Temperature Dependent Crystal Structure of Nd2CuTiO6: An In Situ Low Temperature Powder Neutron Diffraction Study
Abstract
1. Introduction
2. Materials and Methods
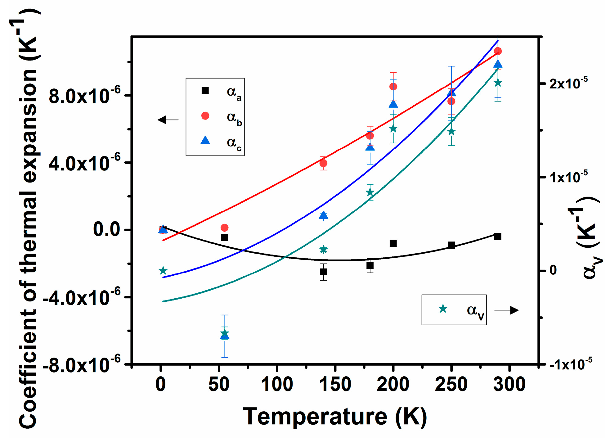
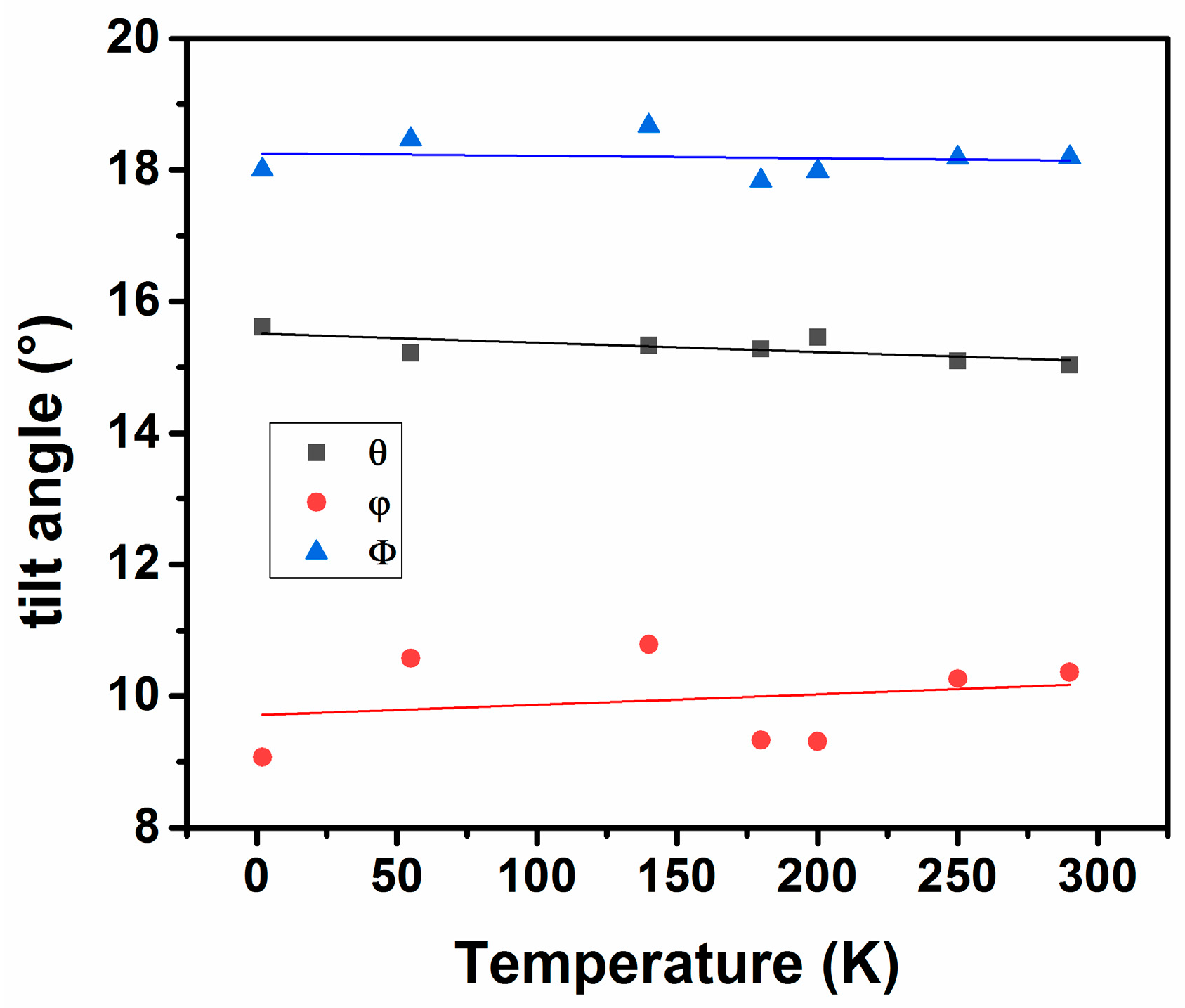
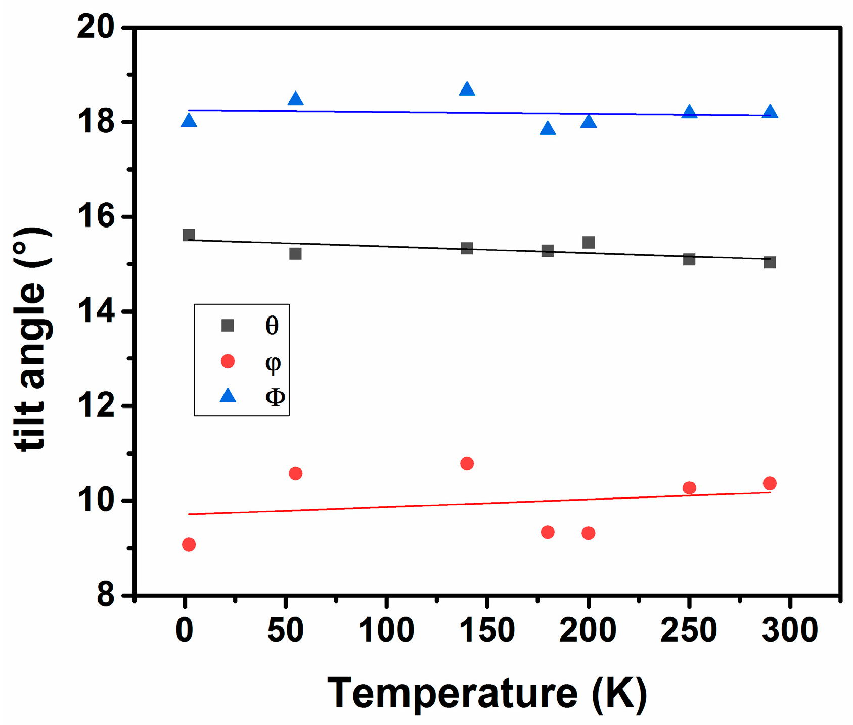
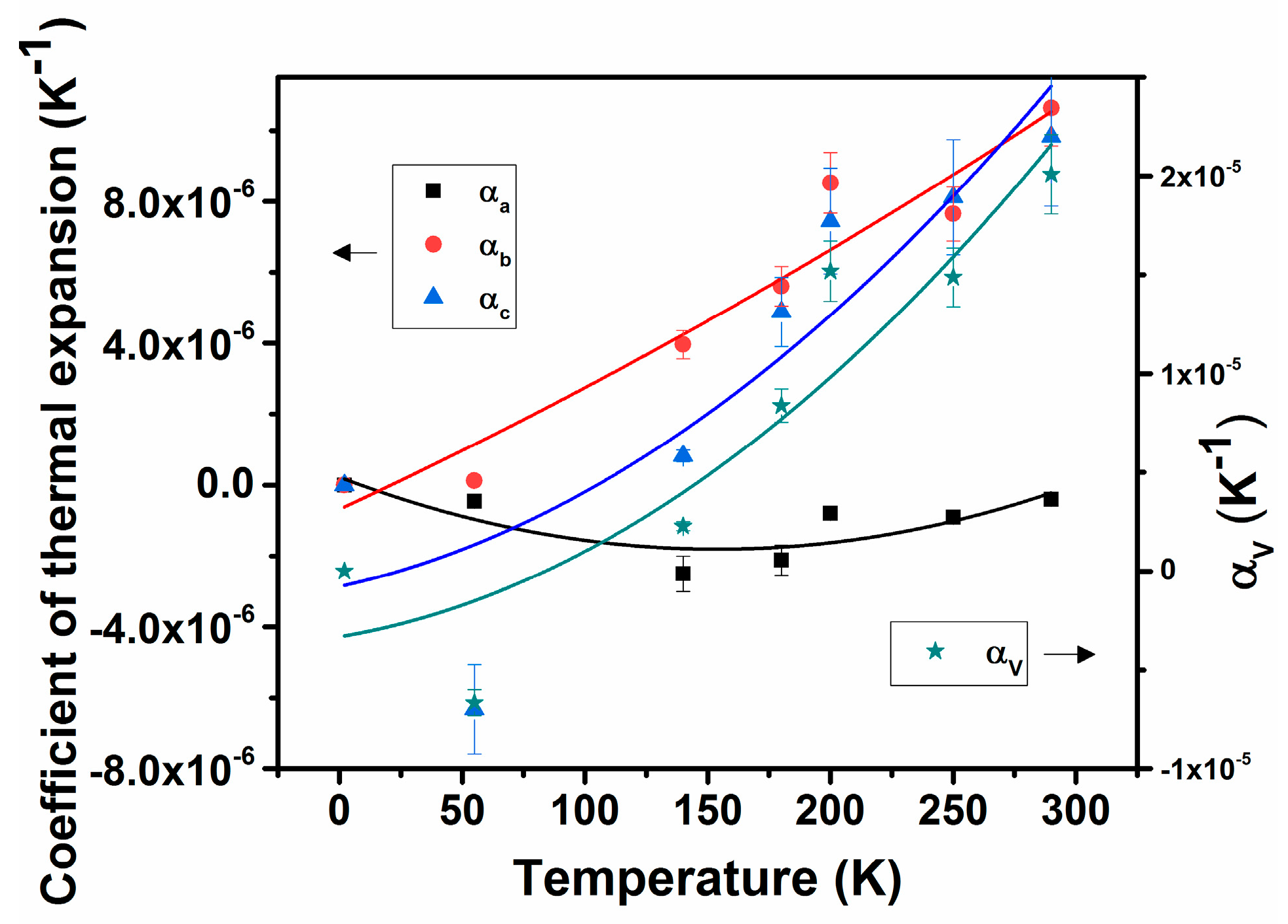
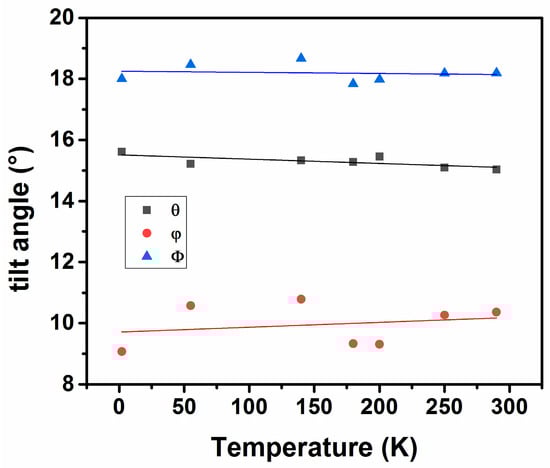
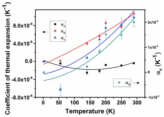
3. Results and Discussion
4. Conclusions
Supplementary Materials
Author Contributions
Funding
Data Availability Statement
Acknowledgments
Conflicts of Interest
References
- Schaak, R.E.; Mallouk, T.E. Perovskites by design: A toolbox of solid-state reactions. Chem. Mater. 2002, 14, 1455. [Google Scholar]
- Attfield, J.P.; Lightfoot, P.; Morris, R.E. Perovskites. Dalton Trans. 2015, 44, 10541–10542. [Google Scholar] [CrossRef] [PubMed]
- Vasala, S.; Karppinen, M. A2B′B″O6 perovskites: A review. Prog. Solid State Chem. 2015, 43, 1–36. [Google Scholar] [CrossRef]
- Glazer, A.M. The classification of tilted octahedra in perovskites. Acta Cryst. B 1972, 28, 3384. [Google Scholar] [CrossRef]
- Howard, C.J.; Stokes, H.T. Group-Theoretical Analysis of Octahedral Tilting in Perovskites. Acta Cryst. B 1998, 54, 782–789. [Google Scholar] [CrossRef]
- Achary, S.N.; Katari, V.; Sayed, F.N.; Tyagi, A.K. A brief review on the effect of preparation conditions on magnetic properties of some A2MMnO6 (A = La, Eu and Y; M = Mg, Co, Ni) type perovskites. J. Chem. Sci. 2019, 96, 131. [Google Scholar] [CrossRef]
- Yin, W.-J.; Weng, B.; Ge, J.; Sun, Q.; Li, Z.; Yan, Y. Oxide perovskites, double perovskites and derivatives for electrocatalysis, photocatalysis, and photovoltaics. Energy Environ. Sci. 2019, 12, 442. [Google Scholar] [CrossRef]
- Leo, A.; Motuzas, J.; Yacou, C.; Liu, S.; Serra, J.M.; Navarrete, L.; Drennan, J.; Julbe, A.; da Costa, J.C.D. Copper oxide—Perovskite mixed matrix membranes delivering very high oxygen fluxes. J. Membr. Sci. 2017, 526, 323. [Google Scholar] [CrossRef]
- Martin, C.D.; Parise, J.B. Structure constraints and instability leading to the post-perovskite phase transition of MgSiO3. Earth Planet. Sci. Lett. 2008, 265, 630–640. [Google Scholar]
- Kennedy, B.J.; Vogt, T.; Martin, C.D.; Parise, J.B.; Hriljac, J.A. Pressure-induced orthorhombic to rhombohedral phase transition in LaGaO3. J. Phys. Condens Matter 2001, 13, L925–L930. [Google Scholar] [CrossRef]
- Dhak, P.; Pramanik, P.; Bhattacharya, S.; Roy, A.; Achary, S.N.; Tyagi, A.K. Structural phase transition in lanthanum gallate as studied by Raman and X-ray diffraction measurements. Phys. Status Solidi B 2011, 248, 1884–1893. [Google Scholar] [CrossRef]
- Errandonea, D.; Santamaria-Perez, D.; Martinez-Garcia, D.; Gomis, O.; Shukla, R.; Achary, S.N.; Tyagi, A.K.; Popescu, C. Pressure Impact on the Stability and Distortion of the Crystal Structure of CeScO3. Inorg. Chem. 2017, 56, 8363–8371. [Google Scholar] [CrossRef]
- Rosas, B.Y.; Instan, A.A.; Mishra, K.K.; Achary, S.N.; Katiyar, R.S. Studies of Optical, Dielectric, Ferroelectric, and Structural Phase Transitions in 0.9[KNbO3]-0.1[BaNi1/2Nb1/2O3]. Crystals 2022, 12, 35. [Google Scholar] [CrossRef]
- Rao, C.N.R.; Cheetham, A.K.; Mahesh, R. Giant Magnetoresistance and Related Properties of Rare-Earth Manganates and Other Oxide Systems. Chem. Mater. 1996, 8, 2421. [Google Scholar] [CrossRef]
- Rogado, N.S.; Li, J.; Sleight, A.W.; Subramanian, M.A. Magnetocapacitance and Magnetoresistance Near Room Temperature in a Ferromagnetic Semiconductor: La2NiMnO6. Adv. Mater. 2005, 17, 2225. [Google Scholar] [CrossRef]
- Tiwari, R.M.; Gadhvi, M.; Nag, A.; Vasanthacharya, N.Y.; Gopalakrishnan, J. Manganese-mediated ferromagnetism in La2Fe1-xMn2xCr1-xO6 perovskite oxides. J. Chem. Sci. 2010, 122, 529. [Google Scholar] [CrossRef]
- Dimitrovska-Lazova, S.; Aleksovska, S.; Tzvetkov, P. Synthesis and crystal structure determination of YCo1-xFexO3 (x = 0, 0.33, 0.5, 0.67 and 1) perovskites. J. Chem. Sci. 2015, 127, 1173. [Google Scholar] [CrossRef]
- Balachandran, N.; Robert, T.M.; Jayalatha, T.; Neema, P.M.; Mathew, D.; Cyriac, J. Lead-free, mixed tin-copper perovskites with improved stability and optical properties. J. Alloys Compd. 2021, 879, 160325. [Google Scholar] [CrossRef]
- Zhao, J.; Chen, M.; Tan, Q. Embedding nanostructure and colossal permittivity of TiO2-covered CCTO perovskite materials by a hydrothermal route. J. Alloys Compd. 2021, 885, 160948. [Google Scholar] [CrossRef]
- Parrino, F.; García-López, E.; Marcì, G.; Palmisano, L.; Felice, V.; Sora, I.N.; Armelao, L. Cu-substituted lanthanum ferrite perovskites: Preparation, characterization and photocatalytic activity in gas-solid regime under simulated solar light irradiation. J. Alloys Compd. 2016, 682, 686. [Google Scholar] [CrossRef]
- Yang, W.Z.; Mao, M.M.; Liu, X.Q.; Chen, X.M. Structure and dielectric relaxation of double-perovskite La2CuTiO6 ceramics. J. Appl. Phys. 2010, 107, 124102. [Google Scholar] [CrossRef]
- Palacín, M.R.; Bassas, J.; Rodriguez-Carvajal, J.; Gomez-Romero, P. Syntheses of the perovskite La2CuTiO6 by the ceramic, oxide precursors and sol–gel methods, and study of the structure and Cu–Ti distribution by X-ray and neutron diffraction. J. Mater. Chem. 1993, 3, 1171. [Google Scholar] [CrossRef]
- Gomez-Romero, P.; Palacin, M.R.; Casañ, N.; Fuertes, A.; Martinez, B. Towards the synthesis of layered perovskites. Synthesis, structure and magnetic properties of La2CuTiO6. Solid State Ion. 1993, 603, 63–65. [Google Scholar]
- Zinenko, V.I.; Pavlovskii, M.S.; Shinkorenko, A.S. Electronic structure, lattice dynamics, and magnetoelectric properties of double perovskite La2CuTiO6. Phys. Solid State 2016, 58, 2294. [Google Scholar] [CrossRef]
- Shah, S.; Ali, Z.; Mehmood, S.; Khan, I.; Ahmad, I. Electronic structure, optical and magnetic properties of double perovskites La2MTiO6 (M = Co, Ni, Cu and Zn). Mater. Chem. Phys. 2021, 272, 125050. [Google Scholar] [CrossRef]
- Meng, L.; Feng, C.; He, L.; Deng, S.; Wu, Y.; Han, L.; Bai, Y. Understanding of the bond covalency nature with ionic electronegativity in perovskite cuprates La2CuMO6-x (M = Ti, Mn, Ru). J. Solid State Chem. 2022, 310, 123050. [Google Scholar] [CrossRef]
- Kumar, N.; Rao, K.S.; Sahu, A.K.; Deshpande, U.P.; Achary, S.N.; Deshpande, S.K. Role of oxygen partial pressure of synthesis environment in tuning the dielectric properties of Nd2CuTiO6. Mater. Chem. Phys. 2022, 286, 126203. [Google Scholar] [CrossRef]
- Ramadass, N.; Gopalakrishnan, J.; Sastri, M.V.C. Preparation and characterization of La2TiMO6 (M = Co, Ni, Cu and Zn) perovskites. J. Inorg. Nucl. Chem. 1978, 40, 1453–1454. [Google Scholar] [CrossRef]
- Singh, K.; Kumar, N.; Singh, B.; Kaushik, S.D.; Gaur, N.K.; Bhattacharya, S.; Rayaprol, S.; Simon, C. Magnetic and dielectric properties of R2CuTiO6 compounds (R = Y, La, Pr and Nd). J. Supercond. Nov. Magn. 2011, 24, 1829–1838. [Google Scholar] [CrossRef]
- Rodriguez, E.; Lopez, M.L.; Campo, J.; Veiga, M.L.; Pico, C. Crystal and magnetic structure of the perovskites La2MTiO6 (M = Co, Ni). J. Mater. Chem. 2002, 12, 2798–2802. [Google Scholar] [CrossRef]
- Rayaprol, S.; Kaushik, S.D.; Kumar, N.; Singh, K.; Guillou, F.; Simon, C. Neutron diffraction, specific heat and magnetization studies on Nd2CuTiO6 in Solid State Physics Symposium-2015. In AIP Conference Proceedings; American Institute of Physics: Melville, NY, USA, 2016; pp. 651–654. [Google Scholar]
- Siruguri, V.; Babu, P.D.; Gupta, M.; Pimpale, A.V.; Goyal, P.S. A high resolution powder diffractometer using focusing optics. Pramana, J. Phys. 2008, 71, 1197–1202. [Google Scholar] [CrossRef]
- Rodriguez-Carvajal, J. Recent advances in magnetic-structure determination by neutron powder diffraction. Physica B 1993, 192, 55–69. [Google Scholar] [CrossRef]
- Mishra, A.K.; Garg, N.; Shanavas, K.V.; Achary, S.N.; Tyagi, A.K.; Sharma, S.M. High pressure structural stability of BaLiF3. J. Appl. Phys. 2011, 110, 123505. [Google Scholar] [CrossRef]
- Bevara, S.; Achary, S.N.; Mishra, K.K.; Ravindran, T.R.; Sinha, A.K.; Sastry, P.U.; Tyagi, A.K. Temperature dependent structural, vibrational and magnetic properties of K3Gd5(PO4)6. Phys. Chem. Chem. Phys. 2017, 19, 6030–6041. [Google Scholar] [CrossRef] [PubMed]
- Chatterji, T.; Hansen, T.C. Magnetoelastic effects in Jahn–Teller distorted CrF2 and CuF2 studied by neutron powder diffraction. J. Phys. Condens. Matter 2011, 23, 276007. [Google Scholar] [CrossRef] [PubMed]
- Achary, S.N.; Patwe, S.J.; Vishwanath, A.; Wajhal, S.; Krishna, P.S.R.; Tyagi, A.K. Evolution of crystal structure of PbMoO4 between 5 and 300 K: A low temperature powder neutron diffraction study. Mater. Chem. Phys. 2021, 260, 124111. [Google Scholar] [CrossRef]
- Tyagi, A.K.; Achary, S.N. Thermal expansion. In Thermodynamic Properties of Solids; Wiley-VCH Verlag GmbH & Co: Weinheim, Germany, 2010. [Google Scholar]
- Atuchin, V.V.; Liang, F.; Grazhdannikov, S.; Isaenko, L.I.; Krinitsin, P.G.; Molokeev, M.S.; Prosvirin, I.P.; Jiang, X.; Lin, Z. Negative thermal expansion and electronic structure variation of chalcopyrite type LiGaTe2. RSC Adv. 2018, 8, 9946–9955. [Google Scholar] [CrossRef]
- Chimitova, O.D.; Bazarov, B.G.; Bazarova, J.G.; Atuchin, V.V.; Azmi, R.; Sarapulova, A.E.; Mikhailova, D.; Balachandran, G.; Fiedler, A.; Geckle, U.; et al. The crystal growth and properties of novel magnetic double molybdate RbFe5(MoO4)7 with mixed Fe3+/Fe2+ states and 1D negative thermal expansion. CrystEngComm 2021, 23, 3297–3307. [Google Scholar] [CrossRef]
- Denisenko, Y.G.; Atuchin, V.V.; Molokeev, M.S.; Wang, N.; Jiang, X.; Aleksandrovsky, A.S.; Krylov, A.S.; Oreshonkov, A.S.; Sedykh, A.E.; Volkova, S.S.; et al. Negative thermal expansion in one-dimension of a new double sulfate AgHo(SO4)2 with isolated SO4 tetrahedra. J. Mater. Sci. Technol. 2021, 76, 111–121. [Google Scholar] [CrossRef]
- Achary, S.N.; Errandonea, D.; Muñoz, A.; Rodríguez-Hernández, P.; Manjón, F.J.; Krishna, P.S.R.; Patwe, S.J.; Grover, V.; Tyagi, A.K. Experimental and theoretical investigations on the polymorphism and metastability of BiPO4. Dalton Trans. 2013, 42, 14999–15015. [Google Scholar] [CrossRef]








| 2 K | 55 K | 140 K | 180 K | 200 K | 250 K | 290 K | |
|---|---|---|---|---|---|---|---|
| a (Å) | 5.7283(5) | 5.7282(4) | 5.7263(5) | 5.7262(1) | 5.7274(5) | 5.7270(4) | 5.7277(4) |
| b (Å) | 7.6160(6) | 7.6160(6) | 7.6201(7) | 7.6236(6) | 7.6288(6) | 7.6304(6) | 7.6393(5) |
| c (Å) | 5.4568(4) | 5.4550(4) | 5.4575(5) | 5.4616(5) | 5.4649(4) | 5.4678(4) | 5.4723(3) |
| V (Å)3 | 238.06(3) | 237.98(3) | 238.14(4) | 238.42(4) | 238.78(3) | 238.94(3) | 239.44(3) |
| Nd1 4c (x, 1⁄4, z) | |||||||
| x | 0.5647(6) | 0.5629(6) | 0.5623(7) | 0.5634(6) | 0.5639(6) | 0.5614(6) | 0.5624(4) |
| z | 0.0029(6) | 0.0149(6) | 0.0151(7) | 0.0136(7) | 0.0118(7) | 0.0093(6) | 0.0099(5) |
| B (Å)2 | 0.19(5) | 0.28(6) | 0.32(6) | 0.17(6) | 0.22(6) | 0.260(5) | 0.25(4) |
| Occ. | 1 | 1 | 1 | 1 | 1 | 1 | 1 |
| 0.5Cu/0.5Ti 4a (0, 0, 0) | |||||||
| B (Å)2 | 0.23(19) | 0.40(20) | 0.28(23) | 0.19(21) | 0.03(21) | 0.78(20) | 0.88(16) |
| Occ. | 0.5:0.5 | 0.5:0.5 | 0.5:0.5 | 0.5:0.5 | 0.5:0.5 | 0.5:0.5 | 0.5:0.5 |
| O1 8d (x, y, z) | |||||||
| x | 0.3060(6) | 0.3013(6) | 0.3021(8) | 0.3027(6) | 0.3032(6) | 0.3012(6) | 0.3013(5) |
| y | 0.0460(4) | 0.0458(4) | 0.0458(5) | 0.0458(4) | 0.0461(4) | 0.0456(4) | 0.0450(3) |
| z | 0.1979(6) | 0.9096(7) | 0.1971(7) | 0.1984(6) | 0.1972(6) | 0.1987(6) | 0.1988(4) |
| B (Å)2 | 0.80(8) | 0.46(8) | 1.02(8) | 0.79(7) | 0.81(7) | 0.94(6) | 1.05(5) |
| Occ. | 1 | 1 | 1 | 1 | 1 | 1 | 1 |
| O2 4c (x, 1⁄4, z) | |||||||
| x | 0.9752(6) | 0.9755(6) | 0.9748(8) | 0.9762(7) | 0.9746(7) | 0.9760(6) | 0.9756(5) |
| z | 0.9151(7) | 0.9096(7) | 0.9084(8) | 0.9149(8) | 0.9148(8) | 0.9114(7) | 0.9112(6) |
| B (Å)2 | 0.37(8) | 0.46(8) | 0.37(10) | 0.45(10) | 0.52(9) | 0.49(8) | 0.51(7) |
| Occ. | 1 | 1 | 1 | 1 | 1 | 1 | 1 |
| Rp, Rwp, χ2 | 2.78, 3.52, 0.986 | 3.77, 4.77, 1.84 | 4.09, 5.10, 2.01 | 4.57, 5.75, 2.56 | 4.58, 5.16, 2.20 | 3.63, 4.62, 1.57 | 3.96, 5.08, 3.87 |
| RB, RF | 8.46, 6.98 | 5.16, 3.68 | 6.94, 4.79 | 6.49, 5.16 | 5.99, 4.58 | 4.98, 4.00 | 4.60, 3.02 |
| Bonds | 2 K | 55 K | 140 K | 180 K | 200 K | 250 K | 290 K |
|---|---|---|---|---|---|---|---|
| Nd1-O1 × 2 | 2.396(4) | 2.379(4) | 2.372(5) | 2.381(5) | 2.382(5) | 2.393(4) | 2.400(3) |
| Nd1-O1 × 2 | 2.644(4) | 2.596(4) | 2.603(5) | 2.603(5) | 2.613(5) | 2.620(4) | 2.620(3) |
| Nd1-O1 × 2 | 2.614(4) | 2.650(3) | 2.650(4) | 2.648(4) | 2.643(4) | 2.646(4) | 2.644(3) |
| Nd1-O2 | 2.400(5) | 2.432(5) | 2.433(6) | 2.424(5) | 2.411(5) | 2.434(5) | 2.428(4) |
| Nd1-O2 | 2.338(5) | 2.3691(5) | 2.365(6) | 2.392(6) | 2.387(6) | 2.352(5) | 2.357(4) |
| CN | 8 | 8 | 8 | 8 | 8 | 8 | 8 |
| Av.Dis | 2.506(2) | 2.507(2) | 2.506(2) | 2.510(2) | 2.509(2) | 2.513(2) | 2.514(1) |
| Distt | 24.85 × 10−4 | 22.81 × 10−4 | 24.15 × 10−4 | 21.76 × 10−4 | 22.66 × 10−4 | 23.62 × 10−4 | 22.70 × 10−4 |
| Cu/Ti1-O1 × 2 | 2.088(3) | 2.065(3) | 2.067(4) | 2.074(4) | 2.074(4) | 2.068(3) | 2.0688(3) |
| Cu/Ti1-O1 × 2 | 2.019(3) | 2.034(3)) | 2.034(4) | 2.028(4) | 2.033(4) | 2.033(3) | 2.032(3) |
| Cu/Ti1-O2 × 2 | 1.965(1) | 1.972(1) | 1.975(1) | 1.966(1) | 1.969(1) | 1.973(1) | 1.976(1) |
| CN | 6 | 6 | 6 | 6 | 6 | 6 | 6 |
| Av.Dis | 2.024(1)) | 2.024(1) | 2.025(1) | 2.023(1)) | 2.025(1) | 2.024(1) | 2.026(1) |
| Distt | 6.26 × 10−4 | 3.65 × 10−4 | 3.54 × 10−4 | 4.72 × 10−4 | 4.57 × 10−4 | 3.73 × 10−44 | 3.58 × 10−4 |
| M-O1-M | 148.78(13) | 149.57(13) | 149.34(15) | 149.45(15) | 149.09(15) | 149.81(13) | 149.94(11) |
| M-O2-M | 151.44(4) | 149.86(4) | 149.46(5) | 151.48(4) | 151.31(4) | 150.42(4) | 150.34(3) |
| a(Å) | b(Å) | c(Å) | V(Å)3 | |
|---|---|---|---|---|
| X0 | 5.727(1) | 7.616(1) | 5.456(1) | 238.0(1) |
| X1 | −2.3(0.8) × 10−5 | −0.6(2.4) × 10−5 | −1.8(1.9) × 10−5 | −0.002(2) |
| X2 | 6.8(2.7) × 10−8 | 2.9(0.8) × 10−8 | 2.6(0.6) × 10−7 | 2.3(0.5) × 10−5 |
| αa (K−1) | αb (K−1) | αc (K−1) | αV (K−1) | |
|---|---|---|---|---|
| X0 | 0.2(0.7) × 10−6 | −0.7(1.1) × 10−6 | −2.9(2.8) × 10−6 | −3.3(3.8× 10−6 |
| X1 | −2.6(0.9) × 10−8 | 3.2(1.8) × 10−8 | 1.5(4.5) × 10−8 | 2.1(6.0) × 10−8 |
| X2 | 8.7(3.0) × 10−11 | 2.3(5.6) × 10−11 | 1.2(1.4) × 10−10 | 2.2(2.0) × 10−10 |
Disclaimer/Publisher’s Note: The statements, opinions and data contained in all publications are solely those of the individual author(s) and contributor(s) and not of MDPI and/or the editor(s). MDPI and/or the editor(s) disclaim responsibility for any injury to people or property resulting from any ideas, methods, instructions or products referred to in the content. |
© 2023 by the authors. Licensee MDPI, Basel, Switzerland. This article is an open access article distributed under the terms and conditions of the Creative Commons Attribution (CC BY) license (https://creativecommons.org/licenses/by/4.0/).
Share and Cite
Kumar, N.; Kaushik, S.D.; Rao, K.S.; Babu, P.D.; Deshpande, S.K.; Achary, S.N.; Errandonea, D. Temperature Dependent Crystal Structure of Nd2CuTiO6: An In Situ Low Temperature Powder Neutron Diffraction Study. Crystals 2023, 13, 503. https://doi.org/10.3390/cryst13030503
Kumar N, Kaushik SD, Rao KS, Babu PD, Deshpande SK, Achary SN, Errandonea D. Temperature Dependent Crystal Structure of Nd2CuTiO6: An In Situ Low Temperature Powder Neutron Diffraction Study. Crystals. 2023; 13(3):503. https://doi.org/10.3390/cryst13030503
Chicago/Turabian StyleKumar, N., S. D. Kaushik, K. Sandeep Rao, P. D. Babu, S. K. Deshpande, S. N. Achary, and Daniel Errandonea. 2023. "Temperature Dependent Crystal Structure of Nd2CuTiO6: An In Situ Low Temperature Powder Neutron Diffraction Study" Crystals 13, no. 3: 503. https://doi.org/10.3390/cryst13030503
APA StyleKumar, N., Kaushik, S. D., Rao, K. S., Babu, P. D., Deshpande, S. K., Achary, S. N., & Errandonea, D. (2023). Temperature Dependent Crystal Structure of Nd2CuTiO6: An In Situ Low Temperature Powder Neutron Diffraction Study. Crystals, 13(3), 503. https://doi.org/10.3390/cryst13030503

