Ambient Pressure Synthesis of Re-Substituted MnGe and Its Magnetic Properties
Abstract
1. Introduction
2. Materials and Methods
2.1. Synthesis
2.2. Characterization
2.3. Crystal Structutre Investigation
2.4. Magnetic Properties
3. Results and Discussion
3.1. Synthesis, Phase Equilibria, and Crystal Structure
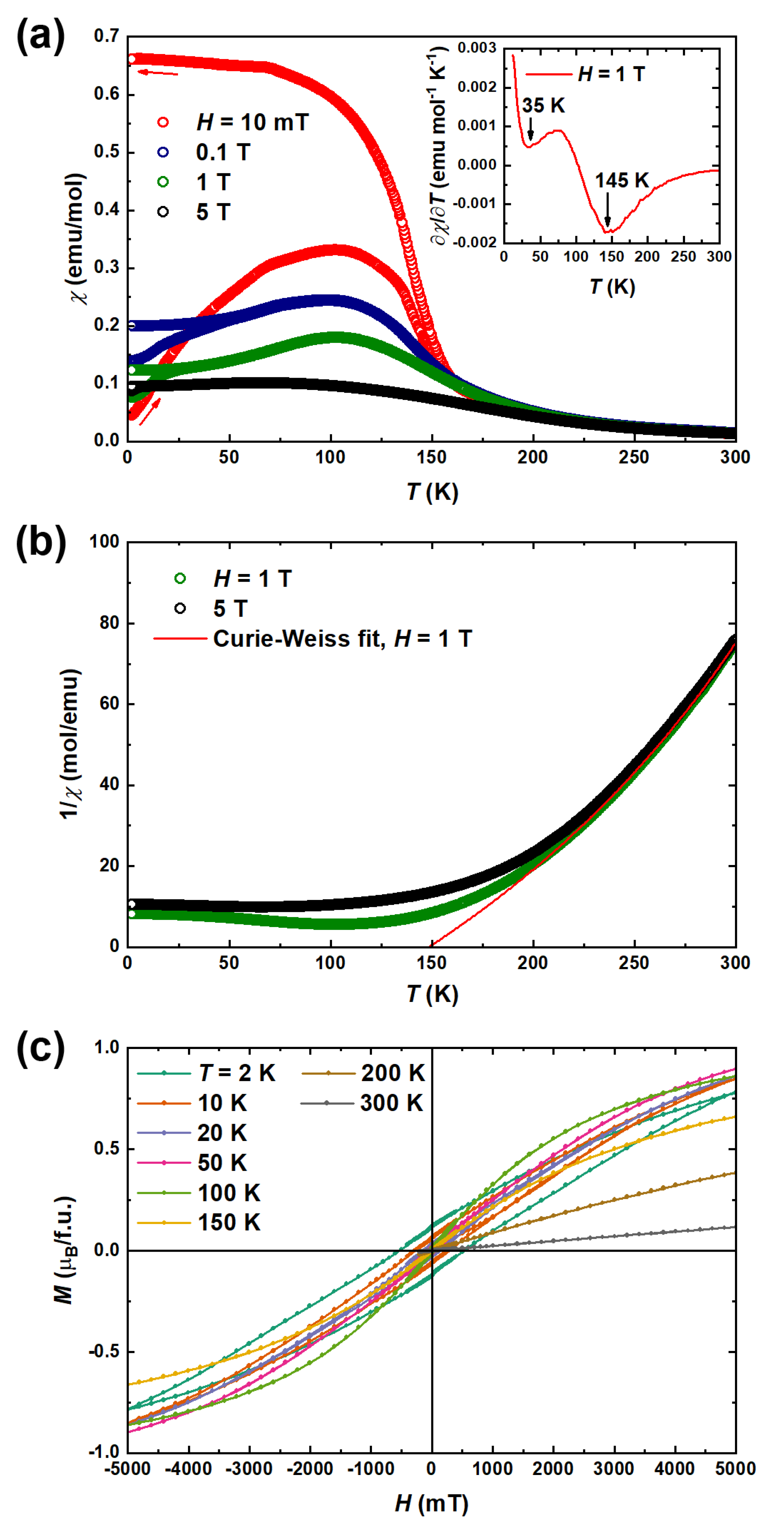
3.2. Magnetic Properties Investigation
4. Conclusions
Author Contributions
Funding
Data Availability Statement
Conflicts of Interest
References
- Tokura, Y.; Kanazawa, N. Magnetic Skyrmion Materials. Chem. Rev. 2021, 121, 2857–2897. [Google Scholar] [CrossRef] [PubMed]
- Altynbaev, E.V.; Chubova, N.M.; Grigoriev, S.V. Exotic Spin Structures in Transition-Metal Monosilicides and Monogermanides. Crystallogr. Rep. 2022, 67, 118–136. [Google Scholar] [CrossRef]
- Klotz, J.; Götze, K.; Förster, T.; Bruin, J.A.N.; Wosnitza, J.; Weber, K.; Schmidt, M.; Schnelle, W.; Geibel, C.; Rößler, U.K.; et al. Electronic band structure and proximity to magnetic ordering in the chiral cubic compound CrGe. Phys. Rev. B 2019, 99, 085130. [Google Scholar] [CrossRef]
- Nakajima, T.; Oike, H.; Kikkawa, A.; Gilbert, E.P.; Booth, N.; Kakurai, K.; Taguchi, Y.; Tokura, Y.; Kagawa, F.; Arima, T. Skyrmion lattice structural transition in MnSi. Sci. Adv. 2017, 3, e1602562. [Google Scholar] [CrossRef] [PubMed]
- Neubauer, A.; Pfleiderer, C.; Binz, B.; Rosch, A.; Ritz, R.; Niklowitz, P.G.; Böni, P. opological Hall Effect in the A Phase of MnSi. Phys. Rev. Lett. 2009, 102, 186602. [Google Scholar] [CrossRef]
- Schnatmann, L.; Geishendorf, K.; Lammel, M.; Damm, C.; Novikov, S.; Thomas, A.; Burkov, A.; Reith, H.; Nielsch, K.; Schierning, G. Signatures of a Charge Density Wave Phase and the Chiral Anomaly in the Fermionic Material Cobalt Monosilicide CoSi. Adv. Electron. Mater. 2020, 6, 1900857. [Google Scholar] [CrossRef]
- Yuan, Q.-Q.; Zhou, L.; Rao, Z.-C.; Tian, S.; Zhao, W.-M.; Xue, C.-L.; Liu, Y.; Zhang, T.; Tang, C.Y.; Shi, Z.-Q.; et al. Quasiparticle interference evidence of the topological Fermi arc states in chiral fermionic semimetal CoSi. Sci. Adv. 2019, 5, eaaw9485. [Google Scholar] [CrossRef]
- Manyala, N.; Sidis, Y.; DiTusa, J.; Aeppli, G.; Young, D.P.; Fisk, Z. Large anomalous Hall effect in a silicon-based magnetic semiconductor. Nat. Mater. 2004, 3, 255–262. [Google Scholar] [CrossRef]
- Ou-Yang, T.Y.; Zhuang, Y.C.; Ramachandran, B.; Chen, W.T.; Shu, G.J.; Hu, C.D.; Chou, F.C.; Kuo, Y.K. Effect of Co substitution on thermoelectric properties of FeSi. J. Alloys Compd. 2017, 702, 92–98. [Google Scholar] [CrossRef]
- Manyala, N.; Sidis, Y.; DiTusa, J.F.; Aeppli, G.; Young, D.P.; Fisk, Z. addendum: Magnetoresistance from quantum interference effects in ferromagnets. Nature 2000, 408, 616. [Google Scholar] [CrossRef][Green Version]
- Kanazawa, N.; Onose, Y.; Arima, T.; Okuyama, D.; Ohoyama, K.; Wakimoto, S.; Kakurai, K.; Ishiwata, S.; Tokura, Y. Large Topological Hall Effect in a Short-Period Helimagnet MnGe. Phys. Rev. Lett. 2011, 106, 156603. [Google Scholar] [CrossRef] [PubMed]
- Mühlbauer, S.; Binz, B.; Jonietz, F.; Pfleiderer, C.; Rosch, A.; Neubauer, A.; Georgii, R.; Böni, P. Skyrmion Lattice in a Chiral Magnet. Science 2009, 323, 915–919. [Google Scholar] [CrossRef] [PubMed]
- Martin, N.; Deutsch, M.; Hansen, T.C.; Fernandez-Diaz, M.T.; Fomicheva, L.N.; Tsvyashchenko, A.V.; Mirebeau, I. Suppression of the bulk high spin-low spin transition by doping the chiral magnet MnGe. Phys. Rev. B 2019, 100, 060401. [Google Scholar] [CrossRef]
- Fujishiro, Y.; Kanazawa, N.; Nakajima, T.; Yu, X.Z.; Ohishi, K.; Kawamura, K.; Kakurai, K. Topological transitions among skyrmion- and hedgehog-lattice states in cubic chiral magnets. Nat. Commun. 2019, 10, 1059. [Google Scholar] [CrossRef] [PubMed]
- Yu, X.Z.; Onose, Y.; Kanazawa, N.; Park, J.H.; Han, J.H.; Matsui, Y.; Nagaosa, N.; Tokura, Y. Real-Space Observation of a Two- Dimensional Skyrmion Crystal. Nature 2010, 465, 901–904. [Google Scholar] [CrossRef] [PubMed]
- Martin, N.; Deutsch, M.; Chaboussant, G.; Damay, F.; Bonville, P.; Fomicheva, L.N.; Tsvyashchenko, A.V.; Rössler, U.K.; Mirebeau, I. Long-period helical structures and twist-grain boundary phases induced by chemical substitution in the Mn1−x(Co,Rh)xGe chiral magnet. Phys. Rev. B 2017, 96, 020413. [Google Scholar] [CrossRef]
- Tanigaki, T.; Shibata, K.; Kanazawa, N.; Yu, X.; Onose, Y. Real-Space Observation of Short-Period Cubic Lattice of Skyrmions in MnGe. Nano Lett. 2015, 15, 5438–5442. [Google Scholar] [CrossRef]
- Iashina, E.G.; Altynbaev, E.V.; Fomicheva, L.N.; Tsvyashchenko, A.V.; Grigorieva, S.V. On the Nature of Defects in Mn1–xFexGe Compounds Synthesized under High Pressure. J. Synch. Investig. 2020, 14, 429–433. [Google Scholar] [CrossRef]
- Martin, N.; Deutsch, M.; Itié, J.-P.; Rueff, J.-P.; Rössler, U.K.; Koepernik, K.; Fomicheva, L.N.; Tsvyashchenko, A.V.; Mirebeau, I. Magnetovolume effect, macroscopic hysteresis, and moment collapse in the paramagnetic state of cubic MnGe under pressure. Phys. Rev. B 2016, 93, 214404. [Google Scholar] [CrossRef]
- Sidorov, V.A.; Petrova, A.E.; Chtchelkatchev, N.M.; Magnitskaya, M.V.; Fomicheva, L.N.; Salamatin, D.A.; Nikolaev, A.V.; Zibrov, I.P.; Wilhelm, F.; Rogalev, A.; et al. Magnetic, electronic, and transport properties of the high-pressure-synthesized chiral magnets Mn1−xRhxGe. Phys. Rev. B 2018, 98, 125121. [Google Scholar] [CrossRef]
- Martin, N.; Mirebeau, I.; Franz, C.; Chaboussant, G.; Fomicheva, L.N.; Tsvyashchenko, A.V. Partial ordering and phase elasticity in the MnGe short-period helimagnet. Phys. Rev. B 2019, 99, 100402(R). [Google Scholar] [CrossRef]
- Grigoriev, S.V.; Potapova, N.M.; Siegfried, S.A.; Dyadkin, V.A.; Moskvin, E.V.; Dmitriev, V.; Menzel, D.; Dewhurst, C.D.; Chernyshov, D.; Sadykov, R.A.; et al. Chiral Properties of Structure and Magnetism in Mn1−xFexGe Compounds: When the Left and the Right are Fighting, Who Wins? Phys. Rev. Lett. 2013, 110, 207201. [Google Scholar] [CrossRef] [PubMed]
- Altynbaev, E.; Martin, N.; Heinemann, A.; Fomicheva, L.; Tsvyashchenko, A.; Mirebeau, I.; Grigoriev, S. Onset of a skyrmion phase by chemical substitution in MnGe-based chiral magnets. Phys. Rev. B 2020, 101, 100404. [Google Scholar] [CrossRef]
- Kamaeva, L.V.; Chtchelkatchev, N.M.; Suslov, A.A.; Magnitskaya, M.V.; Tsvyashchenko, A.V. Structural and thermal stability of B20-type high-pressure phases FeGe and MnGe. J. Alloys Compd. 2021, 888, 161565. [Google Scholar] [CrossRef]
- Skanchenko, D.O.; Altynbaev, E.V.; Martin, N.; Salamatin, D.A.; Sadykov, R.A.; Tsvyaschenko, A.V.; Grigoriev, S.V. Magnetic structure of Mn0.9Fe0.1Ge compound under quasi-hydrostatic pressure. J. Alloys Compd. 2021, 862, 158606. [Google Scholar] [CrossRef]
- Repicky, J.; Wu, P.-K.; Liu, T.; Corbett, J.P.; Zhu, T.; Cheng, S.; Ahmed, A.S.; Takeuchi, N.; Guerrero-Sanchez, J.; Randeria, M.; et al. Atomic-scale visualization of topological spin textures in the chiral magnet MnGe. Science 2021, 374, 1484–1487. [Google Scholar] [CrossRef] [PubMed]
- Tsvyashchenko, A.V.; Sidorov, V.A.; Petrova, A.E.; Fomicheva, L.N.; Zibrov, I.P.; Dmitrienko, V.E. Superconductivity and magnetism in noncentrosymmetric RhGe. J. Alloys Compd. 2016, 686, 431–437. [Google Scholar] [CrossRef]
- Salamatin, D.A.; Tsvyashchenko, A.V.; Salamatin, A.V.; Velichkov, A.; Magnitskaya, M.V.; Chtchelkatchev, N.M.; Sidorov, V.A.; Fomicheva, L.N.; Mikhin, M.V.; Kozin, M.G.; et al. Hyperfine field studies of the high-pressure phase of noncentrosymmetric superconductor RhGe (B20) doped with hafnium. J. Alloys Compd. 2021, 850, 156601. [Google Scholar] [CrossRef]
- Yannello, V.J.; Fredrickson, D.C. Generality of the 18-n Rule: Intermetallic Structural Chemistry Explained through Isolobal Analogies to Transition Metal Complexes. Inorg. Chem. 2015, 54, 11385–11398. [Google Scholar] [CrossRef]
- Likhanov, M.S.; Shevelkov, A.V. Intermetallic compounds with non-metallic properties. Russ. Chem. Bull. 2020, 69, 2231–2250. [Google Scholar] [CrossRef]
- Petří ek, V.; Dušek, M.; Palatinus, L. Crystallographic Computing System JANA2006: General features. Z. Kristallogr.—Cryst. Mater. 2014, 229, 345–352. [Google Scholar] [CrossRef]
- Wernick, J.H.; Wertheim, G.K.; Sherwood, R.C. Magnetic behavior of the monosilicides of the 3d-transition elements. Mater. Res. Bull. 1972, 7, 1431–1441. [Google Scholar] [CrossRef]
- Ludgren, L.; Beckman, O.; Attia, V.; Bhattacheriee, S.P.; Richardson, M. Helical Spin Arrangement in Cubic FeGe. Phys. Scr. 1970, 1, 69–72. [Google Scholar] [CrossRef]
- DiTusa, J.F.; Zhang, S.B.; Yamaura, K.; Xiong, Y.; Prestigiacomo, J.C.; Fulfer, B.W.; Adams, P.W.; Brickson, M.I.; Browne, D.A.; Capan, C.; et al. Magnetic, thermodynamic, and electrical transport properties of the noncentrosymmetric $B20$ germanides MnGe and CoGe. Phys. Rev. B 2014, 90, 144404. [Google Scholar] [CrossRef]
- Tsvyashchenko, A.V.; Sidorov, V.A.; Fomicheva, L.N.; Krasnorussky, V.N.; Sadykov, R.A.; Thompson, J.D.; Gofryk, K.; Ronning, F.; Ivanov, V.Y. High Pressure Synthesis and Magnetic Properties of Cubic B20 MnGe and CoGe. Solid State Phenom. 2012, 190, 225–228. [Google Scholar] [CrossRef]
- Altynbaev, E.V.; Sukhanov, A.S.; Siegfried, S.-A.; Dyadkin, V.A.; Moskvin, E.V.; Menzel, D.; Heinemann, A.; Schreyer, A.; Fomicheva, L.N.; Tsvyashenko, A.V.; et al. Doping-induced temperature evolution of a helicoidal spin structure in the MnGe compound. J. Synch. Investig. 2016, 10, 777–782. [Google Scholar] [CrossRef]





| Sample | Mn1−xRexGe | |
|---|---|---|
| Nominal composition | Mn0.83Re0.17Ge | Mn0.80Re0.20Ge |
| Refined composition | Mn0.831(6)Re0.169(6)Ge | Mn0.823(7)Re0.177(7)Ge |
| Formula weight, g·mol−1 | 149.73 | 150.79 |
| Structure type | c-FeSi | |
| Space group | P213 | |
| a, Å | 4.82561(7) | 4.82734(4) |
| V, Å3 | 112.372(5) | 112.493(3) |
| Z | 4 | |
| dcalc, g·cm−3 | 8.851 | 8.903 |
| Temperature, K | 293 | |
| Radiation, λ, Å | CuKα, 1.540593, 1.544427 | |
| 2θ range, ° | 20.0–99.999 | 8.0–90.001 |
| No. of refined parameters | 23 | 39 |
| R1 | 0.0290 | 0.0273 |
| wR2 | 0.0308 | 0.0417 |
| GoF | 1.27 | 1.26 |
| Rprof | 0.0309 | 0.0261 |
| wRprof | 0.0400 | 0.0337 |
| Impurity | Ge | “Re4Ge7” |
| Atom | Wyckoff Site | x/a | y/b | z/c | Uiso, Å2 | Occupancy |
|---|---|---|---|---|---|---|
| Mn0.831(6)Re0.169(6)Ge | ||||||
| M1 | 4a | 0.8655(3) | 0.8655(3) | 0.8655(3) | 0.0051(19) | 0.831(6) Mn + 0.169(6) Re |
| Ge1 | 4a | 0.1575(3) | 0.1575(3) | 0.1575(3) | 0.0098(17) | 1 |
| Mn0.823(7)Re0.177(7)Ge | ||||||
| M1 | 4a | 0.8654(2) | 0.8654(2) | 0.8654(2) | 0.0056(13) | 0.823(7) Mn + 0.177(7) Re |
| Ge1 | 4a | 0.1589(3) | 0.1589(3) | 0.1589(3) | 0.0080(11) | 1 |
| Atom | Atom | Distance, Å | |
|---|---|---|---|
| Mn0.831(6)Re0.169(6)Ge | Mn0.823(7)Re0.177(7)Ge | ||
| M1 | M1 (×6) | 2.958(2) | 2.959(1) |
| M1 | Ge1 (×1) | 2.441(3) | 2.454(2) |
| M1 | Ge1 (×3) | 2.514(3) | 2.506(2) |
| M1 | Ge1 (×3) | 2.718(3) | 2.723(2) |
| Ge1 | Ge1 (×6) | 2.988(2) | 2.992(2) |
Publisher’s Note: MDPI stays neutral with regard to jurisdictional claims in published maps and institutional affiliations. |
© 2022 by the authors. Licensee MDPI, Basel, Switzerland. This article is an open access article distributed under the terms and conditions of the Creative Commons Attribution (CC BY) license (https://creativecommons.org/licenses/by/4.0/).
Share and Cite
Zhupanov, V.O.; Khalaniya, R.A.; Bogach, A.V.; Verchenko, V.Y.; Likhanov, M.S.; Shevelkov, A.V. Ambient Pressure Synthesis of Re-Substituted MnGe and Its Magnetic Properties. Crystals 2022, 12, 1256. https://doi.org/10.3390/cryst12091256
Zhupanov VO, Khalaniya RA, Bogach AV, Verchenko VY, Likhanov MS, Shevelkov AV. Ambient Pressure Synthesis of Re-Substituted MnGe and Its Magnetic Properties. Crystals. 2022; 12(9):1256. https://doi.org/10.3390/cryst12091256
Chicago/Turabian StyleZhupanov, Vladislav O., Roman A. Khalaniya, Alexey V. Bogach, Valeriy Yu. Verchenko, Maxim S. Likhanov, and Andrei V. Shevelkov. 2022. "Ambient Pressure Synthesis of Re-Substituted MnGe and Its Magnetic Properties" Crystals 12, no. 9: 1256. https://doi.org/10.3390/cryst12091256
APA StyleZhupanov, V. O., Khalaniya, R. A., Bogach, A. V., Verchenko, V. Y., Likhanov, M. S., & Shevelkov, A. V. (2022). Ambient Pressure Synthesis of Re-Substituted MnGe and Its Magnetic Properties. Crystals, 12(9), 1256. https://doi.org/10.3390/cryst12091256

