Next Article in Journal
Fe-Loaded Montmorillonite/TiO2 Composite as a Promising Photocatalyst for Selective Conversion of Glucose to Formic Acid under Visible-Light Irradiation
Previous Article in Journal
Photochromism, UV-Vis, Vibrational and Fluorescence Spectroscopy of Differently Colored Hackmanite
 
 
Font Type:
Arial Georgia Verdana
Font Size:
Aa Aa Aa
Line Spacing:
Column Width:
Background:
Article

Multi-Wavelength Coherent-Perfect-Absorption−Laser Points and Half-Wave Phase Shift in Parity-Time-Reciprocal Scaling Symmetry Structure

1
School of Physics and Electronic-Information Engineering, Hubei Engineering University, Xiaogan 432000, China
2
School of Electrical and Information Engineering, Hubei University of Science and Technology, Xianning 437100, China
3
Laboratory of Optoelectronic Information and Intelligent Control, Hubei University of Science and Technology, Xianning 437100, China
*
Authors to whom correspondence should be addressed.
Crystals 2023, 13(12), 1608; https://doi.org/10.3390/cryst13121608
Submission received: 2 October 2023 / Revised: 14 November 2023 / Accepted: 16 November 2023 / Published: 21 November 2023
(This article belongs to the Section Crystal Engineering)

Abstract

:
Two slabs of dielectrics with different values of refractive index are synthesized to form a composite structure and the whole system satisfies parity-time-reciprocal scaling symmetry. Four coherent-perfect-absorber-laser points are induced by modulating the incident wavelength of lightwaves and the loss/gain factor of materials. The locations of coherent-perfect-absorber-laser points in parameter space, which manifests the multi-wavelengths of coherent-perfect-absorber-lasers could be regulated by the incidence angle. Especially, a value of π phase shift in the transmitted/reflected light wave has been observed as well. This research has potential applications in multi-wavelength absorbers/lasers and half-wave phase shifters.

1. Introduction

The absorption and radiation of light waves by materials make the loss of the system inevitable through the interaction process of light and material [1]. By using the stimulated radiation of the gain medium or the parametric process of the nonlinear medium [2,3,4], the energy loss or gain of the system can be compensated. The introduction of loss and gain in non-Hermitian optical structures provides more freedom for photon manipulation.
The concept of parity-time (PT) symmetry has been transplanted from quantum systems to non-Hermitian optical systems. It has become a research hotspot in recent years and has a broad application prospect in laser technology [5,6], optical sensing [7], material engineering [8], and other fields. In non-Hermitian systems, the eigenvalues of Hamiltonians are usually complex numbers. However, when the Hamiltonian satisfies the PT symmetry, the eigenvalues of the Hamiltonian may also be real numbers. The complex function of the refractive index for the PT optical system could be written as n x = n * ( x ) , viz. the real component of the refractive indice presents the symmetrical distribution, while the imaginary component is anti-symmetric. The asterisk represents the complex conjugate operation. Compared with the uniform distribution of complex permittivity, the complex permittivity modulated by space or time makes the non-Hermitian optical system show many unique optical properties, such as optical invisibility [9], one-way nonreflective transmission [10,11], electric field localization [12,13], and spectral singularity [14,15,16], which opens a new path for the search and exploration of new photonic devices [17,18,19]. The modulation of the complex permittivity includes the modulating of the real component and the imaginary component. It is found that spatial modulation of the real component of the permittivity could control the mode output, and the time modulation can be used to construct nonreciprocal devices such as optical isolators [20]. The coherent-perfect-absorption−laser point (CPA−LP) [21,22,23,24,25] and nonreciprocal amplification [26] can be realized by modulating the imaginary part of the dielectric constant. CPA−LP is the reverse physics process of a laser, which could be utilized for an anti-laser, and it may completely absorb the electromagnetic wave with a specific frequency and waveform. Specifically, as two beams of coherent light waves with the same intensity incident on the upper and lower surfaces of the absorber, one can adjust the phase difference in the coherent lights to achieve the control of the absorption intensity from 0% to 100%. Instabilities of coherent perfect absorption in layered systems were analysed by alternating, amplifying, and absorbing media [27]. CPA−LP, as a special solution of the broken phase in PT-symmetric systems [28], may show more intuitive physical characteristics, which are of great significance to the study of non-Hermitian physics.
The PT-symmetric structures are special non-Hermitian systems. For quantum mechanics, if the Hamiltonian operator H and the parity time operator PT satisfy the reciprocity relation [H, PT] = 0, then the Hamiltonian is said to be PT-symmetric. The symbols T and P represent time and parity operators, respectively. In optical crystals, the condition of parity-time symmetry is equivalent to the existence of gain in one region of the system and the existence of equivalent loss in another region of symmetry. The scale of the loss and gain medium meeting should be the same size. The optical loss is easily doped and regulated within a large size range, but the optical gain can only be controlled within a small range. On the other hand, the loss/gain factor of the dielectric can be regulated by ion doping and two-wave nonlinear mixing. For example, the gain coefficient after beam coupling is significantly increased by two-wave mixing in Fe3+-doped LiNbO3 [3] and Bi-doped Sn2P2S6 [29]. Inspired by the above studies, we here propose a PTX (parity-time-reciprocal scaling) symmetry dielectric structure. Based on PT symmetry, the structure increases the reciprocity symmetry of the space scale; that is, the optical gain size is reduced to 1/G of the optical loss size (G > 1), but at the same time, the optical gain coefficient is expanded to G times of the optical loss coefficient. Further, we explore CPA−LPs and their related characteristics in PTX-symmetric dielectric structures.
In this study, compound systems are synthesized, which contain two kinds of dielectric slabs A and B with different refractive indices. The loss/gain factor of dielectrics and the thickness of slabs A and B are modulated to satisfy parity-time-reciprocal scaling (PTX) symmetry. We first investigate multiple CPA−LPs arising from the parameter space consisting of the loss/gain factor and incident wavelength. Subsequently, regulation of the CPA−LPs is explored through the incident angle. Then, phase-shift characteristics of light waves at CPA−LPs are presented as well. Our research provides a theoretical or experimental project for designing multi-wavelength tunable lasers or half wave phase shifters.

2. Synthesis of PTX-Symmetric Dielectric Structure

The proposed geometrical structure is given in Figure 1. The symbols A and B denote two dielectric slabs with different refractive indices. Their geometrical thicknesses are denoted by da and db. The indices A and B are given by: na = nar + i*nai, nb = nbr + i*nbi, where nar and nbr, respectively, represent the real part nai and the imaginary part nbi and i is the imaginary unit. The incident, reflected, and transmitted light beams are denoted by the symbols Ii, Ir, and It, respectively. The incident angle is denoted by θ which represents the included angle between the incident beam and the horizontal direction (i.e., Z-axis). The host material of A can be set as LiNbO3. Weak optical loss can be realized by doping iron ions (Fe2+) into the dielectric slab A and one can choose ion-doped LiNbO3 for the optical loss dielectric A [3]. The host material of slab B may be SiO2 and the optical gain coefficient is controlled by Er3+ doping in slab B along with the intensity regulation of the external pump beam. The refractive indices of materials and the thicknesses of slabs of the system are adjusted subtly, and finally, the entire dielectric structure meets the PTX symmetry.
The parameter z is the spatial position coordinate and the refractive index function of a composite system that satisfies the equation: n(z) = n*(−z); then, the system follows PT-symmetry. The refractive index function is written in conjugate form, that is, n(z) = nr(z) + i*ni(z). In practice, the real component and imaginary component of the refractive index in materials need to be adjusted concurrently, so that the real refractive index meets even symmetry, viz. nr(z) = nr(−z), while the imaginary refractive index satisfies odd symmetry, viz. ni(z) = −ni(−z). The positive imaginary part of the index value represents the optics gain of the material, which can be realized by nonlinear two-wave mixing or ion doping. It shows that the optical gain in a broad-area semiconductor amplifier can be realized by the two-wave mixing, in which a pump beam and a signal beam with different frequencies, both a moving phase grating and a moving gain grating, are induced in the amplifier [30]. The optical gain is further provided through two-wave mixing in Fe3+-doped LiNbO3 using the material’s photorefractive nonlinearity, while optical loss is induced by Fe2+-doping [3]. Otherwise, optical gain enhancements in Si nanocrystals via hydrogenation and Ce3+ ion doping and Bi-doped Sn2P2S6 crystals are through a two-beam coupling [29,31]. The coupling gain is induced by a higher effective electro-optic coefficient and an increase in the trap density compared with values in these pure nanocrystals or crystals. The negative imaginary refractive index component represents the optical loss in the system, and the optical loss can be realized by ion doping.
Compared with PT symmetry, the PTX-symmetric condition of the dielectric structure demands the function of the refractive index to meet the equations: G da = db/ G , nar = nb and nai / G = G nbi. The parameter G is the scale transformation coefficient. For LiNbO3, the real part of the refractive index is nar = nbr = 2.22, and the imaginary part is nai = 0.01*q and nbi = −0.1*q, respectively. The mark q is called the loss/gain factor of optical media. The dielectric thicknesses are da = 5 μm and db = 0.5 μm. Here the scale transformation coefficient is set as G = 10.
For a transverse magnetic (TM) wave at the two ports of a layer, the electric and magnetic fields can be interconnected by the transfer matrix method (TMM) [32,33].
M l = cos φ l i η l sin φ l i η l sin φ l cos φ l ,
The symbol is φj = 2πnldlcosl/λ. The parameter dl is the thickness of dielectric and θl is the angle of incidence. The symbol ηl = (ε0εr)1/2/[(μ0μr)1/2cosθl]. Then, the electric and magnetic fields at the first input port and last output port can be expressed as
E 0 H 0 = l = 1 k M l E k H k = m 11 m 12 m 21 m 22 E k H k .
Consequently, the transmission coefficient t and reflection coefficient r can be obtained as
t = 2 η 0 m 11 + m 12 η k η 0 + m 21 + m 22 η k cos θ 0 cos θ k ,
and
r = m 11 + m 12 η k η 0 m 21 + m 22 η k m 11 + m 12 η k η 0 + m 21 + m 22 η k ,
where η0 = ηk = (ε00)1/2/cosθ. The parameter η0 is the admittance in vacuum. The transmittance T of light beam and the reflectance R can be obtained by T = tt* and R = rr*, respectively.

3. Multiple CPA−LPs and Half Wave Phase Shift

The transmittivity log10(T) in parameter space is described in Figure 2a. The parameters space is constituted by the loss/gain factor and the incident wavelength. The transverse magnetic wave is propagating along the Z-axis in the PTX-symmetric structure and the angle of incidence is fixed by θ = 0°. The logarithm log10(T) of the light transmittance T can be aimed at enhancing the contrast ratio. By modulating the values of λ in the range of [0.5 μm, 2 μm] and q in the range of [0, 10] synchronously, we could find the transmission extreme points in parameters space. The maximum transmitted point is commonly known as this CPA−LP, denoted by the symbol LP. Briefly, these four laser points are located at LP1 [λ1 = 0.5198 μm, q1 = 2.8529], LP2 [λ2 = 0.6785, q2 = 3.4835], LP3 [λ3 = 0.9765 μm, q3 = 4.5646], and LP4 [λ4 = 1.7393 μm, q4 = 6.8168], and the corresponding transmittance values at these CPA−LPs are T1 = 6.6405 × 103, T2 = 2.7102 × 104, T3 = 4.162 × 104, and T4 = 9.7791 × 105, respectively.
Figure 2b explores the reflection spectrum log10(R) in parameters space. We mark the four dark orange dots as LP1, LP2, LP3 and LP4, representing four points with the maximum value of R. The positions of these four poles are exactly at [λ1 = 0.5198 μm, q1 = 2.8529], [λ2 = 0.6785 μm, q2 = 3.4835], [λ3 = 0.9765 μm, q3 = 4.5646], and [λ4 = 1.7393 μm, q4 = 6.8168], viz. the four CPA−LPs. The corresponding values of R for these four poles are R1 = 1.0053 × 103, R2 = 4.1495 × 103, R3 = 6.8375 × 103, and R4 = 1.8268 × 105, respectively.
To further prove the resonance characteristics of the CPA−LPs, we focus on one of the laser points to investigate its optical spectrum. Figure 2c describes the spectrum of transmission light waves for the parameter of q = 6.8168. The parameter q = 6.8168 is exactly equal to the corresponding loss/gain factor of LP4. The transmittivity of the light beams changes with the increase in the incident wavelength, and one can find that a sharp transmission peak appears in the spectrum of transmission beams, which is indicated by a red asterisk (☆). The value of this transmission peak is log10(T) = 5.9903, and correspondingly, the wavelength of incidence is fixed by λ = 1.7393 μm, which also happens to be λ4. The transmittance of this peak log10(T) = 5.9903 = log10(T4) identifies with the transmittance at LP4. The transmittivity roughly increases with the augment of the incidence wavelength as λ ≤ 1.7393 μm. The transmitted intensity of light beams has been greatly improved as the incident wavelength tends to LP4 from the left side. As the value is λ > 1.7393 μm, the transmittivity decreases with the rise in the incident wavelength, while the transmitted intensity declines dramatically when the incident wavelength expands from the right of LP4. Otherwise, the transmission spectrum curve is asymmetric to the CPA−LP of LP4.
Figure 2d studies the relationship between the incident wavelength and the reflectance of the light beam for the value of q = 6.8168. It can be found that the reflectance of the light waves changes with the wavelength of incidence. At λ = 1.7393 μm, there is a reflection peak, marked with a red asterisk (☆) as well. The peak value of reflectance is taken as the logarithm log10 (R) = 5.2617 = log10 (R4), so the value is exactly equal to the reflectance at LP4. Similarly, by adjusting the incident wavelength, the reflectivity of the light waves changes violently near the LP4. The reflectance changes relatively gently as the incident wavelength moves away from LP4 on both sides.
Furthermore, one can change the incident angle, and the other parameters remain unchanged. Along the Z-axis a transverse magnetic wave propagates in the PTX-symmetric dielectrics structure as the incidence angle is θ = 0°. Figure 3a provides the transmittivity of light waves around LP4 as θ = 10°. The CPA−LP (LP4) appears at [λ4 = 1.7337 μm, q4 = 6.8368] in parameter space. The transmittivity at this CPA−LP (LP4) is T = 2.0128 × 105. For the value of incident angle θ = 30°, the CPA−LP (LP4) moves to [λ4 = 1.691, q4 = 6.997] and its transmittance is T = 4.1908 × 106 as provided in Figure 3b. Increasing the angle of incidence to 50°, the position of the CPA−LP (LP4) is located at [λ4 = 1.6003 μm, q4 = 7.5576], as shown in Figure 3c, and the corresponding transmittance is T = 1.0174 × 106.
Changing the angle of incidence from the value of 0° to 60°, Figure 3d shows the relationship between the position of this CPA−LP (LP4) in parameter space and the incidence angle. One can see that with the augment of the angle value of incidence, LP4 moves to the upper left of the parameter space, viz. the corresponding wavelength of the laser decreases, and the loss/gain factor grows. In a similar way, the corresponding wavelengths of the other laser points of LP1, LP2, and LP3 may change with the incidence angle as well. If the incident angle of the light wave changes, the position of the corresponding laser point in parameter space will change accordingly, that is, by changing the value of the incidence angle, the corresponding laser wavelength may be tuned.
In the parameter space constituted by the incident light wavelength and the loss/gain factor, the PTX-symmetric dielectric structure supports multi-wavelength laser points. Multi-wavelength laser points correspond to the maximum points of transmittance and reflectance, which could be utilized for obtaining ideal multi-wavelength lasers. The wavelengths of the laser correspond to the wavelength values at these multi-wavelength laser points. The multi-wavelengths of the laser can be flexibly adjusted by the value of the incidence angle. Compared with PT-symmetric aperiodic photonic crystals, which also are used for realizing multi-wavelength laser, the PTX-symmetric dielectric proposed here has a simple structure. However, the reduction in the size of the gain material in multi-wavelength lasers is at the cost of increasing the gain coefficient of the material.
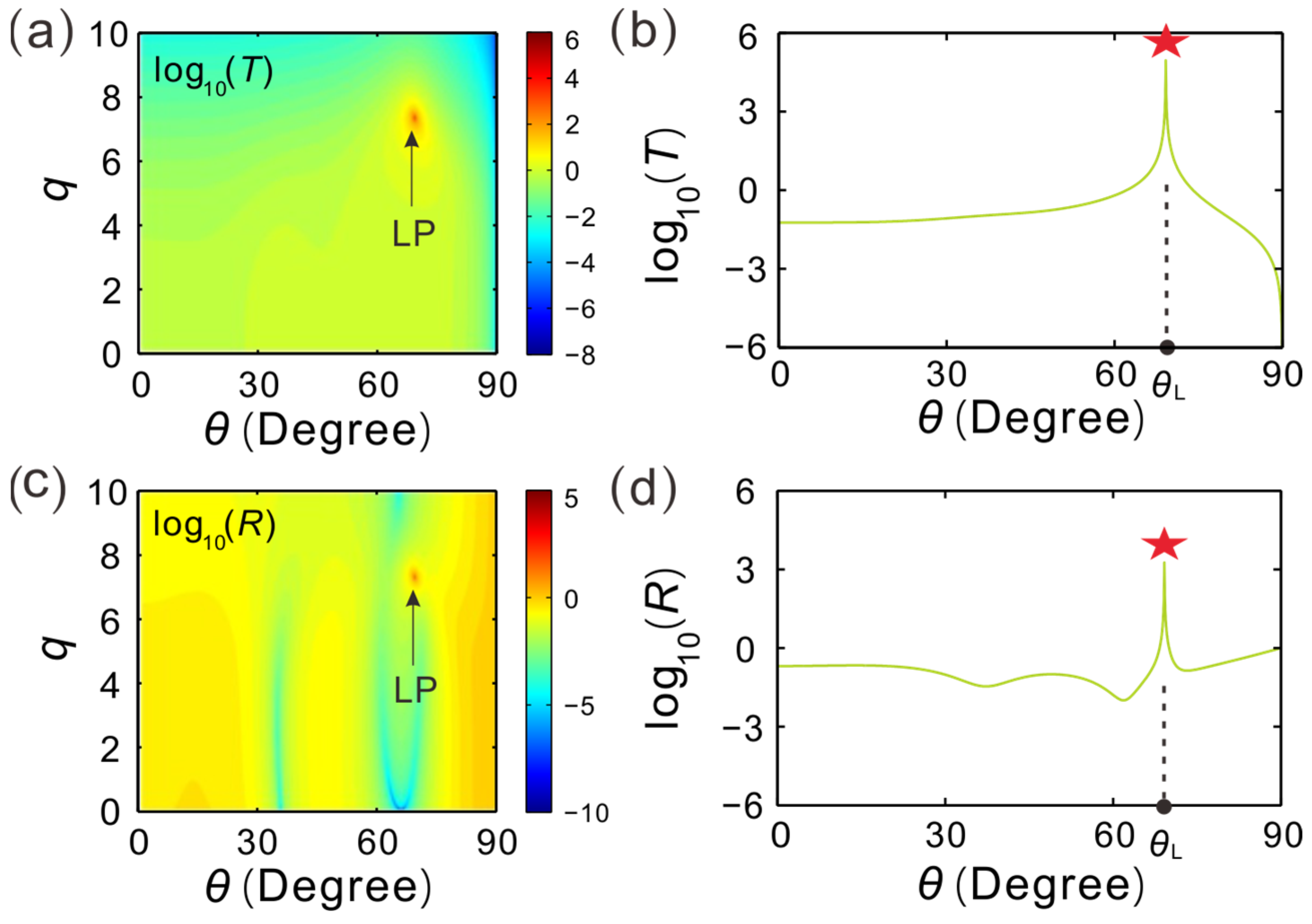
For a fixed incident wavelength, the dependence of the CPA−LP on the direction of the reflected light wave in the PTX-symmetric dielectric structure is discussed here. Figure 4a demonstrates the intensity transmitted light versus the loss/gain factor and the incident angle. One could find that there is a CAP−LP in the parameters space. The according parameters of this CAP−LP are given by the incident angle of θ = 69.175°, the loss/gain factor q = 7.3417, and the maximum transmittivity of T = 8.9702 × 104.
For the loss/gain factor value q = 7.3417, Figure 4b describes the corresponding transmission spectrum changing with the incidence angle. The transmittance changes with the incidence angle. At θ = 69.175°, there is a sharp transmission peak marked with a red asterisk (☆). At the labeled asterisk, the maximum value is log10(T) = 4.9528 = log10(TL), which exactly equates to the relevant value of transmittance for the laser point LP, as shown in Figure 4a. The transmission intensity increases slowly with the increase in the incident angle for θ ≤ 69.175°, while for θ > 69.175°, the transmission intensity decreases rapidly with the rise in the incidence angle. As the incident angle reaches the peak from the right or the left sides of this laser point LP, the transmission intensity could be greatly improved. Therefore, one can modulate the parameters of the laser point LP through the loss/gain factor and the incidence angle.
Figure 4c provides the reflectance of light waves varying with the incidence angle in parameters space. In order to increase the contrast, the logarithm log10 (R) of the light wave reflectance R is also taken in simulations. There is one LP appearing in the quantitative value range of parameters space, and its reflectance is extremely high, with a value of RL = 1.8214 × 103. For a fixed quantity of the loss/gain factor q = 7.3417, the corresponding reflection spectrum for light waves is described in Figure 4d. Obviously, the reflectance increases as the incident angle changes around θ = 69.175° = θL, and the reflectance reaches the maximum value at θL marked with a red asterisk (☆). The reflectance at this point is log10(R) = 3.2604 = log10(RL). In the same way, the reflectivity of light waves changes dramatically near this CPA−LP. When the incident angle of the light waves is far from the peak on both sides, the reflectance change is relatively flat. In conclusion, for the PTX-symmetric dielectric structure proposed here, the CPA−LP is precisely located at the pole of the transmitted light beam or the reflected light beam.
Generally, the transmission coefficient can be expressed as t = Eo/Ei, where Ei denotes the input electric field strength, while Eo represents the transmission electric field strength, both of which are complex. Further, the transmission coefficient is written in the form of the complex index, t = |t|exp(t), Eo = |Eo|exp(o), and Ei = |Ei|exp(i). From this, we can obtain Eo = t*Ei = |t||Ei|exp[i(φt + φi)], viz. the phase φo = φt + φi of the transmitted electric field. Similarly, the phase φo = φr + φi of the reflected electric field can be obtained. That is to say, the phase of the electric field is closely related to the reflection coefficient phase and the transmission coefficient phase. Finally, the phase of the electric field can be adjusted by modulating the reflection coefficient phase or the transmission coefficient phase.
For a fixed incident wavelength λ = 1.31 μm, the transmission coefficient phase of the light waves in parameters space is formed by the loss/gain coefficient and the incident angle is demonstrated in Figure 5a. One could find that the CPA−LP is located at [θL = 69.175°, qL = 7.3417] and the transmission coefficient phase φt is singular at the CPA−LP. This means that near the CPA−LP, the phase of transmission coefficient is very sensitive to the incident angle and the loss/gain factor. If the incident angle undergoes a minor change, the transmission coefficient phase will vary dramatically.
Figure 5b provides the transmission coefficient phase varying with the incident angle. For demonstrating the change in the transmission coefficient phase, we here take three specific values of the loss/gain factor to demonstrate. The incident wavelength is provided by λ = 1.31 μm. The parameter value q = 7.3417 is just equal to the loss/gain factor of the CPA−LP. One of the other two parameters is greater than q = 7.3417 and the other is less than q = 7.3417. One can see that at θ = 69.175° = θL, there is a π phase jump in the transmission coefficient phase φt. For the loss/gain factor q = 7.3, it has a jump of 2π in phase in the transmission coefficient phase curve as the incident angle increases. The 2π phase change is meaningless and can be ignored. For the loss/gain factor q = 7.4, the transmission coefficient phase changes slowly and continuously with the varying of the incident angle. In short, the variation in the transmission coefficient phase is exactly equal to π at the CPA−LP, and this phase jump effect can be used in half-wave phase shifters for transmitted light waves. The phase shift is controlled by changing the incident angle.
Figure 5c gives the relationship between the incident angle and the phase of reflection coefficient. The phase φr at the CPA−LP experiences a dislocation. Figure 5d depicts the phase of the reflection coefficient changing with the incident angle for different loss/gain factors. In comparison with the characteristics as shown in Figure 5b, it can be found that the changing trend in the phase φr is the same as that in phase φr for the three given loss/gain factors. For q = 7.3417, the phase of φr changes suddenly at the CPA−LP, and the corresponding reflection coefficient phase change is exactly equal to π as well. This effect can also be used in half-wave phase shifters for reflected light waves, and the shift in phase can be controlled by varying the value of the incident angle.
For different incident wavelengths, Figure 6 gives the corresponding transmittance of light waves. There is one CPA−LP in Figure 6a and another CPA−LP in Figure 6b as well. The LP appears at [θL = 62.85°, qL = 5.4454] and the peak value of the transmittance is log10(T) = 2.8508 for λ = 0.85 μm, whereas the other LP is situated at [θL = 54.8°, qL = 7.6977] and the maximum transmittance is log10(T) = 6.5361 for λ = 1.55 μm. It demonstrates that the laser resonance may be realized by adjusting the loss/gain coefficient and the incident angle for different incident light wavelengths. At the laser point, the phase jump of π occurs in both the reflection coefficient phase and the transmission coefficient phase, thus realizing the half-wave shift in the phase of the transmitted light wave and the reflected light wave.
With a fixed incident wavelength, the PTX-symmetric dielectric structure supports a resonant laser point, that is, a CPA−LP. This point corresponds to the maximum transmittance and reflectance of light waves simultaneously. The reflection coefficient phase and the transmission coefficient phase have a phase jump of π at the laser point as well. This phase jump effect could be utilized to realize the half-wave phase shift in the transmission light wave and the reflection light wave. Furthermore, for different incident wavelengths, the positions of the CPA−LP in the parameter space are different, viz., the corresponding value of the incident angle and the loss/gain coefficient at the CPA−LP changes.

4. Conclusions

In summary, multiple CPA−LPs are researched in the dielectric structures with PTX symmetry. Along the Z-axis, two kinds of dielectric sheets are arrayed to form one-dimensional dielectric composite structures. The thickness of the dielectric and optical loss/gain of the dielectric system are meticulously modulated to satisfy PTX symmetry. PTX symmetry is based on PT symmetry; meanwhile, the spatial scale reciprocity symmetry is added to reduce the optical gain factor to 1/G (G > 1) of the optical loss factor, while the optical gain coefficient is G times that of the optical loss coefficient. The parameter G refers to the scale transformation coefficient. Four CPA−LPs appear in the parameter space and the corresponding wavelengths for these CPA−LPs decrease with the increase in the incident angle. In particular, for a specific incident wavelength, the PTX-symmetric dielectric structure supports CPA−LPs as well, and the phases of reflection and transmission coefficients simultaneously undergo a π phase jump at the CPA−LPs, which can be utilized to achieve an accurate half-wave phase shift. Otherwise, the position of the CPA−LP varies with the light wavelength. This research can be applied to multi-wavelength absorbers/lasers and half-wave phase shifters.

Author Contributions

Conceptualization, Y.X. and D.Z.; methodology, Y.X., J.D. and F.L.; software, Y.X., H.H., X.C. and D.Z.; validation, F.L.; formal analysis, Y.X. and D.Z.; investigation, Y.X.; writing—original draft preparation, Y.X., X.C. and D.Z.; writing—review and editing, H.H., X.C. and D.Z.; visualization, X.C. and D.Z.; supervision, J.D. and D.Z.; project administration, D.Z. and F.L.; funding acquisition, H.H., D.Z. and J.D. All authors have read and agreed to the published version of the manuscript.

Funding

The National Natural Science Foundation of China (NSFC) (12274157), the Natural Science Foundation of Hubei Province (2022CFB179), the National Innovation and Entrepreneurship Training Plan for University Undergraduates of China (202210927001), the National Scientific Research Project Cultivation Program of Hubei University of Science and Technology (2021-23GP01).

Data Availability Statement

The data presented in this study are available in the article.

Conflicts of Interest

The authors declare no conflict of interest.

References

  1. Zhen, B.; Hsu, C.W.; Igarashi, Y.; Lu, L.; Kaminer, I.; Pick, A.; Chua, S.L.; Joannopoulos, J.D.; Soljačić, M. Spawning rings of exceptional points out of Dirac cones. Nature 2015, 525, 354–358. [Google Scholar] [CrossRef] [PubMed]
  2. Ma, M.; Wu, J.; Ning, Y.; Zhou, F.; Yang, M.; Zhang, X.; Zhang, J.; Shang, G.-Y. Measurement of gain characteristics of semiconductor lasers by amplified spontaneous emissions from dual facets. Opt. Express 2013, 21, 10335–10341. [Google Scholar] [CrossRef] [PubMed]
  3. Rüter, C.; Makris, K.; Ganainy, R.; Christodoulides, D.; Segev, M.; Kip, D. Observation of parity-time symmetry in optics. Nat. Phys. 2010, 6, 192–195. [Google Scholar] [CrossRef]
  4. Wu, M.; Zhong, D.; Zhao, D.; Fang, M.; Shen, J. Multiple CPA-laser points and anisotropic reflection resonances in PT-symmetric Rudin-Shapiro photonic multilayers. Mater. Today Commun. 2022, 32, 104129. [Google Scholar] [CrossRef]
  5. Feng, L.; Ganainy, R.; Ge, L. Non-Hermitian photonics based on parity-time symmetry. Nat. Photonics 2017, 11, 752–762. [Google Scholar] [CrossRef]
  6. Gerçekcioğlu, H.; Baykal, Y. Scintillation and BER in bidirectional laser communications between aerial vehicle and satellite using annular optical beams in strong turbulent atmosphere. J. Opt. Soc. Am. A 2021, 38, 1391–1399. [Google Scholar] [CrossRef] [PubMed]
  7. Krása, J.; Nassisi, V.; Klír, D. Target holder as a specific sensor for laser-induced plasma ablation. Phys. Lett. A 2021, 385, 126980. [Google Scholar] [CrossRef]
  8. Miri, M.; Alù, A. Exceptional points in optics and photonics. Science 2019, 363, 6422. [Google Scholar] [CrossRef]
  9. Longhi, S. Half-spectral unidirectional invisibility in non-Hermitian periodic optical structures. Opt. Lett. 2015, 40, 5694–5697. [Google Scholar] [CrossRef]
  10. Li, Y.; Argyropoulos, C. Exceptional points and spectral singularities in active epsilon-near-zero plasmonic waveguides. Phys. Rev. B 2019, 99, 075413. [Google Scholar] [CrossRef]
  11. Huang, Y.; Shen, Y.; Min, C.; Fan, S.; Veronis, G. Unidirectional reflectionless light propagation at exceptional points. Nanophotonics 2017, 6, 977–996. [Google Scholar] [CrossRef]
  12. Nixon, S.; Ge, L.; Yang, J. Stability analysis for solitons in PT-symmetric optical lattices. Phys. Rev. A 2012, 85, 023822. [Google Scholar] [CrossRef]
  13. Lu, X.; Si, L.; Wang, X.; Wu, Y. Exceptional points enhance sum sideband generation in mechanical PT-symmetric system. Opt. Express 2021, 29, 417156. [Google Scholar] [CrossRef] [PubMed]
  14. Kang, M.; Cui, H.; Li, T.; Chen, J.; Zhu, W.; Premaratne, M. Unidirectional phase singularity in ultrathin metamaterials at exceptional points. Phys. Rev. A 2014, 89, 065801. [Google Scholar] [CrossRef]
  15. Liu, Q.; Wang, B.; Ke, S.; Long, H.; Wang, K.; Lu, P. Exceptional points in Fano-resonant graphene metamaterials. Opt. Express 2017, 25, 7203–7212. [Google Scholar] [CrossRef]
  16. Park, S.; Lee, S.; Baek, S.; Ha, T.; Lee, S.; Min, B.; Zhang, S.; Lawrence, M.; Kim, T.-T. Observation of an exceptional point in a non-Hermitian metasurface. Nanophotonics 2020, 9, 1031–1039. [Google Scholar] [CrossRef]
  17. Wen, H.; Ren, L.; Shi, L.; Zhang, X. Parity-time symmetry in monolithically integrated graphene-assisted microresonators. Opt. Express 2022, 30, 2112–2121. [Google Scholar] [CrossRef]
  18. Lu, X.; Chen, N.; Zhang, B.; Yang, H.; Chen, Y.; Zhang, X.; Xu, J. Parity-time symmetry enabled band-pass filter featuring high bandwidth-tunable contrast ratio. Photonics 2022, 9, 380. [Google Scholar] [CrossRef]
  19. Zhang, J.; Li, L.; Wang, G.; Feng, X.; Guan, B.; Yao, J. Parity-time symmetry in wavelength space within a single spatial resonator. Nat. Commun. 2020, 11, 3217. [Google Scholar] [CrossRef]
  20. Liu, Q.; Li, S.; Wang, B.; Ke, S.; Qin, C.; Wang, K.; Liu, W. Efficient mode transfer on a compact silicon chip by encircling moving exceptional points. Phys. Rev. Lett. 2020, 124, 153903. [Google Scholar] [CrossRef]
  21. Wang, C.; Sweeney, W.; Stone, A.; Yang, L. Coherent perfect absorption at an exceptional point. Science 2021, 373, 1261–1265. [Google Scholar] [CrossRef] [PubMed]
  22. Gupta, S.; Martin, O.; Gupta, S.; Agarwal, G. Controllable coherent perfect absorption in a composite film. Opt. Express 2012, 20, 1330–1336. [Google Scholar] [CrossRef] [PubMed]
  23. Schmidt, C.; Sudzius, M.; Meister, S.; Frb, H.; Leo, K. Controllable coherent absorption of counterpropagating laser beams in organic microcavities. Appl. Phys. Lett. 2020, 117, 053301. [Google Scholar] [CrossRef]
  24. Zhang, J.; Guo, C.; Liu, K.; Zhu, Z.; Ye, W.; Yun, X.; Qin, S. Coherent perfect absorption and transparency in a nanostructured graphene film. Opt. Express 2014, 22, 12524–12532. [Google Scholar] [CrossRef]
  25. Olivier, C.; Maddi, A.; Poignand, G.; Penelet, G. Asymmetric transmission and coherent perfect absorption in a periodic array of thermoacoustic cells. J. Appl. Phys. 2022, 131, 244701. [Google Scholar] [CrossRef]
  26. Song, A.; Shi, Y.; Lin, Q.; Fan, S. Direction-dependent parity-time phase transition and nonreciprocal amplification with dynamic gain-loss modulation. Phys. Rev. A 2019, 99, 013824. [Google Scholar]
  27. Rosanov, N.N. Antilaser: Resonance absorption mode or coherent perfect absorption? Uspekhi Fiz. Nauk. 2017, 187, 879–882. [Google Scholar] [CrossRef]
  28. Elganainy, R.; Konstantinos, G.; Mercedeh, K.; Ziad, H.; Rotter, S.; Demetrios, N. Non-Hermitian physics and PT symmetry. Nat. Phys. 2018, 14, 11–19. [Google Scholar] [CrossRef]
  29. Kedyk, I.; Mathey, P.; Gadret, G.; Bidault, O.; Vysochanskii, Y. Enhanced photorefractive properties of Bi-doped Sn2P2S6. J. Opt. Soc. Am. B 2008, 25, 180–186. [Google Scholar] [CrossRef]
  30. Chi, M.; Huignard, J.P.; Petersen, P.M. Nonlinear gain amplification due to two-wave mixing in a broad-area semiconductor amplifier with moving gratings. Opt. Express 2008, 16, 5565–5571. [Google Scholar]
  31. Wang, D.C.; Chen, J.R.; Li, Y.L.; Song, S.C.; Guo, W.P.; Lu, M. Enhancing optical gains in Si nanocrystals via hydrogenation and cerium ion doping. J. Appl. Phys. 2014, 116, 043512. [Google Scholar] [CrossRef]
  32. Zhao, D.; Ke, S.; Liu, Q.; Wang, B.; Lu, P. Giant Goos-Hänchen shifts in non-Hermitian dielectric multilayers incorporated with graphene. Opt. Express 2018, 26, 2817–2828. [Google Scholar] [CrossRef] [PubMed]
  33. Li, J.; Zhu, X.; Shen, C.; Peng, X.; Cummer, S. Transfer matrix method for the analysis of space-time-modulated media and systems. Phys. Rev. B 2019, 100, 144311. [Google Scholar] [CrossRef]
Figure 1. Schematic of dielectrics structure with PTX symmetry.
Figure 1. Schematic of dielectrics structure with PTX symmetry.
Crystals 13 01608 g001
Figure 2. (a,b) Transmittivity and reflectivity in parameter space formed by the loss/gain factor and incident wavelength, respectively. (c,d) Transmission and reflection spectra of light waves for q = 6.8168, respectively. The light wave is vertically incident. The red asterisk (☆) denotes the CPA-LP.
Figure 2. (a,b) Transmittivity and reflectivity in parameter space formed by the loss/gain factor and incident wavelength, respectively. (c,d) Transmission and reflection spectra of light waves for q = 6.8168, respectively. The light wave is vertically incident. The red asterisk (☆) denotes the CPA-LP.
Crystals 13 01608 g002
Figure 3. (ac) Transmittivity in the parameter space constituted by loss/gain factor and incident wavelength for θ = 10°, 30° and 50°, respectively. (d) CPA−LP4 varying with incident wavelength in parameter space.
Figure 3. (ac) Transmittivity in the parameter space constituted by loss/gain factor and incident wavelength for θ = 10°, 30° and 50°, respectively. (d) CPA−LP4 varying with incident wavelength in parameter space.
Crystals 13 01608 g003
Figure 4. (a,c) Transmittance and reflectance in parameters space formed by loss/gain factor and incident angle. (b,d) Transmission spectrum and reflection spectrum for q = 7.3373. Incidence wavelength is λ = 1.31 μm for (ad).
Figure 4. (a,c) Transmittance and reflectance in parameters space formed by loss/gain factor and incident angle. (b,d) Transmission spectrum and reflection spectrum for q = 7.3373. Incidence wavelength is λ = 1.31 μm for (ad).
Crystals 13 01608 g004
Figure 5. (a,c) Transmission and reflection coefficient phase versus loss/gain factor and incident angle. (b,d) Transmission and reflection coefficient phases versus incidence angle for loss/gain factor q = 7.3, 7.3417 and 7.4, respectively.
Figure 5. (a,c) Transmission and reflection coefficient phase versus loss/gain factor and incident angle. (b,d) Transmission and reflection coefficient phases versus incidence angle for loss/gain factor q = 7.3, 7.3417 and 7.4, respectively.
Crystals 13 01608 g005
Figure 6. (a,b) Transmittance of light wave in parameter space for λ = 0.85 μm and 1.55 μm, respectively. Parameter space is constituted by loss/gain factor and incident angle.
Figure 6. (a,b) Transmittance of light wave in parameter space for λ = 0.85 μm and 1.55 μm, respectively. Parameter space is constituted by loss/gain factor and incident angle.
Crystals 13 01608 g006
Disclaimer/Publisher’s Note: The statements, opinions and data contained in all publications are solely those of the individual author(s) and contributor(s) and not of MDPI and/or the editor(s). MDPI and/or the editor(s) disclaim responsibility for any injury to people or property resulting from any ideas, methods, instructions or products referred to in the content.

Share and Cite

MDPI and ACS Style

Xiao, Y.; Hu, H.; Chen, X.; Dong, J.; Zhao, D.; Liu, F. Multi-Wavelength Coherent-Perfect-Absorption−Laser Points and Half-Wave Phase Shift in Parity-Time-Reciprocal Scaling Symmetry Structure. Crystals 2023, 13, 1608. https://doi.org/10.3390/cryst13121608

AMA Style

Xiao Y, Hu H, Chen X, Dong J, Zhao D, Liu F. Multi-Wavelength Coherent-Perfect-Absorption−Laser Points and Half-Wave Phase Shift in Parity-Time-Reciprocal Scaling Symmetry Structure. Crystals. 2023; 13(12):1608. https://doi.org/10.3390/cryst13121608

Chicago/Turabian Style

Xiao, Yongjun, Haiyang Hu, Xiaoling Chen, Junjie Dong, Dong Zhao, and Fangmei Liu. 2023. "Multi-Wavelength Coherent-Perfect-Absorption−Laser Points and Half-Wave Phase Shift in Parity-Time-Reciprocal Scaling Symmetry Structure" Crystals 13, no. 12: 1608. https://doi.org/10.3390/cryst13121608

APA Style

Xiao, Y., Hu, H., Chen, X., Dong, J., Zhao, D., & Liu, F. (2023). Multi-Wavelength Coherent-Perfect-Absorption−Laser Points and Half-Wave Phase Shift in Parity-Time-Reciprocal Scaling Symmetry Structure. Crystals, 13(12), 1608. https://doi.org/10.3390/cryst13121608

Note that from the first issue of 2016, this journal uses article numbers instead of page numbers. See further details here.

Article Metrics

Back to TopTop