Raman- and Infrared-Active Phonons in Nonlinear Semiconductor AgGaGeS4
Abstract
1. Introduction
2. Experiment
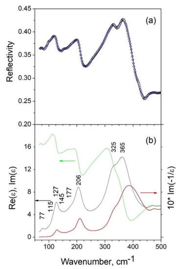
3. Results and Discussion
4. Conclusions
Author Contributions
Funding
Acknowledgments
Conflicts of Interest
References
- Chung, I.; Kanatzidis, M.G. Metal chalcogenides: A rich source of nonlinear optical materials. Chem. Mater. 2014, 26, 849–869. [Google Scholar] [CrossRef]
- Huang, W.; Zhao, B.; Zhu, S.; He, Z.; Chen, B.; Yu, Y. Vibrational modes of chalcopyrite CdGeAs2 crystal. Mater. Res. Bull. 2016, 81, 107–113. [Google Scholar] [CrossRef]
- He, Z.; Zhao, B.; Zhu, S.; Li, J.; Zhang, Y.; Du, W.; Huang, W.; Chen, B. Preparation and characterization of CdGeAs2 crystal by modified vertical Bridgman method. J. Cryst. Growth 2011, 314, 349–352. [Google Scholar] [CrossRef]
- Verozubova, G.A.; Okunev, A.O.; Gribenyukov, A.I.; Trofimiv, A.Y.; Trukhanov, E.M.; Kolesnikov, A.V. Growth and defect structure of ZnGeP2 crystals. J. Cryst. Growth 2010, 312, 1122–1126. [Google Scholar] [CrossRef]
- Xie, J.J.; Guo, J.; Zhang, L.M.; Li, D.J.; Yang, G.L. Optical properties of non-linear crystal grown from the melt GaSe-AgGaSe2. Opt. Commun. 2013, 287, 145–149. [Google Scholar] [CrossRef]
- Anandha Babu, G.; Subramaniyan Raja, R.; Karunagaran, N. Growth improvement of AgGaSe2 single crystal using the vertical Bridgman technique with steady ampoule rotation and its characterization. J. Cryst. Growth 2012, 338, 42–46. [Google Scholar] [CrossRef]
- Pobedimskaya, E.A.; Alimova, L.L.; Belov, V.N.; Badikov, V.V. Crystal structures of silver germanogallium sulfide and GeS2. Sov. Phys. Dokl. 1981, 26, 259. [Google Scholar]
- Andreev, Y.M.; Geiko, P.P.; Badikov, V.V.; Panyutin, V.L.; Shevyrdayeva, G.S.; Ivaschenko, M.V.; Karapuzikov, A.I.; Sherstov., I.V. Parametric frequency converters with LiInSe2, AgGaGeS4, HgGa2S4 and Hg0.65Cd0.35Ga2S4 crystals. Ninth Jt. Int. Symp. Atmos. Ocean Opt. Atmos. Phys. 2003, 5027 pt II, 120–127. [Google Scholar]
- Petrov, V.; Badikov, V.; Shevyrdyaeva, G.; Panyutin, V.; Chizhikov, V. Phase-matching properties and optical parametric amplification in single crystals of AgGaGeS4. Opt. Mater. 2004, 26, 217–222. [Google Scholar] [CrossRef]
- Yurchenko, O.M.; Olekseyuk, I.D.; Parasyuk, O.V.; Pankevich, V.Z. Single crystal growth and properties of AgGaGeS4. J. Cryst. Growth 2005, 275, E1983–E1985. [Google Scholar] [CrossRef]
- Miyata, K.; Petrov, V.; Kato, K. Phase-matching properties for AgGaGeS4. Appl. Opt. 2007, 46, 5728–5731. [Google Scholar] [CrossRef] [PubMed]
- Huang, W.; He, Z.; Zhu, S.; Zhao, B.; Chen, B.; Zhu, S. Polycrystal Synthesis, Crystal Growth, Structure, and Optical Properties of AgGaGenS2(n+1) (n = 2, 3, 4, and 5) Single Crystals for Mid-IR Laser Applications. Inorg. Chem. 2019, 58, 5865–5874. [Google Scholar] [CrossRef] [PubMed]
- Rame, J.; Viana, B.; Clement, Q.; Melkonian, J.M.; Petit, J. Control of Melt Decomposition for the Growth of High Quality AgGaGe4 Single Crystals for Mid-IR Laser Applications. Cryst. Growth Des. 2014, 14, 5554–5560. [Google Scholar] [CrossRef]
- Andreev, Y.; Geiko, P.P.; Badikov, V.V.; Bhar, G.C. Nonlinear Optical Properties of Defect Tetrahedral Crystals HgGa2S4 and AgGaGeS4 and Mixed Chalcopyrite Crystal Cd0.4Hg0.6Ga2S4. Nonlinear Opt. 2002, 1, 19–27. [Google Scholar] [CrossRef]
- Vu, T.V.; Dat, V.D.; Lavrentyev, A.A.; Gabrelian, B.V.; Hieu, N.N.; Myronchuk, G.L.; Khyzhun, O.Y. Electronic and optical properties of thiogermanate AgGaGeS4: Theory and experiment. RSC Adv. 2023, 13, 881–887. [Google Scholar] [CrossRef]
- Myronchuk, G.L.; Lakshminarayana, G.; Kityk, I.V.; Fedorchuk, A.O.; Vlokh, R.O.; Kozer, V.R.; Parasyuk, O.V.; Piasecki, M. AgGaGeS4 crystal as promising optoelectronic material. Chalcogenide Lett. 2018, 15, 151–156. [Google Scholar]
- Khyzhun, O.Y.; Parasyuk, O.V.; Fedorchuk, A.O. Single crystal growth and electronic structure of thiogermanate AgGaGeS4, a novel nonlinear optical material. Adv. Alloy. Compd. 2014, 1, 15–29. [Google Scholar]
- Huang, W.; He, Z.; Zhao, B.; Zhu, S.; Chen, B.J. Crystal growth, structure, and optical properties of new quaternary chalcogenide nonlinear optical crystal AgGaGeS4. J. Alloy. Compd. 2019, 796, 138–145. [Google Scholar] [CrossRef]
- Huang, W.; He, Z.; Zhao, B.; Zhu, S.; Chen, B.; Wu, Y. Effect of thermal annealing treatment and defect analysis on AgGaGeS4 single crystals. Inorg. Chem. 2019, 58, 10846–10855. [Google Scholar] [CrossRef]
- Wu, J.; Huang, W.; Liu, H.G.; He, Z.; Chen, B.; Zhu, S.; Zhao, B.; Lei, Y.; Zhou, X. Investigation of the thermal properties and crystal growth of the nonlinear optical crystals AgGaS2 and AgGaGeS4. Cryst. Growth Des. 2020, 20, 3140–3153. [Google Scholar] [CrossRef]
- Clark, S.J.; Segall, M.D.; Pickard, C.J.; Hasnip, P.J.; Probert, M.J.; Refson, K.Z.; Payne, M.C. First principles methods using CASTEP. Z. Kristallogr. 2005, 220, 567. [Google Scholar] [CrossRef]
- Litvinchuk, A.P.; Dzhagan, V.M.; Yukhymchuk, V.O.; Valakh, M.Y.; Babichuk, I.S.; Parasyuk, O.V.; Piskach, L.V.; Gordan, O.D.; Zahn, D.R.T. Electronic structure, optical properties, and lattice dynamics of orthorhombic Cu2CdGeS4 and Cu2CdSiS4 semiconductors. Phys. Rev. B 2014, 90, 165201. [Google Scholar] [CrossRef]
- Litvinchuk, A.P. Optical properties and lattice dynamics of Cu2ZnGeSe4 quaternary semiconductor: A density-functional study. Phys. Status Solidi B 2016, 253, 323–328. [Google Scholar] [CrossRef]
- Valakh, M.Y.; Litvinchuk, A.P.; Dzhagan, V.M.; Yukhymchuk, V.O.; Havryliuk, Y.O.; Guc, M.; Bodnar, I.V.; Izquierdo-Roca, V.; Pérez-Rodríguez, A.; Zahn, D.R.T. Optical properties of quaternary kesterite-type Cu2Zn(Sn1-xGex)S4 crystalline alloys: Raman scattering, photoluminescence and first-principle calculations. RSC Adv. 2016, 6, 67756–67763. [Google Scholar] [CrossRef]
- Guc, M.; Litvinchuk, A.P.; Levcenko, S.; Valakh, M.Y.; Bodnar, I.V.; Dzhagan, V.M.; Izquierdo-Roca, V.; Arushanov, E.; Pérez-Rodríguez, A. Optical phonons in the kesterite Cu2ZnGeS4 semiconductor: Polarized Raman spectroscopy and first-principle calculations. RSC Adv. 2016, 6, 13278–13285. [Google Scholar] [CrossRef]
- Valakh, M.Y.; Dzhagan, V.M.; Mazur, N.V.; Havryliuk, Y.O.; Yukhymchuk, V.O.; Piskach, L.V.; Kogut, Y.M.; Zahn, D.R.T.; Litvinchuk, A.P. Raman and Infrared Phonon Spectra of Novel Nonlinear Optical Materials PbGa2GeS6 and PbGa2GeSe6: Experiment and Theory. Phys. Status Solidi B 2020, 257, 1900700. [Google Scholar] [CrossRef]
- Valakh, M.Y.; Litvinchuk, A.P.; Dzhagan, V.M.; Yukhymchuk, V.O.; Yaremko, A.M.; Romanyuk, Y.A.; Guc, M.; Bodnar, I.V.; Pérez-Rodríguez, A.; Zahn, D.R.T. Fermi resonance in phonon spectra of quaternary chalcogenides of the type Cu2ZnGeS4. J. Phys.: Cond. Matter 2016, 28, 065401. [Google Scholar] [CrossRef]
- Dzhagan, V.; Kapush, O.; Mazur, N.; Havryliuk, Y.; Danylenko, M.I.; Budzulyak, S.; Yukhymchuk, V.; Valakh, M.; Litvinchuk, A.; Zahn, D.R.T. Colloidal Cu-Zn-Sn-Te nanocrystals: Aqueous synthesis and Raman spectroscopy study. Nanomaterials 2021, 11, 2923. [Google Scholar] [CrossRef]
- Lockwood, D.J.; Montgomery, H. Raman spectrum of AgGaS2. J. Phys. C Solid State Phys. 1975, 8, 3241–3250. [Google Scholar] [CrossRef]
- Tyuterev, V.G.; Skachkov, S.I. On the lattice dynamics of AgGaS2. Il Nuovo Cim. D 1992, 14, 1091–1095. [Google Scholar] [CrossRef]
- Carlone, C.; Olego, D.; Jayaraman, A.; Cardona, M. Pressure dependence of the Raman modes and pressure-induced phase changes in CuGaS2 and AgGaS2. Phys. Rev. B 1980, 22, 3877–3885. [Google Scholar] [CrossRef]
- Bletskan, D.I.; Voroshilov, Y.V.; Durdinets, L.M.; Migalko, P.P.; Stefanovich, V.A.; Kabatsii, V.N. Crystal structure and specific features of formation of vibrational spectra of Pb2GeS4. Crystallogr. Rep. 2003, 48, 573–575. [Google Scholar] [CrossRef]
- Alekperov, O.; Jahangirli, Z.; Paucar, R. First-principles lattice dynamics and Raman scattering in ionic conductor β-Ag2S. Phys. Status Solidi B 2016, 253, 2049–2055. [Google Scholar] [CrossRef]
- Ipatova, I.P.; Maradudin, A.A.; Wallis, R.F. Temperature dependence of the width of the fundamental lattice-vibration absorption peak in ionic crystals. II. Approximate numerical results. Phys. Rev. 1967, 155, 882–895. [Google Scholar]
- Theiss, W. Hard- and Software. Available online: htpps://wtheiss.com (accessed on 24 June 2022).





| AgGaGeS4 | AgGeGaS4 | AgGaS2 | Pb2GeS4 | Ag2S | GeS2 | ||
|---|---|---|---|---|---|---|---|
| This Work | [18] | [29,30,31,32,33] | [28,32] | [33] | [32,33] | ||
| A1(LO), Raman | A2, Raman | IR (TO/LO) | |||||
| 25 | 23 | ||||||
| 29 | 27 | ||||||
| 36 | 33 | ||||||
| 43 | 42 | ||||||
| 44 | 46 | 44 | |||||
| 57 | |||||||
| 61 | 62 | ||||||
| 65 | 65 | ||||||
| 71 | 71 | ||||||
| 77/79 | 81 | ||||||
| 84 | |||||||
| 84 | 85 | ||||||
| 95 | |||||||
| 101 | 106 | ||||||
| 109 | 115/116 | 109 | 110 | ||||
| 126 | 127/130 | 126 | 125 | 130–133 | 127 | ||
| 140 | 145/146 | 146 | 148 | ||||
| 150 | |||||||
| 165 | 159 | ||||||
| 177/180 | 190 | 178,185 | |||||
| 206/211 | 204 | ||||||
| 212 | |||||||
| 224 | 225 | ||||||
| 237 | |||||||
| 248 | 243 | ||||||
| 253 | 254 | ||||||
| 275, 298 | |||||||
| 322 | 325/336 | 323 | 321 | ||||
| 338 | 334 | 335 | |||||
| 355 | 355 | ||||||
| 359 | 359 | 364 | 360, 363 | ||||
| 368 | 368 | 366 | |||||
| 365/385 | 385 | 375 | 374 | ||||
Disclaimer/Publisher’s Note: The statements, opinions and data contained in all publications are solely those of the individual author(s) and contributor(s) and not of MDPI and/or the editor(s). MDPI and/or the editor(s) disclaim responsibility for any injury to people or property resulting from any ideas, methods, instructions or products referred to in the content. |
© 2023 by the authors. Licensee MDPI, Basel, Switzerland. This article is an open access article distributed under the terms and conditions of the Creative Commons Attribution (CC BY) license (https://creativecommons.org/licenses/by/4.0/).
Share and Cite
Valakh, M.; Litvinchuk, A.P.; Havryliuk, Y.; Yukhymchuk, V.; Dzhagan, V.; Solonenko, D.; Kulinich, S.A.; Piskach, L.; Kogut, Y.; He, L.; et al. Raman- and Infrared-Active Phonons in Nonlinear Semiconductor AgGaGeS4. Crystals 2023, 13, 148. https://doi.org/10.3390/cryst13010148
Valakh M, Litvinchuk AP, Havryliuk Y, Yukhymchuk V, Dzhagan V, Solonenko D, Kulinich SA, Piskach L, Kogut Y, He L, et al. Raman- and Infrared-Active Phonons in Nonlinear Semiconductor AgGaGeS4. Crystals. 2023; 13(1):148. https://doi.org/10.3390/cryst13010148
Chicago/Turabian StyleValakh, Mykhailo, Alexander P. Litvinchuk, Yevhenii Havryliuk, Volodymyr Yukhymchuk, Volodymyr Dzhagan, Dmytro Solonenko, Sergei A. Kulinich, Lyudmyla Piskach, Yuriy Kogut, Lu He, and et al. 2023. "Raman- and Infrared-Active Phonons in Nonlinear Semiconductor AgGaGeS4" Crystals 13, no. 1: 148. https://doi.org/10.3390/cryst13010148
APA StyleValakh, M., Litvinchuk, A. P., Havryliuk, Y., Yukhymchuk, V., Dzhagan, V., Solonenko, D., Kulinich, S. A., Piskach, L., Kogut, Y., He, L., & Zahn, D. R. T. (2023). Raman- and Infrared-Active Phonons in Nonlinear Semiconductor AgGaGeS4. Crystals, 13(1), 148. https://doi.org/10.3390/cryst13010148

