Microstructure Analysis of Al-7 wt% Si Alloy Solidified on Earth Compared to Similar Experiments in Microgravity
Abstract
1. Introduction
2. Materials and Methods
2.1. Alloy
2.2. Furnace
2.3. Sample and Sample Holder
2.4. Solidification Experiments
2.5. Microstructure Characterization
2.5.1. Preparation of the Samples
2.5.2. Measuring Methods
Grain Structure
Secondary Dendrite Arm Spacing (SDAS)
Al-Si Eutectic
3. Results of GB Experiments
3.1. Cooling Curves
3.2. Front Velocities and Temperature Gradients
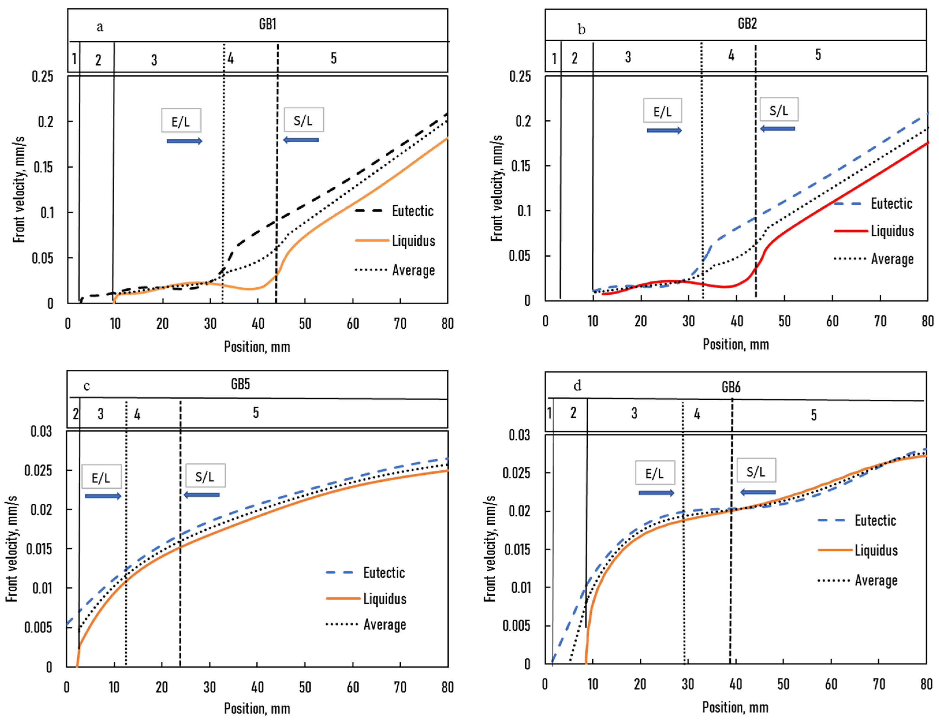
3.2.1. The vE/L, vS/L Front Velocities and the GE/L, GS/L Temperature Gradients for GB1 and GB2 Samples
3.2.2. The vE/L, vS/L Front Velocities and the GE/L, GS/L Temperature Gradients for GB5 and GB6 Samples
3.3. Grain Structure
3.4. The Relative Amount of Eutectic and the Si Concentration Distribution
3.5. Calculation of the ΔT Temperature Range of Solidification
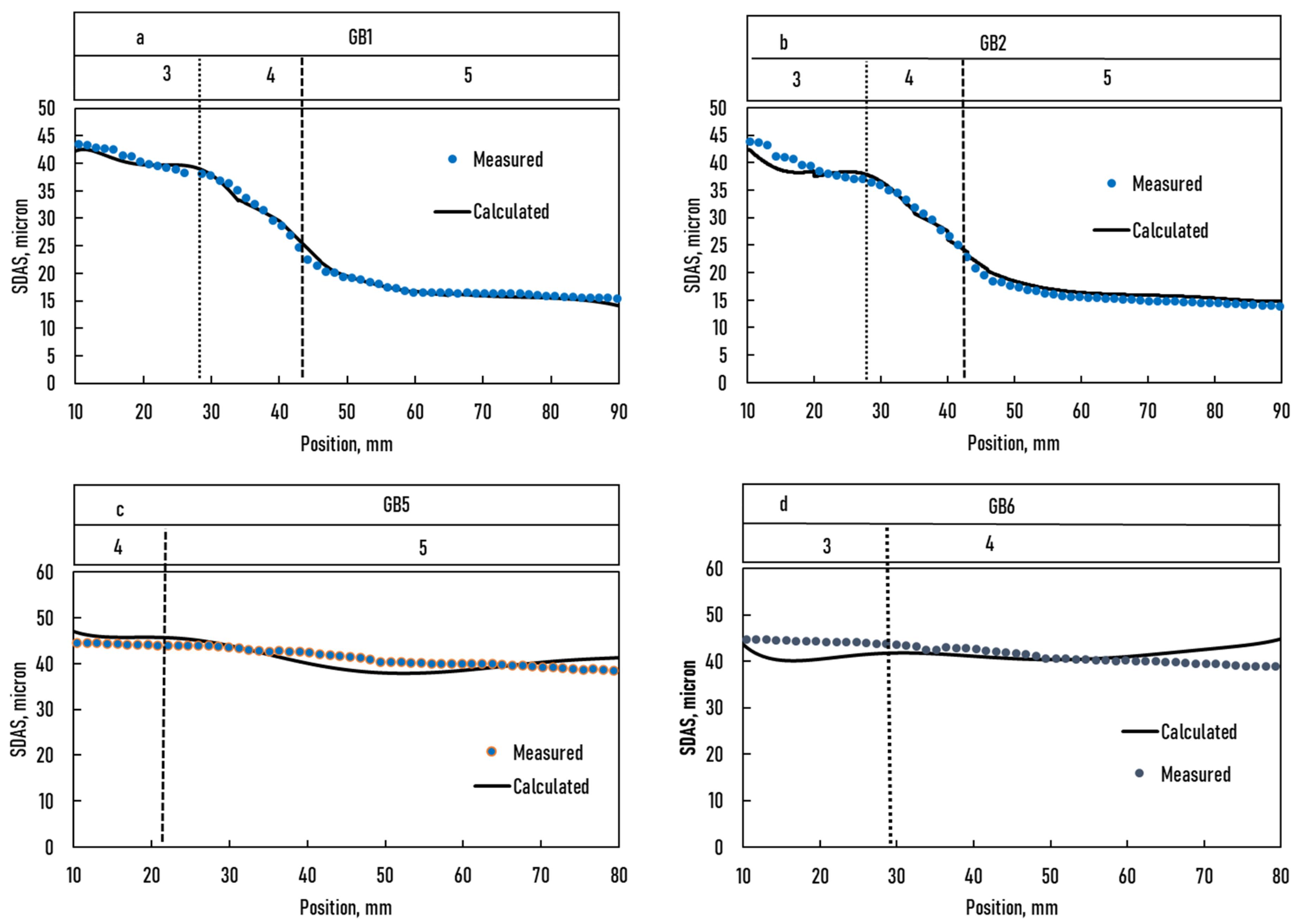
3.6. Secondary Dendrite Arm Spacing (SDAS, λ2)
4. Discussion
4.1. Comparison of the Grain Structure of the Space and Ground-Based Experiments
4.1.1. Initial Mushy Zone
4.1.2. Fully Melted Part
Comparision of the Grain Structure of the GB and B2F Samples
Comparision of the Equiaxed Grain Structure of B2F1 and GB1 Samples
4.1.3. Comparing by the vSL(GSL) Function
4.2. Comparison of the Initial Concentration Distribution and the Amount of Eutectic of the Space and Ground-Based Solidified Samples
4.3. Comparison of the SDAS of the Space and Ground-Based Experiments
5. Summary and Conclusions
Author Contributions
Funding
Data Availability Statement
Conflicts of Interest
References
- Gomes, C.H.U.; Kikuchi, R.H.L.; Barros, A.D.S.; Da Silva, J.N.S.; Silva, M.A.P.D.S.D.; Moreira, A.L.S.; Da Rocha, O.F.L. On the Natural Convection in the Columnar to Equiaxed Transition in Directionally Solidified Aluminum-based Binary and Multicomponent Alloys. Mater. Res. 2015, 18, 1362–1371. [Google Scholar] [CrossRef][Green Version]
- Reinhart, G.; Gandin, C.A.; Mangelinck-Noël, N.; Nguyen-Thi, H.; Spinelli, J.E.; Baruchel, J.; Billia, B. Influence of natural convection during upward directional solidification: A comparison between in situ X-ray radiography and direct simulation of the grain structure. Acta Mater. 2013, 61, 4765–4777. [Google Scholar] [CrossRef]
- Dupouy, M.; Camel, D. Effects of gravity on columnar dendritic growth of metallic alloys: Flow pattern and mass transfer. J. Cryst. Growth 1998, 183, 469–489. [Google Scholar] [CrossRef]
- Rerko, R.S.; de Groh, H.C.; Beckermann, C. Effect of melt convection and solid transport on macrosegregation and grain structure in equiaxed Al–Cu alloys. Mater. Sci. Eng. A 2003, 347, 186–197. [Google Scholar] [CrossRef]
- Nguyen-Thi, H.; Reinhart, G.; Billia, B. On the interest of microgravity experimentation for studying convective effects during the directional solidification of metal alloys. Comptes Rendus Mécanique 2017, 345, 66–77. [Google Scholar] [CrossRef]
- Spinelli, J.E.; Ferreira, I.L.; Garcia, A. Influence of melt convection on the columnar to equiaxed transition and microstructure of downward unsteady-state directionally solidified Sn-Pb alloys. J. Alloy. Compd. 2004, 384, 217–226. [Google Scholar] [CrossRef]
- Shevchenko, N.; Neumann-Heyme, H.; Pickmann, C.; Schaberger-Zimmermann, E.; Zimmermann, G.; Eckert, K.; Eckert, S. Investigations of fluid flow effects on dendritic solidification: Consequences on fragmentation, macrosegregation and the influence of electromagnetic stirring. IOP Conf. Series: Mater. Sci. Eng. 2017, 228, 012005. [Google Scholar] [CrossRef]
- Flemings, M.C. Our Understanding of Macrosegregation. Past and Present. ISIJ Int. 2000, 40, 833–841. [Google Scholar] [CrossRef]
- Beckermann, C. Modelling of macrosegregation: Applications and future needs. Int. Mater. Rev. 2002, 47, 243–261. [Google Scholar] [CrossRef]
- Guillemot, G.; Gandin, C.-A.; Combeau, H. Modeling of Macrosegregation and Solidification Grain Structures with a Coupled Cellular Automaton-Finite Element Model. ISIJ Int. 2006, 46, 880–895. [Google Scholar] [CrossRef]
- Griffiths, W.; Xiao, L.; McCartney, D. The influence of bulk liquid natural convection on the formation of the equiaxed regions in AlCu and AlSi alloys. Mater. Sci. Eng. A 1996, 205, 31–39. [Google Scholar] [CrossRef]
- Zimmermann, G.; Pickmann, C.; Hamacher, M.; Schaberger-Zimmermann, E.; Neumann-Heyme, H.; Eckert, K.; Eckert, S. Fragmentation-driven grain refinement in directional solidification of AlCu10wt-% alloy at low pulling speeds. Acta Mater. 2017, 126, 236–250. [Google Scholar] [CrossRef]
- Ruvalcaba, D.; Mathiesen, R.; Eskin, D.; Arnberg, L.; Katgerman, L. In situ observations of dendritic fragmentation due to local solute-enrichment during directional solidification of an aluminum alloy. Acta Mater. 2007, 55, 4287–4292. [Google Scholar] [CrossRef]
- Burden, M.; Hebditch, D.; Hunt, J. Macroscopic stability of a planar, cellular or dendritic interface during directional freezing. J. Cryst. Growth 1973, 20, 121–124. [Google Scholar] [CrossRef]
- Hunt, J. Steady state columnar and equiaxed growth of dendrites and eutectic. Mater. Sci. Eng. 1984, 65, 75–83. [Google Scholar] [CrossRef]
- Bedel, M.; Tveito, K.; Založnik, M.; Combeau, H.; M’Hamdi, M. A model study of the impact of the transport of inoculant particles on microstructure formation during solidification. Comput. Mater. Sci. 2015, 102, 95–109. [Google Scholar] [CrossRef]
- Tveito, K.O.; Bedel, M.; Založnik, M.; Combeau, H.; M’Hamdi, M.; Kumar, A.; Dutta, P. Numerical study of the impact of inoculant and grain transport on macrosegregation and microstructure formation during solidification of an Al-22%Cu alloy. IOP Conf. Ser. Mater. Sci. Eng. 2012, 33, 012089. [Google Scholar] [CrossRef]
- Heyvaert, L.; Bedel, M.; Založnik, M.; Combeau, H. Modeling of the Coupling of Microstructure and Macrosegregation in a Direct Chill Cast Al-Cu Billet. Met. Mater. Trans. A 2017, 48, 4713–4734. [Google Scholar] [CrossRef]
- Kirkwood, D. A simple model for dendrite arm coarsening during solidification. Mater. Sci. Eng. 1985, 73, L1–L4. [Google Scholar] [CrossRef]
- Flemings, M.C. Coarsening in Solidification Processing. Mater. Trans. 2005, 46, 895–900. [Google Scholar] [CrossRef]
- Kurz, W.; Fisher, D.J. Fundamentals of Solidification, 4th ed.; Trans Tech Publications Ltd.: Zurich, Switzerland, 1998. [Google Scholar]
- Kurz, W.; Fisher, D. Dendrite growth at the limit of stability: Tip radius and spacing. Acta Met. 1981, 29, 11–20. [Google Scholar] [CrossRef]
- Furer, U.; Wunderlin, R. Metal Solidification; DGM Fachber: Stuttgart, Germany, 1977; Volume 144. [Google Scholar]
- Roósz, A. The Effect of Temperature Gradient and Primary Arm Tip Velocity on Secondary Dendrite Arm Spacing at Steady-state Conditions Solidification. Cast Met. 1988, 1, 223–226. [Google Scholar] [CrossRef]
- Steinbach, S.; Ratke, L. The influence of fluid flow on the microstaructure of directionally solidified AlSi base alloys. Metall. Mater. Trans. A 2007, 38, 1388–1394. [Google Scholar] [CrossRef]
- Li, Y.; Mangelinck-Noël, N.; Zimmermann, G.; Sturz, L.; Nguyen-Thi, H. Modification of the microstructure by rotating magnetic field during the solidification of Al-7 wt.% Si alloy under microgravity. J. Alloy. Compd. 2020, 836, 155458. [Google Scholar] [CrossRef]
- Li, Y.; Mangelinck-Noël, N.; Zimmermann, G.; Sturz, L.; Nguyen-Thi, H. Comparative study of directional solidification of Al-7 wt% Si alloys in Space and on Earth: Effects of gravity on dendrite growth and Columnar-to-equiaxed transition. J. Cryst. Growth 2019, 513, 20–29. [Google Scholar] [CrossRef]
- Liu, D.; Mangelinck-Noël, N.; Gandin, C.-A.; Zimmermann, G.; Sturz, L.; Thi, H.N.; Billia, B. Structures in directionally solidified Al–7wt.% Si alloys: Benchmark experiments under microgravity. Acta Mater. 2014, 64, 253–265. [Google Scholar] [CrossRef]
- Li, Y.Z.; Mangelinck-Noël, N.; Nguyen-Thi, H.; Zimmermann, G.; Sturz, L.; Cool, T.; Gulsoy, E.B.; Voorhees, P.W. Critical parameters concerning the columnar-to-equiaxed transition in solidification processing. In Proceedings of the 6th Decennial International Conference on Solidification Processing, Old Windsor, UK, 25–28 July 2017; pp. 317–321. [Google Scholar]
- Li, Y.; Mangelinck-Noël, N.; Zimmermann, G.; Sturz, L.; Nguyen-Thi, H. Effect of solidification conditions and surface pores on the microstructure and columnar-to-equiaxed transition in solidification under microgravity. J. Alloy. Compd. 2018, 749, 344–354. [Google Scholar] [CrossRef]
- Roósz, A.; Rónaföldi, A.; Li, Y.; Mangelinck-Noël, N.; Zimmermann, G.; Nguyen-Thi, H.; Svéda, M.; Veres, Z. Influence of Solidification Parameters on the Amount of Eutectic and Secondary Arm Spacing of Al–7wt% Si Alloy Solidified under Microgravity. Crystals 2022, 12, 414. [Google Scholar] [CrossRef]
- Zimmermann, G.; Sturz, L.; Yuze, L.; Nguyen-Thi, H.; Mangelinck-Noël, N.; Fleurisson, R.; Guillemot, G.; Gandin, C.-A.; Mcfadden, S.; Mooney, R.P.; et al. Columnar and equiaxed solidification within in the framework of the ESA MAP project CETSOL. In Proceedings of the Seventh International Conference on Solidification and Gravity, Miskolc-Lillafüred, Hungary, 3–6 September 2018; pp. 17–26. [Google Scholar]
- Veres, Z.; Roósz, A.; Rónaföldi, A.; Sycheva, A.; Svéda, M. The effect of melt flow induced by RMF on the meso- and micro-structure of unidirectionally solidified Al–7wt.% Si alloy Benchmark experiment under magnetic stirring. J. Mater. Sci. Technol. 2021, 103, 197–208. [Google Scholar] [CrossRef]
- Kasperovich, G.; Volkmann, T.; Ratke, L.; Herlach, D. Microsegregation during Solidification of an Al-Cu Binary Alloy at Largely Different Cooling Rates (0.01 to 20,000 K/s): Modeling and Experimental Study. Met. Mater. Trans. A 2008, 39, 1183–1191. [Google Scholar] [CrossRef]
- Dantzig, J.A.; Rappaz, M. Solidification: Revised & Expanded; EPFL Press: New York, NY, USA, 2016. [Google Scholar]
- Phillion, A.; Založnik, M.; Spindler, I.; Pinter, N.; Aledo, C.-A.; Salloum-Abou-Jaoude, G.; Thi, H.N.; Reinhart, G.; Boussinot, G.; Apel, M.; et al. Evolution of a mushy zone in a static temperature gradient using a volume average approach. Acta Mater. 2017, 141, 206–216. [Google Scholar] [CrossRef]
- Thi, H.N.; Drevet, B.; Debierre, J.; Camel, D.; Dabo, Y.; Billia, B. Preparation of the initial solid–liquid interface and melt in directional solidification. J. Cryst. Growth 2003, 253, 539–548. [Google Scholar] [CrossRef]
- Thi, H.N.; Reinhart, G.; Buffet, A.; Schenk, T.; Mangelinck-Noël, N.; Jung, H.; Bergeon, N.; Billia, B.; Härtwig, J.; Baruchel, J. In situ and real-time analysis of TGZM phenomena by synchrotron X-ray radiography. J. Cryst. Growth 2008, 310, 2906–2914. [Google Scholar] [CrossRef]
- Bergeon, N.; Reinhart, G.; Mota, F.L.; Mangelinck-Noël, N.; Nguyen-Thi, H. Analysis of gravity effects during binary alloy directional solidification by comparison of microgravity and Earth experiments with in situ observation. Eur. Phys. J. E 2021, 44, 98. [Google Scholar] [CrossRef]
- Karagadde, S.; Yuan, L.; Shevchenko, N.; Eckert, S.; Lee, P. 3-D microstructural model of freckle formation validated using in situ experiments. Acta Mater. 2014, 79, 168–180. [Google Scholar] [CrossRef]
- Murphy, A.; Mathiesen, R.; Houltz, Y.; Li, J.; Lockowandt, C.; Henriksson, K.; Zimmermann, G.; Melville, N.; Browne, D. XRMON-SOL: Isothermal equiaxed solidification of a grain refined Al–20wt%Cu alloy. J. Cryst. Growth 2016, 440, 38–46. [Google Scholar] [CrossRef]





















| (a) | ||||||||
| Sample | Alloy | Initial G K/mm | Stage I | Stage II | ||||
| v1 mm/s | z1 mm | v2 mm/s | z2 mm | RMF | ||||
| GB1 | Al + 7 wt% Si + GR | 4 | 0.02 | 50 | 0.2 | 60 | No | |
| GB2 | Al + 7 wt% Si | 4 | 0.02 | 50 | 0.2 | 60 | 0.5 mT | |
| GB5 | Al + 7 wt% Si + GR | 4 | 0.02 | 50 | 0.02 | 60 | No | |
| GB6 | Al + 7 wt% Si | 4 | 0.02 | 50 | 0.02 | 60 | 0.5 mT | |
| (b) | ||||||||
| Sample | Alloy | Initial G K/mm | Stage I | Stage II | ||||
| v1 mm/s | z1 mm | v2 mm/s | z2 mm | R K/s | RMF | |||
| B2F1 | Al + 7 wt% Si + GR | 4 | 0.02 | 20 | 0.2 | 50 | 0.133 | No |
| B2F2 | Al + 7 wt% Si | 4 | 0.02 | 20 | 0.2 | 50 | 0.133 | 0.5 mT |
| B2F5 | Al + 7 wt% Si + GR | 4 | 0.02 | 30 | 0.02 | 50 | 0.133 | No |
| B2F6 | Al + 7 wt% Si | 4 | 0.02 | 30 | 0.02 | 50 | 0.133 | 0.5 mT |
| B1FM5/GM | Al + 7 wt% Si + GR | 0.9 | 0.01 | 20 | 0.01 | 20 | 0.067 | No |
| (a) | |||||||||||
| No. Section | Distance from the Bottom of Samples, mm | Part | S/L Temp. Gradient, GSL, K/mm | S/L Front Velocity, vSL, mm/s | |||||||
| GB1 GB2 | GB5 GB6 | GB1 | GB2 | GB5 | GB6 | GB1 | GB2 | GB5 | GB6 | ||
| 1 | 0 | 1 | 2/2 | ||||||||
| 2 | 5 | 2 | 3/2 | ||||||||
| 3 | 15 | 3 | 4/3 | 4.65 | 4.59 | 4.58 | 4.98 | 0.011 | 0.009 | 0.12 | 0.014 |
| 4 | 25 | 3 | 5/3 | 3.59 | 3.45 | 3.64 | 3.85 | 0.021 | 0.022 | 0.016 | 0.018 |
| 5 | 45 | 4 | 5/5 | 3.53 | 3.49 | 3.82 | 3.77 | 0.041 | 0.044 | 0.019 | 0.020 |
| 6 | 60 | 5 | 5/5 | 4.2 | 4.31 | 3.56 | 3.36 | 0.109 | 0.110 | 0.023 | 0.024 |
| 7 | 80 | 5 | 5/5 | 4.03 | 3.87 | 2.93 | 2.34 | 0.181 | 0.176 | 0.025 | 0.027 |
| (b) | |||||||||||
| No. Section | Distance from the Bottom of Samples, mm | Part | S/L Temp. Gradient, GSL, K/mm | S/L Front Velocity, vSL, mm/s | |||||||
| B2F1/ B2F2 | B2F5/ B2F6 | B2F1 | B2F2 | B2F5 | B2F6 | B2F1 | B2F2 | B2F5 | B2F6 | ||
| 1 | 135 | 5 | 5 | 5.18 | 5.23 | 4.26 | 4.45 | 0.062 | 0.069 | 0.017 | 0.016 |
| 2 | 165 | 6 | 6 | - | 12.32 | 3.34 | 3.27 | - | 1.39 | 0.53 | 0.054 |
| 3 | 195 | 7 | 6 | - | 8.83 | 2.60 | 2.68 | - | 0.39 | 0.072 | 0.074 |
| 4 | 225 | 7 | 6 | - | 8.54 | 1.93 | 1.89 | - | 1.12 | 0.096 | 0.088 |
| (a) | ||||||
| Position of the E/L and S/L fronts at change of Stage | GB1, GB2 | E/L front | 33 mm | |||
| S/L front | 44 mm | |||||
| Part 1 | Part 2 | Part 3 | Part 4 | Part 5 | ||
| not melted part | partly melted part | fully melted part | fully melted part | fully melted part | ||
| Distance, mm | GB1, GB2 | from 0 to 2 | from 2 to 10 | from 10 to 33 | from 33 to 44 | from 44 to 80 |
| vE/L, mm/s | GB1, GB2 | - | incr. from 0.0 to 0.011 | incr. to 0.02 | incr. to 0.09 | incr. to 0.25 |
| vS/L, mm/s | GB1, GB2 | - | S/L front isn’t exist | incr. from 0.0 to 0.022 | incr. to 0.029 | incr. to 0.22 |
| GE/L, K/mm | GB1 | - | decr. from 7.23 to 5.77 | decr. to 3.58 | incr. to 4.47 | decr. to 4.13 |
| GB2 | - | decr. from 7.0 to 6.21 | decr. to 3.42 | incr. to 4,56 | decr. to 3.89 | |
| GS/L, K/mm | GB1 | - | S/L front isn’t exist | decr. from 4.89 to 3.39 | incr. to 3.54 | incr. to 4.03 |
| GB2 | - | S/L front isn’t exist | decr. from 5.25 to 3.23 | incr. to 3.56 | incr. to 3.87 | |
| (b) | ||||||
| Position of the E/L and S/L fronts at change of Stage | GB5 | E/L front | 13 mm | |||
| S/L front | 23 mm | |||||
| GB6 | E/L fron | 28 mm | ||||
| S/L front | 39 mm | |||||
| Part 1 | Part 2 | Part 3 | Part 4 | Part 5 | ||
| not melted part | partly melted part | fully melted part | fully melted part | fully melted part | ||
| Distance, mm | GB5 | isn’t exist | from 0 to 2 | from 2 to 13 | from 13 to 23 | from 23 to 80 |
| GB6 | from 0 to 2 | from 2 to 9 | from 9 to 28 | from 28 to 39 | from 39 to 80 | |
| vE/L, mm/s | GB5 | - | incr. from 0.0054 to 0.0066 | incr. to 0.011 | Incr. to 0.015 | incr. to 0.026 |
| GB6 | - | incr. from 0.00 to 0.009 | incr. to 0.0198 | incr. to 0.02 | incr. to 0.27 | |
| vS/L, mm/s | GB5 | - | S/L front isn’t exist | incr. to 0.0096 | incr. to 0.013 | incr. to 0.025 |
| GB6 | - | S/L front isn’t exist | incr from 0.00 to 0.0187 | incr. to 0.019 | incr. to 0.27 | |
| GE/L, K/mm | GB5 | - | decr. from 9.30 to 7.21 | decr. to 5.20 | decr. to 3.63 | decr. to 2.60 |
| GB6 | - | decr. from 7.49 to 6.50 | decr. to 3.76 | incr. to 3.94 | decr. to 2.68 | |
| GS/L, K/mm | GB5 | - | S/L front isn’t exist | decr. from 7.2 to 5.44 | decr. to 4.14 | decr. to 2.93 |
| GB6 | - | S/L front isn’t exist | decr. from 5.6 to 3.66 | incr. to 3.71 | decr. to 2.34 | |
| (a) | No. Cross Section/Distance from the Bottom of the Sample, mm | ||||
| 3/15 | 4/25 | 5/45 | 6/60 | 7/80 | |
| GB1 | 5 | 3 | 5 | 93 | 117 |
| GB2 | 11 | 3 | 2 | 5 | 6 |
| GB5 | 10 | 5 | 2 | 2 | 1 |
| GB6 | 4 | 3 | 1 | 1 | 1 |
| (b) | No. Cross Section/Distance from the Bottom of the Sample, mm | ||||
| 1/135 | 2/165 | 3/195 | 4/225 | ||
| B2F1 | 38 | 547 | 732 | ||
| B2F2 | 12 | 15 | 54 | 32 | |
| B2F5 | 19 | 14 | 24 | 7 | |
| B2F6 | 10 | 7 | 3 | 6 | |
Publisher’s Note: MDPI stays neutral with regard to jurisdictional claims in published maps and institutional affiliations. |
© 2022 by the authors. Licensee MDPI, Basel, Switzerland. This article is an open access article distributed under the terms and conditions of the Creative Commons Attribution (CC BY) license (https://creativecommons.org/licenses/by/4.0/).
Share and Cite
Roósz, A.; Rónaföldi, A.; Li, Y.; Mangelinck-Noël, N.; Zimmermann, G.; Nguyen-Thi, H.; Svéda, M.; Veres, Z. Microstructure Analysis of Al-7 wt% Si Alloy Solidified on Earth Compared to Similar Experiments in Microgravity. Crystals 2022, 12, 1226. https://doi.org/10.3390/cryst12091226
Roósz A, Rónaföldi A, Li Y, Mangelinck-Noël N, Zimmermann G, Nguyen-Thi H, Svéda M, Veres Z. Microstructure Analysis of Al-7 wt% Si Alloy Solidified on Earth Compared to Similar Experiments in Microgravity. Crystals. 2022; 12(9):1226. https://doi.org/10.3390/cryst12091226
Chicago/Turabian StyleRoósz, András, Arnold Rónaföldi, Yuze Li, Nathalie Mangelinck-Noël, Gerhard Zimmermann, Henri Nguyen-Thi, Mária Svéda, and Zsolt Veres. 2022. "Microstructure Analysis of Al-7 wt% Si Alloy Solidified on Earth Compared to Similar Experiments in Microgravity" Crystals 12, no. 9: 1226. https://doi.org/10.3390/cryst12091226
APA StyleRoósz, A., Rónaföldi, A., Li, Y., Mangelinck-Noël, N., Zimmermann, G., Nguyen-Thi, H., Svéda, M., & Veres, Z. (2022). Microstructure Analysis of Al-7 wt% Si Alloy Solidified on Earth Compared to Similar Experiments in Microgravity. Crystals, 12(9), 1226. https://doi.org/10.3390/cryst12091226

