Molecular Structures of the Silicon Pyridine-2-(thi)olates Me3Si(pyX), Me2Si(pyX)2 and Ph2Si(pyX)2 (py = 2-Pyridyl, X = O, S), and Their Intra- and Intermolecular Ligand Exchange in Solution
Abstract
1. Introduction
2. Materials and Methods
2.1. General Considerations
2.2. Syntheses and Characterization
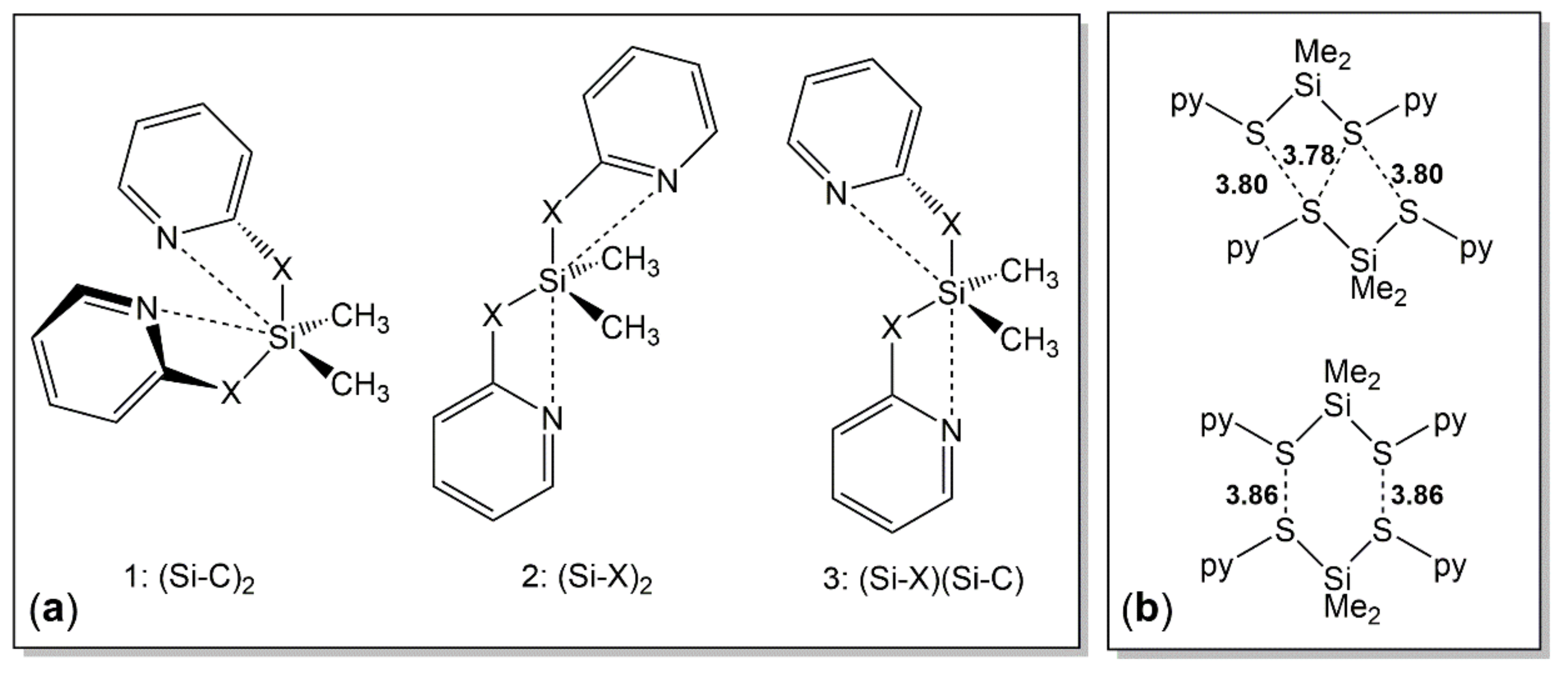
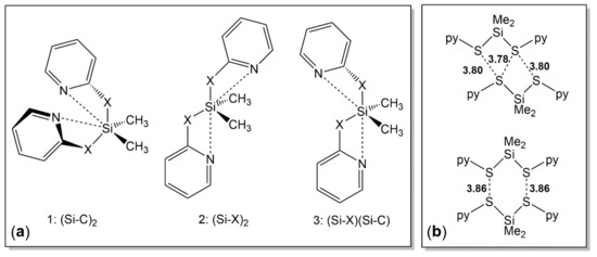
3. Results and Discussion
3.1. Compounds Me3Si(pyO) (1a) and Me3Si(pyS) (1b)
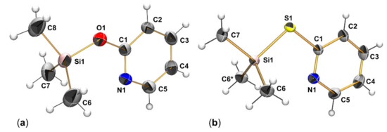
3.1.1. Crystallographic Analyses of 1a and 1b
3.1.2. Computational Analyses of Isomers of 1a and 1b
3.2. Compounds Me2Si(pyO)2 (2a) and Me2Si(pyS)2 (2b)
3.2.1. Crystallographic Analyses of 2a and 2b
3.2.2. NMR-Spectroscopic Study of Substituent Scrambling of Me2Si(pyO)2 (2a) and Me2Si(pyS)2 (2b) with the Formation of Me2Si(pyO)(pyS) (2c)
3.2.3. Computational Analyses of Conformers of 2a, 2b and 2c
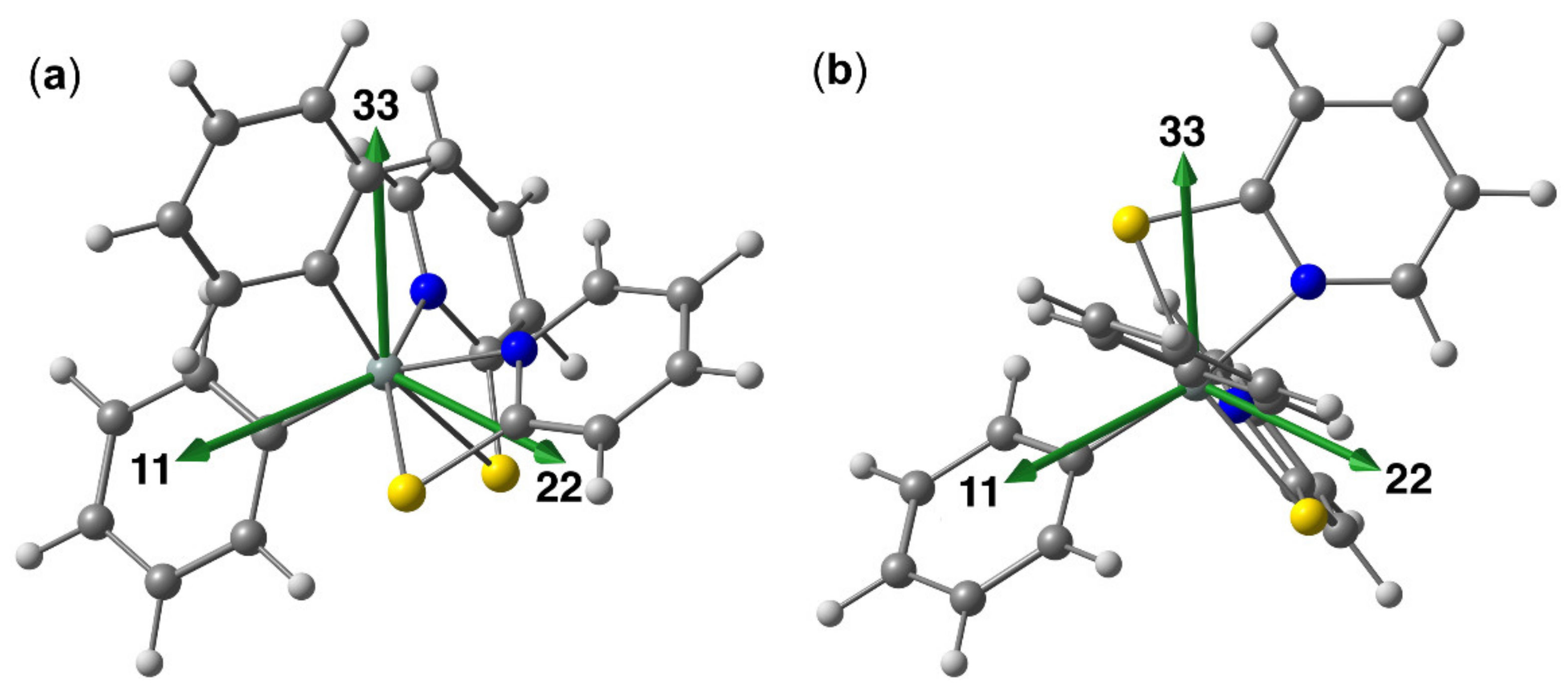
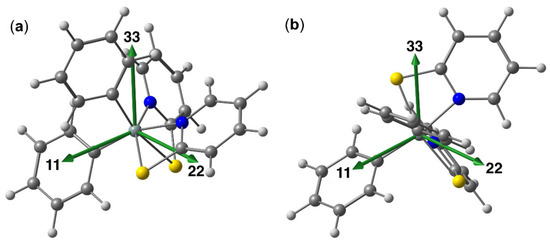
3.3. Compounds Ph2Si(pyO)2 (3a) and Ph2Si(pyS)2 (3b)
3.3.1. Crystallographic Analyses of 3a and 3b
3.3.2. NMR-Spectroscopic Study of Substituent Scrambling of Ph2Si(pyO)2 (3a) and Ph2Si(pyS)2 (3b) with Formation of Ph2Si(pyO)(pyS) (3c)
3.3.3. NMR Spectroscopic and Computational Analyses of 29Si Chemical Shift Anisotropy Tensors of 3b1 and 3b2 (Two Isomers of Ph2Si(pyS)2 (3b))
4. Conclusions
Supplementary Materials
Author Contributions
Funding
Institutional Review Board Statement
Informed Consent Statement
Data Availability Statement
Acknowledgments
Conflicts of Interest
Appendix A
| Parameter | 1a | 1b | 2a 1 | 2b | 3a 2 |
|---|---|---|---|---|---|
| Formula | C8H13NOSi | C8H13NSSi | C12H14N2O2Si | C12H14N2S2Si | C22H18N2O2Si |
| Mr | 167.28 | 183.34 | 246.34 | 278.46 | 370.47 |
| T(K) | 220(2) | 220(2) | 200(2) | 200(2) | 200(2) |
| λ(Å) | 0.71073 | 0.71073 | 0.71073 | 0.71073 | 0.71073 |
| Crystal system | orthorhombic | monoclinic | monoclinic | triclinic | triclinic |
| Space group | Pbca | P21/m | P21/c | P1 | |
| a(Å) | 11.6876(1) | 6.6079(7) | 12.7881(6) | 9.7145(4) | 6.1626(2) |
| b(Å) | 24.898(3) | 7.2078(6) | 10.7211(6) | 11.5896(5) | 8.8822(3) |
| c(Å) | 13.833(2) | 11.1025(12) | 18.6634(8) | 12.9509(6) | 26.4639(9) |
| α(°) | 90 | 90 | 90 | 73.601(3) | 88.692(3) |
| β(°) | 90 | 97.954(9) | 90.247(4) | 89.903(3) | 88.561(3) |
| γ(°) | 90 | 90 | 90 | 85.998(3) | 81.453(3) |
| V(Å3) | 4025.4(9) | 523.71(9) | 2558.8(2) | 1395.13(11) | 1431.76(8) |
| Z | 16 | 2 | 8 | 4 | 3 |
| ρcalc(g⋅cm−1) | 1.10 | 1.16 | 1.28 | 1.33 | 1.29 |
| μMoKα (mm−1) | 0.2 | 0.4 | 0.2 | 0.4 | 0.1 |
| F(000) | 1440 | 196 | 1040 | 584 | 582 |
| θmax(°), Rint | 25.0, 0.0463 | 28.0, 0.0573 | 25.0, 0.0761 | 28.0, 0.0181 | 28.0, 0.0197 |
| Completeness | 99.4% | 99.9% | 99.3% | 99.6% | 99.8% |
| Reflns collected | 26,377 | 7376 | 19,701 | 35,958 | 48,444 |
| Reflns unique | 3522 | 1255 | 4515 | 6716 | 13251 |
| Restraints | 0 | 0 | 0 | 0 | 36 |
| Parameters | 205 | 67 | 313 | 311 | 846 |
| GoF | 1.074 | 1.106 | 1.045 | 1.058 | 1.057 |
| R1, wR2 [I > 2σ(I)] | 0.0419, 0.1136 | 0.0330, 0.0914 | 0.0460, 0.0965 | 0.0293, 0.0779 | 0.0389, 0.1002 |
| R1, wR2 (all data) | 0.0478, 0.1205 | 0.0354, 0.0948 | 0.0849, 0.1112 | 0.0310, 0.0793 | 0.0443, 0.1061 |
| Largest peak/hole (e⋅Å−3) | 0.28, −0.25 | 0.25, −0.24 | 0.19, −0.24 | 0.50, −0.37 | 0.40, −0.28 |
| Parameter | 3b1 | 3b2 (Modif. 1) | 3b2 (Modif. 2) | 3b2⋅(Toluene) 1 |
|---|---|---|---|---|
| Formula | C22H18N2S2Si | C22H18N2S2Si | C22H18N2S2Si | C29H26N2S2Si |
| Mr | 402.59 | 402.59 | 402.59 | 494.73 |
| T(K) | 200(2) | 180(2) | 200(2) | 200(2) |
| λ(Å) | 0.71073 | 0.71073 | 0.71073 | 0.71073 |
| Crystal system | triclinic | monoclinic | monoclinic | triclinic |
| Space group | P21/n | C2/c | ||
| a(Å) | 9.4763(8) | 12.3581(4) | 10.9877(5) | 9.7034(9) |
| b(Å) | 10.2415(8) | 12.7040(4) | 19.5766(9) | 11.2023(9) |
| c(Å) | 11.1044(8) | 12.5693(4) | 9.7361(5) | 13.2853(13) |
| α(°) | 96.698(6) | 90 | 90 | 73.607(7) |
| β(°) | 114.442(6) | 90.262(2) | 97.501(4) | 72.232(7) |
| γ(°) | 90.107(6) | 90 | 90 | 82.511(7) |
| V(Å3) | 972.92(14) | 1973.33(11) | 2076.33(17) | 1317.8(2) |
| Z | 2 | 4 | 4 | 2 |
| ρcalc(g⋅cm−1) | 1.37 | 1.36 | 1.29 | 1.25 |
| μMoKα (mm−1) | 0.3 | 0.3 | 0.3 | 0.3 |
| F(000) | 420 | 840 | 840 | 520 |
| θmax(°), Rint | 28.0, 0.0182 | 27.0, 0.0470 | 25.0, 0.0755 | 25.0, 0.0316 |
| Completeness | 99.8% | 100% | 100% | 99.8% |
| Reflns collected | 14558 | 20583 | 12049 | 12384 |
| Reflns unique | 4698 | 4302 | 1829 | 4641 |
| Restraints | 0 | 0 | 0 | 59 |
| Parameters | 244 | 244 | 124 | 296 |
| GoF | 1.102 | 1.042 | 1.081 | 1.043 |
| R1, wR2 [I > 2σ(I)] | 0.0313, 0.0794 | 0.0389, 0.0847 | 0.0429, 0.0913 | 0.0365, 0.0861 |
| R1, wR2 (all data) | 0.0367, 0.0837 | 0.0533, 0.0905 | 0.0690, 0.1001 | 0.0563, 0.0929 |
| Largest peak/hole (e⋅Å−3) | 0.36, −0.24 | 0.30, −0.31 | 0.22, −0.25 | 0.33, −0.32 |
References
- Chuit, C.; Corriu, R.J.P.; Reye, C.; Young, J.C. Reactivity of penta- and hexacoordinate silicon compounds and their role as reaction intermediates. Chem. Rev. 1993, 93, 1371–1448. [Google Scholar] [CrossRef]
- Wagler, J.; Böhme, U.; Kroke, E. Higher-Coordinated Molecular Silicon Compounds. Struct. Bond. 2013, 155, 29–105. [Google Scholar] [CrossRef]
- Lemière, G.; Millanvois, A.; Ollivier, C.; Fensterbank, L. A Parisian Vision of the Chemistry of Hypercoordinated Silicon Derivatives. Chem. Rec. 2021, 21, 1119–1129. [Google Scholar] [CrossRef] [PubMed]
- Bechstein, S.O.; Ziemer, B.; Hass, D.; Trojanov, S.I.; Rybakov, V.B.; Maso, G.N. Halogen Exchange on Silicon Halides. XIII. Structure and Reactivity of Silicon Halide-Pyridine Compounds. Z. Anorg. Allg. Chem. 1990, 582, 211–216. [Google Scholar] [CrossRef]
- Hensen, K.; Stumpf, T.; Bolte, M.; Näther, A.C.; Fleischer, H. Experimental Investigations and ab Initio Studies on Hexacoordinated Complexes of Dichlorosilane. J. Am. Chem. Soc. 1998, 120, 10402–10408. [Google Scholar] [CrossRef]
- Fester, G.W.; Wagler, J.; Brendler, E.; Böhme, U.; Roewer, G.; Kroke, E. Octahedral Adducts of Dichlorosilane with Substituted Pyridines: Synthesis, Reactivity and a Comparison of Their Structures and29Si NMR Chemical Shifts. Chem. Eur. J. 2008, 14, 3164–3176. [Google Scholar] [CrossRef]
- Fester, G.W.; Wagler, J.; Brendler, E.; Kroke, E. Stable Trichlorosilane–Pyridine Adducts. Eur. J. Inorg. Chem. 2008, 2008, 5020–5023. [Google Scholar] [CrossRef]
- Baus, J.A.; Burschka, C.; Bertermann, R.; Guerra, C.F.; Bickelhaupt, F.M.; Tacke, R. Neutral Six-Coordinate and Cationic Five-Coordinate Silicon(IV) Complexes with Two Bidentate MonoanionicN,S-Pyridine-2-thiolato(−) Ligands. Inorg. Chem. 2013, 52, 10664–10676. [Google Scholar] [CrossRef]
- Wächtler, E.; Gericke, R.; Kutter, S.; Brendler, E.; Wagler, J. Molecular structures of pyridinethiolato complexes of Sn(II), Sn(IV), Ge(IV), and Si(IV). Main Group Met. Chem. 2013, 36, 181–191. [Google Scholar] [CrossRef]
- Ehrlich, L.; Gericke, R.; Brendler, E.; Wagler, J. (2-Pyridyloxy)silanes as Ligands in Transition Metal Coordination Chemistry. Inorganics 2018, 6, 119. [Google Scholar] [CrossRef]
- Sun, J.; Ou, C.; Wang, C.; Uchiyama, M.; Deng, L. Silane-Functionalized N-Heterocyclic Carbene–Cobalt Complexes Containing a Five-Coordinate Silicon with a Covalent Co–Si Bond. Organometallics 2015, 34, 1546–1551. [Google Scholar] [CrossRef]
- Lalrempuia, R.; Iglesias, M.; Polo, V.; Miguel, P.J.S.; Fernández-Alvarez, F.J.; Pérez-Torrente, J.J.; Oro, L.A. Effective Fixation of CO2 by Iridium-Catalyzed Hydrosilylation. Angew. Chem. Int. 2012, 51, 12824–12827. [Google Scholar] [CrossRef]
- Garcés, K.; Lalrempuia, R.; Polo, V.; Fernández-Alvarez, F.J.; García-Orduña, P.; Lahoz, F.J.; Pérez-Torrente, J.J.; Oro, L.A. Rhodium-Catalyzed Dehydrogenative Silylation of Acetophenone Derivatives: Formation of Silyl Enol Ethers versus Silyl Ethers. Chem. Eur. J. 2016, 22, 14717–14729. [Google Scholar] [CrossRef]
- Julián, A.; Guzmán, J.; Jaseer, E.A.; Fernández-Alvarez, F.J.; Royo, R.; Polo, V.; Orduña, M.P.G.; Lahoz, F.J.; Oro, L.A. Mechanistic Insights on the Reduction of CO2 to Silylformates Catalyzed by Ir-NSiN Species. Chem. Eur. J. 2017, 23, 11898–11907. [Google Scholar] [CrossRef]
- Julián, A.; Garcés, K.; Lalrempuia, R.; Jaseer, E.A.; García-Orduña, P.; Fernández-Alvarez, F.J.; Lahoz, F.J.; Oro, L.A. Reactivity of Ir-NSiN Complexes: Ir-Catalyzed Dehydrogenative Silylation of Carboxylic Acids. ChemCatChem 2018, 10, 1027–1034. [Google Scholar] [CrossRef]
- Hill, A.F.; Neumann, H.; Wagler, J. Bis(methimazolyl)silyl Complexes of Ruthenium. Organometallics 2010, 29, 1026–1031. [Google Scholar] [CrossRef]
- Wagler, J.; Brendler, E. Metallasilatranes: Palladium(II) and Platinum(II) as Lone-Pair Donors to Silicon(IV). Angew. Chem. Int. Ed. 2010, 49, 624–627. [Google Scholar] [CrossRef]
- Kazimierczuk, K.; Dołęga, A. Synthesis and structural characterization of new cyclic siloxane with functionalized organic substituents. Phosphorus Sulfur Silicon Relat. Elem. 2017, 192, 1140–1143. [Google Scholar] [CrossRef]
- Wagler, J.; Schley, M.; Gerlach, D.; Böhme, U.; Brendler, E.; Roewer, G. Surprising Insights in the Various Molecular Structures of Hypercoordinate Bis(oxinato)silicon Complexes. Z. Naturforsch. B 2005, 60, 1054–1064. [Google Scholar] [CrossRef]
- Brendler, E.; Wächtler, E.; Wagler, J. Hypercoordinate Silacycloalkanes: Step-by-Step Tuning of N→Si Interactions. Organometallics 2009, 28, 5459–5465. [Google Scholar] [CrossRef]
- Gericke, R.; Wagler, J. Ruthenium complexes of phosphino derivatives of carboxylic amides: Synthesis and characterization of tridentate P,E2 and tetradentate P,E3 (E = N,O) ligands and their reactivity towards [RuCl2(PPh3)3]. Polyhedron 2017, 125, 57–67. [Google Scholar] [CrossRef]
- Wächtler, E.; Gericke, R.; Block, T.; Gerke, B.; Pöttgen, R.; Wagler, J. Compounds of the types Pn(pyS)3 (Pn = P, As, Bi; pyS: Pyridine-2-thiolate) and Sb(pyS) x Ph3–x (x = 3–1); molecular structures and electronic situations of the Pn atoms. Z. Naturforsch. B 2021, 76, 103–118. [Google Scholar] [CrossRef]
- Herzfeld, J.; Berger, A.E. Sideband intensities in NMR spectra of samples spinning at the magic angle. J. Chem. Phys. 1980, 73, 6021–6030. [Google Scholar] [CrossRef]
- Mason, J. Conventions for the reporting of nuclear magnetic shielding (or shift) tensors suggested by participants in the NATO ARW on NMR shielding constants at the University of Maryland, College Park, July 1992. Solid State Nucl. Magn. Reson. 1993, 2, 285–288. [Google Scholar] [CrossRef]
- Wagler, J.; Gericke, R. Molecular structures of various alkyldichlorosilanes in the solid state. Dalton Trans. 2017, 46, 8875–8882. [Google Scholar] [CrossRef]
- Sheldrick, G.M. Program for the Solution of Crystal Structures; SHELXS-97; University of Göttingen: Göttingen, Germany, 1997. [Google Scholar]
- Sheldrick, G.M. SHELXT—Integrated space-group and crystal-structure determination. Acta Crystallogr. Sect. A Found. Adv. 2015, 71, 3–8. [Google Scholar] [CrossRef]
- Sheldrick, G.M. Program for the Refinement of Crystal Structures; SHELXL-2014/7; University of Göttingen: Göttingen, Germany, 2014. [Google Scholar]
- Sheldrick, G.M. Program for the Refinement of Crystal Structures; SHELXL-2018/3; University of Göttingen: Göttingen, Germany, 2018. [Google Scholar]
- Sheldrick, G.M. A short history of SHELX. Acta Crystallogr. Sect. A 2008, A64, 112–122. [Google Scholar] [CrossRef]
- Kourkoumelis, N. A Program for the Interconversion Procedure between Variable Formats of Powder X-ray Files. PowDLL (Version 2.991.0.0). Available online: http://users.uoi.gr/nkourkou/powdll/#download (accessed on 14 June 2022).
- Farrugia, L.J. ORTEP-3 for Windows—A version ofORTEP-III with a Graphical User Interface (GUI). J. Appl. Crystallogr. 1997, 30, 565. [Google Scholar] [CrossRef]
- Farrugia, L.J. WinGXandORTEP for Windows: An update. J. Appl. Crystallogr. 2012, 45, 849–854. [Google Scholar] [CrossRef]
- POV-RAY (Version 3.7), Trademark of Persistence of Vision Raytracer Pty. Ltd., Williamstown, Victoria (Australia). Copyright Hallam Oaks Pty. Ltd., 1994–2004. Available online: http://www.povray.org/download/ (accessed on 28 June 2021).
- Neese, F. Software update: The ORCA program system—Version 5.0. WIREs Comput. Mol. Sci. 2022, 8, e1606. [Google Scholar] [CrossRef]
- Weigend, F.; Ahlrichs, R. Balanced basis sets of split valence, triple zeta valence and quadruple zeta valence quality for H to Rn: Design and assessment of accuracy. Phys. Chem. Chem. Phys. 2005, 7, 3297–3305. [Google Scholar] [CrossRef] [PubMed]
- Pantazis, D.A.; Neese, F. All-electron basis sets for heavy elements. WIREs Comput. Mol. Sci. 2014, 4, 363–374. [Google Scholar] [CrossRef]
- van Lenthe, E.; Baerends, E.J.; Snijders, J.G. Relativistic regular two-component Hamiltonians. J. Chem. Phys. 1993, 99, 4597–4610. [Google Scholar] [CrossRef]
- Van Wüllen, C. Molecular density functional calculations in the regular relativistic approximation: Method, application to coinage metal diatomics, hydrides, fluorides and chlorides, and comparison with first-order relativistic calculations. J. Chem. Phys. 1998, 109, 392–399. [Google Scholar] [CrossRef]
- Grimme, S.; Ehrlich, S.; Goerigk, L. Effect of the damping function in dispersion corrected density functional theory. J. Comput. Chem. 2011, 32, 1456. [Google Scholar] [CrossRef]
- Grimme, S.; Antony, J.; Ehrlich, S.; Krieg, H. A consistent and accurate ab initio parametrization of density functional dispersion correction (DFT-D) for the 94 elements H-Pu. J. Chem. Phys. 2010, 132, 154104–154119. [Google Scholar] [CrossRef]
- Karton, A.; Tarnopolsky, A.; Lamère, J.-F.; Schatz, G.C.; Martin, J.M.L. Highly Accurate First-Principles Benchmark Data Sets for the Parametrization and Validation of Density Functional and Other Approximate Methods. Derivation of a Robust, Generally Applicable, Double-Hybrid Functional for Thermochemistry and Thermochemical Kinetics. J. Phys. Chem. A 2008, 112, 12868–12886. [Google Scholar] [CrossRef]
- Stoychev, G.L.; Auer, A.A.; Neese, F. Automatic Generation of Auxiliary Basis Sets. J. Chem. Theory Comput. 2017, 13, 554–562. [Google Scholar] [CrossRef]
- Te Velde, G.; Bickelhaupt, F.M.; Baerends, E.J.; Fonseca Guerra, C.; van Gisbergen, S.J.A.; Snijders, J.G.; Ziegler, T. Chemistry with ADF. J. Comput. Chem. 2001, 22, 931–967. [Google Scholar] [CrossRef]
- Van Lenthe, E.; Baerends, E.J. Optimized Slater-type basis sets for the elements 1-118. J. Comput. Chem. 2003, 24, 1142–1156. [Google Scholar] [CrossRef]
- Chemcraft, Version 1.8 (Build 164). 2016. Available online: http://www.chemcraftprog.com/ (accessed on 19 September 2015).
- Motherwell, W.B.; Storey, L.J. Some studies on nucleophilic trifluoromethylation using the shelf-stable trifluoromethylacetophenone-N,N-dimethyltrimethylsilylamine adduct. J. Fluor. Chem. 2005, 126, 489–496. [Google Scholar] [CrossRef]
- Bassindale, A.R.; Parker, D.J.; Taylor, P.G. Modelling nucleophilic substitution at silicon in solution using hypervalent silicon compounds based on 2-thiopyridones. J. Chem. Soc. Perkin Trans. 2000, 2, 1059–1066. [Google Scholar] [CrossRef]
- Cordero, B.; Gómez, V.; Platero-Prats, A.E.; Revés, M.; Echeverría, J.; Cremades, E.; Barragán, F.; Alvarez, S. Covalent radii revisited. Dalton Trans. 2008, 2832–2838. [Google Scholar] [CrossRef]
- Mantina, M.; Chamberlin, A.C.; Valero, R.; Cramer, C.J.; Truhlar, D.G. Consistent van der Waals Radii for the Whole Main Group. J. Phys. Chem. A 2009, 113, 5806–5812. [Google Scholar] [CrossRef]
- Okuniewski, A.; Rosiak, D.; Chojnacki, J.; Becker, B. Coordination polymers and molecular structures among complexes of mercury(II) halides with selected 1-benzoylthioureas. Polyhedron 2015, 90, 47–57. [Google Scholar] [CrossRef]
- Bock, H.; Meuret, J.; Bats, J.W.; Havlas, Z. Structures of Sterically Overcrowded Molecules 39 [1,2] Single Crystal and Gas Phase Structures of l,4-Bis(trimethylsiloxy)benzene. Z. Naturforsch. B 1994, 49, 288–296. [Google Scholar] [CrossRef][Green Version]
- Fuhr, O.; Fenske, D. Sulfur Bridged Copper Complexes with dye Ligands. Z. Anorg. Allg. Chem. 2004, 630, 1607–1612. [Google Scholar] [CrossRef]
- Wagler, J.; Heine, T.; Hill, A.F. Poly(methimazolyl)silanes: Syntheses and Molecular Structures. Organometallics 2010, 29, 5607–5613. [Google Scholar] [CrossRef]
- Wiltzsch, C.; Kraushaar, K.; Schwarzer, A.; Kroke, E. CO2 as an Oxygen Source for Polysiloxanes—Preparation, Crystal Structure and Thermal Decomposition of Two Novel Silylcarbamates. Z. Naturforsch. B 2011, 66, 917–922. [Google Scholar] [CrossRef]
- Kraushaar, K.; Wiltzsch, C.; Wagler, J.; Böhme, U.; Schwarzer, A.; Roewer, G.; Kroke, E. From CO2 to Polysiloxanes: Di(carbamoyloxy)silanes Me2Si[(OCO)NRR′]2 as Precursors for PDMS. Organometallics 2012, 31, 4779–4785. [Google Scholar] [CrossRef]
- Herbig, M.; Böhme, U.; Kroke, E. Insertion of CO2 and related heteroallenes into the Si–N-bond of methyl(N-morpholino)silanes. Inorg. Chim. Acta 2018, 473, 20–28. [Google Scholar] [CrossRef]
- Gründler, F.; Scholz, H.; Herbig, M.; Schwarzer, S.; Wagler, J.; Kroke, E. Formation of Aromatic O-Silylcarbamates from Aminosilanes and Their Subsequent Thermal Decomposition with Formation of Isocyanates. Eur. J. Inorg. Chem. 2021, 2021, 2211–2224. [Google Scholar] [CrossRef]
- Kraft, B.M.; Brennessel, W.W. Chelation and Stereodynamic Equilibria in Neutral Hypercoordinate Organosilicon Complexes of 1-Hydroxy-2-pyridinone. Organometallics 2013, 33, 158–171. [Google Scholar] [CrossRef]
- Ismail, R.M. Metal 2-Pyridone. Complexes. Patent FR1475896, 7 July 1964. [Google Scholar]
- Wagler, J.; Böhme, U.; Brendler, E.; Blaurock, S.; Roewer, G. Novel Hexacoordinate Diorganosilanes with Salen-Type Ligands: Molecular Structure versus 29Si NMR Chemical Shifts. Z. Anorg. Allg. Chem. 2005, 631, 2907–2913. [Google Scholar] [CrossRef]
- Wagler, J.; Brendler, E.; Langer, D.-C.T.; Pöttgen, R.; Heine, T.; Zhechkov, L. Ylenes in the MII→SiIV (M=Si, Ge, Sn) Coordination Mode. Chem. A Eur. J. 2010, 16, 13429–13434. [Google Scholar] [CrossRef]
- Fester, G.W.; Eckstein, J.; Gerlach, D.; Wagler, J.; Brendler, E.; Kroke, E. Reactions of Hydridochlorosilanes with 2,2′-Bipyridine and 1,10-Phenanthroline: Complexation versus Dismutation and Metal-Catalyst-Free 1,4-Hydrosilylation. Inorg. Chem. 2010, 49, 2667–2673. [Google Scholar] [CrossRef]
- Spek, A.L. Single-crystal structure validation with the program PLATON. J. Appl. Crystallogr. 2003, 36, 7–13. [Google Scholar] [CrossRef]
- Spek, A.L. Structure validation in chemical crystallography. Acta Crystallogr. Sect. D Biol. Crystallogr. 2009, 65, 148–155. [Google Scholar] [CrossRef]
- Spek, A.L. PLATON SQUEEZE: A tool for the calculation of the disordered solvent contribution to the calculated structure factors. Acta Crystallogr. Sect. C Struct. Chem. 2015, 71, 9–18. [Google Scholar] [CrossRef]














| Compound + Method | δiso | δ11 | δ22 | δ33 | Ω | κ |
|---|---|---|---|---|---|---|
| 3b1 exp | −127.2 | −104.9 | −118.1 | −158.5 | 53.6 | 0.51 |
| 3b1 PBE TZ2P | −125.6 | −101.3 | −115.3 | −160.2 | 58.9 | 0.52 |
| 3b1 PBE0 TZ2P | −126.6 | −103.7 | −116.6 | −159.4 | 55.7 | 0.54 |
| 3b2 exp. | −127.3 | −101.1 | −135.2 | −145.7 | 44.6 | −0.53 |
| 3b2 PBE TZ2P | −127.0 | −97.3 | −139.8 | −144.0 | 46.7 | −0.82 |
| 3b2 PBE0 TZ2P | −128.4 | −100.0 | −141.8 | −143.4 | 43.4 | −0.93 |
Publisher’s Note: MDPI stays neutral with regard to jurisdictional claims in published maps and institutional affiliations. |
© 2022 by the authors. Licensee MDPI, Basel, Switzerland. This article is an open access article distributed under the terms and conditions of the Creative Commons Attribution (CC BY) license (https://creativecommons.org/licenses/by/4.0/).
Share and Cite
Seidel, A.; Weigel, M.; Ehrlich, L.; Gericke, R.; Brendler, E.; Wagler, J. Molecular Structures of the Silicon Pyridine-2-(thi)olates Me3Si(pyX), Me2Si(pyX)2 and Ph2Si(pyX)2 (py = 2-Pyridyl, X = O, S), and Their Intra- and Intermolecular Ligand Exchange in Solution. Crystals 2022, 12, 1054. https://doi.org/10.3390/cryst12081054
Seidel A, Weigel M, Ehrlich L, Gericke R, Brendler E, Wagler J. Molecular Structures of the Silicon Pyridine-2-(thi)olates Me3Si(pyX), Me2Si(pyX)2 and Ph2Si(pyX)2 (py = 2-Pyridyl, X = O, S), and Their Intra- and Intermolecular Ligand Exchange in Solution. Crystals. 2022; 12(8):1054. https://doi.org/10.3390/cryst12081054
Chicago/Turabian StyleSeidel, Anne, Mareike Weigel, Lisa Ehrlich, Robert Gericke, Erica Brendler, and Jörg Wagler. 2022. "Molecular Structures of the Silicon Pyridine-2-(thi)olates Me3Si(pyX), Me2Si(pyX)2 and Ph2Si(pyX)2 (py = 2-Pyridyl, X = O, S), and Their Intra- and Intermolecular Ligand Exchange in Solution" Crystals 12, no. 8: 1054. https://doi.org/10.3390/cryst12081054
APA StyleSeidel, A., Weigel, M., Ehrlich, L., Gericke, R., Brendler, E., & Wagler, J. (2022). Molecular Structures of the Silicon Pyridine-2-(thi)olates Me3Si(pyX), Me2Si(pyX)2 and Ph2Si(pyX)2 (py = 2-Pyridyl, X = O, S), and Their Intra- and Intermolecular Ligand Exchange in Solution. Crystals, 12(8), 1054. https://doi.org/10.3390/cryst12081054

