Narrowband Near-Infrared Perovskite/Organic Photodetector: TCAD Numerical Simulation
Abstract
:1. Introduction
2. Simulation Methodology and Device Model
2.1. Basic Photodetector Structure
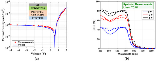
2.2. Calibration of the Fabricated Wideband Organic PD
3. Results and Discussions
3.1. Impact of Trap Density and Thickness of Perovskite Layer
3.2. Impact of Energy Gap of Perovskite Material
3.3. Impact of Reverse Bias
3.4. Impact of Organic Layer Thickness and Defects
4. Conclusions
Supplementary Materials
Author Contributions
Funding
Data Availability Statement
Acknowledgments
Conflicts of Interest
References
- Wang, Y.; Kublitski, J.; Xing, S.; Dollinger, F.; Spoltore, D.; Benduhn, J.; Leo, K. Narrowband organic photodetectors–towards miniaturized, spectroscopic sensing. Mater. Horiz. 2022, 9, 220–251. [Google Scholar] [CrossRef] [PubMed]
- Wu, Y.L.; Fukuda, K.; Yokota, T.; Someya, T. A highly responsive organic image sensor based on a two-terminal organic photodetector with photomultiplication. Adv. Mater. 2019, 31, 1903687. [Google Scholar] [CrossRef] [PubMed]
- Han, Y.; Wen, R.; Zhang, F.; Shi, L.; Wang, W.; Ji, T.; Cui, Y. Photodetector Based on CsPbBr3/Cs4PbBr6 Composite Nanocrystals with High Detectivity. Crystals 2021, 11, 1287. [Google Scholar] [CrossRef]
- Wang, Y.; Benduhn, J.; Baisinger, L.; Lungenschmied, C.; Leo, K.; Spoltore, D. Optical distance measurement based on induced nonlinear photoresponse of high-performance organic near-infrared photodetectors. ACS Appl. Mater. Interfaces 2021, 13, 23239–23246. [Google Scholar] [CrossRef]
- Babics, M.; Bristow, H.; Zhang, W.; Wadsworth, A.; Neophytou, M.; Gasparini, N.; McCulloch, I. Non-fullerene-based organic photodetectors for infrared communication. J. Mater. Chem. C 2021, 9, 2375–2380. [Google Scholar] [CrossRef]
- Ismail, R.A.; Abdulnabi, R.K.; Abdulrazzaq, O.A.; Jawad, M.F. Preparation of MAPbI3 perovskite film by pulsed laser deposition for high-performance silicon-based heterojunction photodetector. Opt. Mater. 2022, 126, 112147. [Google Scholar] [CrossRef]
- Kim, J.J.; Wang, Y.; Wang, H.; Lee, S.; Yokota, T.; Someya, T. Skin electronics: Next-generation device platform for virtual and augmented reality. Adv. Funct. Mater. 2021, 31, 2009602. [Google Scholar] [CrossRef]
- Kabir, S.; Takayashiki, Y.; Ohno, A.; Hanna, J.I.; Iino, H. Near-infrared organic photodetectors with a soluble Alkoxy-Phthalocyanine derivative. Opt. Mater. 2022, 31, 112209. [Google Scholar] [CrossRef]
- Nikovskiy, I.A.; Isakovskaya, K.L.; Nelyubina, Y.V. New Low-Dimensional Hybrid Perovskitoids Based on Lead Bromide with Organic Cations from Charge-Transfer Complexes. Crystals 2021, 11, 1424. [Google Scholar] [CrossRef]
- Liu, M.; Wang, J.; Zhao, Z.; Yang, K.; Durand, P.; Ceugniet, F.; Ulrich, G.; Niu, L.; Ma, Y.; Leclerc, N.; et al. Ultra-Narrow-Band NIR Photomultiplication Organic Photodetectors Based on Charge Injection Narrowing. J. Phys. Chem. Lett. 2021, 12, 2937–2943. [Google Scholar] [CrossRef]
- Liu, M.Y.; Wang, J.; Yang, K.X.; Liu, M.; Zhao, Z.J.; Zhang, F.J. Broadband photomultiplication organic photodetectors. Phys. Chem. Chem. Phys. 2021, 23, 2923–2929. [Google Scholar] [CrossRef] [PubMed]
- Weng, S.; Zhao, M.; Jiang, D. Organic Ternary Bulk Heterojunction Broadband Photodetectors Based on Nonfullerene Acceptors with a Spectral Response Range from 200 to 1050 nm. J. Phys. Chem. C 2021, 125, 20676–20685. [Google Scholar] [CrossRef]
- Yu, Y.Y.; Peng, Y.C.; Chiu, Y.C.; Liu, S.J.; Chen, C.P. Realizing Broadband NIR Photodetection and Ultrahigh Responsivity with Ternary Blend Organic Photodetector. Nanomaterials 2022, 12, 1378. [Google Scholar] [CrossRef] [PubMed]
- Zhao, Z.; Xu, C.; Niu, L.; Zhang, X.; Zhang, F. Recent progress on broadband organic photodetectors and their applications. Laser Photonics Rev. 2020, 14, 2000262. [Google Scholar] [CrossRef]
- Kim, J.; So, C.; Kang, M.; Sim, K.M.; Lim, B.; Chung, D.S. A regioregular donor–acceptor copolymer allowing a high gain–bandwidth product to be obtained in photomultiplication-type organic photodiodes. Mater. Horiz. 2021, 8, 276–283. [Google Scholar] [CrossRef]
- Shan, C.; Meng, F.; Yu, J.; Wang, Z.; Li, W.; Fan, D.; Kyaw, A.K.K. An ultrafast-response and high-detectivity self-powered perovskite photodetector based on a triazine-derived star-shaped small molecule as a dopant-free hole transporting layer. J. Mater. Chem. C 2021, 9, 7632–7642. [Google Scholar] [CrossRef]
- Salah, M.M.; Abouelatta, M.; Shaker, A.; Hassan, K.M.; Saeed, A. A comprehensive simulation study of hybrid halide perovskite solar cell with copper oxide as HTM. Semicond. Sci. Technol. 2019, 34, 115009. [Google Scholar] [CrossRef]
- Basyoni, M.S.S.; Salah, M.M.; Mousa, M.; Shaker, A.; Zekry, A.; Abouelatta, M.; Gontrand, C. On the Investigation of Interface Defects of Solar Cells: Lead-Based vs Lead-Free Perovskite. IEEE Access 2021, 9, 130221–130232. [Google Scholar] [CrossRef]
- Wu, G.; Fu, R.; Chen, J.; Yang, W.; Ren, J.; Guo, X.; Chen, H. Perovskite/Organic Bulk-Heterojunction Integrated Ultrasensitive Broadband Photodetectors with High Near-Infrared External Quantum Efficiency over 70%. Small 2018, 14, 1802349. [Google Scholar] [CrossRef]
- Sun, H.; Tian, W.; Cao, F.; Xiong, J.; Li, L. Ultrahigh-performance self-powered flexible double-twisted fibrous broadband perovskite photodetector. Adv. Mater. 2018, 30, 1706986. [Google Scholar] [CrossRef]
- Qin, Z.; Song, D.; Xu, Z.; Qiao, B.; Huang, D.; Zhao, S. Filterless narrowband photodetectors employing perovskite/polymer synergetic layers with tunable spectral response. Org. Electron. 2020, 76, 105417. [Google Scholar] [CrossRef]
- Lan, Z.; Cai, L.; Luo, D.; Zhu, F. Narrowband near-infrared perovskite/polymer hybrid photodetectors. ACS Appl. Mater. Interfaces 2020, 13, 981–988. [Google Scholar] [CrossRef] [PubMed]
- Cao, F.; Chen, J.; Yu, D.; Wang, S.; Xu, X.; Liu, J.; Zeng, H. Bionic detectors based on low-bandgap inorganic perovskite for selective NIR-I photon detection and imaging. Adv. Mater. 2020, 32, 1905362. [Google Scholar] [CrossRef] [PubMed]
- Li, K.; Lu, Y.; Yang, X.; Fu, L.; He, J.; Lin, X.; Tang, J. Filter-free self-power CdSe/Sb2(S1−x,Sex)3 nearinfrared narrowband detection and imaging. InfoMat 2021, 3, 1145–1153. [Google Scholar] [CrossRef]
- Wang, L.; Li, Z.; Li, M.; Li, S.; Lu, Y.; Qi, N.; Luo, L.B. Self-powered filterless narrow-band p–n heterojunction photodetector for low background limited near-infrared image sensor application. ACS Appl. Mater. Interfaces 2020, 12, 21845–21853. [Google Scholar] [CrossRef] [PubMed]
- Scheer, R.; Schock, H.W. Chalcogenide Photovoltaics: Physics, Technologies, and Thin Film Devices; John Wiley & Sons: Berlin, Germany, 2011. [Google Scholar]
- Atlas User’s Manual, Silvaco Inc., Santa Clara. USA. Available online: https://silvaco.com/products/tcad/device_simulation/atlas/atlas.html (accessed on 1 June 2022).
- Werner, J.; Nogay, G.; Sahli, F.; Yang, T.C.J. Complex refractive indices of cesium–formamidinium-based mixed-halide perovskites with optical band gaps from 1.5 to 1.8 eV. ACS Energy Lett. 2018, 3, 742–747. [Google Scholar] [CrossRef]
- Euvrard, J.; Revaux, A.; Cantarano, A.; Jacob, S.; Kahn, A.; Vuillaume, D. Impact of unintentional oxygen doping on organic photodetectors. Org. Electron. 2018, 54, 64–71. [Google Scholar] [CrossRef] [Green Version]
- Bandelow, U. Optoelectronic Devices—Advanced Simulation and Analysis; Piprek, J., Ed.; Springer: New York, NY, USA, 2005; pp. 63–85. [Google Scholar]
- Yu, H.; Ji, S.; Luo, X.; Xie, Q. Technology CAD (TCAD) Simulations of Mg2Si/Si Heterojunction Photodetector Based on the Thickness Effect. Sensors 2021, 21, 5559. [Google Scholar] [CrossRef]
- Yu, H.; Gao, C.; Zou, J.; Yang, W.; Xie, Q. Simulation Study on the Effect of Doping Concentrations on the Photodetection Properties of Mg2Si/Si Heterojunction Photodetector. Photonics 2021, 8, 509. [Google Scholar] [CrossRef]
- Beal, R.E.; Slotcavage, D.J.; Leijtens, T.; Bowring, A.R.; Belisle, R.A.; Nguyen, W.H.; McGehee, M.D. Cesium lead halide perovskites with improved stability for tandem solar cells. J. Phys. Chem. Lett. 2016, 7, 746–751. [Google Scholar] [CrossRef]
- Abdelaziz, W.; Zekry, A.; Shaker, A.; Abouelatta, M. Numerical study of organic graded bulk heterojunction solar cell using SCAPS simulation. Sol. Energy 2020, 211, 375–382. [Google Scholar] [CrossRef]
- Gamal, N.; Sedky, S.H.; Shaker, A.; Fedawy, M. Design of lead-free perovskite solar cell using Zn1-xMgxO as ETL: SCAPS device simulation. Optik 2021, 242, 167306. [Google Scholar] [CrossRef]
- Jafarzadeh, F.; Aghili, H.; Nikbakht, H.; Javadpour, S. Design and optimization of highly efficient perovskite/homojunction SnS tandem solar cells using SCAPS-1D. Sol. Energy 2022, 236, 195–205. [Google Scholar] [CrossRef]
- Khadka, D.B.; Shirai, Y.; Yanagida, M.; Ryan, J.W.; Miyano, K. Exploring the effects of interfacial carrier transport layers on device performance and optoelectronic properties of planar perovskite solar cells. J. Mater. Chem. C 2017, 5, 8819–8827. [Google Scholar] [CrossRef]
- Lienhard, P. Caractérisation et modélisation du vieillissement des Photodiodes Organiques. Ph.D. Thesis, Université Grenoble Alpes, Grenoble, France, 2016. [Google Scholar]
- Herrbach-Euvrard, J. Organic Semiconductor P-Doping: Toward a Better Understanding of the Doping Mechanisms and Integration of the P-Doped Layer in Organic Photodetectors. Ph.D. Thesis, Lille, France, 2017. Available online: https://www.semanticscholar.org/paper/Organic-semiconductor-p-doping-%3A-toward-a-better-of-Herrbach-Euvrard/526f08583a17ee82906336c5b9fab0c1972ac29b (accessed on 30 June 2022).
- Tang, Z.; Ma, Z.; Sánchez-Díaz, A.; Ullbrich, S.; Liu, Y.; Siegmund, B.; Vandewal, K. Polymer: Fullerene bimolecular crystals for near-infrared spectroscopic photodetectors. Adv. Mater. 2017, 29, 1702184. [Google Scholar] [CrossRef] [PubMed] [Green Version]
- Yang, J.; Huang, J.; Li, R.; Li, H.; Sun, B.; Lin, Q.; Tang, Z. Cavity-Enhanced Near-Infrared Organic Photodetectors Based on a Conjugated Polymer Containing [1, 2, 5] Selenadiazolo [3, 4-c] Pyridine. Chem. Mater. 2021, 33, 5147–5155. [Google Scholar] [CrossRef]
- Xia, K.; Li, Y.; Wang, Y.; Portilla, L.; Pecunia, V. Narrowband-Absorption-Type Organic Photodetectors for the Far-Red Range Based on Fullerene-Free Bulk Heterojunctions. Adv. Opt. Mater. 2020, 8, 1902056. [Google Scholar] [CrossRef]
- Xia Opoku, H.; Lim, B.; Shin, E.S.; Kong, H.; Park, J.M.; Bathula, C.; Noh, Y.Y. Bis-Diketopyrrolopyrrole and Carbazole-Based Terpolymer for High Performance Organic Field-Effect Transistors and Infra-Red Photodiodes. Macromol. Chem. Phys. 2019, 220, 1900287. [Google Scholar] [CrossRef]







| Parameters | ITO/PEIE | CsyFA1−yPb(IxBr1−x)3 | PBDTTT-c: C60-PCBM | PEDOT:PSS |
|---|---|---|---|---|
| Thickness (nm) | 110 | 2500 | 500 | 100 |
| Energy gap (eV) | 3.60 | 1.62–1.80 | 1.45 | 1.60 |
| Electron affinity (eV) | 4.20 | 3.90 | 3.70 | 3.30 |
| Relative permittivity | 9.0 | 7.0 | 3.6 | 3.0 |
| Electron mobility (cm2/V.s) | 100 | 10 | 6 × 10−4 | 5 × 10−4 |
| Hole mobility (cm2/V.s) | 25 | 10 | 1 × 10−3 | 5 × 10−4 |
| CB effective density of states (cm−3) | 2.2 × 1018 | 2.75 × 1018 | 1.0 × 1020 | 2.2 × 1018 |
| VB effective density of states (cm−3) | 1.8 × 1019 | 3.90 × 1018 | 1.0 × 1020 | 1.8 × 1019 |
| CsyFA1−yPb(IxBr1−x)3 | PBDTTT-c: C60-PCBM | PBDTTT-c:C60-PCBM | |
|---|---|---|---|
| Defect type | Donor | Donor | Neutral |
| Electron and hole capture cross section | 1 × 10−13 cm2 | 5 × 10−16 cm2 | 1 × 10−15 cm2 |
| Trap energy position | Mid-gap | 290 meV (Above blend HOMO) | Mid-gap |
| Total density (Nt) | 1 × 1015 cm−3 | 2.7 × 1016 cm−3 | 2 × 1014 cm−3 |
| Category | Active Materials | λPeak (nm) | FWHM (nm) | EQE (%) | R (A/W) | Bias (V) | REF |
|---|---|---|---|---|---|---|---|
| Organic based | PBTTT:PC61BM | 775 | 15 | 40.0 | 0.250 | 0 | [40] |
| PCDTPTSe:PC71BM | 710 | 60 | 18.0 | 0.100 | 0 | [41] | |
| PolyTPD:SBDTIC | 740 | 141 | 10.5 | 0.060 | 0 | [42] | |
| PCbisDPP:PC61BM | 730 | 210 | 80.0 | 0.310 | −3.0 | [43] | |
|
Hybrid Perovskite/Organic | CH3NH3PbI3 /PCPDTBT:PC71BM | 830 | 98 | 4.20 | 0.027 | 0 | [22] |
| CH3NH3PbI3-xBrx/PTB7 | 690 | 50 | 20.0 | 0.110 | −0.1 | [21] | |
| Our hybrid Perovskite/Organic | CsyFA1−yPb(IxBr1−x)3/Blend | 730 | 33 | 19.2 | 0.113 | 0 | |
| CsyFA1−yPb(IxBr1−x)3/Blend | 707 | 41 | 58.0 | 0.340 | −5 | ||
| CsyFA1−yPb(IxBr1−x)3/Blend (Low organic defects) | 730 | 37 | 35.5 | 0.303 | 0 |
Publisher’s Note: MDPI stays neutral with regard to jurisdictional claims in published maps and institutional affiliations. |
© 2022 by the authors. Licensee MDPI, Basel, Switzerland. This article is an open access article distributed under the terms and conditions of the Creative Commons Attribution (CC BY) license (https://creativecommons.org/licenses/by/4.0/).
Share and Cite
Salem, M.S.; Shaker, A.; Al-Bagawia, A.H.; Aleid, G.M.; Othman, M.S.; Alshammari, M.T.; Fedawy, M. Narrowband Near-Infrared Perovskite/Organic Photodetector: TCAD Numerical Simulation. Crystals 2022, 12, 1033. https://doi.org/10.3390/cryst12081033
Salem MS, Shaker A, Al-Bagawia AH, Aleid GM, Othman MS, Alshammari MT, Fedawy M. Narrowband Near-Infrared Perovskite/Organic Photodetector: TCAD Numerical Simulation. Crystals. 2022; 12(8):1033. https://doi.org/10.3390/cryst12081033
Chicago/Turabian StyleSalem, Marwa S., Ahmed Shaker, Amal H. Al-Bagawia, Ghada Mohamed Aleid, Mohamed S. Othman, Mohammad T. Alshammari, and Mostafa Fedawy. 2022. "Narrowband Near-Infrared Perovskite/Organic Photodetector: TCAD Numerical Simulation" Crystals 12, no. 8: 1033. https://doi.org/10.3390/cryst12081033
APA StyleSalem, M. S., Shaker, A., Al-Bagawia, A. H., Aleid, G. M., Othman, M. S., Alshammari, M. T., & Fedawy, M. (2022). Narrowband Near-Infrared Perovskite/Organic Photodetector: TCAD Numerical Simulation. Crystals, 12(8), 1033. https://doi.org/10.3390/cryst12081033

