Terahertz Electromagnetically Induced Transparency with Electric-Field-Coupled Inductor-Capacitor Resonators on LCP Substrate
Abstract
:1. Introduction
2. Design and Simulation
2.1. Structural Design
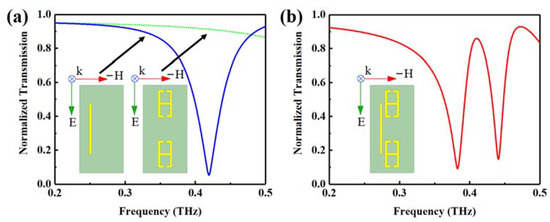
2.2. Numerical Simulation
3. Theory and Experiment
3.1. Theoretical Analysis
3.2. Experimental Verification
4. Conclusions
Author Contributions
Funding
Data Availability Statement
Conflicts of Interest
References
- Harris, S.E. Electromagnetically induced transparency. Phys. Today 1997, 50, 36–42. [Google Scholar] [CrossRef]
- Fleischhauer, M.; Imamoglu, A.; Marangos, J.P. Electromagnetically induced transparency: Optics in coherent media. Rev. Mod. Phys. 2005, 77, 633–673. [Google Scholar] [CrossRef]
- Lukin, M.; Imamoglu, A. Controlling photons using electromagnetically induced transparency. Nature 2001, 413, 273–276. [Google Scholar] [CrossRef] [PubMed]
- Zhang, Y.P.; Brown, A.W.; Xiao, M. Opening four-wave mixing and six-wave mixing channels via dual electromagnetically induced transparency windows. Phys. Rev. Lett. 2007, 99, 123603. [Google Scholar] [CrossRef]
- Lvovsky, A.I.; Sanders, B.C.; Tittel, W. Optical quantum memory. Nat. Photonics 2009, 3, 706–714. [Google Scholar] [CrossRef]
- Harden, j.; Joshi, A.; Serna, J.D. Demonstration of double EIT using coupled harmonic oscillators and RLC circuits. Eur. J. Phys. 2011, 32, 541. [Google Scholar] [CrossRef]
- Dyer, G.C.; Aizin, G.R.; Allen, S.J.; Grine, A.D.; Bethke, D.; Reno, J.L.; Shaner, E.A. Induced transparency by coupling of Tamm and defect states in tunable terahertz plasmonic crystals. Nat. Photonics 2013, 7, 925–930. [Google Scholar] [CrossRef]
- Liu, Y.C.; Li, B.B.; Xiao, Y.F. Electromagnetically induced transparency in optical microcavities. Nanophotonics 2017, 6, 789–811. [Google Scholar] [CrossRef]
- Yang, X.D.; Yu, M.B.; Kwong, D.L.; Wong, C.W. All-optical analog to electromagnetically induced transparency in multiple coupled photonic crystal cavities. Phys. Rev. Lett. 2019, 102, 173902. [Google Scholar] [CrossRef]
- Askari, M.; Bahadoran, M. A refractive-index-based microwave sensor based on classical electromagnetically induced transparency in metamaterials. Optik 2022, 253, 168589. [Google Scholar] [CrossRef]
- Nagarajan, A.; Erve, K.V.; Gerini, G. Ultra-narrowband polarization insensitive transmission filter using a coupled dielectric-metal metasurface. Opt. Express 2020, 28, 773–787. [Google Scholar] [CrossRef] [PubMed]
- Zheng, S.Q.; Ma, M.S.; Lv, Y.; Fu, T.; Peng, L.; Zhao, Q.X. Dual-band electromagnetically induced transparent metamaterial with slow light effect and energy storage. J. Phys. D Appl. Phys. 2022, 55, 255103. [Google Scholar] [CrossRef]
- Hu, Y.Z.; Tong, M.Y.; Hu, S.Y.; He, W.B.; Cheng, X.A.; Jiang, T. Multidimensional engineered metasurface for ultrafast terahertz switching at frequency-agile channels. Nanophotonics 2022, 11, 1367–1378. [Google Scholar] [CrossRef]
- He, F.Y.; Han, B.X.; Li, X.J.; Lang, T.T.; Jing, X.F.; Hong, Z. Analogue of electromagnetically induced transparency with high-Q factor in metal-dielectric metamaterials based on bright-bright mode coupling. Opt. Express 2019, 27, 37590–37600. [Google Scholar] [CrossRef] [PubMed]
- Yang, Y.M.; Kravchenko, I.I.; Briggs, D.P.; Valentine, J. All-dielectric metasurface analogue of electromagnetically induced transparency. Nat. Commun. 2014, 5, 5753. [Google Scholar] [CrossRef]
- Hua, M.; Sun, Y.B.; Li, M.P.; Liu, Z.Z.; Chen, Y.; Shi, Y.P.; Ning, Y.F.; Zhang, Y.F.; Yang, F.H.; Wang, X.D. Electromagnetically induced transparency analog in terahertz hybrid metal–dielectric metamaterials. AIP Adv. 2021, 11, 065309. [Google Scholar] [CrossRef]
- Zhang, J.; Li, Z.F.; Shao, L.D.; Xiao, F.J.; Zhu, W.R. Active modulation of electromagnetically induced transparency analog in graphene-based microwave metamaterial. Carbon 2021, 183, 850–857. [Google Scholar] [CrossRef]
- Han, L.; Tan, Q.L.; Gan, Y.; Zhang, W.D.; Xiong, J.J. Polarization-insensitive classical electromagnetically induced transparency metamaterial with large group delay by Dirac semimetal. Results Phys. 2020, 19, 103377. [Google Scholar] [CrossRef]
- Gu, J.; Singh, R.; Liu, X.; Zhang, X.; Ma, Y.; Zhang, S.; Maier, S.A.; Tian, Z.; Azad, A.K.; Chen, H.-T.; et al. Active control of electromagnetically induced transparency analogue in terahertz metamaterials. Nat. Commun. 2012, 3, 1151. [Google Scholar] [CrossRef]
- Kim, T.T.; Kim, H.D.; Zhao, R.K.; Oh, S.S.; Ha, T.; Chung, D.; Lee, Y.H.; Min, B.; Zhang, S. Electrically tunable slow light using graphene metamaterials. ACS Photonics 2018, 5, 1800–1807. [Google Scholar] [CrossRef]
- Zhang, J.; Mu, N.; Liu, L.H.; Xie, J.H.; Feng, H.; Yao, J.Q.; Chen, T.N.; Zhu, W.R. Highly sensitive detection of malignant glioma cells using metamaterial-inspired THz biosensor based on electromagnetically induced transparency. Biosens. Bioelectron. 2021, 185, 113241. [Google Scholar] [CrossRef] [PubMed]
- Ling, H.T.; Qian, P.F.; Zhang, B.Q.; Feng, M.M.; Wang, Y.M.; Zhang, X.J.; Wang, Q.P.; Zhang, Y.F.; Song, A.M. Active terahertz metamaterials electrically modulated by InGaZnO Schottky diodes. Opt. Mater. Express 2021, 11, 2966–2974. [Google Scholar] [CrossRef]
- Karthikeyan, M.; Jayabala, P.; Ramachandran, S.; Dhanabalan, S.S.; Sivanesan, T.; Ponnusamy, M. Tunable optimal dual band metamaterial absorber for high sensitivity THz refractive index sensing. Nanomaterials 2022, 12, 2693. [Google Scholar] [CrossRef] [PubMed]
- Li, Z.R.; Cheng, Y.Z.; Luo, H.; Chen, F.; Li, X.C. Dual-band tunable terahertz perfect absorber based on all-dielectric InSb resonator structure for sensing application. J. Alloys Compd. 2022, 925, 166617. [Google Scholar] [CrossRef]
- Zhang, L.; Chen, M.Z.; Tang, W.K.; Dai, J.Y.; Miao, L.; Zhou, X.Y.; Jin, S.; Cheng, Q.; Cui, T.J. A wireless communication scheme based on space- and frequency-division multiplexing using digital metasurfaces. Nat. Electron. 2021, 4, 218–227. [Google Scholar] [CrossRef]
- Bae, M.H.; Oh, J.H. Nonlinear elastic metamaterial for tunable bandgap at quasi-static frequency. Mech. Syst. Signal Process. 2022, 170, 108832. [Google Scholar] [CrossRef]
- Schurig, D.; Mock, J.J.; Smith, D.R. Electric-field-coupled resonators for negative permittivity metamaterials. Appl. Phys. Lett. 2006, 88, 041109. [Google Scholar] [CrossRef]
- Xu, W.D.; Xie, L.J.; Ying, Y.B. Mechanisms and applications of terahertz metamaterial sensing: A review. Nanoscale 2017, 9, 13864–13878. [Google Scholar] [CrossRef]
- Pitchappa, P.; Kumar, A.; Prakash, S.; Jani, H.; Medwal, R.; Mishra, M.; Rawat, R.S.; Venkatesan, T.; Wang, N.; Singh, R. Volatile ultrafast switching at multilevel nonvolatile states of phase change material for active flexible terahertz metadevices. Adv. Funct. Mater. 2021, 31, 2100200. [Google Scholar] [CrossRef]
- Qu, Z.; Xu, Y.Q.; Zhang, B.Z.; Duan, J.P.; Tian, Y. Terahertz dual-band polarization insensitive electromagnetically induced transparency-like metamaterials. Plasmonics 2020, 15, 301–308. [Google Scholar] [CrossRef]
- Zhou, Z.; Li, W.; Qian, J.; Liu, W.; Wang, Y.; Zhang, X.; Guo, Q.; Yashchyshyn, Y.; Wang, Q.; Shi, Y.; et al. Flexible liquid crystal polymer technologies from microwave to terahertz frequencies. Molecules 2022, 27, 1336. [Google Scholar] [CrossRef]
- Li, W.; Lan, Y.; Wang, H.P.; Xu, Y.H. Microwave polarizer based on complementary split ring resonators frequency-selective surface for conformal application. IEEE Access 2021, 9, 111383–111389. [Google Scholar] [CrossRef]
- Nguyen, V.N.; Yönak, S.H.; Smit, D.R. Multilayer-band artificial dielectric on liquid crystal polymer. IEEE Antenn. Wirel. Propag. Lett. 2010, 9, 974–977. [Google Scholar] [CrossRef]
- Padilla, W.J.; Aronsson, M.T.; Highstrete, C.; Lee, M.; Taylor, A.J.; Averitt, R.D. Electrically resonant terahertz metamaterials: Theoretical and experimental investigations. Phys. Rev. B 2007, 75, 041102. [Google Scholar] [CrossRef]
- Yang, T.; Liu, X.M.; Zhou, J. Terahertz polarization conversion in an electromagnetically induced transparency (EIT)-like metamaterial. Ann. Phys. 2021, 533, 2000528. [Google Scholar] [CrossRef]
- Lee, D.; Lee, D.; Yun, H.S.; Kim, D.S. Angstrom-scale active width control of nano slits for variable plasmonic cavity. Nanomaterials 2021, 11, 2463. [Google Scholar] [CrossRef]
- Dong, H.Q.; Gao, C.J.; Zeng, L.; Zhang, D.; Zhang, H.F. Investigating on the electromagnetically induced absorption metamaterial in the terahertz region realized by the multilayer structure. Physica B 2022, 639, 413936. [Google Scholar] [CrossRef]










| Ref. | Dark Mode Resonator | Transmission (a.u.) | Group Delay (ps) | 3-dB Bandwidth (%) | Flexibility (Y or N) | Substrate Types |
|---|---|---|---|---|---|---|
| [17] | SRR | 0.62 | >1000 | 8% | N | F4B |
| [19] | SRR | 0.85 | 5.74 | 13.5% | N | Sapphire |
| [20] | SRR | 0.5 | 3.1 | Unknown 1 | Y | PI |
| [21] | SRR | 0.47 | Unknown 2 | 11% | N | Glass |
| This work | ELC | 0.75 | 11.67 | 11% | Y | LCP |
Disclaimer/Publisher’s Note: The statements, opinions and data contained in all publications are solely those of the individual author(s) and contributor(s) and not of MDPI and/or the editor(s). MDPI and/or the editor(s) disclaim responsibility for any injury to people or property resulting from any ideas, methods, instructions or products referred to in the content. |
© 2023 by the authors. Licensee MDPI, Basel, Switzerland. This article is an open access article distributed under the terms and conditions of the Creative Commons Attribution (CC BY) license (https://creativecommons.org/licenses/by/4.0/).
Share and Cite
Ling, H.; Li, Z.; Li, K.; Zhao, R.; Ma, P.; Zhou, Y.; Li, J.; Xu, X.; Yashchyshyn, Y.; Zou, X.; et al. Terahertz Electromagnetically Induced Transparency with Electric-Field-Coupled Inductor-Capacitor Resonators on LCP Substrate. Crystals 2023, 13, 283. https://doi.org/10.3390/cryst13020283
Ling H, Li Z, Li K, Zhao R, Ma P, Zhou Y, Li J, Xu X, Yashchyshyn Y, Zou X, et al. Terahertz Electromagnetically Induced Transparency with Electric-Field-Coupled Inductor-Capacitor Resonators on LCP Substrate. Crystals. 2023; 13(2):283. https://doi.org/10.3390/cryst13020283
Chicago/Turabian StyleLing, Haotian, Zhaolin Li, Ke Li, Ruiqi Zhao, Pengfei Ma, Yongping Zhou, Jingxuan Li, Xiaoyu Xu, Yevhen Yashchyshyn, Xudong Zou, and et al. 2023. "Terahertz Electromagnetically Induced Transparency with Electric-Field-Coupled Inductor-Capacitor Resonators on LCP Substrate" Crystals 13, no. 2: 283. https://doi.org/10.3390/cryst13020283
APA StyleLing, H., Li, Z., Li, K., Zhao, R., Ma, P., Zhou, Y., Li, J., Xu, X., Yashchyshyn, Y., Zou, X., & Zhang, Y. (2023). Terahertz Electromagnetically Induced Transparency with Electric-Field-Coupled Inductor-Capacitor Resonators on LCP Substrate. Crystals, 13(2), 283. https://doi.org/10.3390/cryst13020283

