X.; Wang, X.; Cochran, T.A.; Sanchez, D.S.; Chang, G.; Belopolski, I.; Wang, G.; Liu, Y.; Tien, H.J.; Gui, X.; et al. Crystal growth and quantum oscillations in the topological chiral semimetal CoSi. Phys. Rev. B 2019, 100, 045104. [Google Scholar] [CrossRef]
- Stishov, S.M.; Petrova, A.E. Thermodynamic, elastic and electronic properties of substances with chiral crystal structure: MnSi, FeSi, CoSi. Phys. Uspekhi 2021, 65. [Google Scholar] [CrossRef]
- Delaire, O.; Marty, K.; Stone, M.B.; Kent, P.R.C.; Lucas, M.S.; Abernathy, D.L.; Mandrus, D.; Sales, B.C. Phonon softening and metallization of a narrow-gap semiconductor by thermal disorder. Proc. Natl. Acad. Sci. USA 2011, 108, 4725–4730. [Google Scholar] [CrossRef]



| Material | , ps (in This Work) | , ps (According to Literature) |
|---|---|---|
| Si | 218(1) (with V) | 218(1) (single crystal) [43] |
| CoSi | 168(1) (with V), 166(2) (with Na) | 115(2) (polycrystal) [28] |
| FeSi | 114(1) (with V) | 130(3) (polycrystal) [31] |
| MnSi | 111(1) (with V) | 119(3) (single crystal) [29] |
Disclaimer/Publisher’s Note: The statements, opinions and data contained in all publications are solely those of the individual author(s) and contributor(s) and not of MDPI and/or the editor(s). MDPI and/or the editor(s) disclaim responsibility for any injury to people or property resulting from any ideas, methods, instructions or products referred to in the content. |
© 2023 by the authors. Licensee MDPI, Basel, Switzerland. This article is an open access article distributed under the terms and conditions of the Creative Commons Attribution (CC BY) license (https://creativecommons.org/licenses/by/4.0/).
Share and Cite
Salamatin, D.A.; Bokov, A.V.; Kozin, M.G.; Romashkina, I.L.; Salamatin, A.V.; Mikhin, M.V.; Petrova, A.E.; Sidorov, V.A.; Nikolaev, A.V.; Fisk, Z.; et al. Anomalous Positron Lifetime in Single Crystal of Weyl Semimetal CoSi. Crystals 2023, 13, 509. https://doi.org/10.3390/cryst13030509
Salamatin DA, Bokov AV, Kozin MG, Romashkina IL, Salamatin AV, Mikhin MV, Petrova AE, Sidorov VA, Nikolaev AV, Fisk Z, et al. Anomalous Positron Lifetime in Single Crystal of Weyl Semimetal CoSi. Crystals. 2023; 13(3):509. https://doi.org/10.3390/cryst13030509
Chicago/Turabian StyleSalamatin, D. A., A. V. Bokov, M. G. Kozin, I. L. Romashkina, A. V. Salamatin, M. V. Mikhin, A. E. Petrova, V. A. Sidorov, A. V. Nikolaev, Z. Fisk, and et al. 2023. "Anomalous Positron Lifetime in Single Crystal of Weyl Semimetal CoSi" Crystals 13, no. 3: 509. https://doi.org/10.3390/cryst13030509
APA StyleSalamatin, D. A., Bokov, A. V., Kozin, M. G., Romashkina, I. L., Salamatin, A. V., Mikhin, M. V., Petrova, A. E., Sidorov, V. A., Nikolaev, A. V., Fisk, Z., & Tsvyashchenko, A. V. (2023). Anomalous Positron Lifetime in Single Crystal of Weyl Semimetal CoSi. Crystals, 13(3), 509. https://doi.org/10.3390/cryst13030509

