Study of Initial β-Zr Formation in β-Quenched N36 Zirconium Alloy Using Dynamic and Metallographic Methods
Abstract
1. Introduction
2. Materials and Methods
3. Results and Discussion
3.1. Dynamic Technique
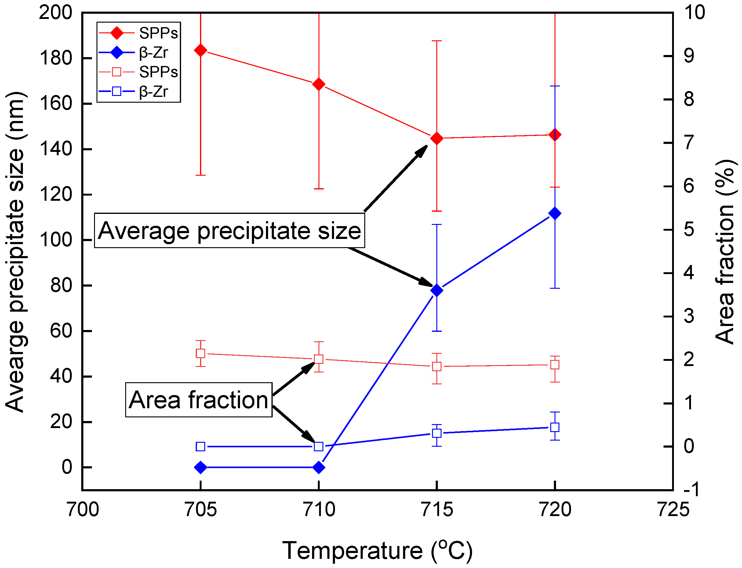
3.2. Metallographic Techniques
4. Conclusions
- In the current study, it has been verified that the phase transition temperature in β-quenched N36 zirconium alloy is 710–715 °C.
- A peak separation of two endothermic peaks in the DSC curve enabled a successful study and explanation of SPPs dissolution and α/β phase transformation.
- Metallographic techniques represented by FEG-SEM and TEM successfully and precisely determined Tα→α+β in β-quenched N36 zirconium alloy.
- Compared to other documented papers concerning phase transition temperature in N36 zirconium alloy, the β-quenched starting material was responsible for delayed β-Zr formation in both methods.
Author Contributions
Funding
Data Availability Statement
Acknowledgments
Conflicts of Interest
References
- Liu, W.; Li, Q.; Zhou, B.; Yan, Q.; Yao, M. Effect of heat treatment on the microstructure and corrosion resistance of a Zr–Sn–Nb–Fe–Cr alloy. J. Nucl. Mater. 2005, 341, 97–102. [Google Scholar] [CrossRef]
- Meiyi, Y.; Bangxin, Z.; Qiang, L.; Wenqing, L.; Yuliang, C. A single-specimen-method for investigating effect of alloying composition on corrosion resistance of zirconium alloys. RARE Met. Mater. Eng. 2006, 35, 1651–1655. [Google Scholar]
- Chen, L.; Li, J.; Zhang, Y.; Lu, W.; Zhang, L.; Wang, L.; Zhang, D. Effect of low-temperature pre-deformation on precipitation behavior and microstructure of a Zr-Sn-Nb-Fe-Cu-O alloy during fabrication. J. Nucl. Sci. Technol. 2016, 53, 496–507. [Google Scholar] [CrossRef]
- He, G.; Liu, J.; Li, K.; Hu, J.; Mir, A.H.; Lozano-Perez, S.; Grovenor, C. Investigating the stability of second phase particles in Zr-Nb alloys under irradiation. J. Nucl. Mater. 2019, 526, 151738. [Google Scholar] [CrossRef]
- Kim, J.H.; Lee, M.H.; Choi, B.K.; Jeong, Y.H. Effect of the hydrogen contents on the circumferential mechanical properties of zirconium alloy claddings. J. Alloy. Compd. 2007, 431, 155–161. [Google Scholar] [CrossRef]
- Fan, Q.; Yuan, B.; Xie, M.; Shi, M.; Zhou, J.; Yang, Z.; Zhao, W. Effects of hot rolling temperature and aging on the second phase particles of Zr-Sn-Nb-Fe zirconium alloy. Nucl. Mater. Energy 2019, 20, 100700. [Google Scholar] [CrossRef]
- Sun, C.; Yang, Z.; Wu, Z. Study on Corrosion Resistance of N36 Zirconium Alloy in LiOH Aqueous Solution. World J. Nucl. Sci. Technol. 2018, 8, 30–37. [Google Scholar] [CrossRef]
- Chen, L.; Song, X.; Pang, H.; Liu, L. Influence of second phase particles on corrosion resistance of N36 alloy in superheated steam. Prog. Nucl. Energy 2016, 93, 84–88. [Google Scholar] [CrossRef]
- Chai, L.; Luan, B.; Gao, S.; Chen, J.; Liu, Q. Study of precipitate evolution and recrystallization of β-quenched Zr–Sn–Nb–Fe–Cr–Cu alloy during aging. J. Nucl. Mater. 2012, 427, 274–281. [Google Scholar] [CrossRef]
- Liu, Y.Z.; Zhao, W.J.; Peng, Q.; Jiang, H.M.; Zu, X.T. Study of microstructure of Zr–Sn–Nb–Fe–Cr alloy in the temperature range of 750–820 C. Mater. Chem. Phys. 2008, 107, 534–540. [Google Scholar] [CrossRef]
- Dupin, N.; Ansara, I.; Servant, C.; Toffolon, C.; Lemaignan, C.; Brachet, J. A thermodynamic database for zirconium alloys. J. Nucl. Mater. 1999, 275, 287–295. [Google Scholar] [CrossRef]
- Qiu, R.; Luan, B.; Chai, L.; Zhang, X.; Liu, Q. Effects of heating rates and alloying elements (Sn, Cu and Cr) on the α → α + β phase transformation of Zr–Sn–Nb–Fe–(Cu, Cr) alloys. J. Nucl. Mater. 2014, 453, 269–274. [Google Scholar] [CrossRef]
- Corchia, M.; Righini, F. Kinetic aspects of the phase transformations in zircaloy-2. J. Nucl. Mater. 1981, 97, 137–148. [Google Scholar] [CrossRef]
- Qiu, R.; Luan, B.; Chai, L.; Zhang, X.; Liu, Q. Precise determination of the α→α+β phase transformation temperature of Zr-1.0Sn-0.3Nb-0.3Fe alloy. Sci. China Technol. Sci. 2012, 56, 60–65. [Google Scholar] [CrossRef]
- Canay, M.; Danon, C.A.; Arias, D. Phase transition temperature in the Zr-rich corner of Zr–Nb–Sn–Fe alloys. J. Nucl. Mater 2000, 280, 365–371. [Google Scholar] [CrossRef]
- Curtis, R.E.; Dressler, G. Effect of Thermomechanical Processing. In Zirconium in Nuclear Applications: A Symposium Co-sponsored by the American Society for Testing and Materials and the American Institute of Mining, Metallurgical, and Petroleum Engineers, 21–24 August 1973, Portland, OR, USA; American Society for Testing and Materials: West Conshohocken, PA, USA, 1974; p. 104. [Google Scholar]
- Baifeng, L.; Jing, S.; Tianlin, H.; Jun, Z.; Xiyan, Z.; Qing, L. Effect of Sn Content on Phase Transformation Temperature and Precipitation of Zr-Sn-Nb-Fe-Cr Zirconium Alloy. Rare Met. Mater. Eng. 2012, 41, 830–834. [Google Scholar]
- Zhao, W.; Liu, Y.; Jiang, H.; Peng, Q. Effect of heat treatment and Nb and H contents on the phase transformation of N18 and N36 zirconium alloys. J. Alloy. Compd. 2008, 462, 103–108. [Google Scholar] [CrossRef]
- Ma, H.Z.; Zhai, T.D.; Shi, K.X.; Zhang, J.; Sun, X.F.; Hou, X.Y. Determination of phase transformation temperatures of Zr-Sn and Zr-Nb zircaloys by metallographic method. Phys. Test. Chem. Anal. Part A (Phys. Test.) 2018, 54, 115–118. [Google Scholar]
- Massih, A.R.; Jernkvist, L.O. Solid state phase transformation kinetics in Zr-base alloys. Sci. Rep. 2021, 11, 1–16. [Google Scholar] [CrossRef]
- Motta, A.; Faldowski, J.; Howe, L.; Okamoto, P. In Situ Studies of Phase Transformations in Zirconium Alloys and Compounds Under Irradiation. ASTM Spec. Tech. Publ. 1996, 1295, 557. [Google Scholar] [CrossRef]
- Kobylyansky, G.P.; Novoselov, A.E.; Obukhov, A.V.; Ostrovsky, Z.E.; Shishov, V.N.; Peregud, M.M.; Markelov, V.A.; Barberis, P.; Dean, S.W. Radiation Damage of E635 Alloy Under High Dose Irradiation in the VVER-1000 and BOR-60 Reactors. J. ASTM Int. 2011, 8, 1–14. [Google Scholar] [CrossRef]
- Nikulina, A.; Markelov, V.; Peregud, M.; Voevodin, V.; Panchenko, V.; Kobylyansky, G. Irradiation-induced microstructural changes in Zr-1% Sn-1% Nb-0.4% Fe. J. Nucl. Mater. 1996, 238, 205–210. [Google Scholar] [CrossRef]
- Burgers, W. On the process of transition of the cubic-body-centered modification into the hexagonal-close-packed modification of zirconium. Physica 1934, 1, 561–586. [Google Scholar] [CrossRef]
- Aldeen, A.W.; Chen, Z.W.; Disher, I.A.; Zhu, Y.; Yan, K. Growth Kinetics of Second Phase Particles in N36 Zirconium Alloy: Zr-Sn-Nb-Fe. J. Mater. Res. Technol. 2022, 17, 2038–2046. [Google Scholar] [CrossRef]
- Mizuhata, M.; Sumihiro, Y.; Deki, S. Structure and the conductive behaviour of hydrate melt coexisting with porous solid materials—α-Al2O3powder/ZnCl2hydrate melt coexisting system. Phys. Chem. Chem. Phys. 2004, 6, 1944–1951. [Google Scholar] [CrossRef]
- Hong-Wang, Y.; Wei-Ping, T.; Xiang, Z.; Liang, Z.; Jian-Qiang, W. Observation of β-Relaxation in Sub- T g Isothermally Annealed Al-Based Metallic Glasses. Chin. Phys. Lett. 2008, 25, 3357–3359. [Google Scholar] [CrossRef]
- Riontino, G.; Massazza, M.; Lussana, D.; Mengucci, P.; Barucca, G.; Ferragut, R. A novel thermal treatment on a Mg–4.2Y–2.3Nd–0.6Zr (WE43) alloy. Mater. Sci. Eng. A 2008, 494, 445–448. [Google Scholar] [CrossRef]
- Arias, D.; Roberti, L. The solubility of tin in α and β zirconium below 1000 °C. J. Nucl. Mater. 1983, 118, 143–149. [Google Scholar] [CrossRef]
- Okamoto, H. Sn-Zr (Tin-Zirconium). J. Phase Equilibria Diffus. 2010, 31, 411–412. [Google Scholar] [CrossRef]
- Liu, J.; He, G.; Callow, A.; Li, K.; Moore, K.L.; Nordin, H.; Moody, M.; Lozano-Perez, S.; Grovenor, C.R.M. The role of β-Zr in a Zr-2.5 Nb alloy during aqueous corrosion: A multi-technique study. Acta. Mater. 2021, 215, 117042. [Google Scholar] [CrossRef]
- Harte, A.; Griffiths, M.; Preuss, M. The characterisation of second phases in the Zr-Nb and Zr-Nb-Sn-Fe alloys: A critical review. J. Nucl. Mater. 2018, 505, 227–239. [Google Scholar] [CrossRef]
- Woo, O.; Griffiths, M. The role of Fe on the solubility of Nb in α-Zr. J. Nucl. Mater. 2009, 384, 77–80. [Google Scholar] [CrossRef]
- Charquet, D.; Hahn, R.; Ortlieb, E.; Gros, J.-P.; Wadier, J.-F. Solubility Limits and Formation of Intermetallic Precipitates in ZrSnFeCr Alloys; ASTM International: West Conshohocken, PA, USA, 1989. [Google Scholar]
- Humphreys, F.J.; Hatherly, M. Recrystallization and Related Annealing Phenomena; Elsevier Science Ltd.: Oxford, UK, 2012. [Google Scholar]
- Rumball, W.; Coleman, C. Massive grain growth during aging of quenched Zr/1.25 wt% Cr/0.1 wt% Fe. J. Nucl. Mater. 1970, 36, 147–152. [Google Scholar] [CrossRef]
- Zhu, Y.T.; Lowe, T.C. Application of, and precautions for the use of, the Rule of additivity in phase transformation. Met. Mater. Trans. A 2000, 31, 675–682. [Google Scholar] [CrossRef]







| Element | Sn | Nb | Fe | O | Zr |
|---|---|---|---|---|---|
| content | 0.85 | 1 | 0.3 | 0.1 | Bal. |
| Heating Rate | Tα→α+β (°C) | Peaking Temperatures (°C) | |
|---|---|---|---|
| SPPs Dissolution (S) | α/β Transition (T) | ||
| 5 | 738.2 | 789.3 | 877.9 |
Publisher’s Note: MDPI stays neutral with regard to jurisdictional claims in published maps and institutional affiliations. |
© 2022 by the authors. Licensee MDPI, Basel, Switzerland. This article is an open access article distributed under the terms and conditions of the Creative Commons Attribution (CC BY) license (https://creativecommons.org/licenses/by/4.0/).
Share and Cite
Aldeen, A.W.; Chen, Z.; Disher, I.A.; Yan, K.; Zhu, Y. Study of Initial β-Zr Formation in β-Quenched N36 Zirconium Alloy Using Dynamic and Metallographic Methods. Crystals 2022, 12, 1535. https://doi.org/10.3390/cryst12111535
Aldeen AW, Chen Z, Disher IA, Yan K, Zhu Y. Study of Initial β-Zr Formation in β-Quenched N36 Zirconium Alloy Using Dynamic and Metallographic Methods. Crystals. 2022; 12(11):1535. https://doi.org/10.3390/cryst12111535
Chicago/Turabian StyleAldeen, Ali W., Zhongwei Chen, Imad A. Disher, Kang Yan, and Yongjia Zhu. 2022. "Study of Initial β-Zr Formation in β-Quenched N36 Zirconium Alloy Using Dynamic and Metallographic Methods" Crystals 12, no. 11: 1535. https://doi.org/10.3390/cryst12111535
APA StyleAldeen, A. W., Chen, Z., Disher, I. A., Yan, K., & Zhu, Y. (2022). Study of Initial β-Zr Formation in β-Quenched N36 Zirconium Alloy Using Dynamic and Metallographic Methods. Crystals, 12(11), 1535. https://doi.org/10.3390/cryst12111535

