Optoelectronic Device Modeling and Simulation of Selenium-Based Solar Cells under LED Illumination
Abstract
:1. Introduction
2. Simulation Method and Device Configuration
2.1. SCAPS
2.2. Solar Cell Configuration and Materials
2.3. SCAPS Calibration
2.4. Impact of Indoor Light LED
3. Results and Discussion
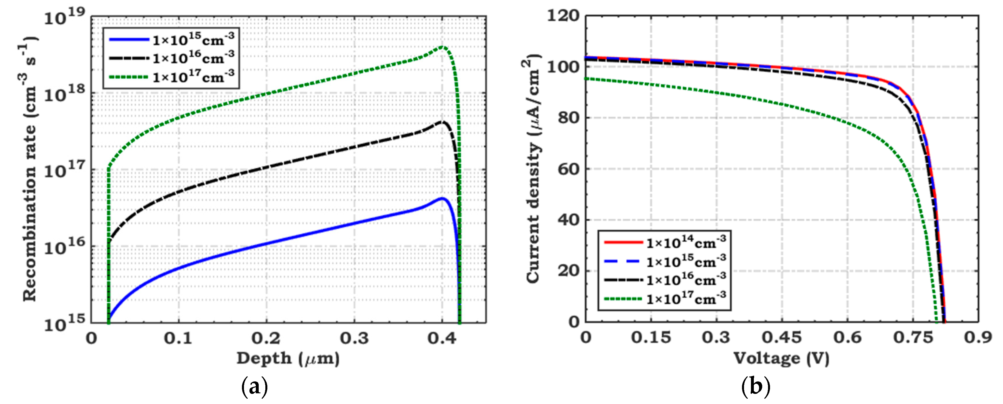
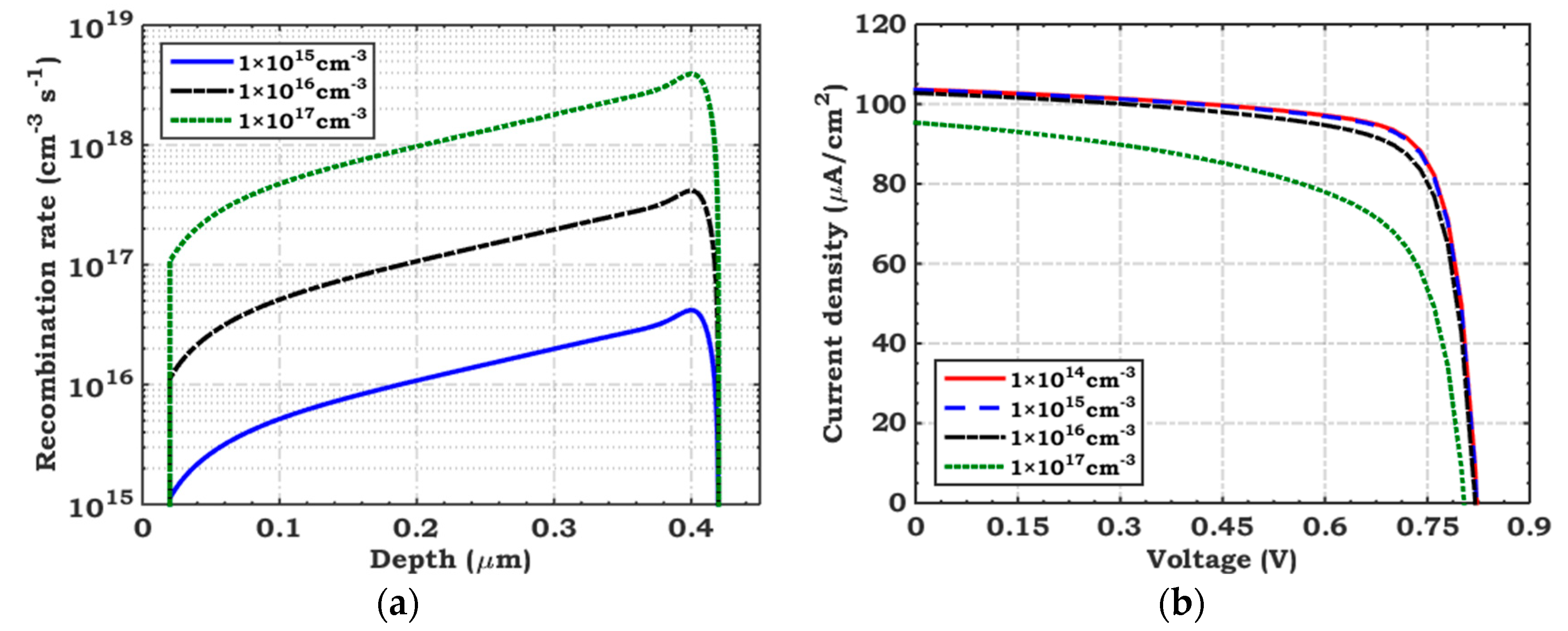
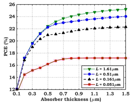
3.1. Impact of Absorber Defect Density (Nt) and Thickness
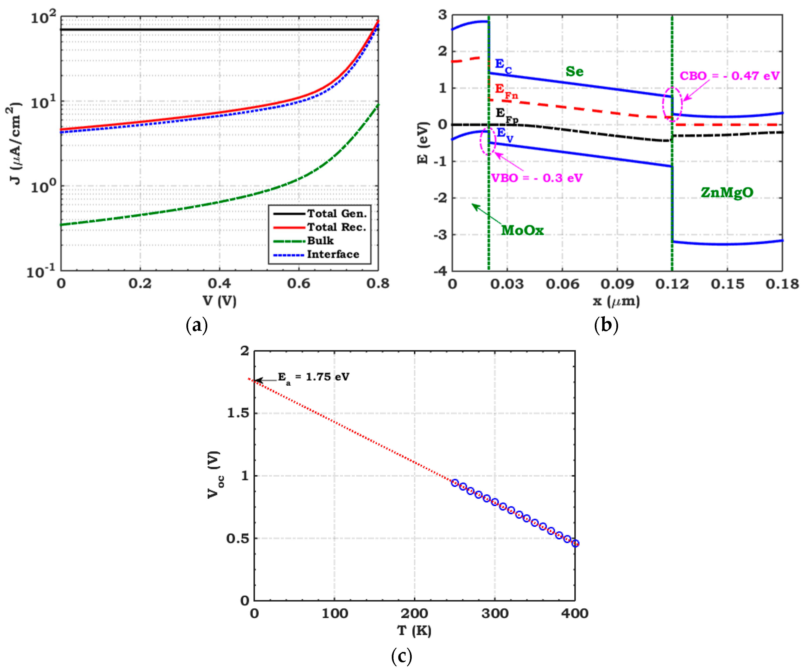
3.2. Impact of CBO and Interface Recombination Velocity in Single ETL
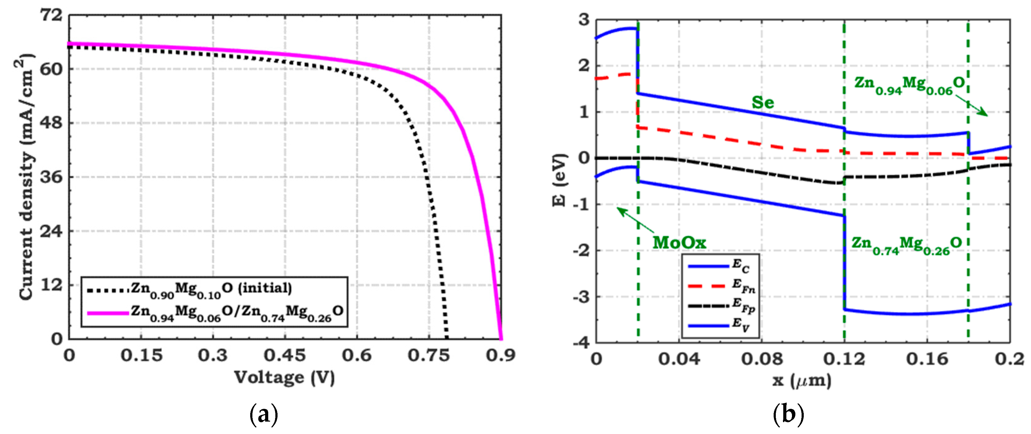
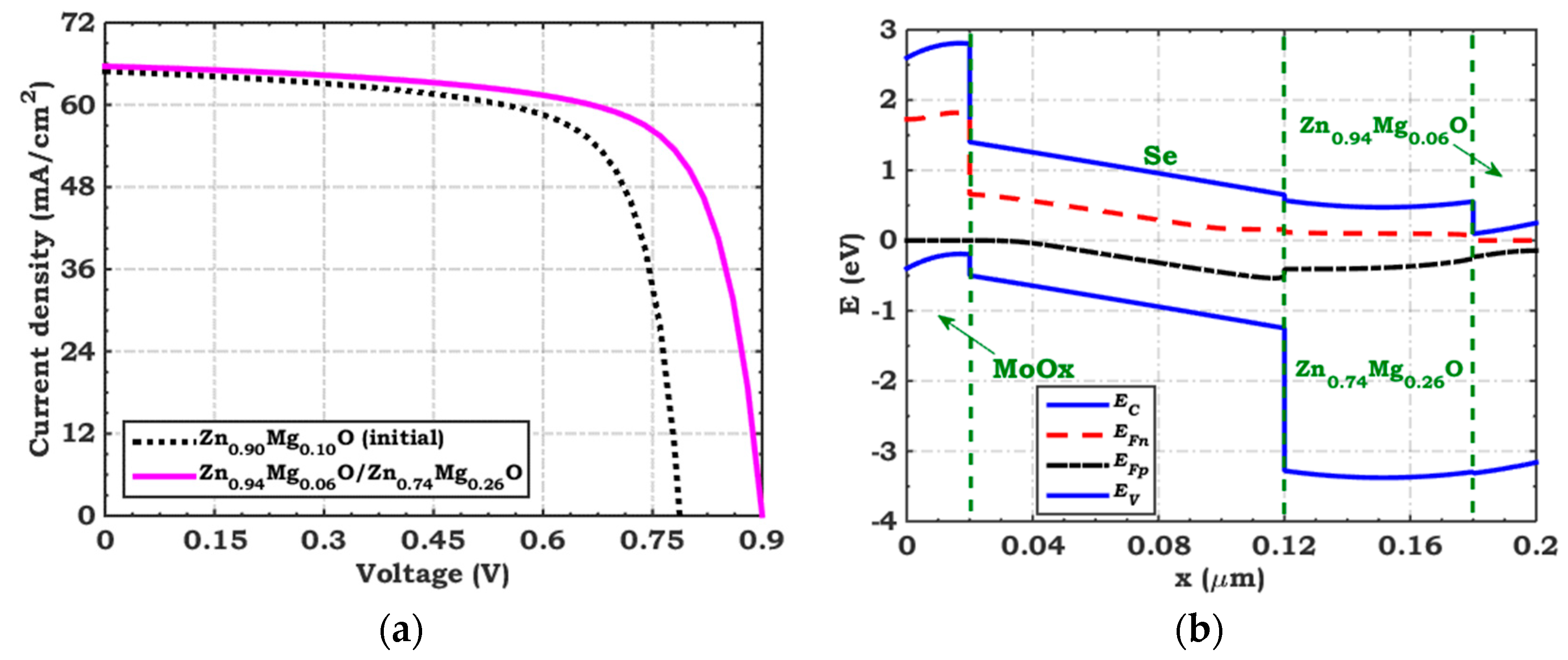
3.3. Proposed Double-ETL Configuration
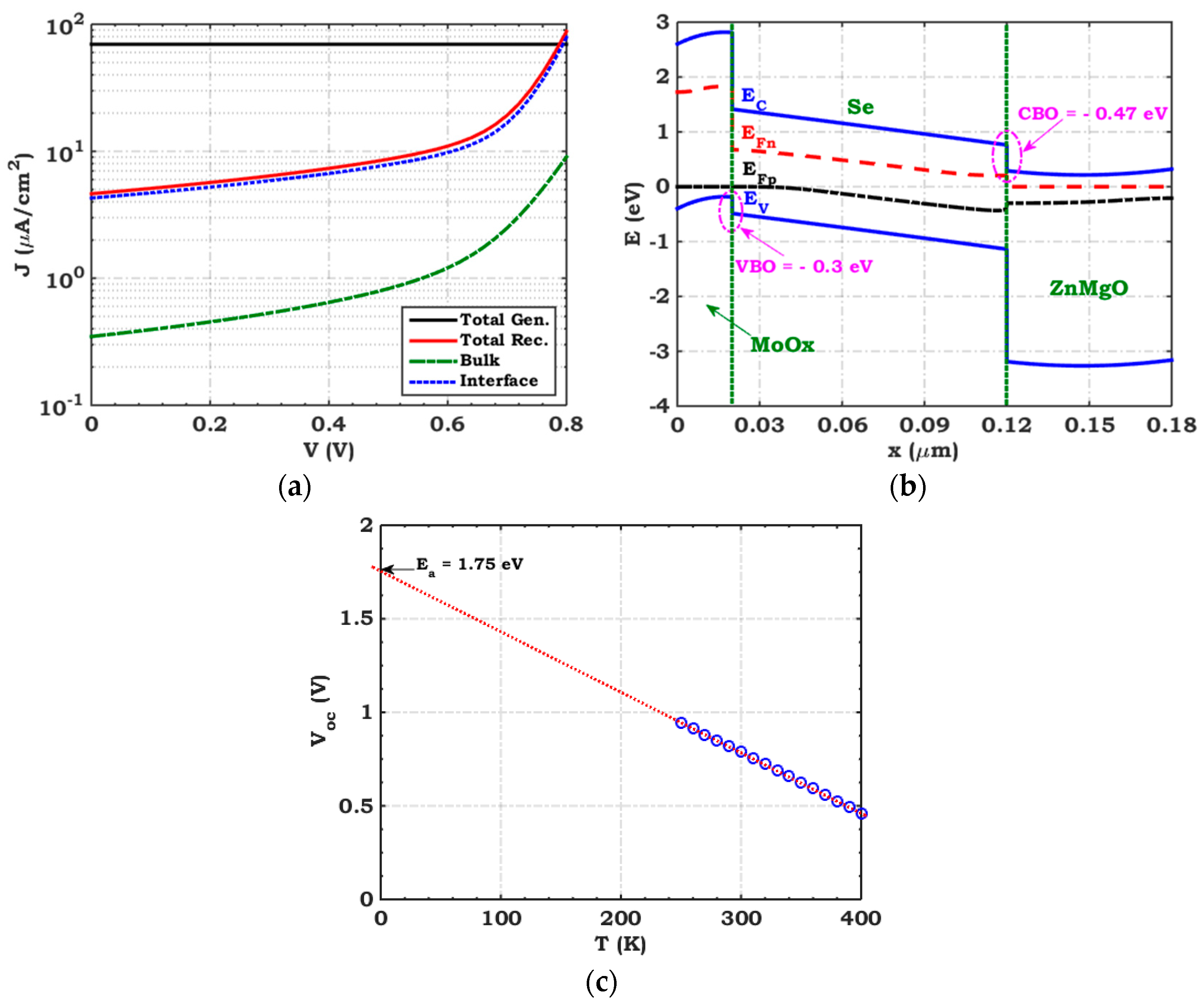
3.4. Final Optimization
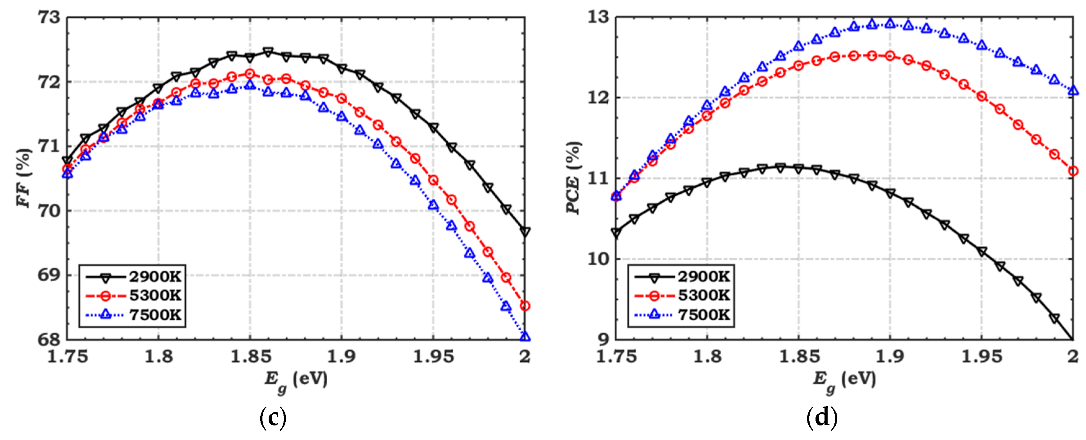
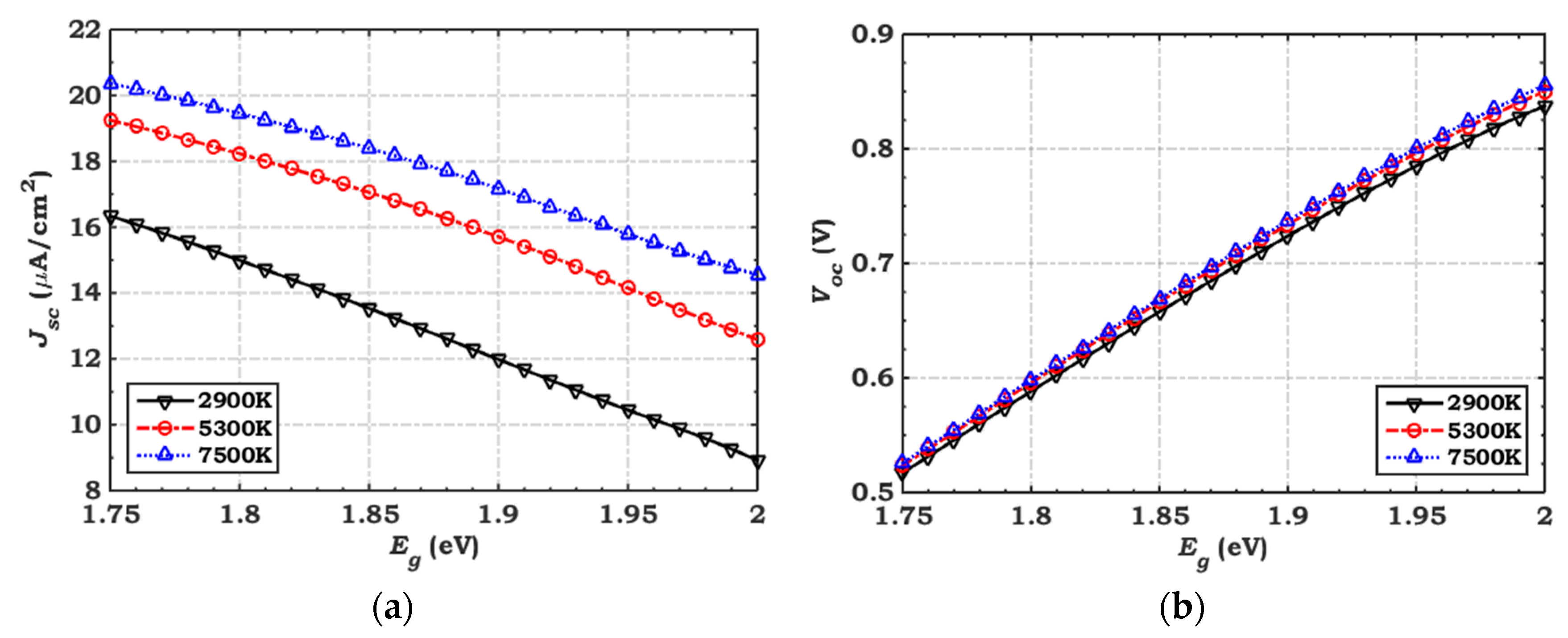
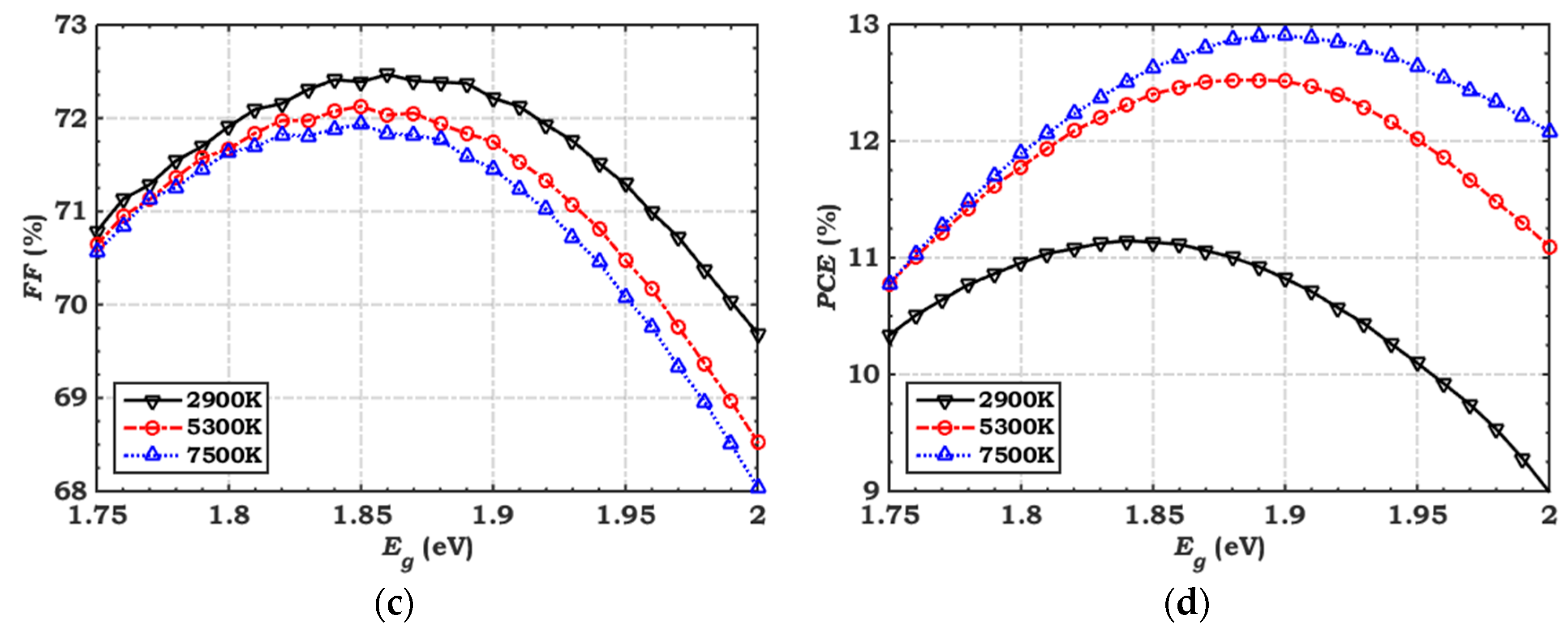
3.5. Impact of LED Temperature and Bandgap on Cell Performance
4. Conclusions
Supplementary Materials
Author Contributions
Funding
Data Availability Statement
Conflicts of Interest
References
- Zekry, A. A road map for transformation from conventional to photovoltaic energy generation and its challenges. J. King Saud Univ.-Eng. Sci. 2020, 32, 407–410. [Google Scholar] [CrossRef]
- Green, M.A. Solar Cells: Operating Principles, Technology, and System Applications; Prentice-Hall, Inc.: Englewood Cliffs, NJ, USA, 1982; 288p. [Google Scholar]
- Salem, M.S.; Shaker, A.; Almurayziq, T.S.; Alshammari, M.T. Prospective efficiency boosting of full-inorganic single-junction Sb2(S, Se)3 solar cell, Sol. Energy Mater. Sol. Cells 2022, 248, 112001. [Google Scholar] [CrossRef]
- Mishra, S.; Ghosh, S.; Boro, B.; Kumar, D.; Porwal, S.; Paul, M.; Dixit, H.; Singh, T. Solution-processed next generation thin film solar cells for indoor light application. Energy Adv. 2022, 1, 761–792. [Google Scholar] [CrossRef]
- Biswas, S.; Kim, H. Solar Cells for Indoor Applications: Progress and Development. Polymers 2020, 12, 1338. [Google Scholar] [CrossRef]
- Sivaraj, S.; Rathanasamy, R.; Kaliyannan, G.V.; Panchal, H.; Alrubaie, A.J.; Jaber, M.M.; Said, Z.; Memon, S. A Comprehensive Review on Current Performance, Challenges and Progress in Thin-Film Solar Cells. Energies 2022, 15, 8688. [Google Scholar] [CrossRef]
- Dhilipan, J.; Vijayalakshmi, N.; Shanmugam, D.B.; Ganesh, R.J.; Kodeeswaran, S.; Muralidharan, S. Performance and efficiency of different types of solar cell material—A review. Mater. Today Proc. 2022, 66, 1295–1302. [Google Scholar] [CrossRef]
- De Rossi, F.; Pontecorvo, T.; Brown, T.M. Characterization of photovoltaic devices for indoor light harvesting and customization of flexible dye solar cells to deliver superior efficiency under artificial lighting. Appl. Energy 2015, 156, 413–422. [Google Scholar] [CrossRef]
- Reynaud, C.A.; Clerc, R.; Lechêne, P.B.; Hébert, M.; Cazier, A.; Arias, A.C. Evaluation of indoor photovoltaic power production under directional and diffuse lighting conditions. Sol. Energy Mater. Sol. Cells 2019, 200, 110010. [Google Scholar] [CrossRef]
- Jarosz, G.; Marczyński, R.; Signerski, R. Effect of band gap on power conversion efficiency of single-junction semiconductor photovoltaic cells under white light phosphor-based LED illumination. Mater. Sci. Semicond. Process. 2020, 107, 104812. [Google Scholar] [CrossRef]
- Alanazi, T.I. TCAD Device Simulation of All-Polymer Solar Cells for Indoor Applications: Potential for Tandem vs. Single Junction Cells. Polymers 2023, 15, 2217. [Google Scholar] [CrossRef]
- Qaid, S.M.H.; Shaker, A.; Okil, M.; Alkadi, M.; Ahmed, A.A.A.; Zein, W. Optimizing CBTSSe solar cells for indoor applications through numerical simulation. Opt. Quantum Electron. 2023, 55, 1245. [Google Scholar] [CrossRef]
- Juang, S.S.-Y.; Lin, P.-Y.; Lin, Y.-C.; Chen, Y.-S.; Shen, P.-S.; Guo, Y.-L.; Wu, Y.-C.; Chen, P. Energy Harvesting Under Dim-Light Condition with Dye-Sensitized and Perovskite Solar Cells. Front. Chem. 2019, 7, 209. [Google Scholar] [CrossRef] [PubMed]
- Fritts, C.E. On a new form of selenium cell, and some electrical discoveries made by its use. Am. J. Sci. 1883, 26, 465–472. [Google Scholar] [CrossRef]
- Nakada, T.; Kunioka, A. Polycrystalline Thin-Film TiO2 /Se Solar Cells. Jpn. J. Appl. Phys. 1985, 24, L536. [Google Scholar] [CrossRef]
- Todorov, T.K.; Singh, S.; Bishop, D.M.; Gunawan, O.; Lee, Y.S.; Gershon, T.S.; Brew, K.W.; Antunez, P.D.; Haight, R. Ultrathin high band gap solar cells with improved efficiencies from the world’s oldest photovoltaic material. Nat. Commun. 2017, 8, 682. [Google Scholar] [CrossRef]
- Hadar, I.; Song, T.-B.; Ke, W.; Kanatzidis, M.G. Modern processing and insights on selenium solar cells: The world’s first photovoltaic device. Adv. Energy Mater. 2019, 9, 1802766. [Google Scholar] [CrossRef]
- Fu, L.; Zheng, J.; Yang, X.; He, Y.; Chen, C.; Li, K.; Tang, J. Rapid thermal annealing process for Se thin-film solar cells. Faraday Discuss. 2022, 239, 317–327. [Google Scholar] [CrossRef]
- Kawagishi, T.; Adachi, Y.; Kobayashi, T. Photovoltaic performances of TiO2/Se heterojunction devices with different crystallographic structures of sputter-deposited TiO2 thin films. Mater. Chem. Phys. 2023, 297, 127371. [Google Scholar] [CrossRef]
- Yan, B.; Liu, X.; Lu, W.; Feng, M.; Yan, H.J.; Li, Z.; Liu, S.; Wang, C.; Hu, J.S.; Xue, D.J. Indoor photovoltaics awaken the world’s first solar cells. Sci. Adv. 2022, 8, eadc9923. [Google Scholar] [CrossRef]
- Müller, M.F.; Freunek, M.; Reindl, L.M. Maximum efficiencies of indoor photovoltaic devices. IEEE J. Photovolt. 2013, 3, 59–64. [Google Scholar] [CrossRef]
- Youngman, T.H.; Nielsen, R.; Crovetto, A.; Seger, B.; Hansen, O.; Chorkendorff, I.; Vesborg, P.C.K. Semitransparent Selenium Solar Cells as a Top Cell for Tandem Photovoltaics. Sol. RRL 2021, 5, 2100111. [Google Scholar] [CrossRef]
- Salem, M.S.; Shaker, A.; Othman, M.S.; Al-Bagawia, A.H.; Fedawy, M.; Aleid, G.M. Numerical analysis and design of high performance HTL-free antimony sulfide solar cells by SCAPS-1D. Opt. Mater. 2022, 123, 111880. [Google Scholar] [CrossRef]
- Gamal, N.; Sedky, S.H.; Shaker, A.; Fedawy, M. Design of lead-free perovskite solar cell using Zn1−xMgxO as ETL: SCAPS device simulation. Optik 2021, 242, 167306. [Google Scholar] [CrossRef]
- Jannat, F.; Ahmed, S.; Alim, M.A. Performance analysis of cesium formamidinium lead mixed halide based perovskite solar cell with MoOx as hole transport material via SCAPS-1D. Optik 2021, 228, 166202. [Google Scholar] [CrossRef]
- Youngman, T.H. Wide-Bandgap Selenium-Based Solar Cells for Tandem Device Applications, Department of Physics; Technical University of Denmark: Kongens Lyngby, Denmark, 2021. [Google Scholar]
- He, X.; Wu, L.; Hao, X.; Zhang, J.; Li, C.; Wang, W.; Feng, L.; Du, Z. The Band Structures of Zn1−xMgxO(In) and the Simulation of CdTe Solar Cells with a Zn1−xMgxO(In) Window Layer by SCAPS. Energies 2019, 12, 291. [Google Scholar] [CrossRef]
- Cui, Y.; Wang, Y.; Bergqvist, J.; Yao, H.; Xu, Y.; Gao, B.; Yang, C.; Zhang, S.; Inganäs, O.; Gao, F.; et al. Wide-gap non-fullerene acceptor enabling high-performance organic photovoltaic cells for indoor applications. Nat. Energy 2019, 4, 768–775. [Google Scholar] [CrossRef]
- Kirchartz, T. Generalized Detailed Balance Theory of Solar Cells; Forschungszentrum Jülich: Jülich, Germany, 2009. [Google Scholar]
- Minemoto, T.; Murata, M. Theoretical analysis on effect of band offsets in perovskite solar cells. Sol. Energy Mater. Sol. Cells 2015, 133, 8–14. [Google Scholar] [CrossRef]
- Scheer, R.; Schock, H.W. Chalcogenide Photovoltaics: Physics, Technologies, and Thin Film Devices; John Wiley & Sons: Hoboken, NJ, USA, 2011. [Google Scholar] [CrossRef]
- Chen, C.; Liu, X.; Li, K.; Lu, S.; Wang, S.; Li, S.; Lu, Y.; He, J.; Zheng, J.; Lin, X.; et al. High-efficient Sb2Se3 solar cell using ZnxCd1−xS n-type layer. Appl. Phys. Lett. 2021, 118, 172103. [Google Scholar] [CrossRef]
- Yi, H.; Wang, D.; Mahmud, M.A.; Haque, F.; Upama, M.B.; Xu, C.; Duan, L.; Uddin, A. Bilayer SnO2 as Electron Transport Layer for Highly Efficient Perovskite Solar Cells. ACS Appl. Energy Mater. 2018, 1, 6027–6039. [Google Scholar] [CrossRef]
- Pitchaiya, S.; Eswaramoorthy, N.; Natarajan, M.; Santhanam, A.; Ramakrishnan, V.M.; Asokan, V.; Palanichamy, P.; Palanisamy, B.; Kalimuthu, A.; Velauthapillai, D. Interfacing green synthesized flake like-ZnO with TiO2 for bilayer electron extraction in perovskite solar cells. New J. Chem. 2020, 44, 8422–8433. [Google Scholar] [CrossRef]
- Li, N.; Yan, J.; Ai, Y.; Jiang, E.; Lin, L.; Shou, C.; Yan, B.; Sheng, J.; Ye, J. A low-temperature TiO2/SnO2 electron transport layer for high-performance planar perovskite solar cells. Sci. China Mater. 2020, 63, 207–215. [Google Scholar] [CrossRef]
- Otoufi, M.K.; Ranjbar, M.; Kermanpur, A.; Taghavinia, N.; Minbashi, M.; Forouzandeh, M.; Ebadi, F. Enhanced performance of planar perovskite solar cells using TiO2/SnO2 and TiO2/WO3 bilayer structures: Roles of the interfacial layers. Sol. Energy 2020, 208, 697–707. [Google Scholar] [CrossRef]
- Zhao, Y.; Li, C.; Niu, J.; Zhi, Z.; Chen, G.; Gong, J.; Li, J.; Xiao, X. Zinc-based electron transport materials for over 9.6%-efficient S-rich Sb2(S, Se)3 solar cells. J. Mater. Chem. A 2021, 9, 12644–12651. [Google Scholar] [CrossRef]
- Lachore, W.L.; Andoshe, D.M.; Mekonnen, M.A.; Hone, F.G. Recent progress in electron transport bilayer for efficient and low-cost perovskite solar cells: A review. J. Solid State Electrochem. 2022, 26, 295–311. [Google Scholar] [CrossRef]
- Tutihasi, S.; Chen, I. Optical properties and band structure of trigonal selenium. Phys. Rev. 1967, 158, 623–630. [Google Scholar] [CrossRef]
- Bhatnagar, A.K.; Reddy, K.V.; Srivastava, V. Optical energy gap of amorphous selenium: Effect of annealing. J. Phys. D. Appl. Phys. 1985, 18, L149. [Google Scholar] [CrossRef]
- Cui, Y.; Hong, L.; Zhang, T.; Meng, H.; Yan, H.; Gao, F.; Hou, J. Accurate photovoltaic measurement of organic cells for indoor applications. Joule 2021, 5, 1016–1023. [Google Scholar] [CrossRef]
- You, Y.; Song, C.E.; Hoang, Q.V.; Kang, Y.; Goo, J.S.; Ko, D.; Lee, J.; Shin, W.S.; Shim, J.W. Highly Efficient Indoor Organic Photovoltaics with Spectrally Matched Fluorinated Phenylene-Alkoxybenzothiadiazole-Based Wide Bandgap Polymers. Adv. Funct. Mater. 2019, 29, 1901171. [Google Scholar] [CrossRef]
- Castro-Hermosa, S.; Lucarelli, G.; Top, M.; Fahland, M.; Fahlteich, J.; Brown, T.M. Perovskite Photovoltaics on Roll-to-Roll Coated Ultra-thin Glass as Flexible High-Efficiency Indoor Power Generators. Cell Reports Phys. Sci. 2020, 1, 100045. [Google Scholar] [CrossRef]
- Peng, Y.; Huq, T.N.; Mei, J.; Portilla, L.; Jagt, R.A.; Occhipinti, L.G.; MacManus-Driscoll, J.L.; Hoye, R.L.Z.; Pecunia, V. Lead-Free Perovskite-Inspired Absorbers for Indoor Photovoltaics. Adv. Energy Mater. 2021, 11, 2002761. [Google Scholar] [CrossRef]
- Salem, M.S.; Shaker, A.; Abouelatta, M.; Alanazi, A.; Al-Dhlan, K.A.; Almurayziq, T.S. Numerical analysis of hole transport layer-free antimony selenide solar cells: Possible routes for efficiency promotion. Opt. Mater. (Amst). 2022, 129, 112473. [Google Scholar] [CrossRef]















| Parameters | MoOx | Se | Zn0.90Mg0.10O |
|---|---|---|---|
| Layer thickness, t (nm) | 20 | 100 | 60 |
| Energy gap, Eg (eV) | 3 | 1.9 | 3.44 |
| Affinity, χ (eV) | 2.5 | 3.9 | 4.37 |
| Relative permittivity, εr | 12.5 | 7.43 | 9 |
| Effective DOS in valence band, Nv (cm−3) | 1.8 × 1019 | 1.64 × 1020 | 1 × 1018 |
| Effective DOS in conduction band, Nc (cm−3) | 2.2 × 1018 | 8.8 × 1019 | 1 × 1017 |
| Hole mobility, μp (cm2 V−1s−1) | 100 | 0.58 | 20 |
| Electron mobility, μn (cm2V−1s−1) | 25 | 4.42 | 50 |
| Acceptor density, NA (1/cm3) | 1 × 1018 | 2 × 1015 | - |
| Donor density, ND (1/cm3) | - | - | 1 × 1017 |
| Carriers capture cross section, σ (cm2) | 1 × 10−15 | 1 × 10−15 | 1 × 10−15 |
| Defect concentration, Nt (1/cm3) | 1 × 1015 | 4 × 1016 | 1 × 1015 |
| Reference | [25] | [26] | [23,27] |
| Nt (cm−3) | 1 × 1014 | 1 × 1015 | 1 × 1016 | 1 × 1017 |
| L (μm) | 1.61 | 0.51 | 0.161 | 0.051 |
| ETL | χ (eV) | CBO (eV) | ΦF (eV) | Jsc (μA/cm2) | Voc (V) | FF (%) | PCE (%) |
|---|---|---|---|---|---|---|---|
| Zn0.70Mg0.30O | 3.89 | 0.01 | 0.80 | 64.37 | 0.749 | 46.54 | 7.24 |
| Zn0.74Mg0.26O | 3.98 | −0.08 | 0.71 | 64.81 | 0.809 | 56.13 | 9.49 |
| Zn0.82Mg0.18O | 4.21 | −0.31 | 0.48 | 64.86 | 0.811 | 68.96 | 11.70 |
| Zn0.90Mg0.10O (initial) | 4.37 | −0.47 | 0.32 | 64.90 | 0.788 | 71.39 | 11.78 |
| Zn0.94Mg0.06O | 4.44 | −0.54 | 0.25 | 64.89 | 0.744 | 71.95 | 11.22 |
| Optimized Parameter | Cell Structure | Jsc (μA/cm2) | Voc (V) | FF (%) | PCE (%) | Enhancement Percent (%) |
|---|---|---|---|---|---|---|
| Initial | 64.90 | 0.788 | 71.39 | 11.78 | - | |
| Absorber | Nt = 1 × 1015 cm−3 & tabs =300 nm | 98.08 | 0.827 | 74.86 | 19.59 | 66.30 |
| Interface | S = 1 × 104 cm/s | 68.28 | 0.813 | 75.12 | 13.45 | 14.18 |
| ETL | Double ETL (Zn0.94Mg0.06O/Zn0.74Mg0.26O) | 65.63 | 0.900 | 71.49 | 13.63 | 15.70 |
| Final Optimization | 104 | 1.03 | 77.64 | 26.93 | 128.61 | |
| Absorber Material | Eg (eV) | LED Intensity (Lux) | T (K) | Method | Jsc (μA/cm2) | Voc (V) | FF (%) | PCE (%) | Refs. |
|---|---|---|---|---|---|---|---|---|---|
| Se | 1.90 | 1000 | 2700 | Exp. | 115 | 0.730 | 55.70 | 15.10 | [20] |
| Organic (PBDB-T:ITIC) | 1.55 | 500 | 6500 | Exp. | 51.2 | 0.728 | 74.50 | 16.60 | [41] |
| Organic (PDTBTBz-2Fanti: PC71BM | 1.40 | 1000 | - | Exp. | 112.4 | 0.817 | 70.40 | 23.10 | [42] |
| Perovskite (CH3NH3PbI3) | 1.57 | 400 | - | Exp. | 58.8 | 0.860 | 73.50 | 22.60 | [43] |
| Lead free perovskite (Cs3Sb2ClxI9−x) | 1.95 | 1000 | - | Exp. | 71 | 0.45 | 37 | 3.7 | [44] |
| Polymer blend (PM7:PIDT) | 1.65 | 200 | 2900 | Sim. | 17 | 0.95 | 76 | 22 | [11] |
| Se | 1.90 | 1000 | 2700 | Sim. | 104 | 1.03 | 77.64 | 26.93 | This work |
Disclaimer/Publisher’s Note: The statements, opinions and data contained in all publications are solely those of the individual author(s) and contributor(s) and not of MDPI and/or the editor(s). MDPI and/or the editor(s) disclaim responsibility for any injury to people or property resulting from any ideas, methods, instructions or products referred to in the content. |
© 2023 by the authors. Licensee MDPI, Basel, Switzerland. This article is an open access article distributed under the terms and conditions of the Creative Commons Attribution (CC BY) license (https://creativecommons.org/licenses/by/4.0/).
Share and Cite
Qaid, S.M.H.; Shaker, A.; Okil, M.; Gontrand, C.; Alkadi, M.; Ghaithan, H.M.; Salah, M.M. Optoelectronic Device Modeling and Simulation of Selenium-Based Solar Cells under LED Illumination. Crystals 2023, 13, 1668. https://doi.org/10.3390/cryst13121668
Qaid SMH, Shaker A, Okil M, Gontrand C, Alkadi M, Ghaithan HM, Salah MM. Optoelectronic Device Modeling and Simulation of Selenium-Based Solar Cells under LED Illumination. Crystals. 2023; 13(12):1668. https://doi.org/10.3390/cryst13121668
Chicago/Turabian StyleQaid, Saif M. H., Ahmed Shaker, Mohamed Okil, Christian Gontrand, Muath Alkadi, Hamid M. Ghaithan, and Mostafa M. Salah. 2023. "Optoelectronic Device Modeling and Simulation of Selenium-Based Solar Cells under LED Illumination" Crystals 13, no. 12: 1668. https://doi.org/10.3390/cryst13121668
APA StyleQaid, S. M. H., Shaker, A., Okil, M., Gontrand, C., Alkadi, M., Ghaithan, H. M., & Salah, M. M. (2023). Optoelectronic Device Modeling and Simulation of Selenium-Based Solar Cells under LED Illumination. Crystals, 13(12), 1668. https://doi.org/10.3390/cryst13121668

