X-ray Crystal Structure, Hirshfeld Surface Analysis, DFT, and Anticancer Effect of 3-Hydroxy-4-phenyl-1,5-benzodiazepin-2-one Derivatives
Abstract
1. Introduction
2. Materials and Methods
2.1. General Procedures
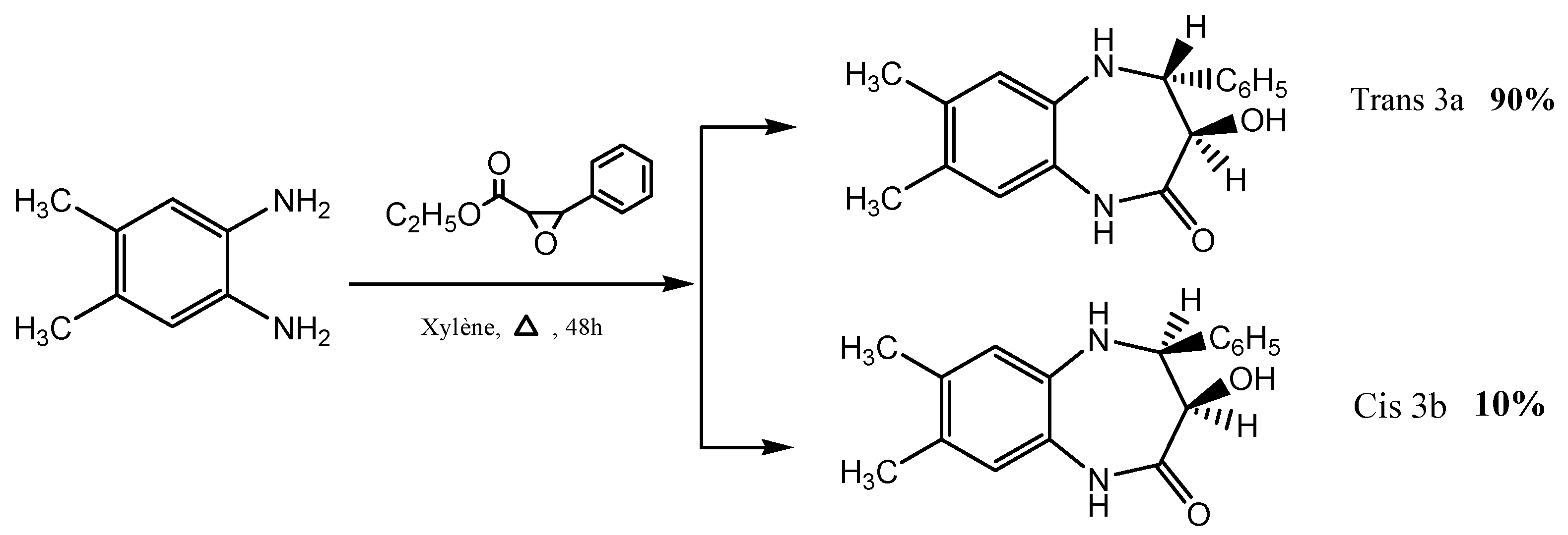
2.1.1. Synthesis of 3-Hydroxy-4-phenyl tetrahydro-1,5-benzodiazepin-2-one (3)
2.1.2. Synthesis of the Alkylated Compounds (4) and (5)
2.2. Anticancer Activity
2.3. Computational Methodology
2.4. X-ray Crystallography
2.5. In Silico Physicochemical Properties
3. Results and Discussion
3.1. Structural Elucidation of Compounds 3a, 3b, 4, and 5
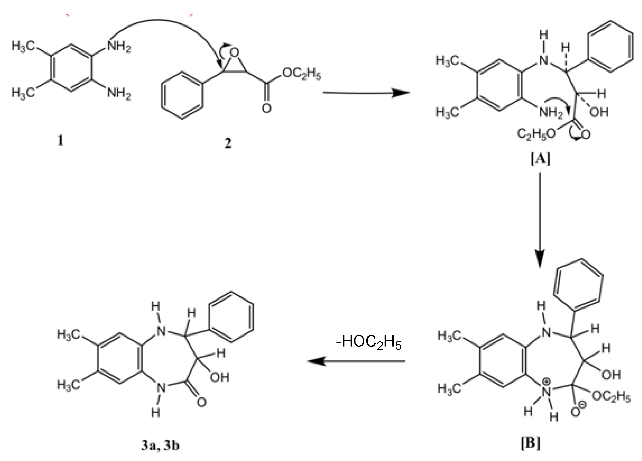
3.2. Plausible Mechanisms for the Formation of the Synthesized Compounds
3.3. Description of the Structures of 3b, 4, and 5
3.4. Hirshfeld Surface Analysis
3.5. dnorm Mapping
3.5.1. Curvedness and Shape Index
3.5.2. Distribution of Individual Intermolecular Interactions
3.6. DFT Density Functional Theory (DFT) Examination
3.6.1. Refinement of Structural Configuration
3.6.2. Molecular Electrostatic Nature of Interactions—MESP for 3b, 4, and 5
- A pronounced electron cloud localized at the oxygen atoms in both the carbonyl and the hydroxide groups, appearing as a red ellipse, most likely results from the lone pairs of electrons present in these functional groups.
- Surrounding these structures is a light blue hue, suggestive of slightly positive regions. This can largely be attributed to the hydrogen atoms enveloping the structure. However, for those derivatives with nitrogen substitutions, the light blue distribution varies.
3.6.3. The Global Descriptors
3.6.4. The Local Descriptors
3.7. Anticancer Effect
3.8. In Silico Studies of the Pharmacokinetics and Pharmacodynamics Properties
4. Conclusions
Supplementary Materials
Author Contributions
Funding
Data Availability Statement
Acknowledgments
Conflicts of Interest
Correction Statement
References
- Arora, N.; Dhiman, P.; Kumar, S.; Singh, G.; Monga, V. Recent Advances in Synthesis and Medicinal Chemistry of Benzodiazepines. Bioorg. Chem. 2020, 97, 103668. [Google Scholar] [CrossRef]
- Verma, R.; Bhatia, R.; Singh, G.; Kumar, B.; Mehan, S.; Monga, V. Design, Synthesis and Neuropharmacological Evaluation of New 2,4-Disubstituted-1,5-Benzodiazepines as CNS Active Agents. Bioorg. Chem. 2020, 101, 104010. [Google Scholar] [CrossRef] [PubMed]
- Gawandi, S.J.; Desai, V.G.; Joshi, S.; Shingade, S.; Pissurlenkar, R.R. Assessment of Elementary Derivatives of 1,5-Benzodiazepine as Anticancer Agents with Synergy Potential. Bioorg. Chem. 2021, 117, 105331. [Google Scholar] [CrossRef] [PubMed]
- Zellou, A.; Cherrah, Y.; Hassar, M.; Essassi, E.M. Synthese et Etude Pharmacologique Des 1,5-Benzodiazepine-2,4-Diones et de Leurs Derives Alkyles. Ann. Pharm. Fr. 1998, 56, 169–174. [Google Scholar] [PubMed]
- Di Braccio, M.; Grossi, G.; Roma, G.; Vargiu, L.; Mura, M.; Marongiu, M.E. 1,5-Benzodiazepines. Part XII. Synthesis and Biological Evaluation of Tricyclic and Tetracyclic 1,5-Benzodiazepine Derivatives as Nevirapine Analogues. Eur. J. Med. Chem. 2001, 36, 935–949. [Google Scholar] [CrossRef] [PubMed]
- Mazimba, O.; Molefe, T.C. 1, 5-Benzodiazepines: A Review Update. Int. J. Chem. Stud. 2015, 3, 46–52. [Google Scholar]
- Tolu-Bolaji, O.O.; Sojinu, S.O.; Okedere, A.P.; Ajani, O.O. A Review on the Chemistry and Pharmacological Properties of Benzodiazepine Motifs in Drug Design. Arab. J. Basic. Appl. Sci. 2022, 29, 287–306. [Google Scholar] [CrossRef]
- Kumar, P.; Kumar, A.; Pinto, J.S.; Kumbar, S.A.; Bhat, N.; Nayak, P. Synthesis and Antimicrobial Evaluation of Some Novel 1,5 Benzodiazepine Derivatives Derived from Pyrrolyl Chalcones. Res. J. Pharm. Technol. 2022, 15, 1811–1814. [Google Scholar] [CrossRef]
- Ongone, T.N.; El Ouasif, L.; El Ghoul, M.; Achour, R.; Chakchak, H.; El Jemli, M.; Cherrah, Y.; Alaoui, K.; Zellou, A. Synthesis of Surfactants Derived from 2-Mercaptobenzimidazole and Study of Their Acute Toxicity and Analgesic and Psychotropic Activities. Biochem. Res. Int. 2019, 2019, 9615728. [Google Scholar] [CrossRef]
- El Abbassi, M.; Essassi, E.M.; Fifani, J. Nouvelle Synthese Des Benzodiazepines-1,5 a Partir de La γ-Pyrone. Tetrahedron Lett. 1987, 28, 1389–1392. [Google Scholar] [CrossRef]
- Essassi, E.M.; Salem, M. Synthèse Des Pyrazolyl-1 Benzimidazoles A Partir Des Dihydro-1,3(2H) Benzo[2,3-b] Diazepine-1,5 Ones-2. Bull. des Sociétés Chim. Belges 1985, 94, 755–758. [Google Scholar] [CrossRef]
- Sebhaoui, J.; El Bakri, Y.; El Aoufir, Y.; Anouar, E.H.; Guenbour, A.; Nasser, A.A.; Mokhtar Essassi, E. Synthesis, NMR Characterization, DFT and Anti-Corrosion on Carbon Steel in 1M HCl of Two Novel 1,5-Benzodiazepines. J. Mol. Struct. 2019, 1182, 123–130. [Google Scholar] [CrossRef]
- Saber, A.; Zouihri, H.; Essassi, E.M.; Ng, S.W. 4-Methyl-2,3-Dihydro-1H-1,5-Benzodiazepin-2-One Monohydrate. Acta Crystallogr. Sect. E Struct. Rep. Online 2010, 66, o1408. [Google Scholar] [CrossRef] [PubMed]
- El Bakri, Y.; Anouar, E.H.; Ahmad, S.; Nassar, A.A.; Taha, M.L.; Mague, J.T.; El Ghayati, L.; Essassi, E.M. Synthesis and Identification of Novel Potential Molecules Against COVID-19 Main Protease Through Structure-Guided Virtual Screening Approach. Appl. Biochem. Biotechnol. 2021, 193, 3602–3623. [Google Scholar] [CrossRef] [PubMed]
- Chkirate, K.; Akachar, J.; Hni, B.; Hökelek, T.; Anouar, E.H.; Talbaoui, A.; Mague, J.T.; Sebbar, N.K.; Ibrahimi, A.; Essassi, E.M. Synthesis, Spectroscopic Characterization, Crystal Structure, DFT, ESI-MS Studies, Molecular Docking and in Vitro Antibacterial Activity of 1,5-Benzodiazepin-2-One Derivatives. J. Mol. Struct. 2022, 1247, 131188. [Google Scholar] [CrossRef]
- Altowyan, M.S.; Haukka, M.; Soliman, S.M.; Barakat, A.; Alaswad, S.O.; Boraei, A.T.A.; Gad, E.M.; Youssef, M.F. Synthesis, Characterization and Single Crystal X-Ray Diffraction Analysis of Fused Triazolo/Thiadiazole Clubbed with Indole Scaffold. Crystals 2023, 13, 423. [Google Scholar] [CrossRef]
- Bakheit, A.H.; Al-Salahi, R.; Ghabbour, H.A.; Ali, E.A.; AlRuqi, O.S.; Mostafa, G.A.E. Synthesis, X-Ray Crystal Structure, and Computational Characterization of Tetraphenylborate, 3-(5H-Dibenzo[a,d] Cyclohepten-5-Ylidene)-N, N-Dimethyl-1-Propanamine. Crystals 2023, 13, 1088. [Google Scholar] [CrossRef]
- Spackman, M.A.; Jayatilaka, D. Hirshfeld Surface Analysis. CrystEngComm 2009, 11, 19–32. [Google Scholar] [CrossRef]
- McKinnon, J.J.; Jayatilaka, D.; Spackman, M.A. Towards Quantitative Analysis of Intermolecular Interactions with Hirshfeld Surfaces. Chem. Commun. 2007, 37, 3814–3816. [Google Scholar] [CrossRef] [PubMed]
- Domingo, L.R.; Pérez, P.; Sáez, J.A. Understanding the Local Reactivity in Polar Organic Reactions through Electrophilic and Nucleophilic Parr Functions. RSC Adv. 2013, 3, 1486–1494. [Google Scholar] [CrossRef]
- Bakheit, A.H.; Al-Salahi, R.; Al-Majed, A.A. Thermodynamic and Computational (DFT) Study of Non-Covalent Interaction Mechanisms of Charge Transfer Complex of Linagliptin with 2,3-Dichloro-5,6-Dicyano-1,4-Benzoquinone (DDQ) and Chloranilic Acid (CHA). Molecules 2022, 27, 6320. [Google Scholar] [CrossRef]
- Bakheit, A.H.; Abuelizz, H.A.; Al-Salahi, R. Hirshfeld Surface Analysis and Density Functional Theory Calculations of 2-Benzyloxy-1,2,4-Triazolo[1,5-a] Quinazolin-5(4H)-One: A Comprehensive Study on Crystal Structure, Intermolecular Interactions, and Electronic Properties. Crystals 2023, 13, 1410. [Google Scholar] [CrossRef]
- Bakheit, A.H.; Attwa, M.W.; Kadi, A.A.; Ghabbour, H.A.; Alkahtani, H.M. Exploring the Chemical Reactivity, Molecular Docking, Molecular Dynamic Simulation and ADMET Properties of a Tetrahydrothienopyridine Derivative Using Computational Methods. Crystals 2023, 13, 1020. [Google Scholar] [CrossRef]
- Rida, M.; Meslouhi, H.E.; Ahabchane, N.H.; Garrigues, B.; Es-Safi, N.; Essassi, E.M. A Convenient Method for the Synthesis of 1,5-Benzodiazepin-2-One. Open Org. Chem. J. 2014, 2, 83–87. [Google Scholar] [CrossRef]
- Meslouhi, H.E.; Essassi, E.M.; Zerzouf, A.; Salem, M.; PETRUS, C.; Viallefont, P. ChemInform Abstract: Synthesis of New 1,5-Benzodiazepin-2-Ones from Ethyl Glycidate. ChemInform 1997, 28. [Google Scholar] [CrossRef]
- Alanazi, M.M.; Alanazi, A.S. Novel 7-Deazapurine Incorporating Isatin Hybrid Compounds as Protein Kinase Inhibitors: Design, Synthesis, In Silico Studies, and Antiproliferative Evaluation. Molecules 2023, 28, 5869. [Google Scholar] [CrossRef] [PubMed]
- Alanazi, A.S.; Mirgany, T.O.; Alsaif, N.A.; Alsfouk, A.A.; Alanazi, M.M. Design, Synthesis, Antitumor Evaluation, and Molecular Docking of Novel Pyrrolo[2,3-d]Pyrimidine as Multi-Kinase Inhibitors. Saudi Pharm. J. 2023, 31, 989–997. [Google Scholar] [CrossRef] [PubMed]
- Alanazi, A.S.; Mirgany, T.O.; Alsfouk, A.A.; Alsaif, N.A.; Alanazi, M.M. Antiproliferative Activity, Multikinase Inhibition, Apoptosis- Inducing Effects and Molecular Docking of Novel Isatin–Purine Hybrids. Medicina 2023, 59, 610. [Google Scholar] [CrossRef] [PubMed]
- Abuelizz, H.A.; Taie, H.A.A.; Bakheit, A.H.; Mostafa, G.A.E.; Marzouk, M.; Rashid, H.; Al-Salahi, R. Investigation of 4-Hydrazinobenzoic Acid Derivatives for Their Antioxidant Activity: In Vitro Screening and DFT Study. ACS Omega 2021, 6, 31993–32004. [Google Scholar] [CrossRef] [PubMed]
- Lee, C.; Yang, W.; Parr, R.G. Development of the Colle-Salvetti Correlation-Energy Formula into a Functional of the Electron Density. Phys. Rev. B 1988, 37, 785. [Google Scholar] [CrossRef]
- Zeng, W.; Wang, X.; Zhang, Y. Crystal Structure, Thermodynamic Properties and DFT Studies of 5,6-Dimethyl-1H-Benzo[d]Imidazol-3-Ium 3-((2,4-Dioxo-1,5-Dioxaspiro[5.5]Undecan-3-Ylidene)Methyl) -2,4-Dioxo-1,5-Dioxaspiro[5.5]Undecane Hydrate. Crystals 2021, 11, 1393. [Google Scholar] [CrossRef]
- Priyambada Biswal, S.; Ranjan Dash, M.; Misra, P.K. Synthesis and Characterization of Tailor-Made o-Hydroxysubstituted Anils through 1H NMR, 13C NMR, SC-XRD and DFT Studies for Possible Optoelectronic Applications. Mol. Phys. 2023, 121, 2225651. [Google Scholar] [CrossRef]
- Dash, M.R.; Rajakumar, B. Theoretical Investigations of the Gas Phase Reaction of Limonene (C10H16) with OH Radical. Mol. Phys. 2015, 113, 3202–3215. [Google Scholar] [CrossRef]
- Lardy, S.W.; Luong, K.C.; Schmidt, V.A. Formal Aniline Synthesis from Phenols through Deoxygenative N-Centered Radical Substitution. Chem. Eur. J. 2019, 25, 15267–15271. [Google Scholar] [CrossRef]
- Zahariev, F.; Levy, M. Density- and Spin-Density-Functional Theories through Spin-Free Wave Functions. Phys. Rev. A 2019, 100, 062507. [Google Scholar] [CrossRef]
- Bakheit, A.H.; Ghabbour, H.A.; Hussain, H.; Al-Salahi, R.; Ali, E.A.; Mostafa, G.A.E. Synthesis and Computational and X-Ray Structure of 2, 3, 5-Triphenyl Tetrazolium, 5-Ethyl-5-Phenylbarbituric Acid Salt. Crystals 2022, 12, 1706. [Google Scholar] [CrossRef]
- Hossen, J.; Pal, T.K.; Hasan, T. Theoretical Investigations on the Antioxidant Potential of 2,4,5-Trihydroxybutyrophenone in Different Solvents: A DFT Approach. Results Chem. 2022, 4, 100515. [Google Scholar] [CrossRef]
- Jayatilaka, D.; Wolff, S.K.; Grimwood, D.J.; McKinnon, J.J.; Spackman, M.A. CrystalExplorer: A Tool for Displaying Hirshfeld Surfaces and Visualising Intermolecular Interactions in Molecular Crystals. Acta Crystallogr. Sect. A Found. Crystallogr. 2006, 62, s90. [Google Scholar] [CrossRef]
- Krause, L.; Herbst-Irmer, R.; Sheldrick, G.M.; Stalke, D. Comparison of Silver and Molybdenum Microfocus X-Ray Sources for Single-Crystal Structure Determination. J. Appl. Crystallogr. 2015, 48, 3–10. [Google Scholar] [CrossRef]
- Sheldrick, G.M. IUCr SHELXT—Integrated Space-Group and Crystal-Structure Determination. Acta Cryst. 2015, A71, 3–8. [Google Scholar] [CrossRef]
- Pires, D.E.V.; Blundell, T.L.; Ascher, D.B. PkCSM: Predicting Small-Molecule Pharmacokinetic and Toxicity Properties Using Graph-Based Signatures. J. Med. Chem. 2015, 58, 4066–4072. [Google Scholar] [CrossRef]
- Mamedov, V.A.; Mamedova, V.L.; Syakaev, V.V.; Voronina, J.K.; Mahrous, E.M.; Korshin, D.E.; Latypov, S.K.; Sinyashin, O.G. Regioselective Syntheses of 3-Hydroxy-4-Aryl-3,4,5-Trihydro-2H-Benzo[b][1,4]Diazepin-2(1H)-Ones and 3-Benzylquinoxalin-2(1H)-Ones from Arylglycidates When Exposed to 1,2-Diaminobenzenes. Tetrahedron 2020, 76, 131478. [Google Scholar] [CrossRef]
- Koenderink, J.J.; van Doorn, A.J. Surface Shape and Curvature Scales. Image Vis. Comput. 1992, 10, 557–564. [Google Scholar] [CrossRef]
- Tan, S.L.; Jotani, M.M.; Tiekink, E.R.T. Utilizing Hirshfeld Surface Calculations, Non-Covalent Inter action (NCI) Plots and the Calculation of Interaction Energies in the Analysis of Molecular Packing. Acta Crystallogr. Sect. E Crystallogr. Commun. 2019, 75, 308. [Google Scholar] [CrossRef] [PubMed]
- Siskos, M.G.; Choudhary, M.I.; Gerothanassis, I.P. Hydrogen Atomic Positions of O-H···O Hydrogen Bonds in Solution and in the Solid State: The Synergy of Quantum Chemical Calculations with 1H-NMR Chemical Shifts and X-Ray Diffraction Methods. Molecules 2017, 22, 415. [Google Scholar] [CrossRef] [PubMed]
- Contreras, R.; Andres, J.; Safont, V.S.; Campodonico, P.; Santos, J.G. A Theoretical Study on the Relationship between Nucleophilicity and Ionization Potentials in Solution Phase. J. Phys. Chem. A 2003, 107, 5588–5593. [Google Scholar] [CrossRef]
- Mukta, S.; Rahul, K.; Shekhar, S. Synthesis, Characterisation and Hirshfeld Surface Analysis of Some Mercury(II) Molecular Adducts with Macrocyclic Ligands. Res. J. Chem. Environ. 2023, 27, 46–57. [Google Scholar] [CrossRef]
- Stondus, J.; Kant, R. Crystallographic, DFT, Lattice Energy and Hirshfeld Surface Analysis of Some CSD-Based 6-Chloropurines. Chem. Pharm. Res. 2022, 4, 1–14. [Google Scholar] [CrossRef]









| Compound | 3b | 4 | 5 |
|---|---|---|---|
| Identification code | JTM1628_0m_a | JTM1656_0m_a | JTM1739_0m_a |
| Molecular formula | C17H18N2O2 | C19H22N2O2 | C21H26N2O2 |
| Formula weight (g/mol) | 282.33 | 310.38 | 338.44 |
| Temperature (K) | 125 (2) | 150 (2) | 150 (2) |
| Crystal system | triclinic | triclinic | monoclinic |
| Space group | P-1 | P-1 | P21/c |
| a (Å) | 6.2187 (2) | 8.0149 (2) | 9.9993 (4) |
| b (Å) | 9.8850 (3) | 10.0579 (3) | 18.0468 (7) |
| c (Å) | 11.7626 (3) | 10.7774 (3) | 10.2148 (4) |
| α (°) | 84.040 (2) | 77.129 (1) | 90 |
| β (°) | 84.611 (2) | 72.229 (1) | 96.951 (1) |
| γ (°) | 89.181 (2) | 86.879 (1) | 90 |
| Volume (Å3) | 715.97 (4) | 806.47 (4) | 1829.77 (12) |
| Z | 2 | 2 | 4 |
| ρcalc (g/cm3) | 1.31 | 1.278 | 1.229 |
| μ (mm−1) | 0.697 | 0.083 | 0.625 |
| F(000) | 300 | 332 | 728 |
| Crystal size (mm) | 0.242 × 0.068 × 0.023 | 0.284 × 0.278 × 0.192 | 0.189 × 0.158 × 0.058 |
| Radiation | CuKα (λ = 1.54178) | MoKα (λ = 0.71073) | CuKα (λ = 1.54178) |
| 2θ range for data collection (°) | 7.59 to 136.58 | 6.524 to 66.668 | 12.686 to 144.864 |
| Index ranges | −7 ≤ h ≤ 7, −11 ≤ k ≤ 11, −14 ≤ l ≤ 13 | −12 ≤ h ≤ 12, −15 ≤ k ≤ 15, −16 ≤ l ≤ 16 | −12 ≤ h ≤ 12, −20 ≤ k ≤ 21, −12 ≤ l ≤ 12 |
| Reflections collected | 5914 | 43,213 | 64,905 |
| Independent reflections | 2544 [Rint = 0.0371, Rsigma = 0.0471] | 6209 [Rint = 0.0309, Rsigma = 0.0187] | 3599 [Rint = 0.0315, Rsigma = 0.0105] |
| Data/restraints/parameters | 2544/3/201 | 6209/2/219 | 3599/0/234 |
| Goodness-of-fit on F2 | 1.03 | 1.025 | 1.057 |
| Final R indexes [I ≥ 2σ (I)] | R1 = 0.0460, wR2 = 0.1196 | R1 = 0.0402, wR2 = 0.1164 | R1 = 0.0402, R2 = 0.1164 |
| Final R indexes [all data] | R1 = 0.0571, wR2 = 0.1288 | R1 = 0.0453, wR2 = 0.1212 | R1 = 0.0453, wR2 = 0.1212 |
| Largest diff. peak/hole (e Å−3) | 0.20/−0.20 | 0.44/−0.18 | 0.44/−0.18 |
| Compound | Bond | D—H | H⋯A | D⋯A | D—H⋯A |
|---|---|---|---|---|---|
| 3b | O1—H1⋯O2 1 | 0.847 (10) | 2.00 (2) | 2.5758 (16) | 125 (2) |
| N2—H2A⋯O1 2 | 0.915 (10) | 2.042 (11) | 2.9342 (18) | 165 (2) | |
| C2—H2⋯O2 3 | 0.95 | 2.49 | 3.406 (2) | 161 | |
| N1—H1A⋯Cg2 a | 0.91 (1) | 2.80 (2) | 3.5178 (16) | 136.6 (15) | |
| 4 | O2—H2A⋯O1 4 | 0.866 (9) | 1.994 (10) | 2.8388 (9) | 164.9 (15) |
| C15—H15⋯O1 4 | 0.95 | 2.42 | 3.2902 (10) | 152 | |
| C11—H11B⋯O2 5 | 0.98 | 2.58 | 3.5612 (11) | 176 | |
| N2—H2B⋯Cg2 b | 0.904 (2) | 2.892 (9) | 3.7868 (7) | 170.6 (10) | |
| C12—H12B⋯Cg2 c | 0.99 | 2.87 | 3.5953 (8) | 131 | |
| 5 | N2—H2A⋯O1 6 | 0.895 (16) | 2.160 (17) | 3.0509 (13) | 172.9 (14) |
| Interaction | 3b (%) | 4 (%) | 5 (%) |
|---|---|---|---|
| H···C | 22.1 | 21.5 | 14.3 |
| H···O | 14.3 | 13.1 | 8.0 |
| H···H | 61.4 | 62.6 | 73.9 |
| O···N | 0.4 | 0.0 | 0.0 |
| C···O | 0.6 | 0.0 | 1.4 |
| H···N | 0.5 | 2.6 | 2.3 |
| C···C | 0.6 | 0.1 | 0.1 |
| O···O | 0.1 | 0.0 | 0 |
| C···N | 0.0 | 0.1 | 0 |
| Descriptor | 3b | 4 | 5 |
|---|---|---|---|
| EHOMO(N) (eV) | −5.4646 | −5.4602 | −6.198 |
| EHOMO(N + 1) (eV) | 2.5356 | 2.3165 | 2.292 |
| EHOMO(N − 1) (eV) | −9.7231 | −9.7903 | −9.7199 |
| Vertical IP (eV) | 7.0644 | 7.0099 | 6.9389 |
| Vertical EA (eV) | −1.0934 | −0.9187 | −0.9208 |
| Softness (S) (eV−1) | 0.1226 | 0.1261 | 0.1272 |
| Chemical potential (μ) (eV) | −2.9855 | −3.0456 | −3.009 |
| Mulliken electronegativity (χ) (eV) | 2.9855 | 3.0456 | 3.009 |
| Hardness (=fundamental gap) (η) (eV) | 8.1577 | 7.9286 | 7.8596 |
| Electrophilicity index (ω) (eV) | 0.5463 | 0.585 | 0.576 |
| Nucleophilicity index (N) (eV) | 3.6566 | 3.661 | 2.9232 |
| 3b | 4 | 5 | ||||||
|---|---|---|---|---|---|---|---|---|
| Atoms | Atoms | Atoms | ||||||
| N2 | −0.81523 | 1.70776 | N1 | −1.0742 | 1.569363 | N1 | −0.99572 | 2.60541 |
| C1 | 4.364464 | 4.695817 | C6 | 4.233849 | 4.685395 | C6 | 4.403757 | 4.700334 |
| C6 | −0.23677 | 2.656078 | C1 | 0.278835 | 2.472727 | C1 | 0.651523 | 2.891619 |
| N1 | 0.093498 | 8.150168 | N2 | 0.132574 | 8.514583 | N2 | 0.147622 | 7.599681 |
| C7 | 0.764232 | 1.039095 | C9 | 0.717864 | 0.159432 | C9 | 0.811308 | 0.113281 |
| C8 | 0.299734 | 0.047021 | C8 | 0.374048 | 0.06811 | C8 | 0.478512 | 0.061443 |
| C9 | 4.25872 | −0.38055 | C7 | 3.93085 | −0.3735 | C7 | 2.966424 | −0.78557 |
| C5 | 1.649882 | −0.08838 | C2 | 0.686135 | 0.408878 | C2 | 0.110342 | −0.31979 |
| C4 | 6.176008 | 1.368489 | C3 | 5.918044 | 0.844043 | C3 | 5.949011 | 1.756523 |
| C3 | −1.78267 | 5.488594 | C4 | −1.46781 | 5.716408 | C4 | −1.02328 | 4.864718 |
| C2 | 3.361996 | −2.37504 | C5 | 2.690282 | −2.41474 | C5 | 1.981643 | −2.25166 |
| O2 | 2.349759 | 1.568846 | O1 | 1.94684 | 1.748795 | O1 | 1.763163 | 2.543232 |
| C12 | 1.690944 | 1.376978 | C14 | 2.863483 | 1.5609 | C16 | 3.133093 | 1.299018 |
| C13 | 2.532755 | 0.53767 | C15 | −0.18901 | 0.210181 | C17 | 2.844816 | 0.434321 |
| C14 | −0.84578 | −0.2538 | C16 | 0.943256 | 0.074042 | C18 | −1.26424 | −0.21489 |
| C15 | 1.993534 | 1.183478 | C17 | 3.522135 | 1.149981 | C19 | 3.79765 | 0.942249 |
| C16 | 1.930213 | 0.066096 | C18 | −1.07477 | −0.29579 | C20 | 1.300351 | −0.00046 |
| C17 | −0.73313 | 0.044953 | C19 | 2.389406 | 0.540772 | C21 | −0.38823 | 0.256794 |
| O1 | 0.017905 | −0.02838 | C12 | 0.150724 | 0.146506 | C12 | 0.248658 | 0.036082 |
| C10 | 0.06879 | 0.280332 | C13 | 0.042069 | 0.047266 | C13 | −0.0052 | 0.299978 |
| C11 | 0.072491 | 0.126125 | O2 | 0.043892 | −0.00795 | O2 | 0.06509 | 0.008517 |
| C11 | 0.082042 | 0.279733 | C11 | 0.100165 | 0.242535 | |||
| C10 | 0.070804 | 0.106261 | C10 | 0.087702 | 0.132955 | |||
| C14 | 0.034749 | −0.00463 | ||||||
| C15 | 0.01249 | −0.0003 | ||||||
| Compound | In Vitro Cytotoxicity IC50 (µM) * | |||
|---|---|---|---|---|
| HCT 116 | HepG2 | MCF-7 | WI38 | |
| 3b | 9.18 ± 0.6 | 6.13 ± 0.3 | 7.86 ± 0.4 | 13.95 ± 0.9 |
| 4 | 19.42 ± 1.5 | 15.33 ± 1.3 | 25.95 ± 2.1 | 71.64 ± 3.9 |
| 5 | >100 | 73.5 ± 4.0 | >100 | 54.16 |
| Sunitinib | 17.91 ± 1.3 | 8.38 ± 0.5 | 24.06 ± 2.0 | 55.63 ± 3.3 |
| Parameters | 3b | 4 | 5 | |
|---|---|---|---|---|
| Compound | ||||
| Molecular properties | ||||
| Molecular weight | 282.343 | 310.397 | 338.451 | |
| LogP | 2.769 | 3.18404 | 4.22824 | |
| H-acceptor | 3 | 3 | 3 | |
| H-donors | 3 | 2 | 1 | |
| Surface area | 123.363 | 136.303 | 149.352 | |
| Absorption | ||||
| Water solubility (log mol/L) | −3.585 | −3.885 | −4.325 | |
| Intestinal absorption (human) | 94.208% | 95.068% | 95.904% | |
| Skin permeability | −2.736 | −3.166 | −2.919 | |
| Distribution | ||||
| BBB permeability | 0.198 | 0.68 | 0.052 | |
| Metabolism | ||||
| CYP2D6 substrate CYP3A4 substrate | No No | No Yes | No Yes | |
| Excretion | ||||
| Total clearance (log mL/min/kg) | −0.12 | 0.099 | 0.234 | |
| Renal OCT2 substrate | No | Yes | Yes | |
| Toxicity | ||||
| Max. tolerated dose (human) (log mg/kg/day) | 0.257 | −0.031 | −0.137 | |
| Oral rate acute toxicity (LD50) (mol/kg) | 1.56 | 2.341 | 2.811 | |
| Oral rate chronic toxicity (LOAEL) (log mg/kg_bw/day) | 0.549 | 1.297 | 1.435 | |
| Hepatotoxicity | No | No | No | |
| Skin sensitization | No | No | No | |
Disclaimer/Publisher’s Note: The statements, opinions and data contained in all publications are solely those of the individual author(s) and contributor(s) and not of MDPI and/or the editor(s). MDPI and/or the editor(s) disclaim responsibility for any injury to people or property resulting from any ideas, methods, instructions or products referred to in the content. |
© 2023 by the authors. Licensee MDPI, Basel, Switzerland. This article is an open access article distributed under the terms and conditions of the Creative Commons Attribution (CC BY) license (https://creativecommons.org/licenses/by/4.0/).
Share and Cite
Lahmidi, S.; Bakheit, A.H.; Essassi, E.M.; Mague, J.T.; Alanazi, M.M. X-ray Crystal Structure, Hirshfeld Surface Analysis, DFT, and Anticancer Effect of 3-Hydroxy-4-phenyl-1,5-benzodiazepin-2-one Derivatives. Crystals 2023, 13, 1693. https://doi.org/10.3390/cryst13121693
Lahmidi S, Bakheit AH, Essassi EM, Mague JT, Alanazi MM. X-ray Crystal Structure, Hirshfeld Surface Analysis, DFT, and Anticancer Effect of 3-Hydroxy-4-phenyl-1,5-benzodiazepin-2-one Derivatives. Crystals. 2023; 13(12):1693. https://doi.org/10.3390/cryst13121693
Chicago/Turabian StyleLahmidi, Sanae, Ahmad H. Bakheit, El Mokhtar Essassi, Joel T. Mague, and Mohammed M. Alanazi. 2023. "X-ray Crystal Structure, Hirshfeld Surface Analysis, DFT, and Anticancer Effect of 3-Hydroxy-4-phenyl-1,5-benzodiazepin-2-one Derivatives" Crystals 13, no. 12: 1693. https://doi.org/10.3390/cryst13121693
APA StyleLahmidi, S., Bakheit, A. H., Essassi, E. M., Mague, J. T., & Alanazi, M. M. (2023). X-ray Crystal Structure, Hirshfeld Surface Analysis, DFT, and Anticancer Effect of 3-Hydroxy-4-phenyl-1,5-benzodiazepin-2-one Derivatives. Crystals, 13(12), 1693. https://doi.org/10.3390/cryst13121693

